A Causal Relationship between the New-Type Urbanization and Energy Consumption in China: A Panel VAR Approach
Abstract
1. Introduction
2. Measurement Methods and Analysis of Measurement Results
2.1. Measurement Methods
2.2. Analysis of Measurement Results
3. PVAR Model Regression Results and Analysis
3.1. Model Specification
3.2. PVAR Model Regression Analysis
3.2.1. Stationarity Tests
3.2.2. Benchmark Regression Results
3.2.3. Discussions with Concept of EKC
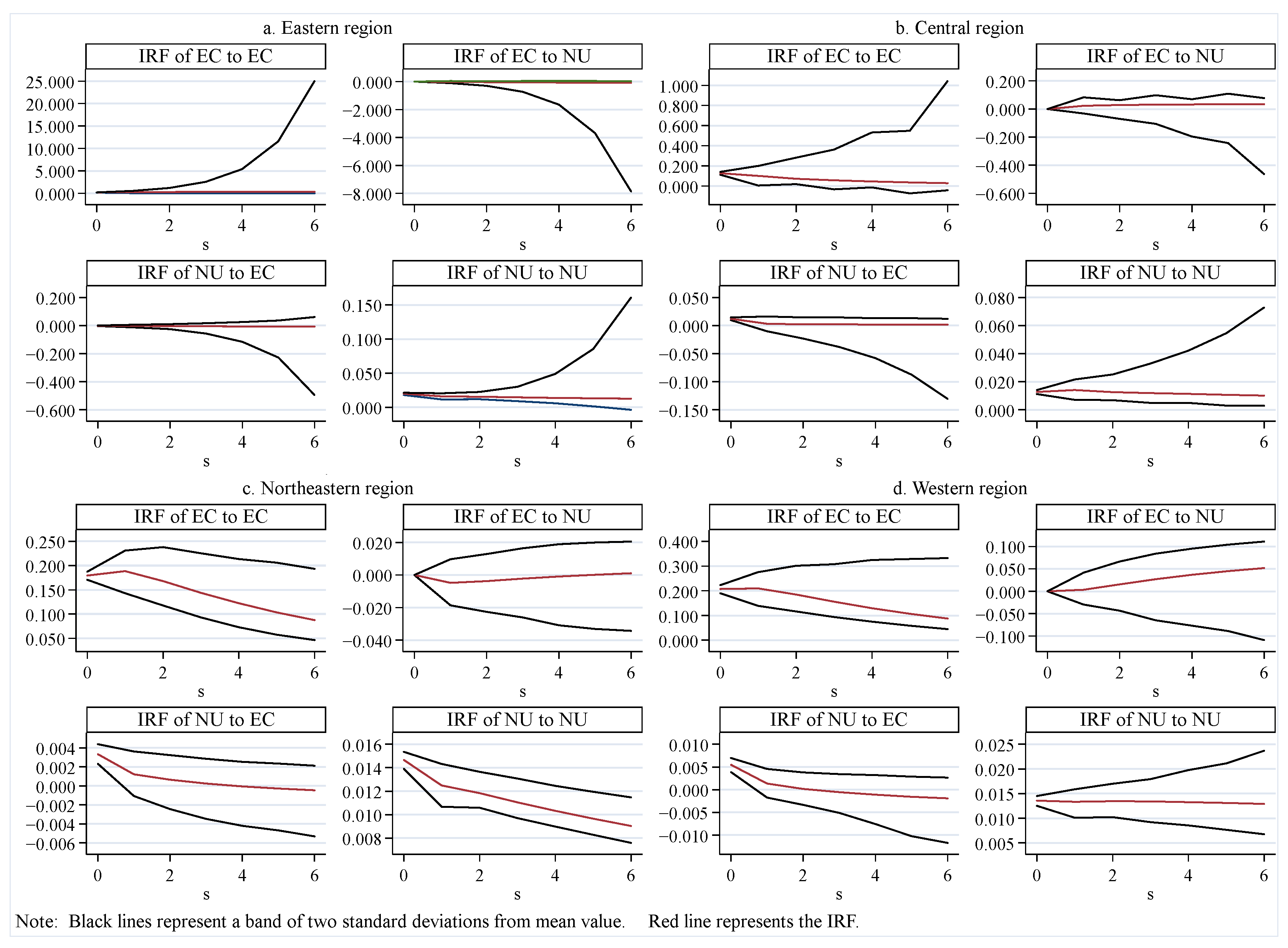
3.3. Impulse Response Analysis
3.4. Variance Decomposition
4. In-Depth Analysis of Energy-Related Data
5. Concluding Remarks
Author Contributions
Funding
Institutional Review Board Statement
Informed Consent Statement
Data Availability Statement
Conflicts of Interest
References
- He, S.; Li, S.M.; Chan, K.W. Migration, communities, and segregation in Chinese cities: Introducing the special issue. Eurasia. Geogr. Econ. 2015, 56, 223–230. [Google Scholar] [CrossRef]
- Wu, H.T.; Hao, Y.; Weng, J.H. How does energy consumption affect China’s urbanization? New evidence from dynamic threshold panel models. Energy Policy 2019, 127, 24–38. [Google Scholar] [CrossRef]
- Lv, Y.L.; Chen, W.; Cheng, J.Q. Effects of urbanization on energy efficiency in China: New evidence from short run and long run efficiency models. Energy Policy 2020, 147, 111858. [Google Scholar] [CrossRef]
- Lin, B.Q.; Zhu, J.P. Impact of China’s new-type urbanization on energy intensity: A city-level analysis. Energy Econ. 2021, 99, 105292. [Google Scholar] [CrossRef]
- Xu, J.J.; Wang, J.C.; Li, R.; Yang, X.J. Spatio-temporal effects of urbanization on CO2 emissions: Evidences from 268 Chinese cities. Energy Policy 2023, 177, 113569. [Google Scholar] [CrossRef]
- Ma, B. Does urbanization affect energy intensities across provinces in China? Long-run elasticities estimation using dynamic panels with heterogeneous slopes. Energy Econ. 2015, 49, 390–401. [Google Scholar] [CrossRef]
- Han, F.; Xie, R.; Lu, Y.; Fang, J.; Liu, Y. The effects of urban agglomeration economies on carbon emissions: Evidence from Chinese cities. J. Clean. Prod. 2018, 172, 1096–1110. [Google Scholar] [CrossRef]
- Zhou, N.; Khanna, N.; Feng, W.; Ke, J.; Levine, M. Scenarios of energy efficiency and CO2 emissions reduction potential in the buildings sector in China to year 2050. Nat. Energy 2018, 3, 978–984. [Google Scholar] [CrossRef]
- Nathaniel, S.P. Modelling urbanization, trade flow, economic growth and energy consumption with regards to the environment in Nigeria. GeoJournal 2020, 85, 1499–1513. [Google Scholar] [CrossRef]
- Chen, H.; Jia, B.; Lau, S.S.Y. Sustainable urban form for Chinese compact cities: Challenges of a rapid urbanized economy. Habitat Int. 2008, 32, 28–40. [Google Scholar] [CrossRef]
- Mishra, V.; Sharma, S.; Smyth, R. Are fluctuations in energy consumption per capital transitory? Evidence from a panel of Pacific Island countries. Energy Policy 2009, 37, 2318–2326. [Google Scholar] [CrossRef]
- Sun, C.; Ouyang, X.; Cai, H.; Luo, Z.; Li, A. Household pathway selection of energy consumption during urbanization process in China. Energy Convers. Manag. 2014, 84, 295–304. [Google Scholar] [CrossRef]
- Wang, Q. Effects of urbanization on energy consumption in China. Energy Policy 2014, 65, 332–339. [Google Scholar] [CrossRef]
- Liu, Y.; Xiao, H.; Lv, Y.; Zhang, N. The effect of new-type urbanization on energy consumption in China: A spatial econometric analysis. J. Clean. Prod. 2017, 163, s299–s305. [Google Scholar] [CrossRef]
- Fang, J.C.; Gozgor, G.; Mahalik, M.K.; Mallick, H.; Padhan, H. Does urbanization induce renewable energy consumption in emerging economies? The role of education in energy switching policies. Energy Econ. 2022, 111, 106081. [Google Scholar] [CrossRef]
- Ding, R.; Zhou, T.; Yin, J.; Zhang, Y.L.; Shen, S.W.; Fu, J.; Du, L.Y.; Du, Y.M.; Chen, S.H. Does the urban agglomeration policy reduce energy intensity? Evidence from China. Int. J. Environ. Res. Public Health 2022, 19, 14764. [Google Scholar] [CrossRef]
- Northam, R.M. Vacant urban land in the American city. Lan Econ. 1971, 47, 345–355. [Google Scholar] [CrossRef]
- Lin, B.Q.; Zhu, J.P. Energy and carbon intensity in China during the urbanization and industrialization process: A panel VAR approach. J. Clean. Prod. 2017, 168, 780–790. [Google Scholar] [CrossRef]
- Wang, Q.; Yang, X. Urbanization impact on residential energy consumption in China: The roles of income, urbanization level, and urban density. Environ. Sci. Pollut. Res. 2019, 26, 3542–3555. [Google Scholar] [CrossRef]
- Chen, Z.; Zhou, M. Urbanization and energy intensity: Evidence from the institutional threshold effect. Environ. Sci. Pollut. Res. 2021, 28, 11142–11157. [Google Scholar] [CrossRef]
- Hu, W.; Fan, Y. City size and energy conservation: Do large cities in China consume more energy. Energy Econ. 2020, 92, 104943. [Google Scholar] [CrossRef]
- Zarco-Soto, I.M.; Zarco-Periñán, P.J.; Sánchez-Durán, R. Influence of cities population size on their energy consumption and CO2 emissions: The case of Spain. Enviro. Sci. Pollut. Res. 2021, 28, 28146–28167. [Google Scholar] [CrossRef]
- Parikh, J.; Shukla, V. Urbanization, energy use and greenhouse effects in economic development: Results from a cross-national study of developing countries. Glob. Environ. Chang. 1995, 5, 87–103. [Google Scholar] [CrossRef]
- Lenze, M.; Wier, M.; Cohen, C.; Hayami, H.; Pachauri, S.; Schaeffer, R. A comparative multivariate analysis of household energy requirement in Australia, Brazil, Denmark, India and Japan. Energy 2006, 31, 181–207. [Google Scholar] [CrossRef]
- Ostuka, A. Population Agglomeration and Residential Energy Consumption: Evidence from Japan. Sustainability 2018, 10, 469. [Google Scholar]
- Shen, L.; Cheng, S.; Gunson, A.J.; Wan, H. Urbanization, sustainability and the utilization of energy and mineral resources in China. Cities 2005, 22, 287–302. [Google Scholar] [CrossRef]
- Sadorsky, P. Do urbanization and industrialization affect energy intensity in developing countries. Energy Econ. 2013, 37, 52–59. [Google Scholar] [CrossRef]
- Cheng, Z.H.; Wang, L. Can new urbanization improve urban total-factor energy efficiency in China. Energy 2023, 266, 126494. [Google Scholar] [CrossRef]
- Yu, B.B. Ecological effects of new-type urbanization in China. Renew. Sustain. Energy Rev. 2021, 135, 110239. [Google Scholar] [CrossRef]
- Feng, Y.D.; Yuan, H.X.; Liu, Y.B. The energy-saving effect in the new transformation of urbanization. Econ. Anal. Policy 2023, 78, 41–59. [Google Scholar] [CrossRef]
- Shao, J.; Wang, L.H. Can new-type urbanization improve the green total factor energy efficiency? Evidence from China. Energy 2023, 262, 125499. [Google Scholar] [CrossRef]
- Ghosh, S.; Kanjilal, K. Long-term Relationship between urbanization, energy consumption and economic activity: Empirical evidence from India. Energy 2014, 66, 324–331. [Google Scholar] [CrossRef]
- Xu, Y.Z.; Wang, Q.T. The impact of energy consumption on new urbanization—An analysis based on threshold effect. East China Econ. Manag. 2018, 32, 5–13. [Google Scholar]
- Shafiei, S.; Salim, R. Non-renewable and renewable energy consumption and CO emissions in OECD countries: A comparative analysis. Energy Policy 2014, 66, 547–556. [Google Scholar] [CrossRef]
- Bakirtas, T.; Akpolat, A.G. The relationship between energy consumption, urbanization, and economic growth in new emerging-market countries. Energy 2018, 147, 110–121. [Google Scholar] [CrossRef]
- Moomaw, R.L.; Shatter, A.M. Urbanization and economic development: A bias toward large cities. J. Urban Econ. 1996, 40, 13–37. [Google Scholar] [CrossRef]
- Davis, J.C.; Henderson, J.V. Evidence on the political economy of the urbanization process. J. Urban Econ. 2003, 53, 98–125. [Google Scholar] [CrossRef]
- Zhao, J.; Tang, J. Industrial structure change and economic growth: A China-Russia comparison. China Econ. Rev. 2018, 47, 219–233. [Google Scholar] [CrossRef]
- Lee, C.C.; Chang, C.P. Energy consumption and GDP revisited: A panel analysis of developed and developing countries. Energy Econ. 2007, 29, 1206–1223. [Google Scholar] [CrossRef]
- Huang, B.N.; Hwang, M.J.; Yang, C.W. Causal relationship between energy consumption and GDP growth revisited: A dynamic panel data approach. Ecol. Econ. 2008, 67, 41–54. [Google Scholar] [CrossRef]
- Shahbaz, M.; Lean, H.H. The dynamics of electricity consumption and economic growth: A revisit study of their causality in Pakistan. Energy 2012, 39, 146–153. [Google Scholar] [CrossRef]
- Ben-Salha, M.; Sebri, O. On the causal dynamics between economic growth, renewable energy consumption, CO2 emissions and trade openness: Fresh evidence from BRICS countries. Renew. Sustain. Energy Rev. 2014, 39, 14–23. [Google Scholar]
- Zheng, W.; Walsh, P.P. Economic growth, urbanization and energy consumption-A provincial level analysis of China. Energy Econ. 2019, 80, 153–162. [Google Scholar] [CrossRef]
- Ha, N.M.; Ngoc, B.H. Revisiting the relationship between energy consumption and economic growth nexus in Vietnam: New evidence by asymmetric ARDL cointegration. Appl. Econ. Lett. 2021, 28, 978–984. [Google Scholar] [CrossRef]
- Tang, L.Z.; Shi, J.X.; Li, Y.J. Two-way correlation mechanism and measurement between new urbanization and clean energy consumption. Soc. Sci. Nanjing 2022, 18, 27–36. [Google Scholar]
- Ma, M.Y.; Zheng, J.W.; Ma, T. Spatiotemporal characteristics of the impact of new urbanization on China’s carbon dioxide emissions from a multi-dimensional perspective. Acta Sci. Circumstantiae 2021, 41, 2474–2486. [Google Scholar]
- Hao, Y.; Peng, H. On the convergence in China’s provincial per capital energy consumption: New evidence from a spatial econometric analysis. Energy Econ. 2017, 68, 31–43. [Google Scholar] [CrossRef]
- Chen, C.; Qin, Y.; Gao, Y. Does new urbanization affect CO2 emissions in China: A spatial econometric analysis. Sustain. Cities Soc. 2023, 96, 104687. [Google Scholar] [CrossRef]
- Blundell, R.; Bond, S. Initial conditions and moment restrictions in dynamic panel data models. J. Econ. 1998, 87, 115–143. [Google Scholar] [CrossRef]
- Jawadi, F.; Mallick, S.K.; Sousa, R.M. Fiscal and monetary policies in the BRICS: A panel VAR approach. Econ. Model. 2016, 58, 535–542. [Google Scholar] [CrossRef]
- Hou, J.; Lu, X.; Wu, S.M.; Ke, S.G.; Li, J.; Fu, J. Analysis of the dynamic relationship between green economy efficiency and urban land development intensity in China. Int. J. Environ. Res. Public Health 2022, 19, 7960. [Google Scholar] [CrossRef]
- Feng, Y.D.; Liu, Y.B.; Yuan, H.X. The spatial threshold effect and its regional boundary of new-type urbanization on energy efficiency. Energy Policy 2022, 164, 112866. [Google Scholar] [CrossRef]
- Omri, A. CO2 emissions, energy consumption and economic growth nexus in MENA countries: Evidence from simultaneous equations models. Energy Econ. 2013, 40, 657–664. [Google Scholar] [CrossRef]
- Ozcan, B.; Tzeremes, P.; Tzeremes, N. Energy consumption, economic growth and environmental degradation in OECD countries. Econ. Model. 2020, 84, 203–213. [Google Scholar] [CrossRef]
- Xiong, J.H.; Xu, D.Y. Relationship between energy consumption, economic growth and environmental pollution in China. Environ. Res. 2021, 194, 110718. [Google Scholar] [CrossRef] [PubMed]
- Grossman, G.M.; Krueger, A.B. Economic growth and the environment. Q. J. Econ. 1995, 110, 353–377. [Google Scholar] [CrossRef]
- Sun, Y.P.; Li, H.N.; Andlib, Z.; Genie, M.G. How do renewable energy and urbanization cause carbon emission? Evidence from advanced panel estimation techniques. Renew. Energy 2022, 185, 996–1005. [Google Scholar] [CrossRef]






| Index I | Index II | Index Attribute |
|---|---|---|
| Population | Urban population density | + |
| Full-time equivalent of R&D personnel | + | |
| Urban population ratio | + | |
| Number of college degrees or above per ten thousand people | + | |
| Proportion of employed persons in the tertiary industry | + | |
| Economy | Gross domestic products per capita | + |
| Consumption proportion of urban to rural residents | − | |
| Disposable income of urban household per capita | + | |
| Tertiary industry as a percentage of regional GDP | + | |
| Living environment | Urban wastewater treatment ability per day | − |
| Green covered area as a percentage of completed area | + | |
| Greenery area of per capital park | + | |
| Area under a cleaning program per square kilometer of built-up area | + | |
| Living conditions | Urban gas access rate | + |
| Urban water access rate | + | |
| Number of public toilets per ten thousand people | + | |
| Number of public transportation vehicles per ten thousand people | + | |
| Urban per capita area of paved roads | + | |
| Number of patent grants per ten thousand people | + |
| Variables | IPS | Fisher-ADF | Fisher-PP | |||
|---|---|---|---|---|---|---|
| Statistics | p-Value | Statistics | p-Value | Statistics | p-Value | |
| NU | −3.272 | 0.001 | 107.964 | 0.000 | 39.533 | 0.988 |
| NU−1 | −13.091 | 0.000 | 290.177 | 0.000 | 615.121 | 0.000 |
| EC | −1.569 | 0.363 | 141.268 | 0.000 | 45.468 | 0.943 |
| EC−1 | −10.008 | 0.000 | 219.605 | 0.000 | 290.094 | 0.000 |
| Sample | Type | Variable | Coefficient | Variable | Coefficient |
|---|---|---|---|---|---|
| Countrywide | EC equation | EC−1 | 1.553 *** (14.04) | NU−1 | −1.279 ** (2.00) |
| EC−2 | −0.513 *** (−8.32) | NU−2 | 1.138 * (1.81) | ||
| NU equation | NU−1 | 1.342 *** (4.84) | EC−1 | 0.021 ** (2.37) | |
| NU−2 | −0.257 (−0.84) | EC−2 | −0.022 *** (−2.58) | ||
| Eastern | EC equation | EC−1 | 1.492 *** (15.46) | NU−1 | −0.879 * (−1.80) |
| EC−2 | −0.465 *** (−5.45) | NU−2 | 0.638 (1.18) | ||
| NU equation | NU−1 | 1.083 *** (5.09) | EC−1 | 0.042 *** (4.42) | |
| NU−2 | 0.008 (0.04) | EC−2 | −0.035 *** (−4.80) | ||
| Central | EC equation | EC−1 | 1.451 *** (11.31) | NU−1 | −1.188 (−1.40) |
| EC−2 | −0.495 *** (−4.21) | NU−2 | 1.321 * (1.69) | ||
| NU equation | NU−1 | 1.507 *** (7.37) | EC−1 | 0.031 ** (2.35) | |
| NU−2 | −0.448 ** (−2.02) | EC−2 | −0.027 ** (−2.02) | ||
| Northeastern | EC equation | EC−1 | 1.689 *** (10.52) | NU−1 | −10.142 (−1.35) |
| EC−2 | −0.408 *** (−3.43) | NU−2 | 5.158 * (1.87) | ||
| NU equation | NU−1 | 0.891 *** (3.59) | EC−1 | 0.029 *** (2.81) | |
| NU−2 | 0.189 (0.94) | EC−2 | −0.026 *** (−2.93) | ||
| Western | EC equation | EC−1 | 1.508 *** (18.47) | NU−1 | −3.508 *** (−3.05) |
| EC−2 | −0.415 *** (−5.21) | NU−2 | 1.462 * (1.95) | ||
| NU equation | NU−1 | 1.339 *** (4.57) | EC−1 | 0.010 (2.37) | |
| NU−2 | −0.284 (−0.97) | EC−2 | −0.008 * (−1.66) |
| Response Variable | s | Eastern | Central | Northeastern | Western | ||||
|---|---|---|---|---|---|---|---|---|---|
| EC | NU | EC | NU | EC | NU | EC | NU | ||
| EC | 5 | 0.979 | 0.021 | 0.916 | 0.084 | 0.443 | 0.557 | 0.986 | 0.014 |
| NU | 5 | 0.057 | 0.943 | 0.177 | 0.823 | 0.233 | 0.767 | 0.036 | 0.964 |
| EC | 10 | 0.950 | 0.050 | 0.818 | 0.182 | 0.255 | 0.745 | 0.913 | 0.087 |
| NU | 10 | 0.194 | 0.806 | 0.124 | 0.876 | 0.118 | 0.882 | 0.032 | 0.968 |
| EC | 15 | 0.924 | 0.076 | 0.756 | 0.244 | 0.160 | 0.840 | 0.820 | 0.180 |
| NU | 15 | 0.360 | 0.640 | 0.106 | 0.894 | 0.069 | 0.931 | 0.040 | 0.960 |
| EC | 20 | 0.903 | 0.097 | 0.724 | 0.276 | 0.103 | 0.897 | 0.744 | 0.256 |
| NU | 20 | 0.507 | 0.493 | 0.099 | 0.901 | 0.043 | 0.957 | 0.047 | 0.953 |
Disclaimer/Publisher’s Note: The statements, opinions and data contained in all publications are solely those of the individual author(s) and contributor(s) and not of MDPI and/or the editor(s). MDPI and/or the editor(s) disclaim responsibility for any injury to people or property resulting from any ideas, methods, instructions or products referred to in the content. |
© 2023 by the authors. Licensee MDPI, Basel, Switzerland. This article is an open access article distributed under the terms and conditions of the Creative Commons Attribution (CC BY) license (https://creativecommons.org/licenses/by/4.0/).
Share and Cite
Chen, C.; Gao, Y.; Qin, Y. A Causal Relationship between the New-Type Urbanization and Energy Consumption in China: A Panel VAR Approach. Sustainability 2023, 15, 11117. https://doi.org/10.3390/su151411117
Chen C, Gao Y, Qin Y. A Causal Relationship between the New-Type Urbanization and Energy Consumption in China: A Panel VAR Approach. Sustainability. 2023; 15(14):11117. https://doi.org/10.3390/su151411117
Chicago/Turabian StyleChen, Cheng, Yajie Gao, and Yidong Qin. 2023. "A Causal Relationship between the New-Type Urbanization and Energy Consumption in China: A Panel VAR Approach" Sustainability 15, no. 14: 11117. https://doi.org/10.3390/su151411117
APA StyleChen, C., Gao, Y., & Qin, Y. (2023). A Causal Relationship between the New-Type Urbanization and Energy Consumption in China: A Panel VAR Approach. Sustainability, 15(14), 11117. https://doi.org/10.3390/su151411117
