Mixed Design Optimization of Polymer-Modified Asphalt Mixtures (PMAs) Containing Carton Plastic Packaging Wastes
Abstract
1. Introduction
2. Objectives and Scope
3. Materials and Methods
3.1. Chemical and Physical Properties of Plastics
3.2. Asphalt Mixtures’ Preparation and Plastic Incorporation
- M1:
- cold plastics added after aggregates;
- M2:
- cold plastics added after asphalt binder;
- M3:
- plastics heated together with aggregates for 4 h at 170 °C.
3.3. SuperPave IDT Test
4. Results
4.1. DSC Analysis
4.2. Particle Size Distribution
4.3. Workability of PMAs
4.4. Microscopy Analysis
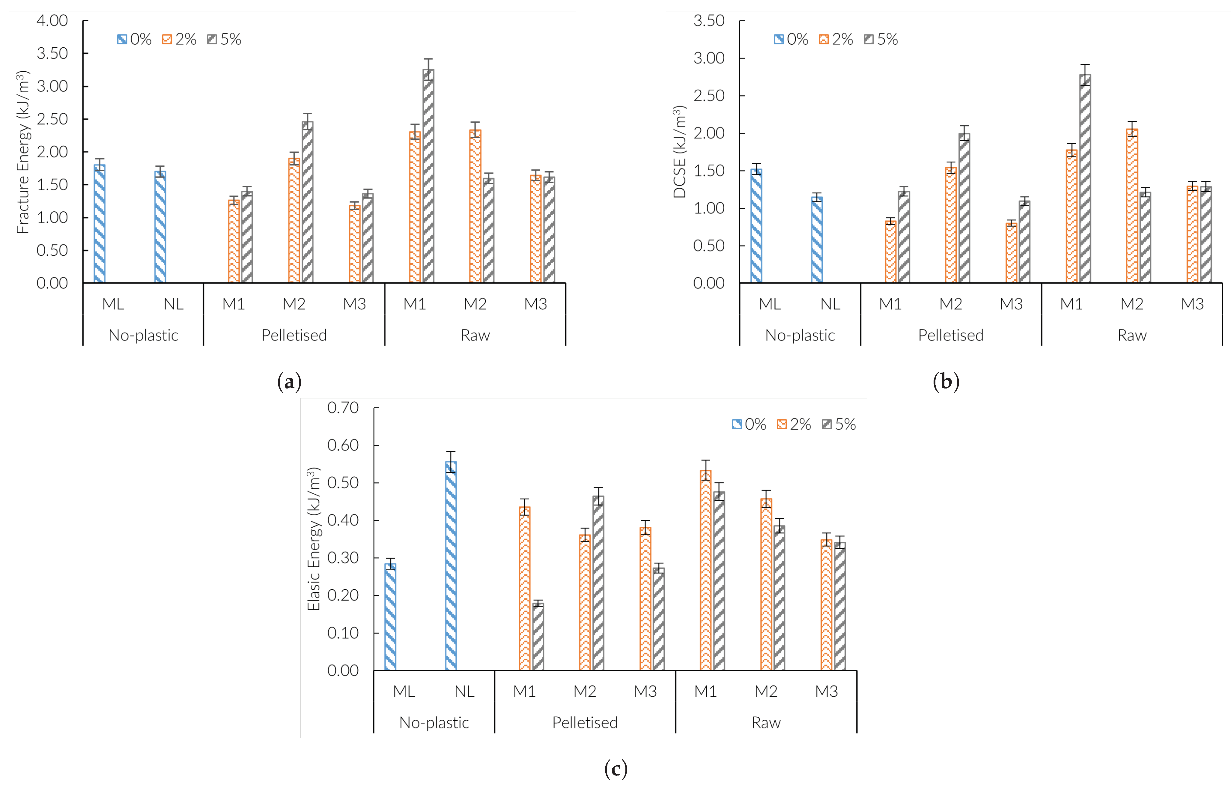
4.5. Superpave IDT—Cracking Response
Resilient Modulus
4.6. Creep Compliance
4.7. Tensile Strength
5. Summary and Conclusions
- DSC showed compatibility between the mixing temperature of the mixtures and the melting temperature of the analyzed plastics, indicating the possibility of their reuse as asphalt modifier using the dry method.
- The microscopy analysis highlighted different shapes and cracking modes of the plastics. Particularly, while the raw plastics exhibited stretched fibers along the plastics’ cracking edge, the pelletized ones showed quite brittle failure, especially when the mixture was prepared using M.
- Superpave IDT analysis showed that mixtures containing plastics, either pelletized or raw, were generally characterized by a low proneness to accumulating permanent deformation (about 50% less than the reference ones), despite of that fact the creep rate was quite similar to that of the analyzed standard mixture. Considering the mixtures containing plastics, this was better highlighted at the failure point, where they were generally characterized by a high deformation before mixture failure (about 20% considering RP1_5%).
Author Contributions
Funding
Acknowledgments
Conflicts of Interest
References
- Victory, W. A review on the utilization of waste material in asphalt pavements. Environ. Sci. Pollut. Res. 2022, 29, 27279–27282. [Google Scholar] [CrossRef] [PubMed]
- Ven, M.; Molenaar, A.; Poot, M. Asphalt Mixtures with Waste Materials: Possibilities and Constraints. In Proceedings of the Conference on Asphalt Pavements for Southern Africa (CAPSA 11), Sun City, South Africa, 16–19 August 2019; Volume 10. [Google Scholar]
- Choudhary, J.; Kumar, B.; Gupta, A. Utilization of solid waste materials as alternative fillers in asphalt mixes: A review. Constr. Build. Mater. 2020, 234, 117271. [Google Scholar] [CrossRef]
- Arabani, M.; Tahami, S.A.; Taghipoor, M. Laboratory investigation of hot mix asphalt containing waste materials. Road Mater. Pavement Des. 2016, 18, 713–729. [Google Scholar] [CrossRef]
- Rahman, M.T.; Mohajerani, A.; Giustozzi, F. Recycling of Waste Materials for Asphalt Concrete and Bitumen: A Review. Materials 2020, 13, 1495. [Google Scholar] [CrossRef]
- Piao, Z.; Bueno, M.; Poulikakos, L.D.; Hellweg, S. Life cycle assessment of rubberized semi-dense asphalt pavements. A hybrid comparative approach. Resour. Conserv. Recycl. 2022, 176, 105950. [Google Scholar] [CrossRef]
- Audy, R.; Enfrin, M.; Boom, Y.J.; Giustozzi, F. Selection of recycled waste plastic for incorporation in sustainable asphalt pavements: A novel multi-criteria screening tool based on 31 sources of plastic. Sci. Total Environ. 2022, 829, 154604. [Google Scholar] [CrossRef]
- Tiwari, N.; Baldo, N.; Satyam, N.; Miani, M. Mechanical Characterization of Industrial Waste Materials as Mineral Fillers in Asphalt Mixes: Integrated Experimental and Machine Learning Analysis. Sustainability 2022, 14, 5946. [Google Scholar] [CrossRef]
- Wu, S.; Montalvo, L. Repurposing waste plastics into cleaner asphalt pavement materials: A critical literature review. J. Clean. Prod. 2021, 280, 124355. [Google Scholar] [CrossRef]
- Xuan, L.D.; Giustozzi, F. Recycled plastics as synthetic coarse and fine asphalt aggregate. Int. J. Pavement Eng. 2022. [Google Scholar] [CrossRef]
- Gedik, A. An exploration into the utilization of recycled waste glass as a surrogate powder to crushed stone dust in asphalt pavement construction. Constr. Build. Mater. 2021, 300, 123980. [Google Scholar] [CrossRef]
- Choudhary, J.; Kumar, B.; Gupta, A. Utilization of Waste Glass Powder and Glass Composite Fillers in Asphalt Pavements. Adv. Civ. Eng. 2021, 2021, 3235223. [Google Scholar] [CrossRef]
- Dondi, G.; Mazzotta, F.; Lantieri, C.; Cuppi, F.; Vignali, V.; Sangiovanni, C. Use of Steel Slag as an Alternative to Aggregate and Filler in Road Pavements. Materials 2021, 14, 345. [Google Scholar] [CrossRef] [PubMed]
- Georgiou, P.; Loizos, A. Environmental assessment of warm mix asphalt incorporating steel slag and high reclaimed asphalt for wearing courses: A case study. Road Mater. Pavement Des. 2021, 22, S662–S671. [Google Scholar] [CrossRef]
- Pais, J.C.; Santos, C.R.G.; Lo Presti, D. Application of textile fibres from tire recycling in asphalt mixtures. Road Mater. Pavement Des. 2022, 23, 2353–2374. [Google Scholar] [CrossRef]
- Subhy, A.; Lo Presti, D.; Airey, G. An investigation on using pre-treated tyre rubber as a replacement of synthetic polymers for bitumen modification. Road Mater. Pavement Des. 2015, 16, 245–264. [Google Scholar] [CrossRef]
- Li, J.; Saberian, M.; Nguyen, B.T. Effect of crumb rubber on the mechanical properties of crushed recycled pavement materials. J. Environ. Manag. 2018, 218, 291–299. [Google Scholar] [CrossRef]
- Dalhat, M. Water resistance and characteristics of asphalt surfaces treated with micronized-recycled-polypropylene waste: Super-hydrophobicity. Constr. Build. Mater. 2021, 285, 122870. [Google Scholar] [CrossRef]
- Azarhoosh, A.; Koohmishi, M. Investigation of the rutting potential of asphalt binder and mixture modified by styrene-ethylene/propylene-styrene nanocomposite. Constr. Build. Mater. 2020, 255, 119363. [Google Scholar] [CrossRef]
- Mohamad, S.A.; Al-Haydari, I.S.; Masood, G.G.; Khudhur, H.M.N. Properties of sustainable polyester concrete pavement with various types of recycled aggregates. Road Mater. Pavement Des. 2022, 23, 973–991. [Google Scholar] [CrossRef]
- Sheng, Y.; Zhang, B.; Yan, Y.; Chen, H.; Xiong, R.; Geng, J. Effects of phosphorus slag powder and polyester fiber on performance characteristics of asphalt binders and resultant mixtures. Constr. Build. Mater. 2017, 141, 289–295. [Google Scholar] [CrossRef]
- Leal Filho, W.; Saari, U.; Fedoruk, M.; Iital, A.; Moora, H.; Klöga, M.; Voronova, V. An overview of the problems posed by plastic products and the role of extended producer responsibility in Europe. J. Clean. Prod. 2019, 214, 550–558. [Google Scholar] [CrossRef]
- Enfrin, M.; Giustozzi, F. Recent advances in the construction of sustainable asphalt roads with recycled plastic. Polym. Int. 2022, 71, 1376–1383. [Google Scholar] [CrossRef]
- Austroads. Use of Road-Grade Recycled Plastics for Sustainable Asphalt Pavements: Overview of the Recycled Plastic Industry and Recycled Plastic Types; Austroads: Sydney, Australia, 2021. [Google Scholar]
- Kalantar, Z.N.; Karim, M.R.; Mahrez, A. A review of using waste and virgin polymer in pavement. Constr. Build. Mater. 2012, 33, 55–62. [Google Scholar] [CrossRef]
- Movilla-Quesada, D.; Raposeiras, A.; Silva-Klein, L.; Lastra-González, P.; Castro-Fresno, D. Use of plastic scrap in asphalt mixtures added by dry method as a partial substitute for bitumen. Waste Manag. 2019, 87, 751–760. [Google Scholar] [CrossRef] [PubMed]
- Nizamuddin, S.; Boom, Y.J.; Giustozzi, F. Sustainable Polymers from Recycled Waste Plastics and Their Virgin Counterparts as Bitumen Modifiers: A Comprehensive Review. Polymers 2021, 13, 3242. [Google Scholar] [CrossRef] [PubMed]
- Takkalkar, P.; Jatoi, A.S.; Jadhav, A.; Jadhav, H.; Nizamuddin, S. 2-Thermo-Mechanical, Rheological, and Chemical Properties of Recycled Plastics. In Plastic Waste for Sustainable Asphalt Roads; Elsevier: Amsterdam, The Netherlands, 2022; pp. 29–42. [Google Scholar] [CrossRef]
- Freudenthaler, P.J.; Fischer, J.; Liu, Y.; Lang, R.W. Short- and Long-Term Performance of Pipe Compounds Containing Polyethylene Post-Consumer Recyclates from Packaging Waste. Polymers 2022, 14, 1581. [Google Scholar] [CrossRef]
- Soares, C.T.d.M.; Ek, M.; Östmark, E.; Gällstedt, M.; Karlsson, S. Recycling of multi-material multilayer plastic packaging: Current trends and future scenarios. Resour. Conserv. Recycl. 2022, 176, 105905. [Google Scholar] [CrossRef]
- Willis, R.; Yin, F.; Moraes, R. Recycled Plastics in Asphalt Part A: State of the Knowledge; Technical Report; National Asphalt Pavement Association: Greenbelt, MD, USA, 2020. [Google Scholar]
- Yin, F.; Moraes, R.; Anand, A. Recycled Plastics in Asphalt Part B: Literature Review; Technical Report; National Asphalt Pavement Association: Greenbelt, MD, USA, 2020. [Google Scholar]
- NCAT. NCHRP Project 9-66 Interim Report Performance Properties of Laboratory Produced Recycled Plastic Modified (RPM) Asphalt Binders and Mixtures; Technical Report; North Carolina Agricultural and Technical State University: Greensboro, NC, USA, 2021. [Google Scholar]
- Zhu, J.; Birgisson, B.; Kringos, N. Polymer modification of bitumen: Advances and challenges. Eur. Polym. J. 2014, 54, 18–38. [Google Scholar] [CrossRef]
- Nouali, M.; Ghorbel, E.; Derriche, Z. Phase separation and thermal degradation of plastic bag waste modified bitumen during high temperature storage. Constr. Build. Mater. 2020, 239, 117872. [Google Scholar] [CrossRef]
- Yin, F.; West, R.; Powell, B.; DuBois, C. Short-Term Performance Characterization and Fatigue Damage Prediction of Asphalt Mixtures Containing Polymer-Modified Binders and Recycled Plastics. Transp. Res. Rec. J. Transp. Res. Board 2023, 036119812211431. [Google Scholar] [CrossRef]
- Radeef, H.R.; Abdul Hassan, N.; Abidin, A.R.Z.; Mahmud, M.Z.H.; Yusoffa, N.I.M.; Idham Mohd Satar, M.K.; Warid, M.N.M. Enhanced Dry Process Method for Modified Asphalt Containing Plastic Waste. Front. Mater. 2021, 8, 700231. [Google Scholar] [CrossRef]
- Widyatmoko, I.; Moulinier, F.; Dunster, A. Added Value Potential of Processed Plastic Aggregate and ISF Slag in Asphalt. In Proceedings of the 10th International Conference on Asphalt Pavements, Quebec, QC, Canada, 12–17 August 2006. [Google Scholar]
- Baghaee Moghaddam, T.; Soltani, M.; Karim, M.R.; Shamshirband, S.; Petković, D.; Baaj, H. Estimation of the rutting performance of Polyethylene Terephthalate modified asphalt mixtures by adaptive neuro-fuzzy methodology. Constr. Build. Mater. 2015, 96, 550–555. [Google Scholar] [CrossRef]
- Baghaee Moghaddam, T.; Soltani, M.; Karim, M.R. Evaluation of permanent deformation characteristics of unmodified and Polyethylene Terephthalate modified asphalt mixtures using dynamic creep test. Mater. Des. 2014, 53, 317–324. [Google Scholar] [CrossRef]
- Angelone, S.; Martinez, F.; Cauhape Casaux, M. A Comparative Study of Bituminous Mixtures with Recycled Polyethylene Added by Dry and Wet Processes. In RILEM Bookseries; Kluwer Academic Publishers: Dordrecht, The Netherlands, 2016; Volume 11, pp. 583–594. [Google Scholar] [CrossRef]
- Blott, S.J.; Pye, K. Particle size distribution analysis of sand-sized particles by laser diffraction: An experimental investigation of instrument sensitivity and the effects of particle shape. Sedimentology 2006, 53, 671–685. [Google Scholar] [CrossRef]
- Roque, R.; Buttlar, W.G. Development of a measurement and analysis system to accurately determine asphalt concrete properties using the indirect tensile mode. Asph. Paving Technol. Assoc. Asph. Paving Technol. Proc. Tech. Sess. 1992, 61, 304–332. [Google Scholar]
- Buttlar, W.G.; Roque, R. Evaluation of empirical and theoretical models to determine asphalt mixture stiffnesses at low temperatures. Assoc. Asph. Paving Technol. 1996, 65, 99–141. [Google Scholar]
- Roque, R.; Zhang, Z.; Sankar, B. Determination of Crack Growth Rate Parameters Of Asphalt Mixtures Using the Superpave IDT. J. Assoc. Asph. Paving Technol. 1999, 68, 404–433. [Google Scholar]
- Roque, R.; Birgisson, B.; Drakos, C.; Dietrich, B. Development and field evaluation of energybased criteria for top-down cracking performance of hot mix asphalt. J. Assoc. Asph. Paving Technol. 2004, 72, 229–260. [Google Scholar]
- Roque, R.; Birgisson, B.; Sangpetngam, B.; Zhang, Z. Hot mix asphalt fracture mechanics: A fundamental crack growth law for asphalt mixtures. J. Assoc. Asph. Paving Technol. 2002, 71, 816–827. [Google Scholar]
- Zhang, Z.; Roque, R.; Birgisson, B.; Sangpetngam, B. Identification and verification of a suitable crack growth law. J. Assoc. Asph. Paving Technol. 2001, 70, 206–2041. [Google Scholar]










| Label | Asphalt Binder | Aggregates and Filler | Type of Plastic | Plastic Content | Plastics’ Mixing Procedure |
|---|---|---|---|---|---|
| NL | Neat | Limestone | − | − | − |
| ML | 3.5% SBS polymer modified | Limestone | − | − | − |
| RP1_2% | Neat | Limestone | RP | 2% | M1 |
| RP1_5% | Neat | Limestone | RP | 5% | M1 |
| RP2_2% | Neat | Limestone | RP | 2% | M2 |
| RP2_5% | Neat | Limestone | RP | 5% | M2 |
| RP3_2% | Neat | Limestone | RP | 2% | M3 |
| RP3_5% | Neat | Limestone | RP | 5% | M3 |
| PP1_2% | Neat | Limestone | PP | 2% | M1 |
| PP1_5% | Neat | Limestone | PP | 5% | M1 |
| PP2_2% | Neat | Limestone | PP | 2% | M2 |
| PP2_5% | Neat | Limestone | PP | 5% | M2 |
| PP3_2% | Neat | Limestone | PP | 2% | M3 |
| PP3_5% | Neat | Limestone | PP | 5% | M3 |
Disclaimer/Publisher’s Note: The statements, opinions and data contained in all publications are solely those of the individual author(s) and contributor(s) and not of MDPI and/or the editor(s). MDPI and/or the editor(s) disclaim responsibility for any injury to people or property resulting from any ideas, methods, instructions or products referred to in the content. |
© 2023 by the authors. Licensee MDPI, Basel, Switzerland. This article is an open access article distributed under the terms and conditions of the Creative Commons Attribution (CC BY) license (https://creativecommons.org/licenses/by/4.0/).
Share and Cite
Monticelli, R.; Roberto, A.; Romeo, E.; Tebaldi, G. Mixed Design Optimization of Polymer-Modified Asphalt Mixtures (PMAs) Containing Carton Plastic Packaging Wastes. Sustainability 2023, 15, 10574. https://doi.org/10.3390/su151310574
Monticelli R, Roberto A, Romeo E, Tebaldi G. Mixed Design Optimization of Polymer-Modified Asphalt Mixtures (PMAs) Containing Carton Plastic Packaging Wastes. Sustainability. 2023; 15(13):10574. https://doi.org/10.3390/su151310574
Chicago/Turabian StyleMonticelli, Riccardo, Antonio Roberto, Elena Romeo, and Gabriele Tebaldi. 2023. "Mixed Design Optimization of Polymer-Modified Asphalt Mixtures (PMAs) Containing Carton Plastic Packaging Wastes" Sustainability 15, no. 13: 10574. https://doi.org/10.3390/su151310574
APA StyleMonticelli, R., Roberto, A., Romeo, E., & Tebaldi, G. (2023). Mixed Design Optimization of Polymer-Modified Asphalt Mixtures (PMAs) Containing Carton Plastic Packaging Wastes. Sustainability, 15(13), 10574. https://doi.org/10.3390/su151310574

