Study of the Applicability of the Vyalov Long-Term Strength Prediction Equation under Freezing and Thawing Conditions
Abstract
:1. Introduction
2. Theoretical Basis
2.1. Spherical Template Indenter Press-In Test
2.2. Vyalov Logarithmic Equation
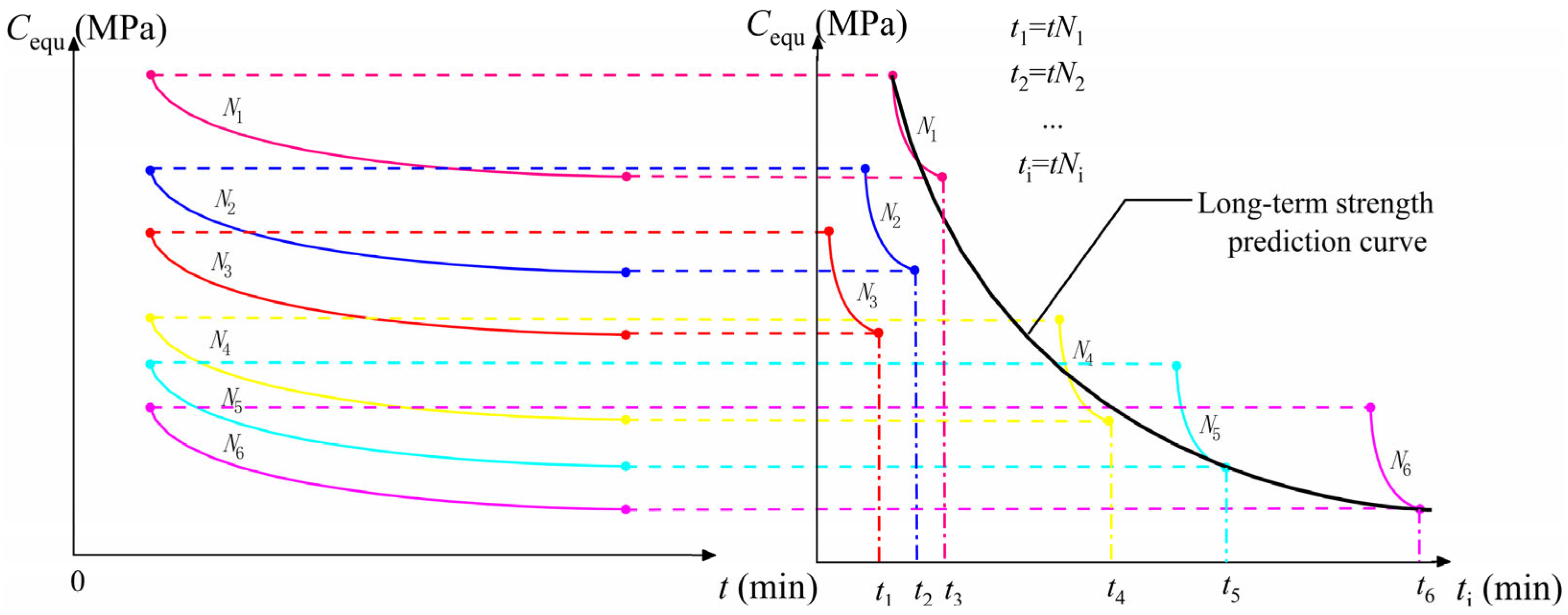
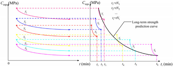
2.3. Freeze–Thaw Cycles–Time Analogy Method
2.4. Evaluation Indicators of Forecast Results
3. Sample Preparation and Testing
3.1. Soil Sample Preparation
3.2. Test Method
4. Results
4.1. Equivalent Cohesion Test Results
4.2. Long-Term Strength Change Rules
4.3. Long-Term Strength Prediction Results
5. Discussion and Analysis
5.1. Grain Composition Change Rules
5.2. Correlation Analysis
5.3. Freeze–Thaw Cycles–Time Analogy Method
6. Conclusions
Author Contributions
Funding
Acknowledgments
Conflicts of Interest
References
- Hu, S.; Qiu, H.; Wang, N.; Cui, Y.; Cao, M.; Wang, J.; Wang, X. The influence of terrain on loess landslides in Loess Plateau. Acta Geogr. Sin. 2021, 76, 2697–2709. [Google Scholar]
- Li, G.; Ma, W. Progress and prospects of the research on collapsibility of compacted loess in seasonally frozen ground regions. J. Glaciol. Geocryol. 2014, 36, 934r943. (In Chinese) [Google Scholar]
- Wang, Z.J.; Pan, J.Y.; Zhou, P.; Wu, G.H. Influence of freezing and thawing on collapsibility of loess. Chin. J. Undergr. Space Eng. 2016, 12, 1710–1716. (In Chinese) [Google Scholar]
- Zhu, S.N.; Yin, Y.P.; Wang, W.P.; Wei, Y.J.; Shao, H.; Huang, Z.; Zhuang, M.; Shi, A. Mechanism of freeze-thaw loess landslide in Yili River Valley, Xinjiang. Acta Geosci. Sin. 2019, 2, 339–349. (In Chinese) [Google Scholar]
- Huang, Z.; Zhang, D.; Pitilakis, K.; Tsinidis, G.; Huang, H.; Zhang, D.; Argyroudis, S. Resilience assessment of tunnels: Framework and application for tunnels in alluvial deposits exposed to seismic hazard. Soil Dyn. Earthq. Eng. 2022, 162, 107456. [Google Scholar] [CrossRef]
- Zhang, T.; Li, H.; Hu, C.; Zhen, X.; Xu, Z.; Xue, Y. Review and prospect of the effects of freeze-thaw on soil geotechnical properties. Sci. Cold Arid. Reg. 2021, 13, 349–356. [Google Scholar]
- Shi, Q.; Yang, P.; Zhang, Y. Adfreezing strength at the interface between frozen soil and structure: Research status and prospect. J. Glaciol. Geocryol. 2017, 39, 1298–1306. [Google Scholar]
- Wu, Z.W.; Ma, W. Strength and Creep of Frozen Soil; Lanzhou University Press: Lanzhou, China, 1994; pp. 74–78. (In Chinese) [Google Scholar]
- Vyalov, S.S. Rheological Properties and Bearing Capacity of Frozen Soils; USA Cold Regions Research Engineering Laboratory, Translator; USSR Academy Science Press: Moscow, Russia, 1965; p. 74. [Google Scholar]
- Roman, L.T. Effect of salinity on the failure kinetics of permafrost. Soil Mech. Found. Eng. 2007, 44, 182–185. [Google Scholar] [CrossRef]
- Lu, X.; Chen, X.; Chen, X. Risk prevention and control of artificial ground freezing (AGF). Chin. J. Geotech. Eng. 2021, 43, 2308–2314. [Google Scholar]
- Roman, L.T. Frozen Soil Mechanics; Zhang, C.-Q.; Zhang, Z., Translators; Science Press: Beijing, China, 2016. [Google Scholar]
- Roman, L.T.; Krivov, D.N. Prediction of long-term strength for frozen soils of the Bolshezemelnaya Tundra. Soil Mech. Found. Eng. 2009, 46, 180–185. [Google Scholar] [CrossRef]
- Chen, X.; Zhang, Z.; Ma, W.; Li, D.; Du, W.; Yao, X. Study on Applicability of Long-term Strength Prediction Equations for Three Frozen Soils. J. Hunan Univ. 2018, 45, 133–139. [Google Scholar]
- Zhou, H. Changes in Long-Term Strength of Frozen Loess under Freeze-Thaw Cycles. Master’s Thesis, Lanzhou University, Lanzhou, China, 2015. [Google Scholar]
- Zhang, Z.; Roman, L.T.; Ma, W.; Feng, W.; Zhao, S. The freeze-thaw cycles-time analogy method for forecasting long-term frozen soil strength. Measurement 2016, 92, 483–488. [Google Scholar] [CrossRef]
- Petrik, J.; Mikloš, V.; Tompoš, T. The influence of the ball on the Brinell hardness Tester calibration. Mapan–J. Metrol. Soc. India 2008, 23, 197–205. [Google Scholar]
- Ma, S. Experiment Study on Shear Strength of Frozen Soils; Professional Papers on Permafrost Studies of Qinghai-Xizang Plateau; Science Press: Beijing, China, 1983; pp. 106–111. [Google Scholar]
- Chamberlain, E.; Groves, C.; Perham, R. The mechanical behaviour of frozen earth materials under high pressure triaxial test conditions. Geotechnique 1972, 22, 469–483. [Google Scholar] [CrossRef]
- Tsytovich, H.A. Mechanics of Frozen Ground; Zhang, C.Q.; Zhu, Y.L., Translators; Science Press: Beijing, China, 1973. (In Chinese) [Google Scholar]
- Ignatova, O.I.; Bondarenko, G.I.; Trufanov, A.N. Publication of Gost 12248-2010 “Soils. Methods for laboratory determination of strength and deformability characteristics”. Soil Mech. Found. Eng. 2012, 49, 115–118. [Google Scholar] [CrossRef]
- Zaretskii, Y.K. SS Vyalov’s role in the establishment and development of soil rheology. Soil Mech. Found. Eng. 2010, 47, 175–179. [Google Scholar] [CrossRef]
- Xu, H.; Pan, P.; Ning, J.; Zang, H.; Ouyang, X.; Xiang, Y.; Wu, Z.; Guo, R.; Gui, R.; Yang, W. Remote sensing estimation of forest aboveground biomass based on multiple linear regression and neural network model. J. Northeast. For. Univ. 2018, 46, 63–67. [Google Scholar]
- Chamberlain, E.J. Physical changes in clays due to frost action and their effect on engineering structures. In Proceedings of the Frost in Geotechnical Engineering, Saariselka, Finland, 13–15 March 1989. [Google Scholar]
- Fang, J.; Chen, X.; Xu, A.; Zhang, Z. Experimental study of the influence of freezing-thawing cycles on physical and mechanical properties of Qinghai-Tibet red clay. J. Glaciol. Geocryol. 2018, 40, 62–69. [Google Scholar]
- Xu, J.; Wang, Z.; Ren, J.; Yuan, J. Experimental research on permeability of undisturbed loess during the freeze-thaw process. J. Hydraul. Eng. 2016, 47, 1208–1217. [Google Scholar]



















| Soil | Density (g/cm3) | Water Content (%) | Liquid Limit (%) | Plastic Limit (%) | Plasticity Index |
|---|---|---|---|---|---|
| Fuping loess | 1.89 | 22 | 29 | 18 | 11 |
| Haidong loess | 1.43 | 11.81 | 25.64 | 14.77 | 10.87 |
| Lanzhou loess | 2.02 | 10 | 24.8 | 15.5 | 9.3 |
| Soil | Freeze–Thaw Cycles | β | B |
|---|---|---|---|
| Fuping loess | 0 | 4.879 | 2.380 × 10−7 |
| 4 | 1.244 | 40.993 | |
| 6 | 0.841 | 8.551 | |
| 8 | 1.005 | 30.111 | |
| 10 | 0.913 | 0.456 | |
| 50 | 0.385 | 0.087 | |
| 100 | 0.541 | 0.087 | |
| Haidong loess | 0 | 0.363 | 333.416 |
| 4 | 1.191 | 0.005 | |
| 6 | 17.455 | 1.018 × 10−68 | |
| 8 | 2.056 | 1.497 × 10−8 | |
| 10 | 6.068 | 2.976 × 10−18 | |
| 50 | 1.237 | 5.641 × 10−7 | |
| 100 | 0.676 | 0.000198 | |
| Lanzhou loess | 0 | 11.874 | 1.806 × 10−13 |
| 4 | 2.849 | 1.286 | |
| 6 | 23.132 | 4.848 × 10−54 | |
| 8 | 28.098 | 5.450 × 10−40 | |
| 10 | 2.095 | 0.307 | |
| 50 | 7.914 | 5.012 × 10−42 | |
| 100 | 13.604 | 2.715 × 10−82 |
| Freeze–Thaw Cycles | PRECISION | RMSE |
|---|---|---|
| 0 | 96.8158% | 4.264 × 10−3 |
| 4 | 95.2307% | 9.631 × 10−3 |
| 6 | 95.6434% | 6.371 × 10−3 |
| 8 | 97.3463% | 3.693 × 10−3 |
| 10 | 99.6369% | 3.314 × 10−4 |
| 50 | 99.7612% | 9.654 × 10−5 |
| 100 | 99.6722% | 9.700 × 10−5 |
| Freeze–Thaw Cycles | PRECISION | RMSE |
|---|---|---|
| 0 | 86.7535% | 8.635 × 10−3 |
| 4 | 98.4653% | 1.125 × 10−3 |
| 6 | 99.9211% | 6.961 × 10−5 |
| 8 | 99.1985% | 7.053 × 10−4 |
| 10 | 99.8185% | 3.194 × 10−4 |
| 50 | 99.4757% | 3.835 × 10−4 |
| 100 | 99.8282% | 7.584 × 10−5 |
| Freeze–Thaw Cycles | PRECISION | RMSE |
|---|---|---|
| 0 | 99.4004% | 2.503 × 10−3 |
| 4 | 96.7055% | 9.606 × 10−3 |
| 6 | 99.8818% | 3.678 × 10−4 |
| 8 | 99.4717% | 9.551 × 10−4 |
| 10 | 99.9045% | 2.243 × 10−4 |
| 50 | 99.9915% | 6.380 × 10−6 |
| 100 | 99.9927% | 5.949 × 10−6 |
Disclaimer/Publisher’s Note: The statements, opinions and data contained in all publications are solely those of the individual author(s) and contributor(s) and not of MDPI and/or the editor(s). MDPI and/or the editor(s) disclaim responsibility for any injury to people or property resulting from any ideas, methods, instructions or products referred to in the content. |
© 2023 by the authors. Licensee MDPI, Basel, Switzerland. This article is an open access article distributed under the terms and conditions of the Creative Commons Attribution (CC BY) license (https://creativecommons.org/licenses/by/4.0/).
Share and Cite
Fu, J.; Zhang, Z.; Xu, C.; Zhai, J.; Yang, L.; Meng, X. Study of the Applicability of the Vyalov Long-Term Strength Prediction Equation under Freezing and Thawing Conditions. Sustainability 2023, 15, 10340. https://doi.org/10.3390/su151310340
Fu J, Zhang Z, Xu C, Zhai J, Yang L, Meng X. Study of the Applicability of the Vyalov Long-Term Strength Prediction Equation under Freezing and Thawing Conditions. Sustainability. 2023; 15(13):10340. https://doi.org/10.3390/su151310340
Chicago/Turabian StyleFu, Junsong, Ze Zhang, Chunguang Xu, Jinbang Zhai, Linzhen Yang, and Xiangxi Meng. 2023. "Study of the Applicability of the Vyalov Long-Term Strength Prediction Equation under Freezing and Thawing Conditions" Sustainability 15, no. 13: 10340. https://doi.org/10.3390/su151310340
APA StyleFu, J., Zhang, Z., Xu, C., Zhai, J., Yang, L., & Meng, X. (2023). Study of the Applicability of the Vyalov Long-Term Strength Prediction Equation under Freezing and Thawing Conditions. Sustainability, 15(13), 10340. https://doi.org/10.3390/su151310340

