The Frequency Spectrum Analysis of Wideband Oscillations of Grid-Connected Voltage Source Converter
Abstract
1. Introduction
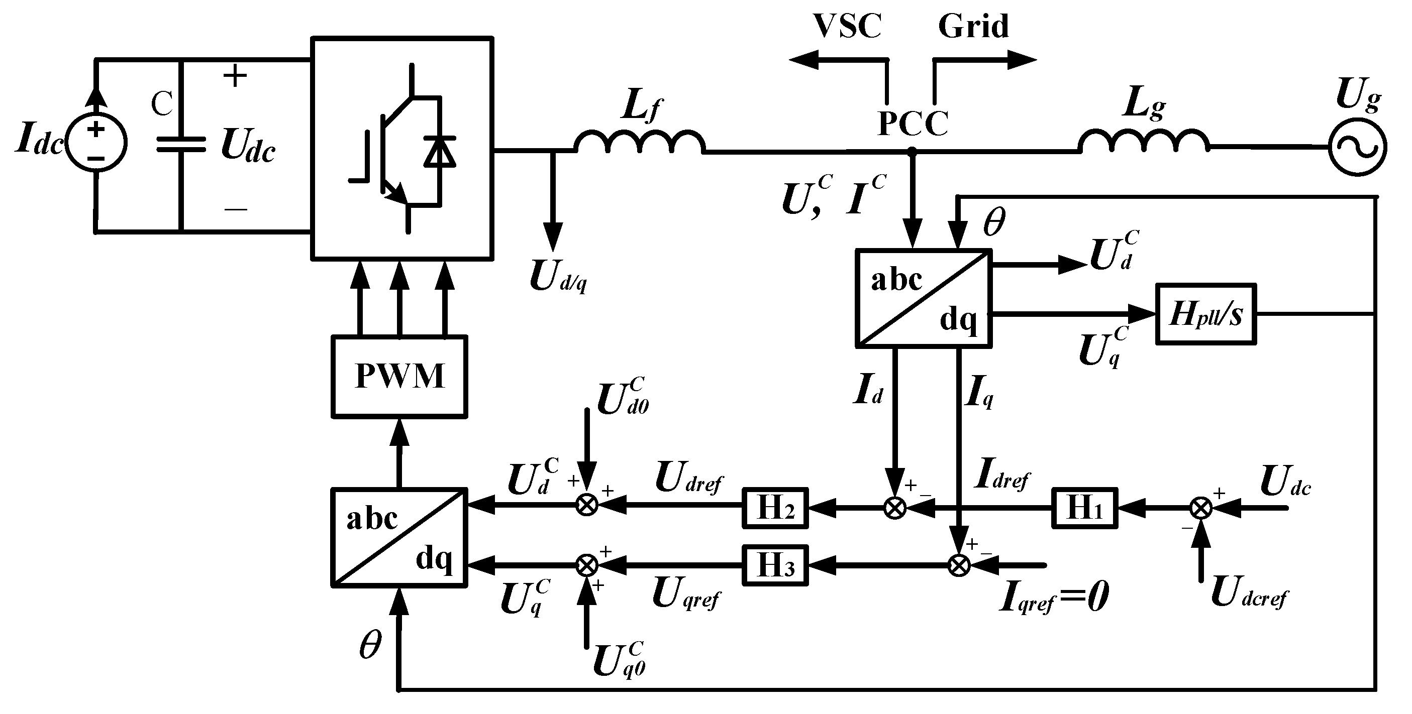
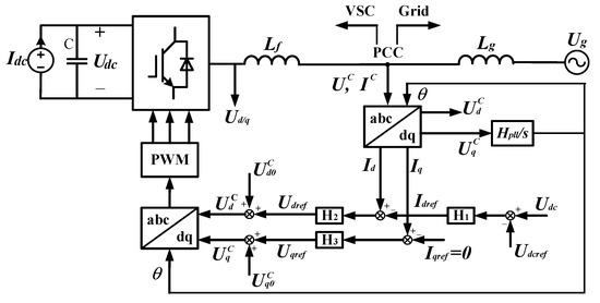
2. Linearized Impedance Model of a VSC Grid-Connected Inverter System
2.1. Impedance Modeling of a VSC
2.2. The Influence of PLL on VSC Impedance Modeling
2.3. The Impedance Model of the External Power Grid
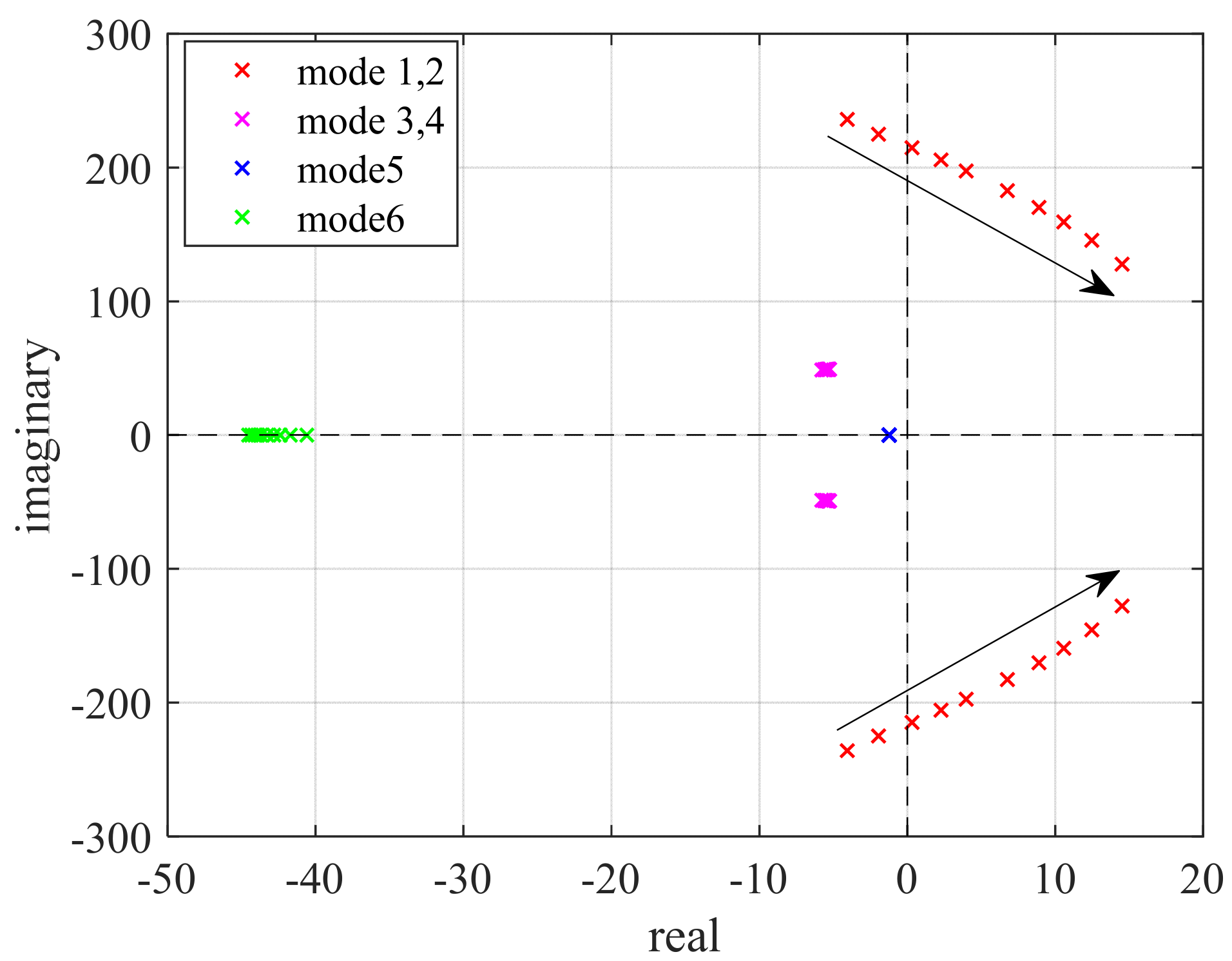
2.4. Symmetry Analysis of Wideband Oscillatory Spectra
3. Stability Criterion and Frequency Spectrum Symmetry Verification for a VSC
3.1. Stability Criterion for a Grid-Connected VSC
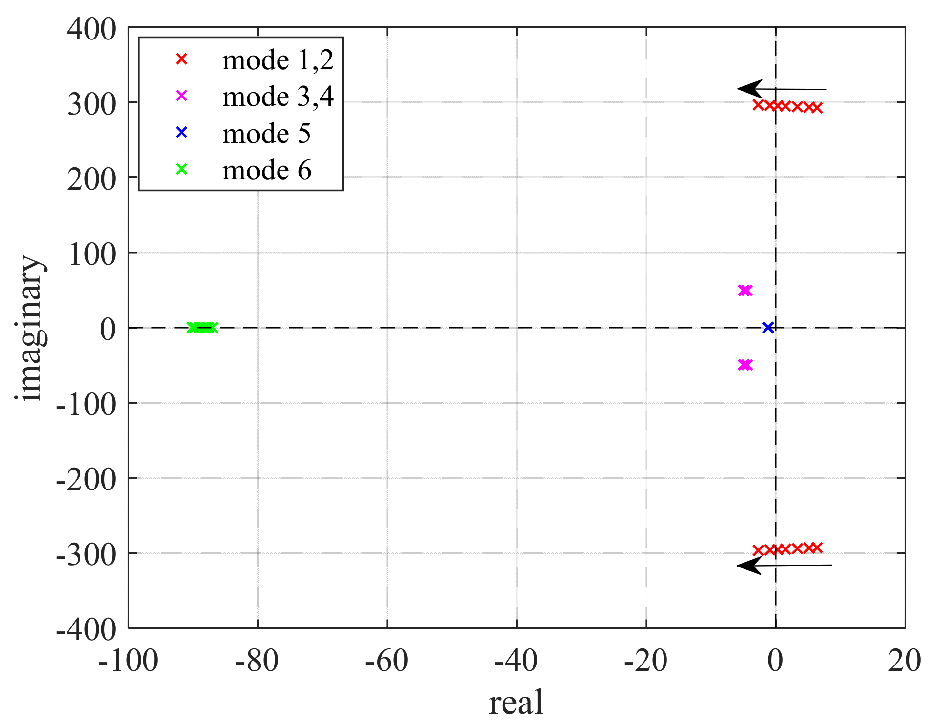
3.2. Verification of the System Impedance Criterion and the Symmetry of the Wideband Oscillation Frequency Spectrum
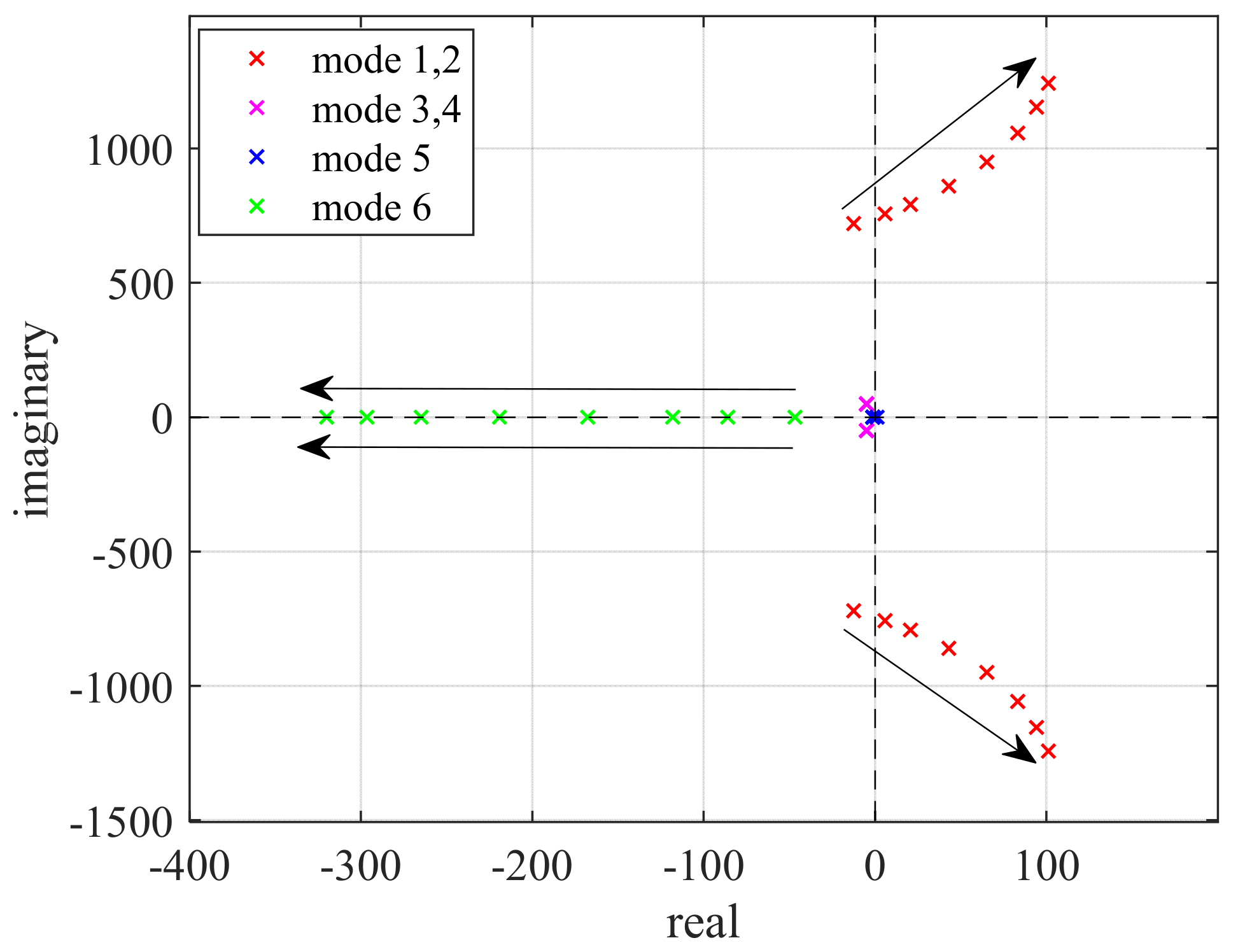
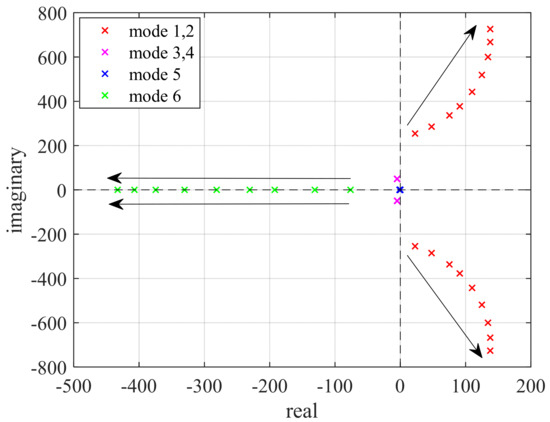
4. The Sensitivity of the Spectrum to Control Parameters
4.1. The influence of Kp1 and Kp2
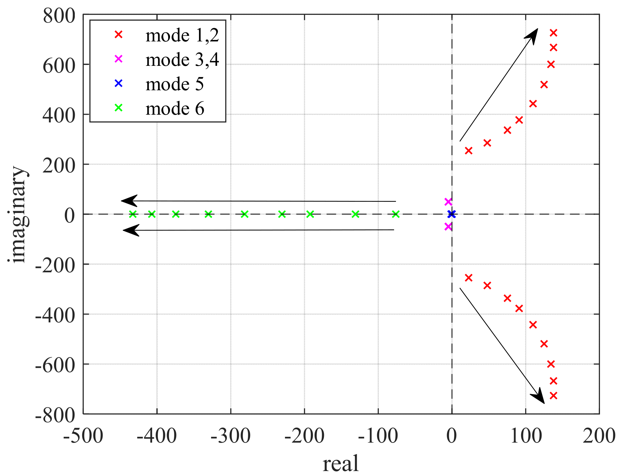
4.2. The Influence of Ki1 and Ki2
4.3. The influence of Kp3 and Ki3
4.4. The Influence of the Coefficients of the PLL
4.5. The Influence of Lf and Lg
5. Hardware-in-the-Loop (HIL) Simulations
6. Conclusions
- (1)
- The influence of the d-axis control loop
- (2)
- The influence of the q-axis control loop
- (3)
- The influence of the PLL control loop
- (4)
- The influence of the filter inductor and the external grid
Author Contributions
Funding
Institutional Review Board Statement
Informed Consent Statement
Data Availability Statement
Conflicts of Interest
References
- Hu, J.; Wang, B.; Wang, W.; Tang, H.; Chi, Y.; Hu, Q. Small signal dynamics of DFIG-based wind turbines during riding through symmetrical faults in weak AC grid. IEEE Trans. Energy Convers. 2017, 32, 720–730. [Google Scholar] [CrossRef]
- Song, Y.; Blaabjerg, F. Overview of DFIG-based wind power system resonances under weak networks. IEEE Trans. Power Electron. 2017, 32, 4370–4394. [Google Scholar] [CrossRef]
- Song, Y.; Blaabjerg, F. Impedance-based high-frequency resonance analysis of DFIG system in weak grids. IEEE Trans. Power Electron. 2017, 32, 3536–3548. [Google Scholar] [CrossRef]
- Liu, H.; Xie, X.; He, J.; Xu, T.; Yu, Z.; Wang, C.; Zhang, C. Subsynchronous interaction between direct-drive PMSG based wind farms and weak AC networks. IEEE Trans. Power Syst. 2017, 32, 4708–4720. [Google Scholar] [CrossRef]
- Bodin, A. HVDC Light®—A preferable power transmission system for renewable energies. In Proceedings of the 2011 3rd International Youth Conference on Energetics (IYCE), Leiria, Portugal, 7–9 July 2011; pp. 1–4. [Google Scholar]
- Chi, Y.; Tang, B.; Hu, J.; Tian, X.; Tang, H.; Li, Y.; Sun, S.; Shi, L.; Shuai, L. Overview of mechanism and mitigation measures on multi-frequency oscillation caused by large-scale integration of wind power. CSEE J. Power Energy Syst. 2019, 5, 433–443. [Google Scholar]
- Yin, C.; Xie, X.; Liu, H.; Wang, X.; Wang, Z.; Chi, Y. Analysis and control of the oscillation phenomenon in VSC-HVDC transmission system. Power Syst. Technol. 2018, 42, 1117–1123. [Google Scholar]
- Wang, W.; Zhang, C.; He, G.; Li, G.; Zhang, J.; Wang, H.J. Overview of research on subsynchronous oscillations in large-scale wind farm integrated system. Power Syst. Technol. 2017, 41, 1050–1060. [Google Scholar]
- Dong, X.; Tian, X.; Zhang, Y.; Song, J. Practical SSR incidence and influencing factor analysis of DFIG-based series-compensated transmission system in Guyuan farms. High Volt. Eng. 2017, 43, 321–328. [Google Scholar]
- Bian, X.; Shi, L.; Zong, X.; Li, D.; Fu, Y. Analysis and mitigation of wind turbine converters in subsynchronous interaction under multi-operating conditions. Trans. China Electrotech. Soc. 2017, 32, 38–47. [Google Scholar]
- Shen, Y.; Ge, Y.; Cui, T.; Xiong, S.; Wu, Y.; Li, Y.; Deng, X. A stability analysis method for the gird-connected permanent magnet synchronous generator based on impedance ratio criterions. Power Syst. Prot. Control 2017, 45, 45–53. [Google Scholar]
- Wu, H.; Ruan, X.; Yang, D. Research on the stability caused by phase-locked loop for LCL-type grid-connected inverter in weak grid condition. Proc. CSEE 2014, 34, 5259–5268. [Google Scholar]
- Nian, H.; Yang, H. Impedance modeling and stability analysis of grid-connected inverters under unbalanced operation conditions. Autom. Electr. Power Syst. 2016, 40, 76–83. [Google Scholar]
- Wang, Y.; Chen, X.; Zhang, Y.; Chen, J.; Gong, C. Frequency characteristics analysis and stability research of phase locked loop for three-phase grid-connected inverters. Proc. CSEE 2017, 37, 3843–3853. [Google Scholar]
- Wang, S.; Liu, Z.; Liu, J.; Boroyevich, D.; Burgos, R. Small-signal modeling and stability prediction of parallel droopcontrolled inverters based on terminal characteristics of individual inverters. IEEE Trans. Power Electron. 2020, 35, 1045–1063. [Google Scholar] [CrossRef]
- Wen, B.; Burgos, R.; Boroyevich, D.; Mattavelli, P.; Shen, Z. AC stability analysis and dq frame impedance specifications in power-electronics-based distributed power systems 3584. IEEE J. Emerg. Sel. Top. Power Electron. 2017, 5, 1455–1465. [Google Scholar] [CrossRef]
- Wang, H.; Li, Y.; Li, W.; Wang, C.; Liu, M.S. Mechanism research of subsynchronous and supersynchronous oscillations caused by compound current loop of grid-connected inverter. Power Syst. Technol. 2017, 41, 1061–1067. [Google Scholar]
- Zhao, J.; Yu, M.; Liu, J.; Wang, X. Decentralized impedance criteria for stability analysis of multi-converter AC microgrid. Proc. CSEE 2021, 41, 3575–3584. [Google Scholar]
- Zhou, P.P.; Li, G.F.; Song, R.H.; Yang, D.Y. Subsynchronous oscillation characteristics and interactions of direct drive permanent magnet synchronous generator and static var generator. Proc. CSEE 2018, 38, 4369–4378. [Google Scholar]
- Benrabah, A.; Xu, D.; Gao, Z. Active disturbance rejection control of LCL-filtered grid-connected inverter using Padé approximation. IEEE Trans. Ind. Appl. 2018, 54, 6179–6189. [Google Scholar] [CrossRef]
- Saleem, M.; Choi, K.Y.; Kim, R.Y. Resonance damping for an LCL filter type grid-connected inverter with active disturbance rejection control under grid impedance uncertainty. Int. J. Electr. Power Energy Syst. 2019, 109, 444–454. [Google Scholar] [CrossRef]
- Liu, J.; Yu, M.; Xia, Y.; Wei, W. Sepa rated frequency stability analysis of grid-connected PV system affected by weakgrid. Power Syst. Technol. 2020, 44, 86–95. [Google Scholar]
- Yang, S.; Shen, R.; Shu, J.; Zhang, T.; Li, Y.; Zhang, B.; Hao, Z. PLL Based Sub-/Super-synchronous Resonance Damping Controller for D-PMSG Wind Farm Integrated Power Systems. IEEE Trans. Energy Convers. 2022, 37, 2370–2384. [Google Scholar] [CrossRef]
- Jia, Q.; Yan, G.; Cai, Y.; Li, Y.; Zhang, J. Small-signal stability analysis of photovoltaic generation connected to weak AC grid. J. Mod. Power Syst. Clean Energy 2019, 7, 254–267. [Google Scholar] [CrossRef]
- Chen, W.; Yang, Y.; Xie, Y.; Chang, X.; Ling, Y.; Yu, H.; Zang, J. SSO mechanism of large-scale PV generation connected to series-compensated power system. Power Syst. Technol. 2021, 45, 4711–4721. [Google Scholar]
- Yang, C.; Xin, H.; Gong, Z.; Dong, W.; Jv, P. Complex circuit analysis and investigation on applicability of generalized-impedance-based stability criterion for grid-connected converter. Proc. CSEE 2020, 40, 4744–4757. [Google Scholar]
- Xin, H.; Li, Z.; Dong, W.; Zhang, L.; Wang, Z.; Zhao, J. Generalizedimpedance and stability criterion for grid-connected converters. Proc. CSEE 2017, 37, 1277–1292. [Google Scholar]



























| Parameters | Numeric Value |
|---|---|
| Proportional gain of the outer loop | 0.01 |
| Integral gain of the outer loop | 10 |
| Proportional gain of the inner loop d-axis | 0.01 |
| Integral gain of inner d-axis loop | 10 |
| Proportional gain of the inner loop q-axis | 5 |
| Integral gain of inner q-axis loop | 5 |
| Phase-locked loop proportional parameter | 31.62 |
| Phase-locked loop integral parameter | 500 |
| DC-side capacitance C/mF | 3 |
| Grid-side inductance | 31.83099 |
| Rated power of VSC/MW | 5 |
| DC-side voltage /KV | 1.5 |
| The filter inductor Lf of VSC/mH | 15 |
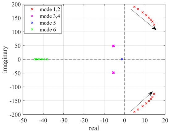
| No. of Oscillatory Mode | Real Parts of the Eigenvalues (1/s) | Imaginary Part of Eigenvalues (Hz) |
|---|---|---|
| 1, 2 | 11.360662 | ±66.6547 |
| 3, 4 | −14.761669 | ±31.4314 |
| 5 | −43.963275 | 0 |
| 6 | −1.221247 | 0 |
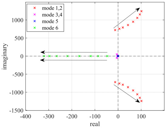
| Parameters | Numeric Value |
|---|---|
| 0.3 | |
| 1 | |
| 0.3 | |
| 1 | |
| 0.3 | |
| 1 | |
| 4 | |
| 8 | |
| C/mF | 14.66 |
| 156 | |
| Lf | 6 |
Disclaimer/Publisher’s Note: The statements, opinions and data contained in all publications are solely those of the individual author(s) and contributor(s) and not of MDPI and/or the editor(s). MDPI and/or the editor(s) disclaim responsibility for any injury to people or property resulting from any ideas, methods, instructions or products referred to in the content. |
© 2023 by the authors. Licensee MDPI, Basel, Switzerland. This article is an open access article distributed under the terms and conditions of the Creative Commons Attribution (CC BY) license (https://creativecommons.org/licenses/by/4.0/).
Share and Cite
Wang, L.; Cai, D. The Frequency Spectrum Analysis of Wideband Oscillations of Grid-Connected Voltage Source Converter. Sustainability 2023, 15, 10210. https://doi.org/10.3390/su151310210
Wang L, Cai D. The Frequency Spectrum Analysis of Wideband Oscillations of Grid-Connected Voltage Source Converter. Sustainability. 2023; 15(13):10210. https://doi.org/10.3390/su151310210
Chicago/Turabian StyleWang, Liyi, and Deyu Cai. 2023. "The Frequency Spectrum Analysis of Wideband Oscillations of Grid-Connected Voltage Source Converter" Sustainability 15, no. 13: 10210. https://doi.org/10.3390/su151310210
APA StyleWang, L., & Cai, D. (2023). The Frequency Spectrum Analysis of Wideband Oscillations of Grid-Connected Voltage Source Converter. Sustainability, 15(13), 10210. https://doi.org/10.3390/su151310210

