Structural Classification, Discharge Statistics, and Recession Analysis from the Springs of the Gran Sasso (Italy) Carbonate Aquifer; Comparison with Selected Analogues Worldwide
Abstract
1. Introduction

2. Study Area
2.1. Geological Setting
2.2. Hydrogeological Setting
3. Methods
3.1. Structural Classification
| Spring | Topographic Elevation (mASL) | Aquifer; Aquitard | Classification Permeability Threshold | Geological Contact Aquifer /Aquitard | Spring Goups |
|---|---|---|---|---|---|
| Vacelliera Alta (VA) | 1018 | Mesozoic limestones (C2); Orbulina Marls Formation (C4) | Underneath [57] | Stratigraphic | Group 1 |
| Vacelliera Bassa (VB) | 990 | Mesozoic limestones (C2); Orbulina Marls Formation (C4) | Underneath [57] | Stratigraphic | Group 1 |
| Vitella d’Oro (VO) | 650 | Mesozoic limestones (C2); Orbulina Marls Formation (C4) | Underneath [57] | Thrust | Group 2 |
| Mortaio d’Angri (MA) | 690 | Mesozoic limestones (C2); Orbulina Marls Formation (C4) | Underneath [57] | Thrust | Group 2 |
| Chiarino (CH) | 1330 | Mesozoic limestones (C2); Laga Formation (C5) | Underneath [57] | Thrust | Group 2 |
| South Motorway Tunnel (MT) | 982 | Mesozoic limestones (C2); Mesozoic limestones (C2) | Fault core [60] | Normal fault | Group 3 |
3.2. Statistics
3.3. Spring Recession Analysis
4. Results
4.1. Structural Classification
4.2. Statistics
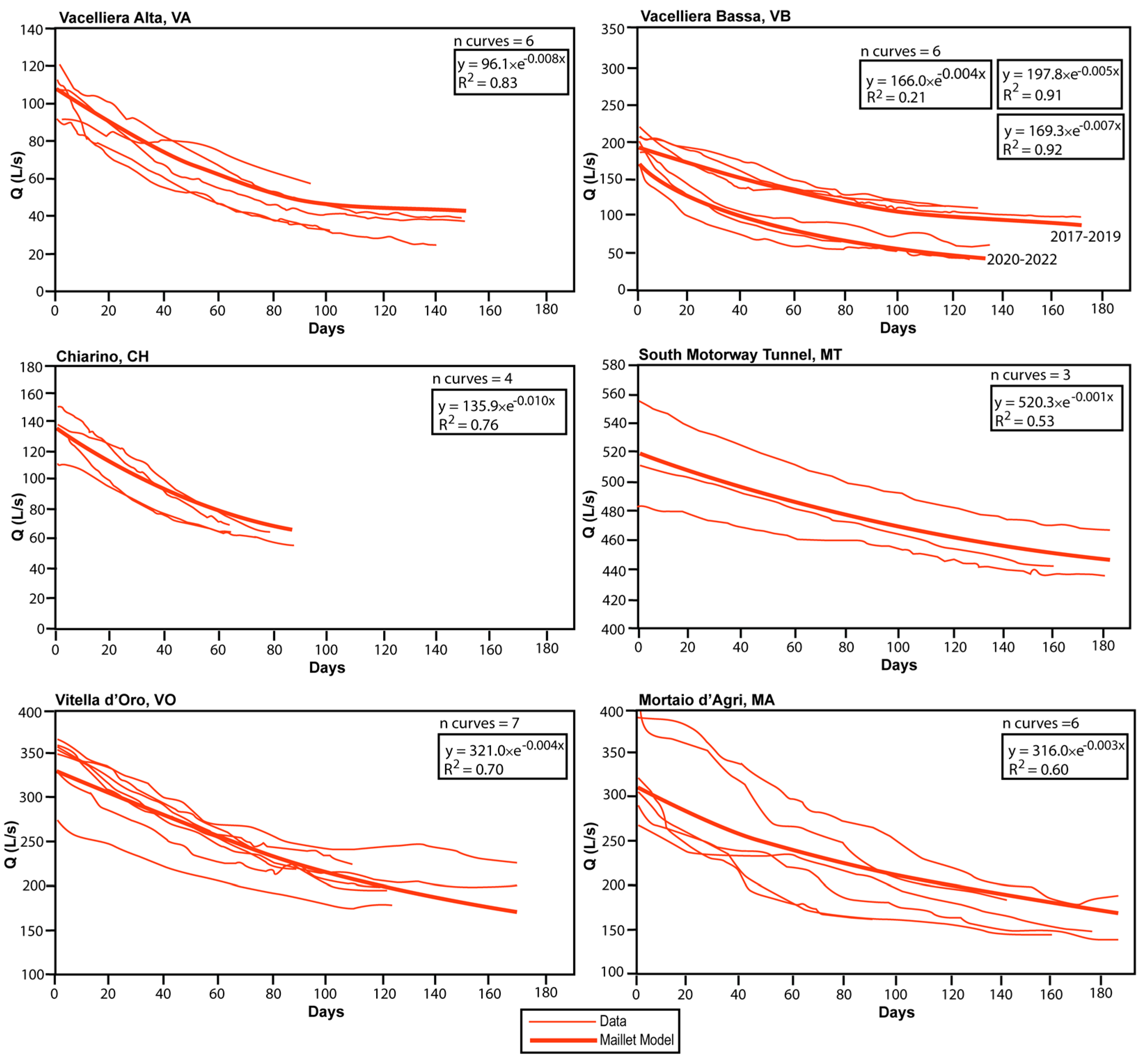
4.3. Spring Recession Analysis
5. Discussion
5.1. Structural Setting of the Springs, Topography and Groundwater Flow
5.2. Insights for Groundwater Resources Management
6. Conclusions
- The six selected springs were divided into three different structural geology settings that control the presence of permeability thresholds and the emergence of the groundwater. The studied springs were structurally associated with the presence of thrusts, drag folds, and a normal fault. Classifying the springs according to the tectonic setting contributes to a deeper knowledge of the groundwater resource, and also allows comparisons with the computed statistical parameters (Iv, V, and SVCP), and FDCs.
- The statistics applied to six selected springs using several parameters (Iv, V, SVC, and SVCP) describe a general scenario of reliability and steadiness. The Flow Duration Curves, when compared with Slovakian analogues, show reduced flow through the karst conduits. Joints and bedding plane fractures play a key role in driving the groundwater flow at the study site, fitting both the relative steadiness of the springs and the pattern of the FDCs.
- Structural geology and the completed statistics show a degree of correlation. Springs aligned along a major thrust with sub-vertical beds and multiple splays in the catchment area are relatively more karstified (e.g., MA Spring). Values of Iv, V, and SVCP are higher and the FDC steeper with respect to other settings. However, the MT spring, which is associated with a normal fault, is characterized by the fattest FDC. The statistical parameters also show the highest degree of Reliability and Stability for the spring (MT Spring) mapped along that fault and the southern edge of a tunnel. The extensional fault represents a permeability barrier that separates two blocks of fractured limestones.
- When applied to the available daily time series, the Maillet formula shows recession curves that gently decrease in terms of flow rate. This pattern appears more evident when the curves from the Gran Sasso springs are compared with those of the nearby Marche region, which is characterized by an analogous stratigraphy. The springs of the Gran Sasso are characterized by lower α values, which fit a scenario of relative steadiness of the discharges and groundwater resources that are less exposed to episodes of summer drought.
Author Contributions
Funding
Informed Consent Statement
Data Availability Statement
Acknowledgments
Conflicts of Interest
References
- Goldscheider, N.; Chen, Z.; Auler, A.S.; Bakalowicz, M.; Broda, S.; Drew, D.; Hartmann, J.; Jiang, G.; Moosdorf, N.; Stevanovic, Z.; et al. Global distribution of carbonate rocks and karst water resources. Hydrogeol. J. 2020, 28, 1661–1677. [Google Scholar] [CrossRef]
- Hartmann, A.; Goldscheider, N.; Wagener, T.; Lange, J.; Weiler, M. Karst water resources in a changing world: Review of hydrological modeling approaches. Rev. Geophys. 2014, 52, 218–242. [Google Scholar] [CrossRef]
- Maldaner, C.H.; Quinn, P.M.; Cherry, J.A.; Parker, B.L. Improving estimates of groundwater velocity in a fractured rock borehole using hydraulic and tracer dilution methods. J. Contam. Hydrol. 2018, 214, 75–86. [Google Scholar] [CrossRef]
- Agbotui, P.Y.; West, L.J.; Bottrell, S.H. Characterisation of fractured carbonate aquifers using ambient borehole dilution tests. J. Hydrol. 2020, 589, 125191. [Google Scholar] [CrossRef]
- Maldaner, C.H.; Munn, J.D.; Coleman, T.I.; Molson, J.W.; Parker, B.L. Groundwater flow quantification in fractured rock boreholes using active distributed temperature sensing under natural gradient conditions. Water Resour. Resear. 2021, 55, 3285–3306. [Google Scholar] [CrossRef]
- Worthington, S.R.; Jeannin, P.Y.; Alexander, E.C.; Davies, G.J.; Schindel, G.M. Contrasting definitions for the term ‘karst aquifer’. Hydrogeol. J. 2017, 25, 1237–1240. [Google Scholar] [CrossRef]
- Fiorillo, F. Tank-reservoir drainage as a simulation of the recession limb of karst spring hydrographs. Hydrogeol. J. 2011, 19, 1009–1019. [Google Scholar] [CrossRef]
- Fiorillo, F. The recession of spring hydrographs, focused on karst aquifers. Water Resour. Manag. 2014, 28, 1781–1805. [Google Scholar] [CrossRef]
- Malík, P. Evaluating discharge regimes of karst aquifer. In Karst Aquifers—Characterization and Engineering; Stevanović, Z., Ed.; Springer: Berlin, Germany, 2015. [Google Scholar]
- Posavec, K.; Giacopetti, M.; Materazzi, M.; Birk, S. Method and Excel VBA algorithm for modeling master recession curve using trigonometry approach. Groundwater 2017, 55, 891–898. [Google Scholar] [CrossRef]
- Torresan, F.; Fabbri, P.; Piccinini, L.; Dalla Libera, N.; Pola, M.; Zampieri, D. Defining the hydrogeological behavior of karst springs through an integrated analysis: A case study in the Berici Mountains area (Vicenza, NE Italy). Hydrogeol. J. 2020, 28, 1229–1247. [Google Scholar] [CrossRef]
- Malík, P.; Švasta, J.; Bajtoš, P.; Gregor, M. Discharge recession patterns of karstic springs as observed in Triassic carbonate aquifers of Slovakia. Hydrogeol. J. 2021, 29, 397–427. [Google Scholar] [CrossRef]
- Meinzer, O.E. The Occurrence of Ground Water in United States with a Discussion of Principles; USGS Water-Supply Paper: Washington, DC, USA, 1923. [Google Scholar]
- Netopil, R. The classification of water springs on the basis of the variability of yields. Stud. Geogr. 1971, 22, 145–150. [Google Scholar]
- Flora, S.P. Hydrogeological Characterization and Discharge Variability of Springs in the Middle Verde River Watershed, Central Arizona. Master’s Thesis, Northern Arizona University, Flagstaff, AZ, USA, 2004. [Google Scholar]
- Kresic, N. Hydrogeology and Groundwater Modeling, 2nd ed.; CRC Press, Taylor and Francis: Boca Raton, FL, USA, 2007. [Google Scholar]
- Ravbar, N.; Goldscheider, N. Comparative application of four methods of groundwater vulnerability mapping in a Slovene karst catchment. Hydrogeol. J. 2009, 1, 725–733. [Google Scholar] [CrossRef]
- Allocca, V.; De Vita, P.; Manna, F.; Nimmo, J.R. Groundwater recharge assessment at local and episodic scale in a soil mantled perched karst aquifer in southern Italy. J. Hydrol. 2015, 529, 843–853. [Google Scholar] [CrossRef]
- Ruggieri, G.; Allocca, V.; Borfecchia, F.; Cusano, D.; Marsiglia, P.; De Vita, P. Testing evapotranspiration estimates based on MODIS satellite data in the assessment of the groundwater recharge of karst aquifers in southern Italy. Water 2021, 13, 118. [Google Scholar] [CrossRef]
- Doummar, J.; Kassem, A.H.; Gurdak, J.J. Impact of historic and future climate on spring recharge and discharge based on an integrated numerical modelling approach: Application on a snow-governed semi-arid karst catchment area. J. Hydrol. 2020, 565, 636–649. [Google Scholar] [CrossRef]
- Kovačič, G.; Petrič, M.; Ravbar, N. Evaluation and quantification of the effects of climate and vegetation cover change on karst water sources: Case studies of two springs in south-western slovenia. Water 2020, 12, 3087. [Google Scholar] [CrossRef]
- Sanz Pérez, E.; Fonolla, C.; Menéndez Pidal, I.; Rosas Rodriguez, P. Paleohydrogeology of the karstic system of fuentetoba spring (Soria, spain): An interdisciplinary approach. Sustainability 2021, 13, 7236. [Google Scholar] [CrossRef]
- Medici, G.; Langman, J.B. Pathways and Estimate of Aquifer Recharge in a Flood Basalt Terrain; A Review from the South Fork Palouse River Basin (Columbia River Plateau, USA). Sustainability 2022, 14, 11349. [Google Scholar] [CrossRef]
- Springer, A.E.; Stevens, L.E. Spheres of discharge of springs. Hydrogeol. J. 2009, 17, 83–93. [Google Scholar] [CrossRef]
- Mudarra, M.; Andreo, B. Relative importance of the saturated and the unsaturated zones in the hydrogeological functioning of karst aquifers: The case of Alta Cadena (Southern Spain). J. Hydrol. 2011, 397, 263–280. [Google Scholar] [CrossRef]
- Cinkus, G.; Mazzilli, N.; Jourde, H. Identification of relevant indicators for the assessment of karst systems hydrological functioning: Proposal of a new classification. J. Hydrol. 2021, 603, 127006. [Google Scholar] [CrossRef]
- Portoghese, I.; Masciale, R.; Caputo, M.C.; De Carlo, L.; Malcangio, D. Combined Discharge and Thermo-Salinity Measurements for the Characterization of a Karst Spring System in Southern Italy. Sustainability 2020, 12, 3311. [Google Scholar] [CrossRef]
- Sivelle, V.; Jourde, H.; Bittner, D.; Mazzilli, N.; Tramblay, Y. Assessment of the relative impacts of climate changes and anthropogenic forcing on spring discharge of a Mediterranean karst system. J. Hydrol. 2021, 598, 126396. [Google Scholar] [CrossRef]
- Beckford, H.O.; Chang, C.; Ji, H. Determination of Paleoenvironmental Changes by Using δ13C, 14C Dating and Rb/Sr Ratio in Critical Karst Area of Yunnan-Guizhou Plateau, Southwestern China. Sustainability 2023, 15, 6480. [Google Scholar] [CrossRef]
- Leitner, S.; Dirnböck, T.; Kobler, J.; Zechmeister-Boltenstern, S. Legacy effects of drought on nitrate leaching in a temperate mixed forest on karst. J. Environ. Manag. 2020, 262, 110338. [Google Scholar] [CrossRef]
- Cardello, G.L.; Doglioni, C. From mesozoic rifting to Apennine orogeny: The gran Sasso range (Italy). Gondwana Res. 2013, 27, 1307–1334. [Google Scholar] [CrossRef]
- Goeppert, N.; Goldscheider, N.; Berkowitz, B. Experimental and modeling evidence of kilometer-scale anomalous tracer transport in an alpine karst aquifer. Water Res. 2020, 178, 115755. [Google Scholar] [CrossRef]
- Xanke, J.; Liesch, T. Quantification and possible causes of declining groundwater resources in the Euro-Mediterranean region from 2003 to 2020. Hydrogeol. J. 2022, 30, 379–400. [Google Scholar] [CrossRef]
- Lorenzi, V.; Sbarbati, C.; Banzato, F.; Lacchini, A.; Petitta, M. Recharge assessment of the Gran Sasso aquifer (Central Italy): Time-variable infiltration and influence of snow cover extension. J. Hydrol. Reg. Stud. 2022, 41, 101090. [Google Scholar] [CrossRef]
- Petitta, M.; Banzato, F.; Lorenzi, V.; Matani, E.; Sbarbati, C. Determining recharge distribution in fractured carbonate aquifers in central Italy using environmental isotopes: Snowpack cover as an indicator for future availability of groundwater resources. Hydrogeol. J. 2022, 30, 1619–1636. [Google Scholar] [CrossRef]
- Lorenzi, V.; Barberio, D.M.; Sbarbati, C.; Petitta, M. Groundwater recharge distribution due to snow cover in shortage conditions (2019-22) on the Gran Sasso carbonate aquifer (Central Italy). Environ. Earth Sci. 2023, 82, 206. [Google Scholar] [CrossRef]
- Bisci, C.; Gentili, B.; Ciccacci, S.; Dramis, F.; Kotarba, A. The extent of Pleistocene glaciations in the western part of the Campo Imperatore (Gran Sasso Massif, Central Italy). Landf. Anal. 1999, 2, 37–43. [Google Scholar]
- Tallini, M.; Gasbarri, D.; Ranalli, D.; Scozzafava, M. Investigating epikarst using low-frequency GPR: Example from the Gran Sasso range (Central Italy). Bull. Eng. Geol. Environ. 2006, 65, 435–443. [Google Scholar] [CrossRef]
- Pecci, M.A.; D’Aquila, P.I. Geomorphological features and cartography of the Gran Sasso d’Italia massif between Corno Grande-Corno Piccolo and Pizzo Intermesoli. Geogr. Fis. Din. Quat. 2011, 34, 127–143. [Google Scholar]
- Giacopetti, M.; Materazzi, M.; Pambianchi, G.; Posavec, K. Analysis of mountain springs discharge time series in the Tennacola stream catchment (central Apennine, Italy). Environ. Earth Sci. 2017, 76, 20. [Google Scholar] [CrossRef]
- Valigi, D.; Fronzi, D.; Cambi, C.; Beddini, G.; Cardellini, C.; Checcucci, R.; Mastrorillo, L.; Mirabella, F.; Tazioli, A. Earthquake-induced spring discharge modifications: The Pescara di Arquata spring reaction to the August–October 2016 Central Italy earthquakes. Water 2020, 12, 767. [Google Scholar] [CrossRef]
- Maillet, E. Essais D’hydraulique Soutarraine et Fluviale; Librarie Scientifique: Paris, France, 1905. [Google Scholar]
- Carminati, E.; Doglioni, C. Alps vs. Apennines: The paradigm of a tectonically asymmetric. Earth Earth Sci. Rev. 2012, 112, 67–96. [Google Scholar] [CrossRef]
- Amoruso, A.; Crescentini, L.; Petitta, M.; Rusi, S.; Tallini, M. Impact of the 6 April 2009 L’Aquila earthquake on groundwater flow in the Gran Sasso carbonate aquifer, Central Italy. Hydrol. Process. 2011, 25, 1754–1764. [Google Scholar] [CrossRef]
- Amoruso, A.; Crescentini, L.; Petitta, M.; Tallini, M. Parsimonious recharge/discharge modeling in carbonate fractured aquifers: The groundwater flow in the Gran Sasso aquifer (Central Italy). J. Hydrol. 2013, 476, 136–146. [Google Scholar] [CrossRef]
- Miccadei, E.; Piacentini, T.; Esposito, G. Geomorphosites and geotourism in the parks of the Abruzzo region (Central Italy). Geoheritage 2011, 3, 233–251. [Google Scholar] [CrossRef]
- Calamita, F.; Satolli, S.; Scisciani, V.; Esestime, P.; Pace, P. Contrasting styles of fault reactivation in curved orogenic belts: Examples from the Central Apennines (Italy). Geol. Soc. Am. Bull. 2011, 123, 1097–1111. [Google Scholar] [CrossRef]
- Bigi, S.; Milli, S.; Corrado, S.; Casero, P.; Aldega, L.; Botti, F.; Moscatelli, M.; Stanzione, O.; Falcini, F.; Marini, M.; et al. Stratigraphy, structural setting and burial history of the Messinian Laga basin in the context of Apennine foreland basin system. J. Mediterr. Earth Sci. 2009, 1, 61–84. [Google Scholar]
- Marini, M.; Milli, S.; Ravnås, R.; Moscatelli, M. A comparative study of confined vs. semi-confined turbidite lobes from the Lower Messinian Laga Basin (Central Apennines, Italy): Implications for assessment of reservoir architecture. Mar. Pet. Geol. 2015, 63, 142–165. [Google Scholar] [CrossRef]
- Barbieri, M.; Boschetti, T.; Petitta, M.; Tallini, M. Stable isotope (2H, 18O and 87Sr/86Sr) and hydrochemistry monitoring for groundwater hydrodynamics analysis in a karst aquifer (Gran Sasso, Central Italy). Appl. Geochem. 2005, 20, 2063–2081. [Google Scholar] [CrossRef]
- Celico, P.; Fabbrocino, S.; Petitta, M.; Tallini, M. Hydrogeological impact of the Gran Sasso motor-way tunnels (Central Italy). G. Geol. Appl. 2005, 1, 157–165. [Google Scholar]
- De Luca, G.; Di Carlo, G.; Tallini, M. Hydraulic pressure variations of groundwater in the Gran Sasso underground laboratory during Amatrice earthquake of August 24th, 2016. Ann. Geophys. 2016, 59, AG-7200. [Google Scholar]
- De Luca, G.; Di Carlo, G.; Tallini, M. A record of changes in the Gran Sasso groundwater before, during and after the 2016 Amatrice earthquake, central Italy. Sci. Rep. 2018, 8, 15982. [Google Scholar] [CrossRef]
- Petitta, M.; Ranalli, D.; Tallini, M. Schema Idrogeologico del Massiccio del Gran Sasso Centrale (Italia Centrale). Bollet Soc. Geol. It. 2002, 121. [Google Scholar]
- Piacentini, T.; Buccolini, M.; Miccadei, E. The Terminillo, Gran Sasso and Majella Mountains: The ‘Old Guardians’ of the Tyrrhenian and Adriatic Seas. In Landscapes and Landforms of Italy; Springer: Berlin, Germany, 2017. [Google Scholar]
- ISPRA. Carta Geologica d’Italia alla Scala 1:50,000, Foglio 349 “Gran Sasso d’Italia”; Servizio Geologico d’Italia and Regione Abruzzo: Rome, Italy, 2010. [Google Scholar]
- Civita, M. Schematizzazione idrogeologica delle sorgenti normali e delle relative opere di captazione. Mem. Not. Ist. Geol. Appl. 1973, 12, 1–24. [Google Scholar]
- Cantonati, M.; Segadelli, S.; Ogata, K.; Tran, H.; Sanders, D.; Gerecke, R.; Rott, E.; Filippini, M.; Gargini, A.; Celico, F. A global review on ambient Limestone-Precipitating Springs (LPS): Hydrogeological setting, ecology, and conservation. Sci. Total Environ. 2016, 568, 624–637. [Google Scholar]
- Cantonati, M.; Stevens, L.E.; Segadelli, S.; Springer, A.E.; Goldscheider, N.; Celico, F.; Filippini, M.; Ogata, K.; Gargini, A. Ecohydrogeology: The interdisciplinary convergence needed to improve the study and stewardship of springs and other groundwater-dependent habitats, biota, and ecosystems. Ecol. Indic. 2020, 110, 105803. [Google Scholar] [CrossRef]
- Caine, J.S.; Evans, J.P.; Forster, C.B. Fault zone architecture and permeability structure. Geology 1996, 24, 1025–1028. [Google Scholar] [CrossRef]
- Ferracuti, L.; Marinelli, G.; Rusi, S. Idrogeologia e monitoraggio delle sorgenti carsiche del Tavo (massiccio carbonatico del Gran Sasso) e loro implicazioni nella gestione dell’emergenza torbidità. G. Geol. Appl. 2006, 3, 47–52. [Google Scholar]
- Bellotti, E. Nuclear physics at gran sasso. Nucl. Phys. News 1991, 1, 18–20. [Google Scholar] [CrossRef]
- Di Matteo, L.; Valigi, D.; Cambi, C. Climatic characterization and response of water resources to climate change in limestone areas: Considerations on the importance of geological setting. J. Hydrol. Eng. 2013, 18, 773–779. [Google Scholar] [CrossRef]
- Medici, G.; West, L.J. Review of groundwater flow and contaminant transport modelling approaches for the Sherwood Sandstone aquifer, UK; insights from analogous successions worldwide. Q. J. Eng. Geol. Hydrogeol. 2022, 55, qjegh2021-176. [Google Scholar] [CrossRef]
- Di Curzio, D. Hydrogeochemical and hydrodynamic features affecting redox processes in groundwater. Ital. J. Groundw. 2019, 8, 3. [Google Scholar] [CrossRef]
- Bortone, I.; Santonastaso, G.; Erto, A.; Chianese, S.; Di Nardo, A.; Musmarra, D. An innovative in-situ DRAINage system for advanced groundwater reactive TREATment (in-DRAIN-TREAT). Chemosphere 2021, 270, 129412. [Google Scholar] [CrossRef]
- Dai, C.; Zhang, J.B.; Gao, M.T.; Zhang, Y.; Li, J.; Hu, J. Effects of functional group loss on biochar activated persulfate in-situ remediation of phenol pollution in groundwater and its countermeasures. J. Environ. Manag. 2023, 341, 118076. [Google Scholar] [CrossRef]
- Kurniawan, T.A.; Lo, W.; Liang, X.; Goh, H.H.; Othman, M.H.D.; Chong, K.K.; Chew, K.W. Remediation technologies for contaminated groundwater due to arsenic (As), mercury (Hg), and/or fluoride (F): A critical review and way forward to contribute to carbon neutrality. Sep. Purif. Technol. 2023, 314, 123474. [Google Scholar] [CrossRef]
- Johnston, P.B.; Atkinson, T.; Barker, J.; Odling, N. Constraining the uncertainty in fracture geometry using tracer tests. Hydrogeol. J. 2009, 17, 527–539. [Google Scholar] [CrossRef]
- Bauer, H.; Schröckenfuchs, T.C.; Decker, K. Propriedades hidrogeológicas de zonas de falhas em um aquífero carbonático carstificado (Calcários do Norte dos Alpes, Áustria). Hydrogeol. J. 2006, 24, 1147–1170. [Google Scholar] [CrossRef]
- Dai, L.; Zhao, Y.; Yin, C.; Mao, C.; Zhang, P.; Zhou, F.; Yu, X. Spatial and Temporal Dynamics of Drought and Waterlogging in Karst Mountains in Southwest China. Sustainability 2023, 15, 5545. [Google Scholar] [CrossRef]






| Degree of Spring Reliability | Iv |
| Excellent | 1.0–3.0 |
| Very Good | 3.1–5.0 |
| Good | 5.1–10.0 |
| Modest | 10.1–20.0 |
| Bad | 20.1–100.0 |
| Very Bad | >100.0 |
| Ephimeral Spring | ∞ |
| Degree of Spring’s Discharge Stability | Iv |
| Highly Stable | 1.0–2.0 |
| Moderately Stable | 2.1–10.0 |
| Unstable | 10.1–30.0 |
| Totally Unstable | >30.0 |
| Spring Variability Index | V (%) |
| Highly constant | <25 |
| Moderately constant | 25–100 |
| Variable | >100 |
| Degree of Spring Variability | SVC |
| Steady | 1.0–2.5 |
| Well balanced | 2.6–5.0 |
| Balanced | 5.1–7.5 |
| Unbalanced | 7.6–10.0 |
| Highly unsteady | >10.0 |
| Ephemeral | ∞ |
| Degree of Spring Discharge Stability | SVC |
| Very Stable | 1.0–3.0 |
| Stable | 3.1–10.0 |
| Unstable | 10.1–20.0 |
| VeryUnstable | 20.1–100.0 |
| Extremely Unstable | >100.0 |
| Degree of Spring Variability | SVCP |
| Low | 0–49 |
| Moderate | 50–99 |
| High | 100–199 |
| Very High | >200 |
| Spring | Arithmetic Average, Q (L/s) | Standard Deviation, Q (L/s) | SVCP | V (%) | SVC | Iv | Years |
|---|---|---|---|---|---|---|---|
| Vacelliera Alta (VA) | 57.3 | 19.6 | 0.34 | 149 | 0.44 | 5.65 | 2017–2022 |
| Vacelliera Bassa (VB) | 139.9 | 37.4 | 0.27 | 99 | 0.50 | 3.09 | 2017–2022 |
| South Motorway Tunnel (MT) | 467.2 | 37.9 | 0.10 | 24 | 0.64 | 1.33 | 2016–2018 |
| Vitella d’Oro (VO) | 304.6 | 49.9 | 0.16 | 66 | 0.62 | 1.96 | 2015–2021 |
| Mortaio d’Angri (MA) | 251.9 | 68.8 | 0.27 | 128 | 0.48 | 3.21 | 2017–2022 |
| Chiarino (CH) | 112.2 | 34.4 | 0.31 | 84.7 | 0.47 | 2.58 | 2005–2008 |
| Spirngs | Minimum–Maximum | Average | Standard Deviation, σ | Combined Regression |
|---|---|---|---|---|
| Vacelliera Alta (VA) | 0.005–0.012 | 0.009 | 0.0021 | 0.008 |
| Vacelliera Bassa (VB) | 0.004–0.013 | 0.007 | 0.0032 | 0.004 |
| South Motorway Tunnel (MT) | 0.0006–0.001 | 0.001 | 0.0002 | 0.001 |
| Vitella d’Oro (VO) | 0.0003–0.006 | 0.004 | 0.0009 | 0.004 |
| Mortaio d’Angri (MA) | 0.003–0.008 | 0.005 | 0.0019 | 0.003 |
| Chiarino (CH) | 0.009–0.013 | 0.011 | 0.0015 | 0.010 |
Disclaimer/Publisher’s Note: The statements, opinions and data contained in all publications are solely those of the individual author(s) and contributor(s) and not of MDPI and/or the editor(s). MDPI and/or the editor(s) disclaim responsibility for any injury to people or property resulting from any ideas, methods, instructions or products referred to in the content. |
© 2023 by the authors. Licensee MDPI, Basel, Switzerland. This article is an open access article distributed under the terms and conditions of the Creative Commons Attribution (CC BY) license (https://creativecommons.org/licenses/by/4.0/).
Share and Cite
Medici, G.; Lorenzi, V.; Sbarbati, C.; Manetta, M.; Petitta, M. Structural Classification, Discharge Statistics, and Recession Analysis from the Springs of the Gran Sasso (Italy) Carbonate Aquifer; Comparison with Selected Analogues Worldwide. Sustainability 2023, 15, 10125. https://doi.org/10.3390/su151310125
Medici G, Lorenzi V, Sbarbati C, Manetta M, Petitta M. Structural Classification, Discharge Statistics, and Recession Analysis from the Springs of the Gran Sasso (Italy) Carbonate Aquifer; Comparison with Selected Analogues Worldwide. Sustainability. 2023; 15(13):10125. https://doi.org/10.3390/su151310125
Chicago/Turabian StyleMedici, Giacomo, Valeria Lorenzi, Chiara Sbarbati, Mauro Manetta, and Marco Petitta. 2023. "Structural Classification, Discharge Statistics, and Recession Analysis from the Springs of the Gran Sasso (Italy) Carbonate Aquifer; Comparison with Selected Analogues Worldwide" Sustainability 15, no. 13: 10125. https://doi.org/10.3390/su151310125
APA StyleMedici, G., Lorenzi, V., Sbarbati, C., Manetta, M., & Petitta, M. (2023). Structural Classification, Discharge Statistics, and Recession Analysis from the Springs of the Gran Sasso (Italy) Carbonate Aquifer; Comparison with Selected Analogues Worldwide. Sustainability, 15(13), 10125. https://doi.org/10.3390/su151310125

