The Spatial Distribution Characteristics of Dissolved Organic Matter (DOM) in Sediments and Water Quality of Wuli Lake, Taihu Lake Basin, China
Abstract
1. Introduction
2. Methodology
2.1. Study Area Overview
2.2. Sample Collection and Processing
2.3. Measurement of UV-Vis Absorption Spectral Parameters of DOM
2.4. Determination of Three-Dimensional Fluorescence Spectral Parameters
2.5. Data Processing and Statistical Analysis
3. Results and Analysis
3.1. Analysis of Basic Indicators of Water Bodies
3.2. UV-Visible Absorption Spectral Distribution Characteristics
3.2.1. UV-Vis Absorption Spectral Distribution Characteristics of Surface Sediment
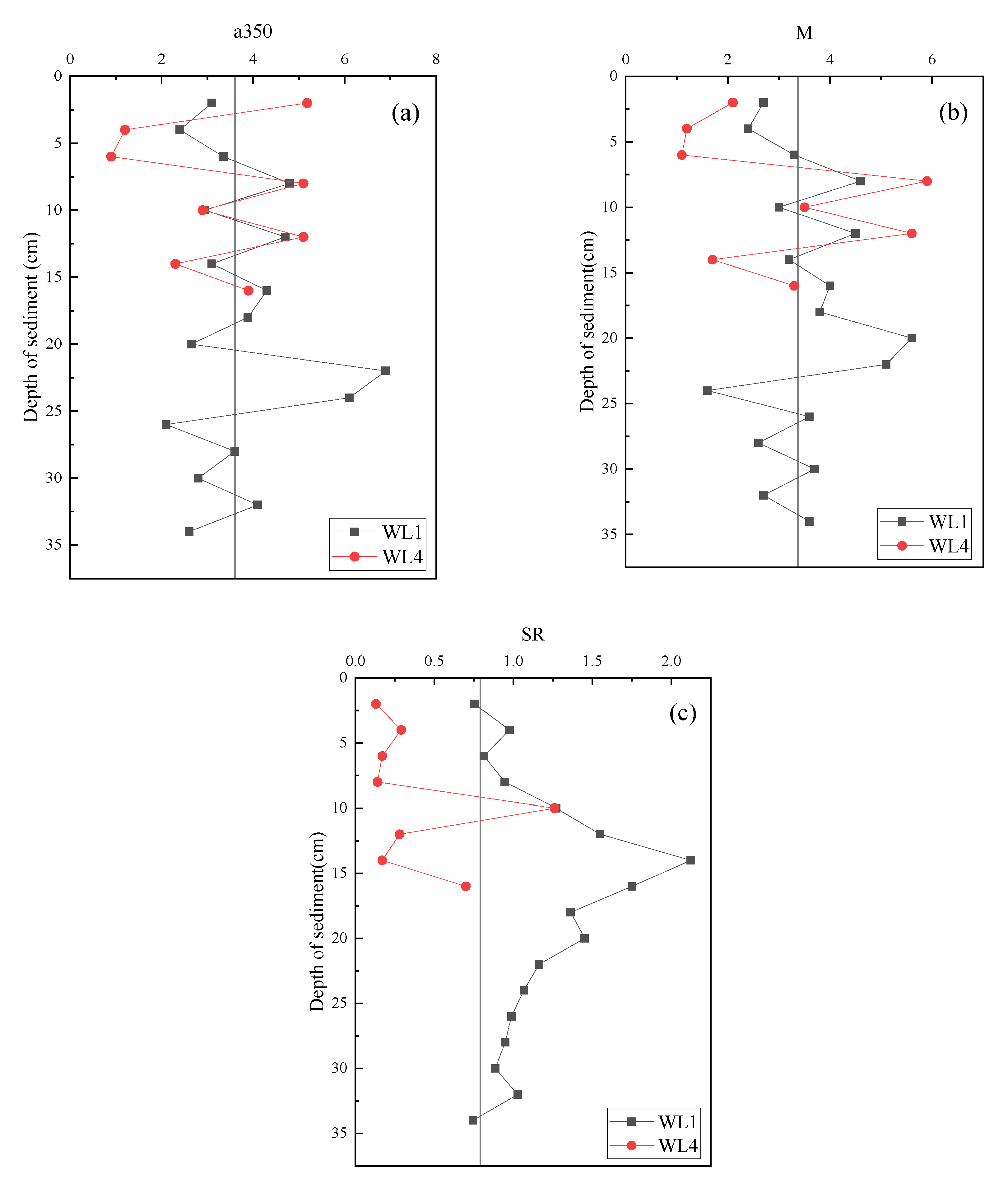
3.2.2. Vertical Distribution Characteristics of UV-Vis Absorption Spectra of DOM in Sediments
3.3. Three-Dimensional Fluorescence Characteristics of DOM in Sediments
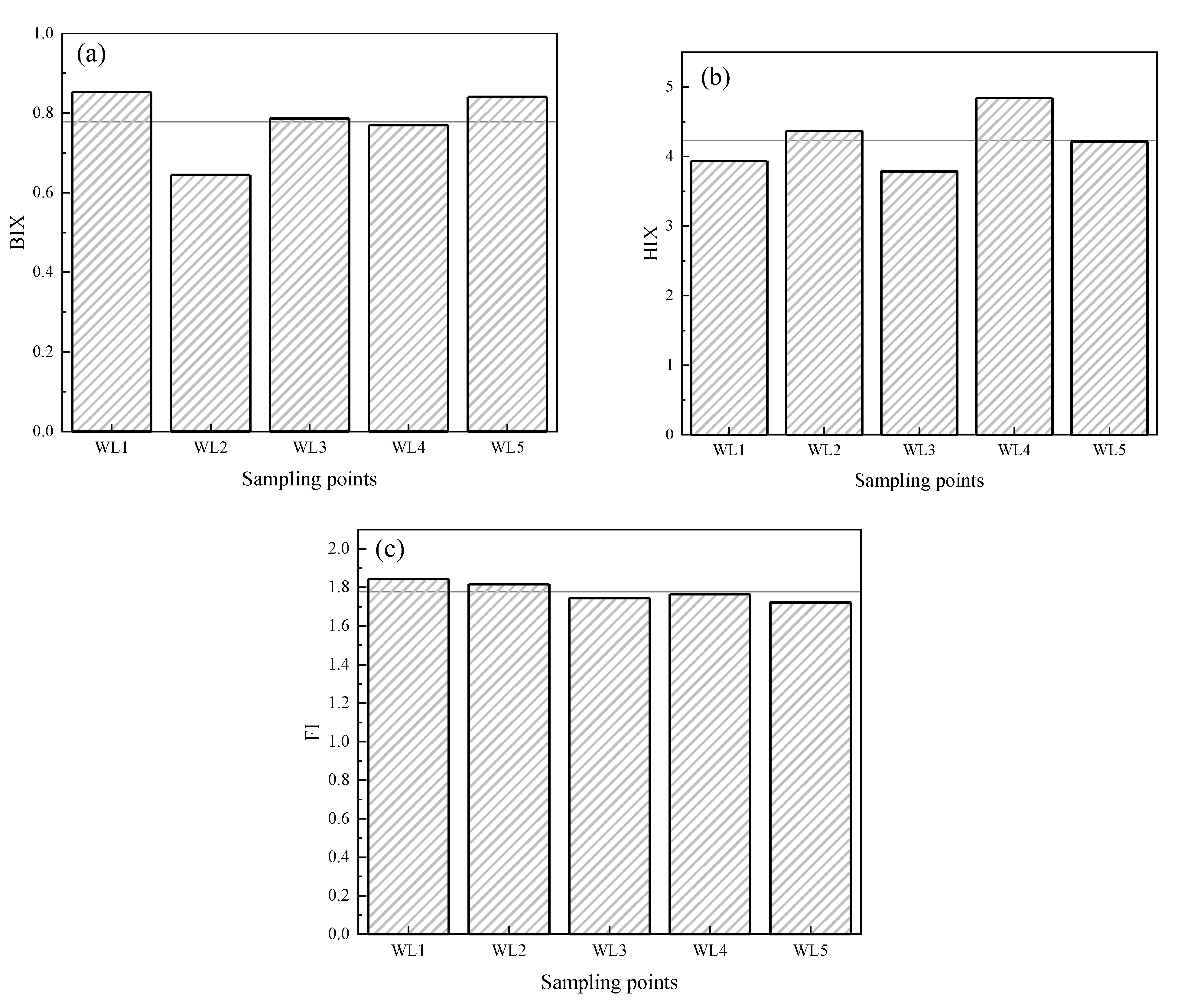
3.3.1. Fluorescence Parameter Distribution Characteristics of DOM in Surface Sediment
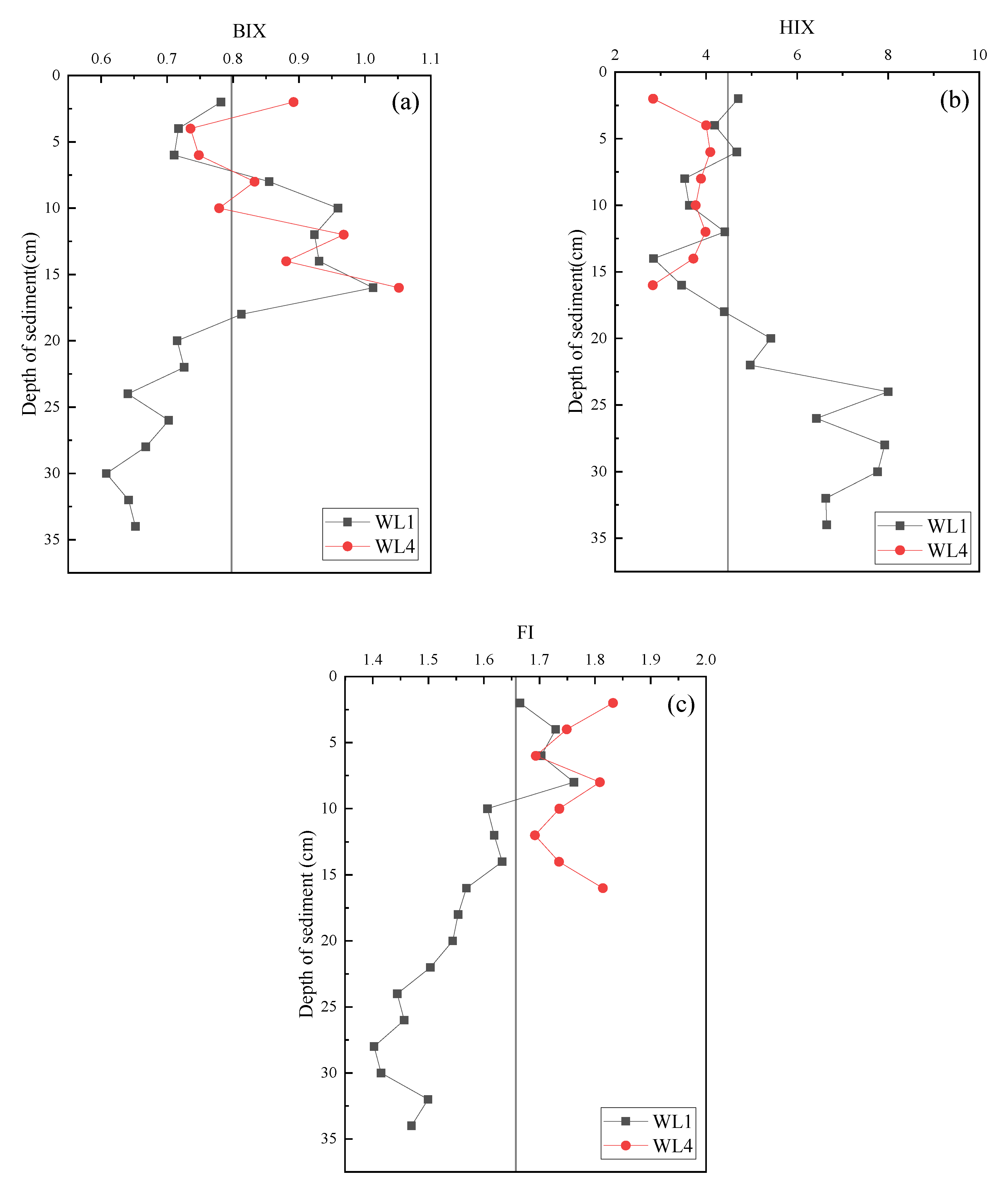
3.3.2. Vertical Distribution Characteristics of Fluorescence Parameters of DOM in Core Sediments
4. Discussion
4.1. Eutrophication Characteristics of Water Bodies in Wuli Lake
4.2. Distribution Characteristics of UV-Vis Absorption Spectral Index of DOM Wuli Lake Sediment
4.3. Fluorescence Distribution Characteristics of DOM in Sediment of Wuli Lake
5. Conclusions
Supplementary Materials
Author Contributions
Funding
Data Availability Statement
Conflicts of Interest
References
- Wu, F.C.; Tanoue, E.; Liu, C.Q. Fluorescence and Amino Acid Characteristics of Molecular Size Fractions of DOM in the Waters of Lake Biwa. Biogeochemistry 2003, 65, 245–257. [Google Scholar] [CrossRef]
- Gan, S.C.; Wu, Y.; Bao, H.Y.; Zhang, J. Characterization of DOM(dissolved organic matter) in Yangtze River using 3-D fluorescence spectroscopy andparallel factor analysis. China Environ. Sci. 2013, 33, 1045–1052, (In Chinese with English abstract). [Google Scholar]
- Feng, W.Y.; Jiao, L.X.; Zhang, S.; Wang, L.M.; Fu, X.J.; Li, C.Y.; Cui, F.L. Spectral characteristics of dissolved organic matter in the sediments of Wuliangsuhai Lake. China Environ. Sci. 2013, 33, 1068–1074, (In Chinese with English abstract). [Google Scholar]
- Zhang, Y.L.; Yin, Y.; Feng, L.Q.; Zhu, G.W.; Shi, Z.Q.; Liu, X.H.; Zhang, Y.Z. Characterizing chromophoric dissolved organic matter in Lake Tianmuhu and its catchment basin using excitation-emission matrix fluorescence and parallel factor analysis. Water Res. 2011, 45, 5110–5122. [Google Scholar] [CrossRef]
- Wu, C.; Wu, X.D.; Ge, X.G.; Feng, L.; Tan, Y.; Yang, J.Y.; Ren, W.X.; Zou, M. Characteristics of Dissolved Organic Matter in Sediments of Typical Lakes in Southeastern Hubei Province, China. Int. J. Environ. Res. Public Health 2022, 19, 7402. [Google Scholar] [CrossRef]
- Xu, H.; Chen, D.; Chen, J.; Zhu, G.W.; Qin, B.Q.; Zhu, M.Y.; Zhang, Y.L. Effects of nitrogen and phosphorus forms and concentrations on the growth of Microcystis aeruginosa and Scenedesmus obliquus. China Environ. Sci. 2019, 39, 2560–2567. [Google Scholar]
- Zhang, X.Y.; Zhu, Y.L.; Zhu, G.W.; Qin, B.Q.; Feng, L.Q.; Cai, L.L.; Gao, G. Resolving the variability of CDOM fluorescence to differentiate the sources and fate of DOM in Lake Taihu and its tributaries. Chemosphere 2011, 82, 145–155. [Google Scholar]
- Ravichandran, M. Interactions between mercury and dissolved organic matter-A review. Chemosphere 2004, 55, 319–331. [Google Scholar] [CrossRef]
- Zhou, Y.Q.; Zhang, Y.L.; Shi, K.; Niu, C.; Liu, X.H.; Duan, H.T. Lake Taihu, a large, shallow and eutrophic aquatic ecosystem in China serves as a sink for chromophoric dissolved organic matter. J. Great Lakes Res. 2015, 41, 597–606. [Google Scholar] [CrossRef]
- Mesfioui, R.; Abdulla, H.A.; Hatcher, P.G. Photochemical alterations of natural and anthropogenic dissolved organic nitrogen in the York River. Environ. Sci. Technol. 2015, 49, 159–167. [Google Scholar] [CrossRef]
- Iles, J.A.; Pettit, N.E.; Donn, M.J.; Grierson, P.F. Phosphorus sorption characteristics and interactions with leaf litter-derived dissolved organic matter leachate in iron-rich sediments of a sub-tropical ephemeral stream. Aquat. Sci. 2022, 84, 56. [Google Scholar] [CrossRef]
- Yuan, D.H.; Cui, J.; Hong, Z.Q.; Wang, J.G.; Ma, W.L.; Li, J.Q. Interaction between dissolved organic matter released by macrophyte decomposition and heavy metal in Lake Baiyangdian. Chin. J. Environ. Eng. 2016, 10, 2184–2192, (In Chinese with English abstract). [Google Scholar]
- Zhang, L.; Liu, Y.J.; Ge, F.J.; Peng, X.; Li, X.; Zhang, X.Y.; Zhang, S.X.; Zhou, Q.H.; Wu, Z.B.; Liu, B.Y. Spatial characteristics of nitrogen forms in a large degenerating lake: Its relationship with dissolved organic matter and microbial community. J. Cleaner Prod. 2022, 371, 133617. [Google Scholar] [CrossRef]
- Gao, T.Z.; Zhang, H.; Zhou, J.W. The influence of dissolved organic matter on the environmental behaviour of heavy metals in soils. J. Ecol. Environ. Sci. 2011, 20, 652–658. [Google Scholar]
- Sondergaard, M.; Stedmon, C.A.; Borch, N.H. Fate of terrigenous dissolved organic matter (DOM) in estuaries: Aggregation and bioavailability. Ophelia 2003, 57, 161–176. [Google Scholar] [CrossRef]
- Meilleur, C.; Kamula, M.; Kuzyk, Z.A.; Guéguen, C. Insights into surface circulation and mixing in James Bay and Hudson Bay from dissolved organic matter optical properties. J. Marine Syst. 2023, 238, 103841. [Google Scholar] [CrossRef]
- Zhang, H.; Liu, Z.F.; Xu, J.; Yang, J.; Zhang, X.; Tao, S.Y. Characterization of Dissolved Organic Matter of Sediments in Urban Streams Using EEMs–PARAFAC and Absorption Spectroscopy: A Case Study in Wuhan, China. Water 2022, 14, 3181. [Google Scholar] [CrossRef]
- Yuan, D.H.; Xiong, S.Y.; Yan, C.L.; Zhai, L.X.; Cui, Y.Q.; Kou, Y.Y. Simultaneous degradation of sulfadiazine and dissolved organic matter based on low-impact development facilities. J. Environ. Sci. 2023, 130, 223–233. [Google Scholar] [CrossRef]
- Liu, Y.; Hu, Y.C.; Yu, C.X.; Gao, Y.Q.; Liu, Z.Y.; Mostofa, K.M.G.; Li, S.L.; Hu, Y.M.; Yu, G.H. Spatiotemporal optical properties of dissolved organic matter in a sluice-controlled coastal plain river with both salinity and trophic gradients. J. Environ. Sci. 2023, 129, 1–15. [Google Scholar] [CrossRef]
- Li, J.F.; Wang, B.L.; Yang, M.L.; Li, W.Z.; Liu, N.; Qi, Y.L.; Liu, C.Q. Geographical constraints on chemodiversity of sediment dissolved organic matter in China’s coastal wetlands. Appl. Geochem. 2022, 147, 105506. [Google Scholar] [CrossRef]
- Wang, J.L.; Fu, Z.S.; Qiao, H.X.; Liu, F.X. Assessment of eutrophication and water quality in the estuarine area of Lake Wuli, Lake Taihu, China. Sci. Total Environ. 2019, 650, 1392–1402. [Google Scholar] [CrossRef]
- Chen, K.N.; Bao, X.M.; Shi, L.X.; Chen, W.M.; Lan, C.J.; Xu, H.; Hu, H.Y. Ecological restoration engineering in Lake Wuli, Lake Taihu: A large enclosure experiment. J. Lake Sci. 2006, 18, 139–149, (In Chinese with English abstract). [Google Scholar]
- Cai, L.L.; Zhu, G.W.; Wang, Y.P.; Qin, B.Q. Influences of comprehensive treatment on water quality in Wuli Bay of Taihu Lake. J. Hohai Univ. (Nat. Sci.) 2011, 39, 482–488. [Google Scholar]
- Feng, W.Y.; Zhu, Y.R.; Wu, F.C.; Zhang, X.; Zhang, C. The fluorescent characteristics and sources of dissolved organic matter in water of Tai Lake, China. Acta Sci. Circumstantiae. 2016, 36, 475–482, (In Chinese with English abstract). [Google Scholar]
- Zhou, Y.K.; Chen, W.; Tao, H.; Yang, J.W. Characteristics of Dissolved Organic Matter in Source Water of Taihu Lake. China Water Wastewater 2017, 33, 46–49, (In Chinese with English abstract). [Google Scholar]
- Yang, Y.; Han, L.Y.; Liu, H.W.; Lei, Y.; Li, Y.; Xu, H.N. Fluorescence Characteristics and Source Analysis of DOM in Snowfall of Xi’an. J. Environ. Sci. 2020, 41, 743–749, (In Chinese with English abstract). [Google Scholar]
- Editional Board of Water and Wastewater Monitoring and Analysis Methods; Ministry of Environmental Potection of the People’s Republic of China (Eds.) Analytical Methods for Water and Wastewater Monitoring, 4th ed.; China Environmental Science Press: Beijing, China, 2002; pp. 223–671. (In Chinese) [Google Scholar]
- Chen, B.F.; Huang, W.; Ma, S.Z.; Feng, M.H.; Liu, C.; Gu, X.Z.; Chen, K.N. Characterization of Chromophoric Dissolved Organic Matter in the Littoral Zones of Eutrophic Lakes Taihu and Hongze during the Algal Bloom Season. Water 2018, 10, 861. [Google Scholar] [CrossRef]
- Zhou, Y.Q.; Davidson, T.A.; Yao, X.L.; Zhang, Y.L.; Jeppesen, E.; Souza, J.G.D.; Wu, H.W.; Shi, K.; Qin, B.Q. How autochthonous dissolved organic matter responds to eutrophication and climate warming: Evidence from a cross-continental data analysis and experiments. Earth-Sci. Rev. 2018, 185, 928–937. [Google Scholar] [CrossRef]
- Piotr, K.; William, J.C.; Robert, F.W.; Michael, J.D.; Wade, S. Characterization of CDOM in an organic-rich river and surrounding coastal ocean in the South Atlantic Bight. Aquat. Sci. 2003, 65, 384–401. [Google Scholar]
- Helms, J.R.; Stubbins, A.; Ritchie, J.D.; Minor, E.C.; Kieber, D.J.; Mopper, K. Absorption Spectral Slopes and Slope Ratios as Indicators of Molecular Weight, Source, and Photobleaching of Chromophoric Dissolved Organic Matter. Limnol. Oceanogr. 2008, 53, 955–969, Erratum in Limnol. Oceanogr. 2009, 54, 1023. [Google Scholar] [CrossRef]
- Zhang, Y.L.; Yin, Y.; Liu, X.H.; Shi, Z.Q.; Feng, L.Q.; Liu, M.L.; Zhu, G.W.; Gong, Z.J.; Qin, B.Q. Spatial-seasonal dynamics of chromophoric dissolved organic matter in Lake Taihu, a large eutrophic, shallow lake in China. Org. Geochem. 2011, 42, 510–519. [Google Scholar] [CrossRef]
- Zsolnay, A.; Baigar, E.; Jimenez, M.; Steinweg, B.; Saccomandi, F. Differentiating with fluorescence spectroscopy the sources of dissolved organic matter in soils subjected to drying. Chemosphere 1999, 38, 45–50. [Google Scholar] [CrossRef]
- Ohno, T. Fluorescence inner-filtering correction for determining the humification index of dissolved organic matter. Environ. Sci. Technol. 2002, 36, 742–746. [Google Scholar] [CrossRef]
- Wang, S.H.; Wang, W.W.; Jiang, X.; Zhao, L.; Zhang, B. Distribution of chromophoric dissolved organic matter in Lihu Lake using excitation-emission matrix fluorescenceand parallel factor analysis. China Environ. Sci. 2016, 36, 517–524, (In Chinese with English abstract). [Google Scholar]
- McKnight, D.M.; Boyer, E.W.; Westerhoff, P.K.; Doran, P.T.; Kulbe, T.; Andersen, D.T. Spectrofluorometric Characterization of Dissolved Organic Matter for Indication of Precursor Organic Material and Aromaticity. Limnol. Oceanogr. 2001, 46, 38–48. [Google Scholar] [CrossRef]
- Gu, Z.L. Bioremediation of Eutrophied Lakes in China. Rural Eco-Environ. 2002, 18, 42–45, (In Chinese with English abstract). [Google Scholar]
- Ohno, T.; Fernandez, I.J.; Hiradate, S.; Sherman, J.F. Effects of soil acidification and forest type on water soluble soil organic matter properties. Geoderma 2007, 140, 176–187. [Google Scholar] [CrossRef]
- Huguet, A.; Vacher, L.; Relexans, S.; Saubusse, S.; Froidefond, J.M.; Parlanti, E. Properties of fluorescent dissolved organic matter in the Gironde Estuary. Org. Geochem. 2009, 40, 706–719. [Google Scholar] [CrossRef]
- Tian, W.; Yang, Z.S.; Shao, K.Q.; Pan, H.; Hu, Y.; Bai, C.R.; Jiang, X.Y.; Gao, G.; Tang, X.M. Effect of a Comprehensive Improvement Project on Water Quality in Urban Lakes: A Case Study of Water Quality Variation in Lihu Lake Over the Past 30 Years. J. Environ. Sci. 2020, 41, 183–191, (In Chinese with English abstract). [Google Scholar]
- Dai, P.; Liu, K.; Zhou, Y.F.; Zhou, Y.; Xu, P. Zooplankton Community Characteristics in the Lakeside Zone of Wuli Lake, Taihu Lake. J. Hydroecol. 2019, 40, 55–63. [Google Scholar]
- Jiang, X.; Wang, S.H.; Yang, X.F.; Wang, W.W.; Li, J.L. Change in Water Quality and Ecosystem of Lihu Lake before and after Comprehensive Water Environmental lmprovement Measures. Res. J. Environ. Sci. 2014, 27, 595–601, (In Chinese with English abstract). [Google Scholar]
- Zhang, M.; Yu, J.L.; He, H.; Li, K.Y.; Chen, F.Z.; Guan, B.H.; Hu, Y.H.; Su, Y.L.; Du, Y.X.; Liu, Z.W. Effects of ecological restoration on water quality of Wuli Bay, Lake Taihu. Ser. G 2012, 31, 240–244, (In Chinese with English abstract). [Google Scholar]
- Fu, Y.S.; He, H.; He, H.Y.; Ma, L.S.; Su, Y.L.; Liu, Z.W. Effect of addition of lanthanum-modified bentonite(PhoslockR) in sediments on growth of Hydrilla verticillata under different water nutrient concentration. J. Lake Sci. 2021, 33, 388–396, (In Chinese with English abstract). [Google Scholar]
- Zhu, S.M.; Wu, X.D.; Zhou, M.D.; Ge, X.G.; Yang, X.Q.; Wang, N.X.; Lin, X.W.; Li, Z.G. Effects of Harvesting Intensity on the Growth of Hydrilla verticillata and Water Quality. Sustainability 2022, 14, 15390. [Google Scholar] [CrossRef]
- Bai, G.L.; Zhang, Y.; Yan, P.; Yan, W.H.; Kong, L.W.; Wang, L.; Wang, C.; Liu, Z.S.; Liu, B.Y.; Ma, J.M.; et al. Spatial and seasonal variation of water parameters, sediment properties, and submerged macrophytes after ecological restoration in a long-term (6 year) study in Hangzhou west lake in China: Submerged macrophyte distribution influenced by environmental variables. Water Res. 2020, 186, 116379. [Google Scholar]
- Qiu, D.R.; Wu, Z.B.; Liu, B.Y.; Deng, J.Q.; Fu, G.P.; He, F. The restoration of aquatic macrophytes for improving water quality in a hypertrophic shallow lake in Hubei Province, China. Ecol. Eng. 2001, 18, 147–156. [Google Scholar] [CrossRef]
- Gao, Y.M.; Yin, C.Y.; Zhao, Y.; Liu, Z.W.; Liu, P.P.; Zhen, W.; Hu, Y.H.; Yu, J.L.; Wang, Z.X.; Guan, B.H. Effects of Diversity, Coverage and Biomass of Submerged Macrophytes on Nutrient Concentrations, Water Clarity and Phytoplankton Biomass in Two Restored Shallow Lakes. Water 2020, 12, 1425. [Google Scholar] [CrossRef]
- Wang, S.H.; Jiang, X.; Wang, W.W.; Zhao, L.; Li, J.L. Dynamic Spatial and Temporal Changes in Water Transparency and Their Influencing Factors in Lihu Lake. Res. J. Environ. Sci. 2014, 27, 688–695, (In Chinese with English abstract). [Google Scholar]
- Fichot, C.G.; Benner, R. A novel method to estimate DOC concentrations from CDOM absorption coefficients in coastal waters. Geophys. Res. Lett. 2011, 38, L03610-1–L03610-5. [Google Scholar] [CrossRef]
- Jin, H.; Lee, D.H.; Shin, H.S. Comparison of the structural, spectroscopic and phenanthrene binding characteristics of humic acids from soils and lake sediments. Org. Geochem. 2009, 40, 1091–1099. [Google Scholar]
- Shen, S.; Wang, Y.L.; Yang, C.M.; Yang, D.H. Spectral characteristic of dissolved organic matter (DOM) in the surface sediments from different discharging points along the Nanfei River in Hefei City, Anhui Province. China Environ. Sci. 2014, 34, 2351–2361, (In Chinese with English abstract). [Google Scholar]
- Zhai, T.E.; Huo, S.L.; Zhang, J.T. Spectral characteristics of vertical distribution of dissolved organic matters in sediments. Chin. J. Environ. Eng. 2017, 11, 6196–6204, (In Chinese with English abstract). [Google Scholar]
- Peuravuori, J.; Pihlaja, K. Molecular size distribution and spectroscopic properties of aquatic humic substances. Anal. Chim. Acta. 1997, 337, 133–149. [Google Scholar] [CrossRef]
- De Haan, H.; De Boer, T. Applicability of light absorbance and fluorescence as measures of concentration and molecular size of dissolved organic carbon in humic Lake Tjeukemeer. Water Res. 1987, 21, 731–734. [Google Scholar] [CrossRef]
- Shi, Y.; Zhang, L.Q.; Li, Y.P.; Zhou, L.; Zhou, Y.Q.; Zhang, Y.L.; Huang, C.C.; Li, H.P.; Zhu, G.W. Influence of land use and rainfall on the optical properties of dissolved organic matter in a key drinking water reservoir in China. Sci. Total Environ. 2020, 699, 134301. [Google Scholar] [CrossRef]
- Li, H.B.; Xie, F.Z.; Li, G.L.; Zhai, H.X.; Gong, X.; Liu, Z.; Luo, K.; Yuan, Z.W. Spectral characteristics of dissolved organic matter in the overlying water from Nanyi Lake. China Environ. Sci. 2022, 42, 3306–3315, (In Chinese with English abstract). [Google Scholar]
- Chen, J.Y.; Wang, S.H.; Jiang, X.; Huang, X.F.; Zhao, L. Fluorescence Spectral Characteristics of Fluorescent Dissolved Organic Matter(FDOM) in the Surface Sediments from Lihu Lake. J. Environ. Sci. 2017, 38, 70–77, (In Chinese with English abstract). [Google Scholar]
- Chen, L.; Zhou, Y.Q.; Zhou, Q.C.; Li, K.D.; Zhang, Y.L.; Zhao, Y.W.; Lu, Y.F.; Chang, J.J. Sources, composition and spatiotemporal variations of chromophoric dissolved organic matter in a deep oligotrophic Lake Fuxian, China. J. Lake Sci. 2019, 31, 1357–1367, (In Chinese with English abstract). [Google Scholar]
- Jiang, J.W.; Li, S.D.; Shen, Y.Y.; Wu, Y.L.; Huang, C.C.; Huang, T.; Jiang, S. Spatial Differences of Optical Properties of CDOM and Their Source Apportionment in Taihu Lake in Summer. Res. J. Environ. Sci. 2017, 30, 1020–1030, (In Chinese with English abstract). [Google Scholar]
- Ni, M.F.; Liu, R.; Wang, Z.K.; Zhang, J.; Yuan, H.D.; Xu, R. Spatial pattern and interconnections of optical properties of dissolved organic matter during rainy season in a typical karst river. Acta Ecol. Sin. 2022, 42, 2822–2833, (In Chinese with English abstract). [Google Scholar]
- Sun, W.; Hu, H.; Zhao, Q.; Wang, L.; Xia, R.; Wang, X.; Bu, L.S.; Xue, J. Fluorescence Characteristics and Source Analysis of Dissolved Organic Matter in Dali-Nor Lake. Res. J. Environ. Sci. 2020, 33, 2084–2093, (In Chinese with English abstract). [Google Scholar]
- Zhu, J.J.; Zou, N.; Zhong, H.; Liu, G.X.; Lei, P. Spatiotemporal characteristics and its environmental application of dissolved organic matter (DOM) in sediments from Chaohu Lake, a eutrophic lake. Acta Sci. Circumstantiae. 2020, 40, 2528–2538, (In Chinese with English abstract). [Google Scholar]







| Sources | Study Areas | FI | HIX | BIX | References | |||
|---|---|---|---|---|---|---|---|---|
| Average | Range | Average | Range | Average | Range | |||
| Water | Fuxian Lake | 1.73 | 1.28~2.12 | 1.02 | - | 1.23 | 1.03~2.04 | [59] |
| Taihu Lake | 1.78 | 1.50~2.01 | 0.52 | 0.32~0.68 | 1.16 | 0.82~1.64 | [60] | |
| Nanyi Lake | 1.95 | 1.71~2.49 | 0.74 | 0.10~2.63 | 1.31 | 0.81~2.92 | [57] | |
| Furong River | - | 2.14~2.39 | 0.54 | 0.14~0.79 | 0.91 | 0.77~1.11 | [61] | |
| Dali-Nor Lake | 1.71 | 1.64~1.89 | 1.63 | 1.24~1.84 | 0.96 | 0.92~0.99 | [62] | |
| Sediments | Chaohu Lake | 3.77 | 2.56~4.89 | - | 0.57~6.78 | 0.87 | 0.31~1.54 | [63] |
| Nanfei River | 2.32 | 2.23~2.47 | 4.96 | 3.87~8.71 | 0.85 | 0.66~0.94 | [52] | |
| Liangzi Lake | 1.84 | 1.73~1.95 | 1.10 | 0.40~2.63 | 2.13 | 0.78~4.17 | [5] | |
| Bao’an Lake | 1.82 | 1.75~1.87 | 2.56 | 2.22~2.96 | 0.79 | 0.73~0.85 | [5] | |
| Daye Lake | 1.74 | 1.63~1.80 | 4.07 | 0.71~6.24 | 0.77 | 0.70~0.92 | [5] | |
| Qingshan Lake | 1.82 | 1.75~1.88 | 2.49 | 1.36~3.45 | 0.79 | 0.74~0.89 | [5] | |
| Wuli Lake | 1.78 | 1.72~1.84 | 4.23 | 3.79~4.84 | 0.78 | 0.64~0.85 | This paper | |
Disclaimer/Publisher’s Note: The statements, opinions and data contained in all publications are solely those of the individual author(s) and contributor(s) and not of MDPI and/or the editor(s). MDPI and/or the editor(s) disclaim responsibility for any injury to people or property resulting from any ideas, methods, instructions or products referred to in the content. |
© 2023 by the authors. Licensee MDPI, Basel, Switzerland. This article is an open access article distributed under the terms and conditions of the Creative Commons Attribution (CC BY) license (https://creativecommons.org/licenses/by/4.0/).
Share and Cite
Zhu, S.; Peng, R.; Wu, X.; Ge, X.; Yang, J.; Lin, X.; Peng, S.; Feng, L.; Wang, N. The Spatial Distribution Characteristics of Dissolved Organic Matter (DOM) in Sediments and Water Quality of Wuli Lake, Taihu Lake Basin, China. Sustainability 2023, 15, 10097. https://doi.org/10.3390/su151310097
Zhu S, Peng R, Wu X, Ge X, Yang J, Lin X, Peng S, Feng L, Wang N. The Spatial Distribution Characteristics of Dissolved Organic Matter (DOM) in Sediments and Water Quality of Wuli Lake, Taihu Lake Basin, China. Sustainability. 2023; 15(13):10097. https://doi.org/10.3390/su151310097
Chicago/Turabian StyleZhu, Shunmei, Ruping Peng, Xiaodong Wu, Xuguang Ge, Jiuyun Yang, Xiaowen Lin, Shuang Peng, Lan Feng, and Nuoxi Wang. 2023. "The Spatial Distribution Characteristics of Dissolved Organic Matter (DOM) in Sediments and Water Quality of Wuli Lake, Taihu Lake Basin, China" Sustainability 15, no. 13: 10097. https://doi.org/10.3390/su151310097
APA StyleZhu, S., Peng, R., Wu, X., Ge, X., Yang, J., Lin, X., Peng, S., Feng, L., & Wang, N. (2023). The Spatial Distribution Characteristics of Dissolved Organic Matter (DOM) in Sediments and Water Quality of Wuli Lake, Taihu Lake Basin, China. Sustainability, 15(13), 10097. https://doi.org/10.3390/su151310097

