Digital Model of Deflection of a Cable-Stayed Bridge Driven by Deep Learning and Big Data Optimized via PCA-LGBM
Abstract
1. Introduction
2. Extraction of Temperature Features and Temperature-Induced Deflection
2.1. Bridge and Monitoring System
2.2. Temperature-Induced Deflection
2.3. Temperature Information
2.4. Extraction of Temperature Features
2.4.1. Information Reconstruction via Principal Component Analysis (PCA)
2.4.2. Analysis of the Reconstructed Information via Light Gradient Boosting
Machine (LGBM)
2.4.3. Extraction Process of the Temperature Features via PCA-LGBM
2.5. Training Set and Test Set
2.6. Constructing the Data Mode for Neural Networks
3. Multiple Linear Regression (MLR) Analysis
4. Backpropagation Neural Network (BPNN)
5. Regression Model Based on Deep Learning
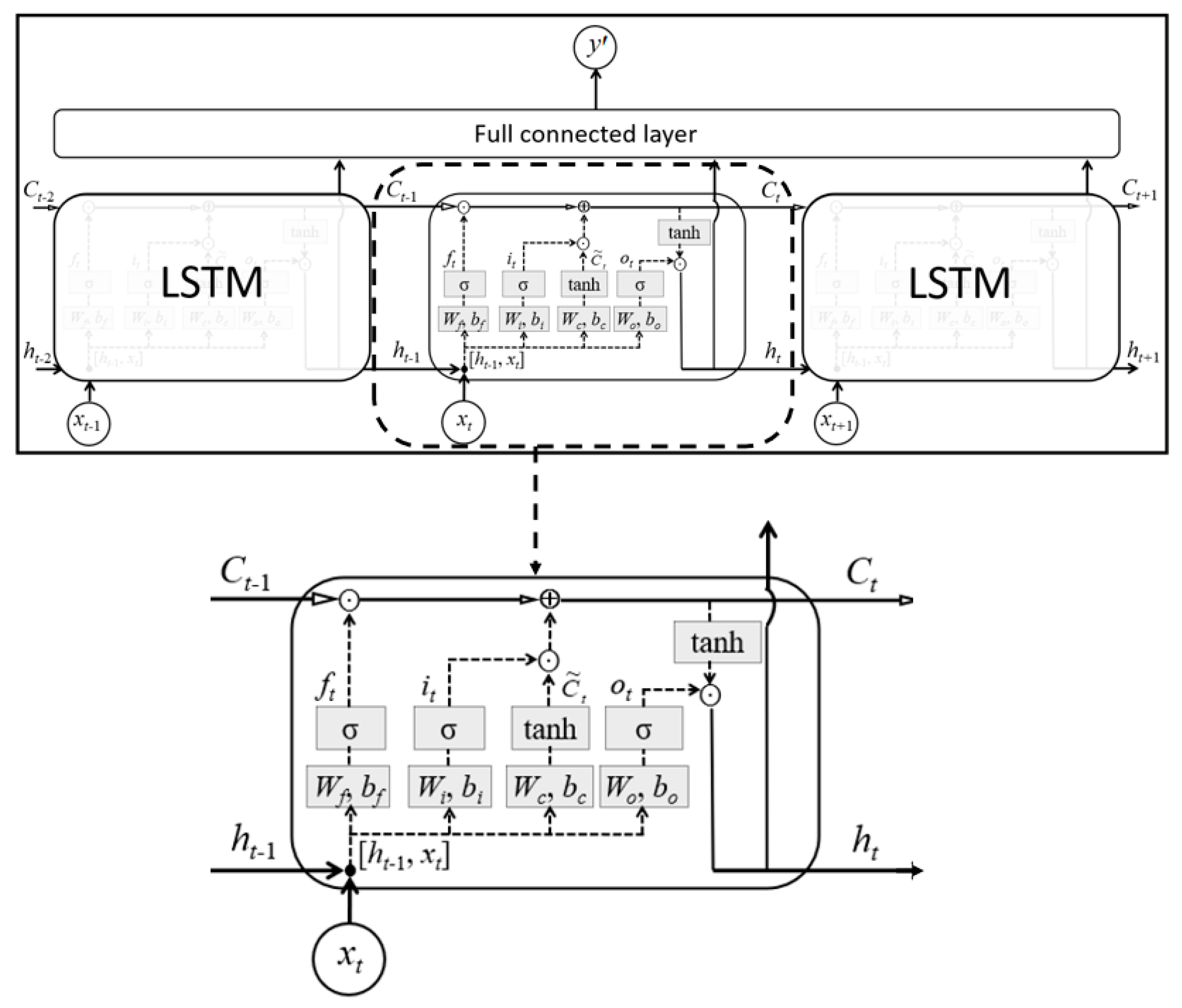
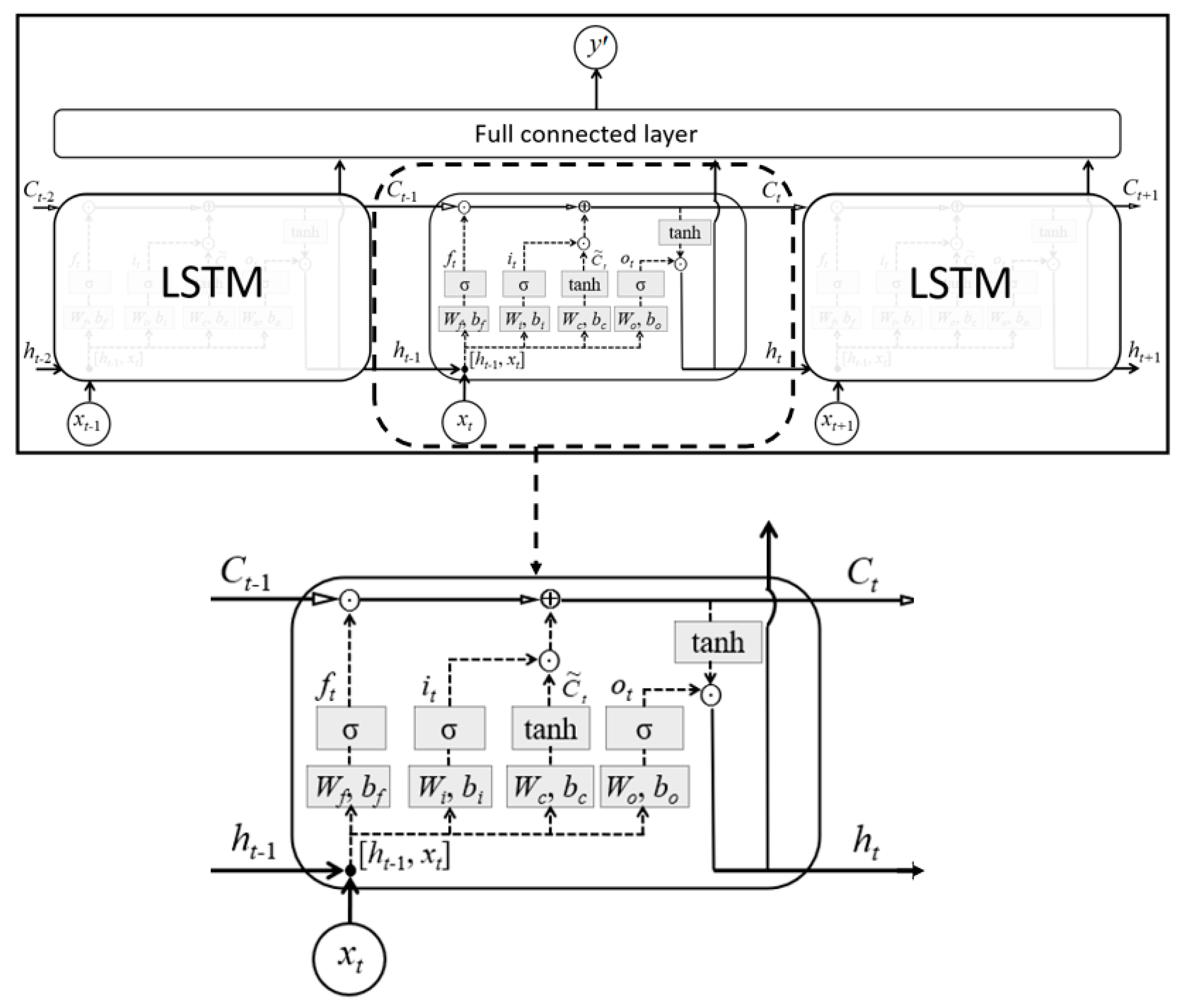
5.1. Long-Short Term Memory Network (LSTM)
5.2. Nested Long Short-Term Memory Network (NLSTM)
5.3. Optimized Architecture for NLSTM Network
6. Evaluation of Several Models
7. Conclusions and Prospect
- (1)
- After verification, for the structural health monitoring data, the main temperature features extracted from the complex temperature field via the PCA-LGBM algorithm have a reliable generalization. It is impossible to build a precise model using the randomly selected features. Thus, the algorithm plays an important role in intelligent regression analysis.
- (2)
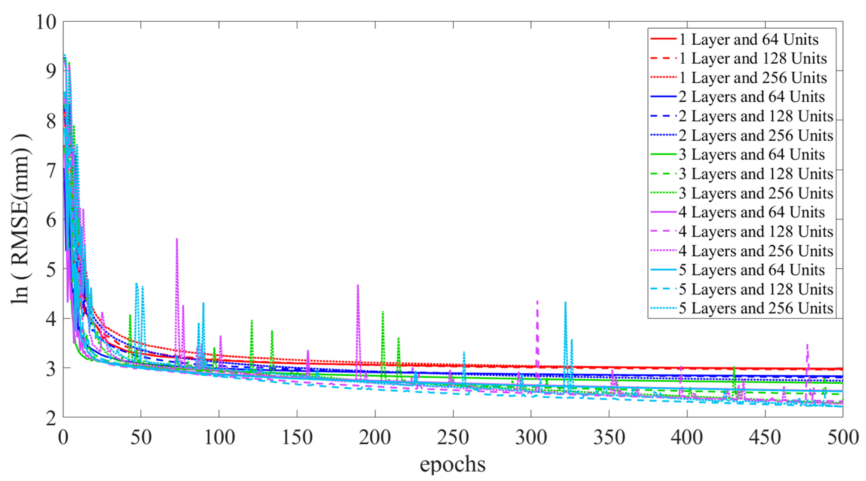
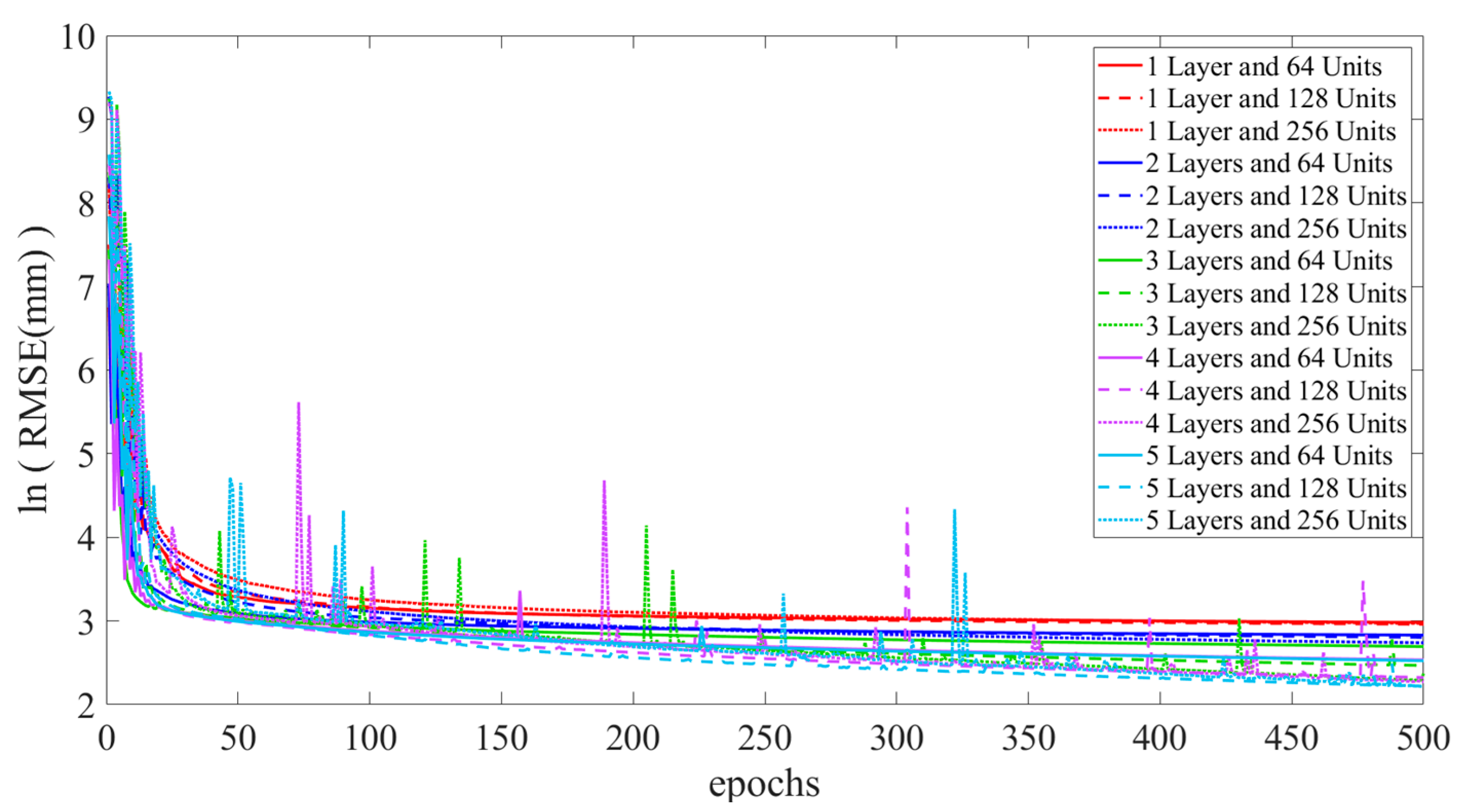
- The architecture of the NLSTM network should be optimized. On the one hand, if there are too few hidden layers and units, the requirements of prediction accuracy and generalization performance will be difficult to satisfy. On the other hand, if the layers and units are too numerous, a substantial computational cost will be incurred with little improvement in model accuracy. In this regard, the NLSTM network with 2 hidden layers, each with 256 hidden units, is the best choice.
- (3)
- The deep learning-based NLSTM network has higher stability and accuracy in regression analysis compared with traditional MLR analysis and machine learning-based BPNN. Its MAE is only one-twelfth of that of the MLR model, and only one-fifth of that of the BPNN regression model. The ratio of MSE to MAE (MSE/MAE) is only one-seventh of that of the MLR model, and only one-fourth of that of the BPNN regression model, illustrating the strong stability of the proposed NLSTM model. Similarly, the calculation results of NLSTM are better than those of classical LSTM, indicating that using NLSTM to build the regression model of the temperature-induced deflection for cable-stayed bridges is preferred.
Author Contributions
Funding
Institutional Review Board Statement
Informed Consent Statement
Data Availability Statement
Acknowledgments
Conflicts of Interest
References
- Sun, L.; Shang, Z.; Xia, Y.; Bhowmick, S.; Nagarajaiah, S. Review of Bridge Structural Health Monitoring Aided by Big Data and Artificial Intelligence: From Condition Assessment to Damage Detection. J. Struct. Eng. 2020, 146, 04020073. [Google Scholar] [CrossRef]
- Miyamoto, A.; Motoshita, M. A Study on the intelligent bridge with an advanced monitoring system and smart control techniques. Smart Struct. Syst. 2017, 19, 587–599. [Google Scholar]
- Xia, G.P. Parametric Study of Cable Deflection and Gravity Stiffness of Cable-Stayed Suspension Bridge. Appl. Mech. Mater. 2014, 488–489, 445–448. [Google Scholar] [CrossRef]
- Zhao, H.W.; Ding, Y.L.; Nagarajaiah, S.; Li, A.Q. Behavior Analysis and Early Warning of Girder Deflections of a Steel-Truss Arch Railway Bridge under the Effects of Temperature and Trains: Case Study. J. Bridge Eng. 2019, 24, 05018013. [Google Scholar] [CrossRef]
- Ding, Y.; Wang, G.; Zhou, G.; Li, A. Life-cycle simulation method of temperature field of steel box girder for Runyang cable-stayed bridge based on field monitoring data. China Civ. Eng. J. 2013, 46, 129–136. [Google Scholar]
- Xu, X.; Xu, C.B.; Zhang, Y.; Wang, H.L. Preliminary Study on the Loss Laws of Bearing Capacity of Tunnel Structure. Symmetry 2021, 13, 1951. [Google Scholar] [CrossRef]
- Zhou, Y.; Sun, L.M.; Fu, Z.H.; Jiang, Z.; Ren, P.J. General formulas for estimating temperature-induced mid-span vertical displacement of cable-stayed bridges. Eng. Struct. 2020, 221, 111012. [Google Scholar] [CrossRef]
- Zhou, Y.; Sun, L.M.; Fu, Z.H.; Jiang, Z. Study on temperature sensitivity coefficients of mid-span vertical displacement of cable-stayed bridges. Eng. Mech. 2020, 37, 148–154. (In Chinese) [Google Scholar]
- Zhou, Y.; Sun, L.M. Insights into temperature effects on structural deformation of a cable-stayed bridge based on structural health monitoring. Struct. Health Monit. 2019, 18, 778–791. [Google Scholar] [CrossRef]
- Wang, M.; Ding, Y.; Wan, C.; Zhao, H. Big data platform for health monitoring systems of multiple bridges. Struct. Monit. Maint. 2020, 7, 345. [Google Scholar]
- Chengfeng, T.; Zejia, L.; Ge, Z. Processing technique and application of big data oriented to long-term bridge health monitoring. J. Exp. Mech. 2017, 32, 652–663. [Google Scholar]
- Cai, G.W.; Mahadevan, S. Big Data Analytics in Uncertainty Quantification: Application to Structural Diagnosis and Prognosis. ASCE-ASME J. Risk Uncertain. Eng. Syst. Part A Civ. Eng. 2018, 4, 04018003. [Google Scholar] [CrossRef]
- Huang, H.B.; Yi, T.H.; Li, H.N. Canonical correlation analysis based fault diagnosis method for structural monitoring sensor networks. Smart Struct. Syst. 2016, 17, 1031–1053. [Google Scholar] [CrossRef]
- Punmiya, R.; Choe, S. Energy theft detection using gradient boosting theft detector with feature engineering-based preprocessing. IEEE Trans. Smart Grid 2019, 10, 2326–2329. [Google Scholar] [CrossRef]
- Wang, L.; Zeng, Y.; Chen, T. Back propagation neural network with adaptive differential evolution algorithm for time series forecasting. Expert Syst. Appl. 2015, 42, 855–863. [Google Scholar] [CrossRef]
- Singh, A.; Kushwaha, S.; Alarfaj, M.; Singh, M. Comprehensive overview of backpropagation algorithm for digital image denoising. Electronics 2022, 11, 1590. [Google Scholar] [CrossRef]
- Ma, X.; Zhong, H.; Li, Y.; Ma, J.; Cui, Z.; Wang, Y. Forecasting transportation network speed using deep capsule networks with nested LSTM models. IEEE Trans. Intell. Transp. Syst. 2020, 22, 4813–4824. [Google Scholar] [CrossRef]
- Smagulova, K.; James, A.P. A survey on LSTM memristive neural network architectures and applications. Eur. Phys. J. Spec. Top. 2019, 228, 2313–2324. [Google Scholar] [CrossRef]
- Liu, H.; Ding, Y.L.; Zhao, H.W.; Wang, M.Y.; Geng, F.F. Deep learning-based recovery method for missing structural temperature data using LSTM network. Struct. Monit. Maint. 2020, 7, 109–124. [Google Scholar]
- Erichson, N.B.; Zheng, P.; Manohar, K.; Brunton, S.L.; Kutz, J.N.; Aravkin, A.Y. Sparse Principal Component Analysis via Variable Projection. SIAM J. Appl. Math. 2018, 80, 977–1002. [Google Scholar] [CrossRef]
- Ju, Y.; Sun, G.; Chen, Q.; Zhang, M.; Zhu, H.; Rehman, M.U. A Model Combining Convolutional Neural Network and LightGBM Algorithm for Ultra-short-term Wind Power Forecasting. IEEE Access 2019, 7, 28309–28318. [Google Scholar] [CrossRef]
- Yue, Z.X.; Ding, Y.L.; Zhao, H.W.; Wang, Z.W. Mechanics-Guided optimization of an LSTM network for Real-Time mod-eling of Temperature-Induced deflection of a Cable-Stayed bridge. Eng. Struct. 2022, 252, 113619. [Google Scholar] [CrossRef]
- Liu, Y.; Jing, W.; Xu, L. Cascading model based back propagation neural network in enabling precise classification. In Proceedings of the 2016 12th Interna-tional Conference on Natural Computation, Fuzzy Systems and Knowledge Discovery (ICNC-FSKD), Changsha, China, 13–15 August 2016; pp. 7–11. [Google Scholar]
- Williams, R.J.; Zipser, D. A Learning Algorithm for Continually Running Fully Recurrent Neural Networks. Neural Comput. 1989, 1, 270–280. [Google Scholar] [CrossRef]
- Yue, Z.X.; Ding, Y.L.; Zhao, H.W.; Wang, Z.W. Case Study of Deep Learning Model of Temperature-Induced Deflection of a Cable-Stayed Bridge Driven by Data Knowledge. Symmetry 2021, 13, 2293. [Google Scholar] [CrossRef]
- Hang, R.L.; Liu, Q.S.; Hong, D.F.; Ghamisi, P. Cascaded Recurrent Neural Networks for Hyperspectral Image Classification. IEEE Trans. Geosci. Remote Sens. 2019, 57, 5384–5394. [Google Scholar] [CrossRef]
- Zhang, Y.Z.; Xiong, R.; He, H.W.; Pecht, M.G. Long-short-Term Memory Recurrent Neural Network for Remaining Useful Life Prediction of Lithium-Ion Batteries. IEEE Trans. Veh. Technol. 2018, 67, 5695–5705. [Google Scholar] [CrossRef]
- Yu, Y.; Si, X.S.; Hu, C.H.; Zhang, J.X. A Review of Recurrent Neural Networks: LSTM Cells and Network Architectures. Neural Comput. 2019, 31, 1235–1270. [Google Scholar] [CrossRef]
- Nakisa, B.; Rastgoo, M.N.; Rakotonirainy, A.; Maire, F.; Chandran, V. Long-short Term Memory Hyperparameter Optimization for a Neural Network Based Emotion Recognition Framework. IEEE Access 2018, 6, 49325–49338. [Google Scholar] [CrossRef]




























| Methods | MSE of Training Set (mm2) | MSE of Test Set (mm2) |
|---|---|---|
| 1 layer and 64 units | 389.13 | 390.53 |
| 1 layer and 128 units | 373.66 | 371.98 |
| 1 layer and 256 units | 381.15 | 384.70 |
| 2 layers and 64 units | 287.38 | 300.98 |
| 2 layers and 128 units | 272.91 | 306.22 |
| 2 layers and 256 units | 239.56 | 292.11 |
| 3 layers and 64 units | 218.81 | 239.02 |
| 3 layers and 128 units | 139.25 | 178.77 |
| 3 layers and 256 units | 114.69 | 161.60 |
| 4 layers and 64 units | 159.21 | 203.32 |
| 4 layers and 128 units | 104.34 | 155.83 |
| 4 layers and 256 units | 93.96 | 170.20 |
| 5 layers and 64 units | 156.07 | 198.31 |
| 5 layers and 128 units | 85.01 | 161.10 |
| 5 layers and 256 units | 84.18 | 154.09 |
| Methods | MSE of Training Set (mm2) | MSE of Test Set (mm2) |
|---|---|---|
| 1 layer and 64 units | 488.78 | 493.74 |
| 1 layer and 128 units | 85.28 | 95.16 |
| 1 layer and 256 units | 27.32 | 35.55 |
| 2 layers and 64 units | 97.97 | 104.39 |
| 2 layers and 128 units | 15.97 | 21.07 |
| 2 layer and 256 units | 14.22 | 18.57 |
| 3 layers and 64 units | 25.47 | 31.86 |
| 3 layers and 128 units | 13.37 | 16.13 |
| 3 layers and 256 units | 12.59 | 16.01 |
| Methods | MAE (mm) | MSE (mm2) | MAXAE (mm) |
|---|---|---|---|
| MLR (features of PCA-LGBM) | 18.26 | 246.73 | 61.80 |
| BPNN (features of PCA-LGBM) | 12.63 | 154.09 | 50.44 |
| LSTM (features of PCA-LGBM) | 8.06 | 66.95 | 33.16 |
| NLSTM (features of PCA-LGBM) | 4.76 | 18.57 | 27.37 |
| MLR (randomly selected features) | 22.56 | 387.89 | 70.76 |
| BPNN (PCA-LGBM) (randomly selected features) | 19.55 | 326.78 | 62.89 |
| LSTM (PCA-LGBM) (randomly selected features) | 18.86 | 267.86 | 56.87 |
| NLSTM (PCA-LGBM) (randomly selected features) | 17.34 | 250.16 | 47.98 |
Disclaimer/Publisher’s Note: The statements, opinions and data contained in all publications are solely those of the individual author(s) and contributor(s) and not of MDPI and/or the editor(s). MDPI and/or the editor(s) disclaim responsibility for any injury to people or property resulting from any ideas, methods, instructions or products referred to in the content. |
© 2023 by the authors. Licensee MDPI, Basel, Switzerland. This article is an open access article distributed under the terms and conditions of the Creative Commons Attribution (CC BY) license (https://creativecommons.org/licenses/by/4.0/).
Share and Cite
Xia, Z.; Guo, J.; Yue, Z.; Ding, Y.; Wang, Z.; Sun, S. Digital Model of Deflection of a Cable-Stayed Bridge Driven by Deep Learning and Big Data Optimized via PCA-LGBM. Sustainability 2023, 15, 9623. https://doi.org/10.3390/su15129623
Xia Z, Guo J, Yue Z, Ding Y, Wang Z, Sun S. Digital Model of Deflection of a Cable-Stayed Bridge Driven by Deep Learning and Big Data Optimized via PCA-LGBM. Sustainability. 2023; 15(12):9623. https://doi.org/10.3390/su15129623
Chicago/Turabian StyleXia, Zili, Junxiao Guo, Zixiang Yue, Youliang Ding, Zhiwen Wang, and Shouwang Sun. 2023. "Digital Model of Deflection of a Cable-Stayed Bridge Driven by Deep Learning and Big Data Optimized via PCA-LGBM" Sustainability 15, no. 12: 9623. https://doi.org/10.3390/su15129623
APA StyleXia, Z., Guo, J., Yue, Z., Ding, Y., Wang, Z., & Sun, S. (2023). Digital Model of Deflection of a Cable-Stayed Bridge Driven by Deep Learning and Big Data Optimized via PCA-LGBM. Sustainability, 15(12), 9623. https://doi.org/10.3390/su15129623
