Digital Integration of Temperature Field of Cable-Stayed Bridge Based on Finite Element Model Updating and Health Monitoring
Abstract
1. Introduction
2. Methodology
2.1. Finite Element Model Update of Numerical Temperature Field
2.1.1. Stochastic Response Surface Model Updating Method
2.1.2. Selection of Parameters and Response
2.1.3. Objective Function
2.1.4. Optimization Algorithm
2.2. Deep Learning-Based Temperature Field Modeling
3. Case Study
3.1. Bridge Description
3.2. Numerical Temperature Field Using FE Model
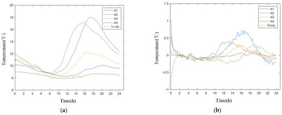
3.2.1. Comparison Results of Main Beam
3.2.2. Comparison Results for Tower
3.3. Test
3.3.1. Temperature Mapping Model of Main Beam
3.3.2. Temperature Mapping Model of Tower
4. Conclusions
Author Contributions
Funding
Data Availability Statement
Conflicts of Interest
References
- Alvandi, A.; Cremona, C. Assessment of vibration-based damage identification techniques. J. Sound Vib. 2006, 292, 179–202. [Google Scholar] [CrossRef]
- Bao, Y.; Chen, Z.; Wei, S.; Xu, Y.; Tang, Z.; Li, H. The State of the Art of Data Science and Engineering in Structural Health Monitoring. Engineering 2019, 5, 234–242. [Google Scholar] [CrossRef]
- Xudong, J.; Huaqiang, Z.; Ye, X.; Limin, S. Faulty data detection and classification for bridge structural health monitoring via statistical and deep-learning approach. Struct. Control Health Monit. 2021, 28, e2824. [Google Scholar] [CrossRef]
- Tang, F.; Ma, T.; Guan, Y.; Zhang, Z. Parametric modeling and structure verification of asphalt pavement based on BIM-ABAQUS. Autom. Constr. 2020, 111, 103066. [Google Scholar] [CrossRef]
- Zhou, L.; Xia, Y.; Brownjohn, J.M.; Koo, K.Y. Temperature analysis of a long-span suspension bridge based on field monitoring and numerical simulation. J. Bridge Eng. 2016, 21, 04015027. [Google Scholar] [CrossRef]
- Costin, A.; Hu, H.; Medlock, R. Building Information Modeling for Bridges and Structures: Outcomes and Lessons Learned from the Steel Bridge Industry. Transp. Res. Rec. 2021, 2675, 576–586. [Google Scholar] [CrossRef]
- Tuceryan, M.; Chorzempa, T. Relative sensitivity of a family of closest-point graphs in computer vision applications. Pattern Recognition 1991, 24, 361–373. [Google Scholar] [CrossRef]
- Omidshafiei, S.; Lopez, B.T.; How, J.P.; Vian, J. Hierarchical bayesian noise inference for robust real-time probabilistic object classification. arXiv 2016, arXiv:1605.01042. [Google Scholar]
- Arazo, E.; Ortego, D.; Albert, P.; O’Connor, N.; McGuinness, K. Unsupervised label noise modeling and loss updating. In Proceedings of the International Conference on Machine Learning, Long Beach, CA, USA, 9–15 June 2019; ACM: New York, NY, USA, 2019; pp. 312–321. [Google Scholar]
- Johnson, J.M.; Khoshgoftaar, T.M. A survey on classifying big data with label noise. ACM J. Data Inf. Qual. 2022, 14, 1–43. [Google Scholar] [CrossRef]
- Lee, K.H.; He, X.; Zhang, L.; Yang, L. Cleannet: Transfer learning for scalable image classifier training with label noise. In Proceedings of the IEEE Conference on Computer Vision and Pattern Recognition, Lake City, UT, USA, 18–23 June 2018; pp. 5447–5456. [Google Scholar] [CrossRef]
- Yeh, J.-R.; Shieh, J.-S.; Huang, N.E. Complementary Ensemble Empirical Mode Decomposition: A Novel Noise Enhanced Data Analysis Method. Adv. Adapt. Data Anal. 2011, 2, 135–156. [Google Scholar] [CrossRef]
- Cao, J.; Liu, Y.; Li, C. Damage cross detection between bridges monitored within one cluster using the difference ratio of projected strain monitoring data. Struct. Health Monit. 2022, 21, 571–595. [Google Scholar] [CrossRef]
- Zhang, S.; Liu, Y. Damage detection of bridges monitored within one cluster based on the residual between the cumulative distribution functions of strain monitoring data. Struct. Health Monit. 2020, 19, 1764–1789. [Google Scholar] [CrossRef]
- Li, S.; Li, H.; Liu, Y.; Lan, C.; Zhou, W.; Ou, J. SMC structural health monitoring benchmark problem using monitored data from an actual cable-stayed bridge. Struct. Control Health Monit. 2014, 21, 156–172. [Google Scholar] [CrossRef]
- He, Z.; Li, W.; Salehi, H.; Zhang, H.; Zhou, H.; Jiao, P. Integrated structural health monitoring in bridge engineering. Autom. Constr. 2022, 136, 104168. [Google Scholar] [CrossRef]
- Bud, M.A.; Moldovan, I.; Radu, L.; Nedelcu, M.; Figueiredo, E. Reliability of probabilistic numerical data for training machine learning algorithms to detect damage in bridges. Struct. Control Health Monit. 2022, 29, e2950. [Google Scholar] [CrossRef]
- Figueiredo, E.; Moldovan, I.; Santos, A.; Campos, P.; Costa, J.C.W.A. Finite element–based machine-learning approach to detect damage in bridges under operational and environmental variations. J. Bridge Eng. 2019, 24, 04019061. [Google Scholar] [CrossRef]
- Sun, L.; Shang, Z.; Xia, Y.; Bhowmick, S.; Nagarajaiah, S. Review of bridge structural health monitoring aided by big data and artificial intelligence: From condition assessment to damage detection. J. Struct. Eng. 2020, 146, 04020073. [Google Scholar] [CrossRef]
- Zhou, L.; Liang, C.; Chen, L.; Xia, Y. Numerical simulation method of thermal analysis for bridges without using field measurements. Procedia Eng. 2017, 210, 240–245. [Google Scholar] [CrossRef]
- Huang, Y.; Liu, G.; Huang, S.; Rao, R.; Hu, C. Experimental and finite element investigations on the temperature field of a massive bridge pier caused by the hydration heat of concrete. Constr. Build. Mater. 2018, 192, 240–252. [Google Scholar] [CrossRef]
- Mottershead, J.E.; Link, M.; Friswell, M.I. The sensitivity method in finite element model updating: A tutorial. Mech. Syst. Signal Process. 2011, 25, 2275–2296. [Google Scholar] [CrossRef]
- Giagopoulos, D.; Arailopoulos, A.; Dertimanis, V.; Papadimitriou, C.; Chatzi, E.; Grompanopoulos, K. Structural health monitoring and fatigue damage estimation using vibration measurements and finite element model updating. Struct. Health Monit. 2019, 18, 1189–1206. [Google Scholar] [CrossRef]
- Tang, X.; Wu, D.; Wang, S.; Pan, X. Research on Real-Time Prediction of Hydrogen Sulfide Leakage Diffusion Concentration of New Energy Based on Machine Learning. Sustainability 2023, 15, 7237. [Google Scholar] [CrossRef]
- Nguyen-Da, T.; Li, Y.-M.; Peng, C.-L.; Cho, M.-Y.; Nguyen-Thanh, P. Tourism Demand Prediction after COVID-19 with Deep Learning Hybrid CNN–LSTM—Case Study of Vietnam and Provinces. Sustainability 2023, 15, 7179. [Google Scholar] [CrossRef]
- Nabipour, M.; Nayyeri, P.; Jabani, H.; Mosavi, A.; Salwana, E.S.S. Deep Learning for Stock Market Prediction. Entropy 2020, 22, 840. [Google Scholar] [CrossRef]
- Qu, C.X.; Yi, T.H.; Li, H.N.; Chen, B. Closely spaced modes identification through modified frequency domain decomposition. Measurement 2018, 128, 388–392. [Google Scholar] [CrossRef]
- Qu, C.X.; Yi, T.H.; Li, H.N. Mode identification by eigensystem realization algorithm through virtual frequency response function. Struct. Control Health Monit. 2019, 26, e2429. [Google Scholar] [CrossRef]
- Qu, C.X.; Liu, Y.F.; Yi, T.H.; Li, H.N. Structural Damping Ratio Identification through Iterative Frequency Domain Decomposition. J. Struct. Eng. 2023, 149, 04023042. [Google Scholar] [CrossRef]
- Zhang, L. Analysis of energy saving effect of green building exterior wall structure based on ANSYS simulation analysis. Environ. Technol. Innov. 2021, 23, 101673. [Google Scholar] [CrossRef]
- Zhu, Q.; Han, Q.; Liu, J.; Yu, C. High-Accuracy Finite Element Model Updating a Framed Structure Based on Response Surface Method and Partition Modification. Aerospace 2023, 10, 79. [Google Scholar] [CrossRef]
- Yu, Y.; Si, X.; Hu, C.; Zhang, J. A review of recurrent neural networks: LSTM cells and network architectures. Neural Comput. 2019, 31, 1235–1270. [Google Scholar] [CrossRef] [PubMed]































| Metric | Training Set | Test Set | Time |
|---|---|---|---|
| RMSE | 0.4711 | 0.5791 | 39 s/25 s |
| Ta | 0.0163 | 0.0243 | |
| R2 | 0.9935 | 0.9626 |
| Metric | Measured Data | Time |
|---|---|---|
| RMSE | 0.4879 | 18 s |
| Ta | 0.0158 | |
| R2 | 0.9770 |
| Metric | Measured Data | Time |
|---|---|---|
| RMSE | 1.1036 | 37 s |
| Ta | 0.0491 | |
| R2 | 0.9824 |
Disclaimer/Publisher’s Note: The statements, opinions and data contained in all publications are solely those of the individual author(s) and contributor(s) and not of MDPI and/or the editor(s). MDPI and/or the editor(s) disclaim responsibility for any injury to people or property resulting from any ideas, methods, instructions or products referred to in the content. |
© 2023 by the authors. Licensee MDPI, Basel, Switzerland. This article is an open access article distributed under the terms and conditions of the Creative Commons Attribution (CC BY) license (https://creativecommons.org/licenses/by/4.0/).
Share and Cite
Zhong, G.; Bi, Y.; Song, J.; Wang, K.; Gao, S.; Zhang, X.; Wang, C.; Liu, S.; Yue, Z.; Wan, C. Digital Integration of Temperature Field of Cable-Stayed Bridge Based on Finite Element Model Updating and Health Monitoring. Sustainability 2023, 15, 9028. https://doi.org/10.3390/su15119028
Zhong G, Bi Y, Song J, Wang K, Gao S, Zhang X, Wang C, Liu S, Yue Z, Wan C. Digital Integration of Temperature Field of Cable-Stayed Bridge Based on Finite Element Model Updating and Health Monitoring. Sustainability. 2023; 15(11):9028. https://doi.org/10.3390/su15119028
Chicago/Turabian StyleZhong, Guoqiang, Yufeng Bi, Jie Song, Kangdi Wang, Shuai Gao, Xiaonan Zhang, Chao Wang, Shang Liu, Zixiang Yue, and Chunfeng Wan. 2023. "Digital Integration of Temperature Field of Cable-Stayed Bridge Based on Finite Element Model Updating and Health Monitoring" Sustainability 15, no. 11: 9028. https://doi.org/10.3390/su15119028
APA StyleZhong, G., Bi, Y., Song, J., Wang, K., Gao, S., Zhang, X., Wang, C., Liu, S., Yue, Z., & Wan, C. (2023). Digital Integration of Temperature Field of Cable-Stayed Bridge Based on Finite Element Model Updating and Health Monitoring. Sustainability, 15(11), 9028. https://doi.org/10.3390/su15119028

