Improvement of Computational Efficiency and Accuracy by Firefly Algorithm and Random Forest for Compressive Strength Modeling of Recycled Concrete
Abstract
1. Introduction
2. Methodology
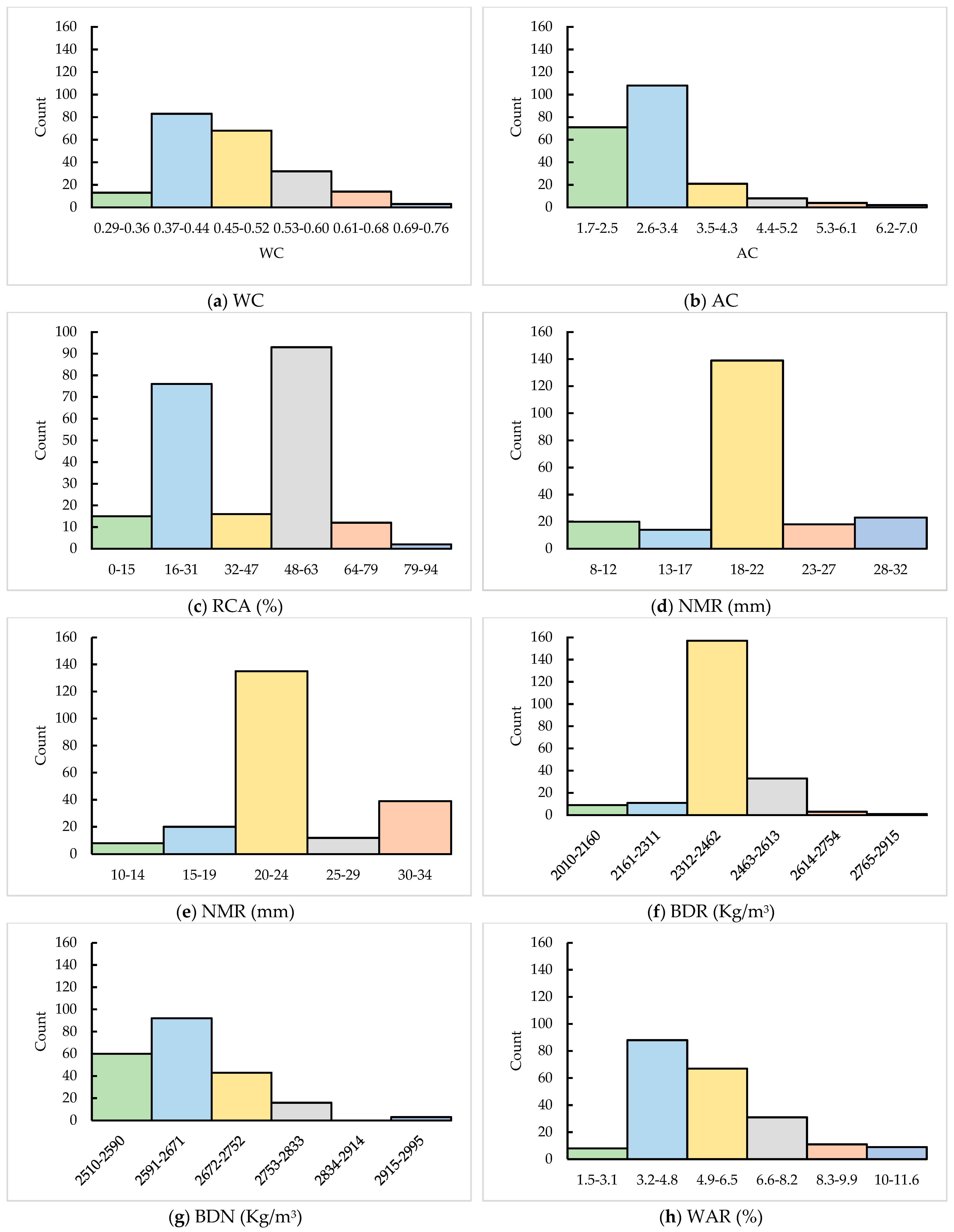
2.1. Data Analysis
2.2. Correlation Analysis
2.3. Machine Learning Algorithm
2.3.1. Firefly Algorithm (FA)
2.3.2. Random Forest
- (1)
- Through the bootstrap sampling method, m samples are randomly selected from the training set M repeatedly and with put back. Each sample is the training data of each classification tree, and the unselected samples are used to analyze the effectiveness of the model.
- (2)
- Generation of the classification tree: when the leaf nodes start to be sorted, n features are randomly selected from N features, and the smallest Gini index is selected as the classification point to split, forming a single classification tree with small deviation to avoid the classification error of test data.
- (3)
- Repeat step (2) T times to form T CART classification trees.
- (4)
- The classification results of the samples to be tested are determined by simple voting, and the category with the largest number of votes is selected as the final category. The result is the following:

3. Analysis and Discussion
3.1. Result of Hyperparameter Tuning
3.2. Evaluating the Prediction Performance
3.3. Significance and Sensitivity Analysis of Input Variables
4. Conclusions
- (1)
- There is no high positive and negative correlation between the input variables, which proves that the multicollinearity phenomenon will not occur and affect model prediction, indicating that the selection of input indicators is reasonable.
- (2)
- FA shows a strong acceptability for the optimization effect of the hyperparameters of RF, and the convergence of RMSE and the results of 10-fold CV can prove the above conclusion.
- (3)
- The predicted and measured values of the CS are highly consistent, both with satisfactory R values and RMSE values, proving that introducing the firefly algorithm to the random forest for the CS modeling of recycled concrete can improve the computational accuracy.
- (4)
- Importance and sensitivity analysis of variables shows that WC and NMR show higher importance for the CS of recycled concrete, while RCA is the index with the lowest importance score.
Author Contributions
Funding
Data Availability Statement
Conflicts of Interest
References
- Huang, J.; Li, X.; Kumar, G.S.; Deng, Y.; Gong, M.; Dong, N. Rheological properties of bituminous binder modified with recycled waste toner. J. Clean. Prod. 2021, 317, 128415. [Google Scholar] [CrossRef]
- Lu, S. The Development Research on the Construction Waste Resource Industry in PPP Pattern. In Proceedings of the 2nd International Conference on Civil Engineering, Environment Resources and Energy Materials, Changsha, China, 18–20 September 2020. [Google Scholar]
- Ma, L.; Zhang, L. Evolutionary game analysis of construction waste recycling management in China. Resour. Conserv. Recycl. 2020, 161, 104863. [Google Scholar] [CrossRef]
- Urazaeva, L.U.; Bashmakova, I.B. Mathematical Modeling of the System Effect of Recycling of Construction Waste. In Proceedings of the IEEE International Conference on Management of Municipal Waste as an Important Factor of Sustainable Urban Development (WASTE), Saint Petersburg, Russia, 4–6 October 2018; pp. 36–38. [Google Scholar]
- Huang, J.; Kumar, G.S.; Sun, Y. Evaluation of workability and mechanical properties of asphalt binder and mixture modified with waste toner. Constr. Build. Mater. 2021, 276, 122230. [Google Scholar] [CrossRef]
- Makul, N. Cost-benefit analysis of the production of ready-mixed high-performance concrete made with recycled concrete aggregate: A case study in Thailand. Heliyon 2020, 6, e04135. [Google Scholar] [CrossRef]
- Pani, L.; Francesconi, L.; Rombi, J.; Stochino, F.; Mistretta, F. The Role of Parent Concrete in Recycled Aggregate Concrete. In Proceedings of the 20th International Conference on Computational Science and Its Applications (ICCSA), Cagliari, Italy, 1–4 July 2020; pp. 368–378. [Google Scholar]
- Huang, J.; Zhou, M.; Yuan, H.; Sabri, M.M.S.; Li, X. Prediction of the Compressive Strength for Cement-Based Materials with Metakaolin Based on the Hybrid Machine Learning Method. Materials 2022, 15, 3500. [Google Scholar] [CrossRef]
- Huang, J.; Zhou, M.; Yuan, H.; Sabri, M.M.; Li, X. Towards Sustainable Construction Materials: A Comparative Study of Prediction Models for Green Concrete with Metakaolin. Buildings 2022, 12, 772. [Google Scholar] [CrossRef]
- Thomas, C.; de Brito, J.; Cimentada, A.; Sainz-Aja, J.A. Macro- and micro- properties of multi-recycled aggregate concrete. J. Clean. Prod. 2020, 245, 118843. [Google Scholar] [CrossRef]
- Xiao, J.; Zhang, H.; de Brito, J. M&S highlight: Limbachiya; et al. (2000), Use of recycled aggregate in high-strength concrete COMMENT. Mater. Struct. 2022, 55, 40. [Google Scholar]
- Xu, Y.; Chen, W.; Jin, R.; Shen, J.; Smallbone, K.; Yan, C.; Hu, L. Experimental investigation of photocatalytic effects of concrete in air purification adopting entire concrete waste reuse model. J. Hazard. Mater. 2018, 353, 421–430. [Google Scholar] [CrossRef]
- Huang, J.; Sabri, M.M.; Ulrikh, D.V.; Ahmad, M.; Alsaffar, K.A. Predicting the Compressive Strength of the Cement-Fly Ash–Slag Ternary Concrete Using the Firefly Algorithm (FA) and Random Forest (RF) Hybrid Machine-Learning Method. Materials 2022, 15, 4193. [Google Scholar] [CrossRef]
- Yu, X.; Tang, W.; Li, N.; Jiang, M.; Huang, J.; Wang, D. Refined decomposition: A new separation method for RAP materials and its effect on aggregate properties. Constr. Build. Mater. 2022, 358, 129452. [Google Scholar] [CrossRef]
- Pavlů, T.; Kočí, V.; Hájek, P. Environmental Assessment of Two Use Cycles of Recycled Aggregate Concrete. Sustainability 2019, 11, 6185. [Google Scholar] [CrossRef]
- Jayakody, S.; Zimar, A.M.Z.; Ranaweera, R.A.L.M. Potential use of recycled construction and demolition waste aggregates for non-structural concrete applications. J. Natl. Sci. Found. Sri Lanka 2018, 46, 205–216. [Google Scholar] [CrossRef]
- Koga, H.; Katahira, H.; Shimata, A. The introduction of recycled-aggregate concrete specifications in Japan and the research into the freezing-thawing resistance of recycled-aggregate concrete. J. Mater. Cycles Waste Manag. 2022, 24, 1207–1215. [Google Scholar] [CrossRef]
- Adesina, A.; Das, S. Evaluation of the Durability Properties of Engineered Cementitious Composites Incorporating Recycled Concrete as Aggregate. J. Mater. Civ. Eng. 2021, 33, 3563. [Google Scholar] [CrossRef]
- Jaawani, S.; Franco, A.; De Luca, G.; Coppola, O.; Bonati, A. Limitations on the Use of Recycled Asphalt Pavement in Structural Concrete. Appl. Sci. 2021, 11, 901. [Google Scholar] [CrossRef]
- Gao, J.; Jin, P.; Sheng, Y.; An, P. A case study on crack propagation law of cement stabilised macadam base. Int. J. Pavement Eng. 2020, 21, 516–523. [Google Scholar] [CrossRef]
- He, M.; Yu, Z.; Ma, S.; Kang, A.; Zhang, J. Autogenous self-healing properties of cement-stabilized macadam after microcracking. Constr. Build. Mater. 2021, 273, 121737. [Google Scholar] [CrossRef]
- Lan, X.; Zhang, X.; Hao, Z.; Wang, Y. Strength and shrinkage properties of cement stabilized macadam bases incorporating 0-2.36 millimetre recycled fine aggregate. Case Stud. Constr. Mater. 2022, 16, e00984. [Google Scholar] [CrossRef]
- Mohammed, D.; Tobeia, S.; Mohammed, F.; Hasan, S. Compressive strength improvement for recycled concrete aggregate. In Proceedings of the 3rd International Conference of Buildings, Construction and Environmental Engineering (BCEE), Sharm el Sheikh, Egypt, 23–25 October 2017. [Google Scholar]
- Xie, J.; Zhang, H.; Duan, L.; Yang, Y.; Yan, J.; Shan, D.; Liu, X.; Pang, J.; Chen, Y.; Li, X.; et al. Effect of nano metakaolin on compressive strength of recycled concrete. Constr. Build. Mater. 2020, 256, 119393. [Google Scholar] [CrossRef]
- Yu, F.; Yin, C. Regression Analysis on Compressive Strength Change Curve of Recycled Aggregate Concretes during Age Periods. In Proceedings of the 13th International Conference on Measuring Technology and Mechatronics Automation (ICMTMA), Beihai, China, 16–17 January 2021; pp. 500–503. [Google Scholar]
- Yang, F.; Yao, Y.S.; Wang, X.X.; Jin, W.; Feng, Z.X. Preparation of Recycled and Multi-Recycled Coarse Aggregates Concrete with the Vibration Mixing Process. Buildings 2022, 12, 1369. [Google Scholar] [CrossRef]
- Hee, K.G.; Kyung-In, K. Predicting the Strength of Recycled Aggregate Concrete -Predicting the strength of artificial neural networks and maturity method. J. Archit. Inst. Korea Struct. Constr. 2005, 21, 49–55. [Google Scholar]
- Naderpour, H.; Rafiean, A.H.; Fakharian, P. Compressive strength prediction of environmentally friendly concrete using artificial neural networks. J. Build. Eng. 2018, 16, 213–219. [Google Scholar] [CrossRef]
- Zhu, L.; Zhao, C.; Dai, J. Prediction of compressive strength of recycled aggregate concrete based on gray correlation analysis. Constr. Build. Mater. 2021, 273, 121750. [Google Scholar] [CrossRef]
- Kandiri, A.; Shakor, P.; Kurda, R.; Deifalla, A.F. Modified Artificial Neural Networks and Support Vector Regression to Predict Lateral Pressure Exerted by Fresh Concrete on Formwork. Int. J. Concr. Struct. Mater. 2022, 16, 64. [Google Scholar] [CrossRef]
- Izadgoshasb, H.; Kandiri, A.; Shakor, P.; Laghi, V.; Gasparini, G. Predicting Compressive Strength of 3D Printed Mortar in Structural Members Using Machine Learning. Appl. Sci. 2021, 11, 826. [Google Scholar] [CrossRef]
- Huang, J.; Zhang, J.; Li, X.; Qiao, Y.; Zhang, R.; Kumar, G.S. Investigating the effects of ensemble and weight optimization approaches on neural networks’ performance to estimate the dynamic modulus of asphalt concrete. Road Mater. Pavement Des. 2022, 1–21. [Google Scholar] [CrossRef]
- Huang, J.; Xue, J. Optimization of svr functions for flyrock evaluation in mine blasting operations. Environ. Earth Sci. 2022, 81, 434. [Google Scholar] [CrossRef]
- Limbachiya, M.C.; Leelawat, T.; Dhir, R.K. Use of recycled concrete aggregate in high-strength concrete. Mater. Struct. 2000, 33, 574–580. [Google Scholar] [CrossRef]
- Ajdukiewicz, A.; Kliszczewicz, A. Influence of recycled aggregates on mechanical properties of HS/HPC. Cem. Concr. Compos. 2002, 24, 269–279. [Google Scholar] [CrossRef]
- Poon, C.S.; Shui, Z.H.; Lam, L.; Fok, H.; Kou, S.C. Influence of moisture states of natural and recycled aggregates on the slump and compressive strength of concrete. Cem. Concr. Res. 2004, 34, 31–36. [Google Scholar] [CrossRef]
- Xiao, J.Z.; Li, J.B.; Zhang, C. On relationships between the mechanical properties of recycled aggregate concrete: An overview. Mater. Struct. 2006, 39, 655–664. [Google Scholar] [CrossRef]
- Wei, X. Experimental study on influence of recycled coarse aggregates contents on properties of recycled aggregate concrete. Concrete 2006, 10, 45–47. [Google Scholar]
- Etxeberria, M.; Marí, A.; Vázquez, E. Recycled aggregate concrete as structural material. Mater. Struct. 2007, 40, 529–541. [Google Scholar] [CrossRef]
- Evangelista, L.; Brito, J.D. Mechanical behaviour of concrete made with fine recycled concrete aggregates. Cem. Concr. Compos. 2007, 29, 397–401. [Google Scholar] [CrossRef]
- Poon, C.s.; Kou, S.C.; Lam, L. Influence of recycled aggregate on slump and bleeding of fresh concrete. Mater. Struct. 2007, 40, 981–988. [Google Scholar] [CrossRef]
- Hu, M. Mechanical properties of concrete prepared with different recycled coarse aggregates replacement rate. Chin. Concr. J. 2007, 2, 52–54. [Google Scholar]
- Kou, S.; Poon, C.S.; Chan, D. Influence of Fly Ash as Cement Replacement on the Properties of Recycled Aggregate Concrete. J. Mater. Civ. Eng. 2007, 19, 709–717. [Google Scholar] [CrossRef]
- Wang, Z. Production and properties of high quality recycled aggregates. Concrete 2007, 3, 74–77. [Google Scholar]
- Min-Ping, H. Mechanical properties of recycled aggregate concrete at early ages. Concrete 2008, 223, 37–41. [Google Scholar]
- Kou, S.C.; Poon, C.S.; Chan, D. Influence of fly ash as a cement addition on the hardened properties of recycled aggregate concrete. Mater. Struct. 2008, 41, 1191–1201. [Google Scholar] [CrossRef]
- Yang, K.-H.; Chung, H.-S.; Ashour, A. Influence of Type and Replacement Level of Recycled Aggregates on Concrete Properties. Aci Mater. J. 2008, 105, 289–296. [Google Scholar]
- Guo, L. Experimental research on the basic mechanical properties of recycled aggregate concrete. J. Anhui Inst. Archit. Ind. 2008, 16, 4–8. [Google Scholar]
- Domingo-Cabo, A.; Lázaro, C.; López-Gayarre, F.; Serrano-Lopez, M.A.; Serna, P.; Castaño-Tabares, J.O. Creep and shrinkage of recycled aggregate concrete. Constr. Build. Mater. 2009, 23, 2545–2553. [Google Scholar] [CrossRef]
- Ye, H. Experimental study on mechanical properties of concrete made with high quality recycled aggregates. Sichuan Build. Sci. 2009, 35, 195–199. [Google Scholar]
- Corinaldesi, V. Mechanical and elastic behaviour of concretes made of recycled-concrete coarse aggregates. Constr. Build. Mater. 2010, 24, 1616–1620. [Google Scholar] [CrossRef]
- Zega, C.J.; Maio, A.A.D. Recycled Concretes Made with Waste Ready-Mix Concrete as Coarse Aggregate. J. Mater. Civ. Eng. 2011, 23, 281–286. [Google Scholar] [CrossRef]
- Belen, G.-F.; Fernando, M.-A.; Diego, C.L.; Sindy, S.-P. Stress–strain relationship in axial compression for concrete using recycled saturated coarse aggregate. Constr. Build. Mater. 2011, 25, 2335–2342. [Google Scholar] [CrossRef]
- Fathifazl, G.; Razaqpur, A.G.; Isgor, O.B.; Abbas, A.; Fournier, B.; Foo, S.F. Creep and drying shrinkage characteristics of concrete produced with coarse recycled concrete aggregate. Cem. Concr. Compos. 2011, 33, 1026–1037. [Google Scholar] [CrossRef]
- Chakradhara Rao, M.; Bhattacharyya, S.K.; Barai, S.V. Influence of field recycled coarse aggregate on properties of concrete. Mater. Struct. 2011, 44, 205–220. [Google Scholar] [CrossRef]
- Cui, Z.L.; Lu, S.S.; Wang, Z.S. Influence of Recycled Aggregate on Strength and Anti-carbonation Properties of Recycled Aggregate Concrete. J. Build. Mater. 2012, 15, 264–267. [Google Scholar]
- Hoffmann, C.; Schubert, S.; Leemann, A.; Motavalli, M. Recycled concrete and mixed rubble as aggregates: Influence of variations in composition on the concrete properties and their use as structural material. Constr. Build. Mater. 2012, 35, 701–709. [Google Scholar] [CrossRef]
- Limbachiya, M.; Meddah, M.S.; Ouchagour, Y. Performance of portland/silica fume cement concrete produced with recycled concrete aggregate. Aci Mater. J. 2012, 109, 91–100. [Google Scholar]
- Pereira, P.; Evangelista, L.; de Brito, J. The effect of superplasticizers on the mechanical performance of concrete made with fine recycled concrete aggregates. Cem. Concr. Compos. 2012, 34, 1044–1052. [Google Scholar] [CrossRef]
- Ismail, S.; Ramli, M. Engineering properties of treated recycled concrete aggregate (RCA) for structural applications. Constr. Build. Mater. 2013, 44, 464–476. [Google Scholar] [CrossRef]
- Manzi, S.; Mazzotti, C.; Bignozzi, M.C. Short and long-term behavior of structural concrete with recycled concrete aggregate. Cem. Concr. Compos. 2013, 37, 312–318. [Google Scholar] [CrossRef]
- Matías, D.M.; Brito, J.d.; Rosa, A.d.l.; Pedro, D. Mechanical properties of concrete produced with recycled coarse aggregates—Influence of the use of superplasticizers. Constr. Build. Mater. 2013, 44, 101–109. [Google Scholar] [CrossRef]
- Khaoula, N.; Bouyahyaoui, A.; Cherradi, T. Durability of Recycled Aggregate Concrete. Adv. Sci. Technol. Eng. Syst. J. 2021, 6, 735–741. [Google Scholar] [CrossRef]
- Ulloa, V.A.; García-Taengua, E.; Pelufo, M.J.; Domingo, A.; Serna, P. New Views on Effect of Recycled Aggregates on Concrete Compressive Strength. ACI Mater. J. 2013, 110, 687–696. [Google Scholar]
- Xiao, J.; Li, H.; Yang, Z. Fatigue behavior of recycled aggregate concrete under compression and bending cyclic loadings. Constr. Build. Mater. 2013, 38, 681–688. [Google Scholar] [CrossRef]
- Younis, K.H.; Pilakoutas, K. Strength prediction model and methods for improving recycled aggregate concrete. Constr. Build. Mater. 2013, 49, 688–701. [Google Scholar] [CrossRef]
- Andreu, G.; Miren, E. Experimental analysis of properties of high performance recycled aggregate concrete. Constr. Build. Mater. 2014, 52, 227–235. [Google Scholar] [CrossRef]
- Beltran, M.G.S.; Agrela, F.; Barbudo, A.; Ayuso, J.; Ramirez, A. Mechanical and durability properties of concretes manufactured with biomass bottom ash and recycled coarse aggregates. Constr. Build. Mater. 2014, 72, 231–238. [Google Scholar] [CrossRef]
- Beltran, M.G.S.; Barbudo, A.; Agrela, F.; Galvín, A.P.; Jiménez, J.R. Effect of cement addition on the properties of recycled concretes to reach control concretes strengths. J. Clean. Prod. 2014, 79, 124–133. [Google Scholar] [CrossRef]
- Dilbas, H.; Şimşek, M.; Çakır, Ö. An investigation on mechanical and physical properties of recycled aggregate concrete (RAC) with and without silica fume. Constr. Build. Mater. 2014, 61, 50–59. [Google Scholar] [CrossRef]
- Duan, Z.; Poon, C.S. Properties of recycled aggregate concrete made with recycled aggregates with different amounts of old adhered mortars. Mater. Des. 2014, 58, 19–29. [Google Scholar] [CrossRef]
- Huang, J.; Zhou, M.; Zhang, J.; Ren, J.; Vatin, N.I.; Sabri, M.M.S. Development of a new stacking model to evaluate the strength parameters of concrete samples in laboratory. Iran. J. Sci. Technol. Trans. Civ. Eng. 2022, 46, 4355–4370. [Google Scholar] [CrossRef]
- Huang, J.; Zhou, M.; Zhang, J.; Ren, J.; Vatin, N.I.; Sabri, M.M.S. The Use of GA and PSO in Evaluating the Shear Strength of Steel Fiber Reinforced Concrete Beams. KSCE J. Civ. Eng. 2022, 26, 3918–3931. [Google Scholar] [CrossRef]
- Huang, J.; Zhang, J.; Gao, Y. Intelligently predict the rock joint shear strength using the support vector regression and Firefly Algorithm. Lithosphere 2021, 2021, 2467126. [Google Scholar] [CrossRef]
- Ying, J.; Su, F.; Chen, S. Long term performance of recycled concrete beams with different water-cement ratio and recycled aggregate replacement rate. Front. Struct. Civ. Eng. 2022, 16, 302–315. [Google Scholar] [CrossRef]
- Zhang, X.-B.; Kuang, C.-G.; Fang, Z. The effect of water-cement ratio and curing age on the strength of recycled concrete. In Proceedings of the 1st International Conference on High Performance Structures and Materials Engineering, Beijing, China, 5–6 May 2011; pp. 740–745. [Google Scholar]
- Hai Van Thi, M.; Quan Van, T.; Thuy-Anh, N. On the Training Algorithms for Artificial Neural Network in Predicting Compressive Strength of Recycled Aggregate Concrete. In Proceedings of the 6th International Conference on Geotechnics, Civil Engineering and Structures (CIGOS), Hanoi, Vietnam, 28–29 October 2022; pp. 1867–1874. [Google Scholar]
- Hoai-Bao, L.; Quoc-Bao, B. Predicting the Compressive Strength of Geopolymer Concrete: An Empirical Model for Both Recycled and Natural Aggregates. In Proceedings of the 6th International Conference on Geotechnics, Civil Engineering and Structures (CIGOS), Hanoi, Vietnam, 28–29 October 2021; pp. 793–802. [Google Scholar]











| Indexes | Minimum | Maximum | Median | Mean | Standard Deviation | Variance |
|---|---|---|---|---|---|---|
| WC | 0.29 | 0.72 | 0.45 | 0.472 | 0.088 | 0.008 |
| AC | 1.7 | 6.4 | 2.8 | 2.878 | 0.913 | 0.833 |
| RCA (%) | 0 | 90 | 45 | 39.623 | 16.936 | 286.83 |
| NMR (mm) | 8 | 32 | 20 | 20.591 | 5.094 | 25.953 |
| NMN (mm) | 10 | 32 | 20 | 22.047 | 4.991 | 24.909 |
| BDR (Kg/m3) | 2010 | 2880 | 2309 | 2393.084 | 124.373 | 15,468.73 |
| BDN (Kg/m3) | 2510 | 2970 | 2610 | 2638.591 | 81.93 | 6712.567 |
| WAR (%) | 1.5 | 10.9 | 5 | 5.341 | 1.955 | 3.823 |
| WAN (%) | 0.2 | 3 | 1.1 | 1.163 | 0.691 | 0.477 |
| CS (mPa) | 14.2 | 108 | 44.9 | 45.677 | 14.519 | 210.804 |
Disclaimer/Publisher’s Note: The statements, opinions and data contained in all publications are solely those of the individual author(s) and contributor(s) and not of MDPI and/or the editor(s). MDPI and/or the editor(s) disclaim responsibility for any injury to people or property resulting from any ideas, methods, instructions or products referred to in the content. |
© 2023 by the authors. Licensee MDPI, Basel, Switzerland. This article is an open access article distributed under the terms and conditions of the Creative Commons Attribution (CC BY) license (https://creativecommons.org/licenses/by/4.0/).
Share and Cite
Liu, Y.; Wang, Y.; Zhou, M.; Huang, J. Improvement of Computational Efficiency and Accuracy by Firefly Algorithm and Random Forest for Compressive Strength Modeling of Recycled Concrete. Sustainability 2023, 15, 9170. https://doi.org/10.3390/su15129170
Liu Y, Wang Y, Zhou M, Huang J. Improvement of Computational Efficiency and Accuracy by Firefly Algorithm and Random Forest for Compressive Strength Modeling of Recycled Concrete. Sustainability. 2023; 15(12):9170. https://doi.org/10.3390/su15129170
Chicago/Turabian StyleLiu, Yong, Yang Wang, Mengmeng Zhou, and Jiandong Huang. 2023. "Improvement of Computational Efficiency and Accuracy by Firefly Algorithm and Random Forest for Compressive Strength Modeling of Recycled Concrete" Sustainability 15, no. 12: 9170. https://doi.org/10.3390/su15129170
APA StyleLiu, Y., Wang, Y., Zhou, M., & Huang, J. (2023). Improvement of Computational Efficiency and Accuracy by Firefly Algorithm and Random Forest for Compressive Strength Modeling of Recycled Concrete. Sustainability, 15(12), 9170. https://doi.org/10.3390/su15129170
