Abstract
Promoting pesticide reduction is a critical component of achieving sustainable agriculture. However, the challenges involved in coordinating diverse stakeholder demands pose difficulties in promoting pesticide reduction behavior. To reveal the evolutionary paths of the decision-making processes of each player under various influencing factors and optimize pesticide reduction policies, this paper proposes a three-way evolutionary game model that considers the interests of the local governments, farmers, and consumers. The study reveals six stable equilibrium strategies in the evolutionary game system of pesticide reduction for sustainable agriculture (SA). Under polycentric governance, ideal states allow local governments to regulate farmers’ pesticide reduction and consumers’ purchases of green agricultural products. Regulatory measures such as providing technical and in-kind subsidies for pesticide reduction, imposing penalties for the overuse of pesticides, and promoting public awareness influence farmers’ and consumers’ decisions when it comes to reducing pesticides and purchasing green produce. Moreover, the total benefits of pesticide reduction for farmers and the utility of green produce consumption for consumers are primary factors that influence the evolutionary game system’s eventual evolution toward different stable equilibrium strategies. These factors primarily affect the supply and demand of green products, which in turn impacts pesticide reduction. This study enhances the policy analysis of pesticide reduction and provides valuable insights into constructing a pesticide reduction policy system based on polycentric governance.
1. Introduction
Sustainable agriculture (SA) is of great significance to humankind’s sustainable economic and social development, and it can be defined as agricultural production that meets the needs of the present generation without compromising the ability of future generations to meet their own needs [1,2,3]. The 2030 Agenda for Sustainable Development of the United Nations highlights the need to reduce the probability of chemical leakage into water and soil, improve soil quality, and achieve SA development, which has become a global trend [4,5]. The Chinese government proposed building ecological agriculture and promoting organic farming and green food more than 40 years ago [6,7]. In recent years, China has been vigorously promoting green agriculture, and it is expected that a new pattern of SA development will largely be established by 2030 [8,9]. The focus of SA is to ensure a stable food supply while protecting the environment and natural resources [8,10]. However, according to data published by the Food and Agriculture Organization of the United Nations (FAO), global fertilizer use in 2020 exceeds 53 million tons, while pesticide use exceeds 4 million tons (Figure 1), and the long-term use of large amounts of pesticides poses a threat to the global environment and human health [11,12,13]. Therefore, promoting pesticide reduction is an inevitable requirement for SA.
Figure 1.
Pesticide use per hectare of cropland, from 2010 to 2020.
Difficulties currently exist in further promoting pesticide reduction behavior, as the main subject of such behavior is the farmer [14], whose decision-making is largely influenced by cost and benefit considerations [15]. Especially given the livelihood constraint faced by farmers, they tend to choose strategies that maximize benefits, and decision-making uncertainty is higher for pesticide reduction. If farmers choose to prioritize agricultural product quality and use fewer pesticides, they may incur high production costs; on the other hand, if they select low-cost, efficient pesticides for production [11], the quality of agricultural products may be suboptimal and not attractive to consumers. Government policies and consumers’ willingness also play a critical role in this decision-making process [16,17]. The farmer’s motivation to reduce pesticides can be affected by the government’s ability to implement effective incentives and penalties for pesticide reduction, the extent to which consumers are willing to pay more for environmentally friendly and SA products [18], and the degree to which the government can guide consumers in selecting high-quality agricultural products [19].
Many studies have been conducted on pesticide reduction behavior, with many researchers investigating the relationship between farmers and the government in agricultural pollution control. For example, Cui et al. [20] developed an evolutionary game model between the government and farmers, and investigated the best strategy for promoting green technology diffusion among farmers and agribusinesses. Similarly, Skardi et al. [21] and Shi et al. [22] employed game theory to analyze the decision-making processes of stakeholders and explore mechanisms for managing agricultural surface source pollution. Meanwhile, Zhao et al. [23] focused on the unique role of the Internet in promoting pesticide reduction. However, existing studies have primarily focused on analyzing the relationship between the government and farmers, while overlooking the important role of consumers in pesticide reduction. Additionally, there has been limited attention paid to the multi-player game problem that arises in the context of pesticide reduction behavior.
This paper aims to investigate pesticide reduction behavior by adopting a game theory approach that incorporates the interests of farmers, local governments, and consumers. Specifically, we develop a multi-subject evolutionary game model to explore the decision-making evolution of each agent under different influencing factors. Through numerical simulation experiments, we examine the conditions under which the decision-making behavior of the three subjects can evolve to their ideal state. The study focuses on Chinese policies and cases, providing a valuable contribution to policy analysis regarding pesticide reduction in China. Furthermore, the research findings can offer insights for constructing a pesticide reduction policy system based on polycentric governance. The results of this study are expected to be beneficial for policymakers and stakeholders interested in promoting SA development and mitigating the risks associated with the use of pesticides.
2. Review of the Literature
Agricultural production around the world is currently dependent on the use of pesticides, thereby making the utilization of them and their effects widely discussed research topics. Pesticides are used in agriculture to protect crops from pests, pathogens, and weeds, thereby improving crop yield and quality, and are considered important tools for ensuring food security [23,24,25]. However, many studies show that pesticide use also has a negative impact on the Sustainable Development Goals [26]. For example, overuse of pesticides can affect food production and food security by damaging soil ecosystems and reducing soil fertility and tolerance [24,27]. In addition, the excessive use of pesticides can also cause pollution and waste of water resources affecting sustainable water management [28,29,30], as well as potential health hazards for farmers and consumers, such as cancer and neurological damage [11,13,31]. Varghese and Erickson [32] found that India has high rates of pesticide poisoning among children due to widespread use and poor regulation of pesticides. Pesticide poisoning has serious effects on children’s health and development, including damage to the nervous system, immune system, and reproductive system. Studies in developing countries show that overuse and misuse of pesticides are more common due to the lack of effective regulatory and training mechanisms [25,33,34]. Therefore, to achieve the Sustainable Development Goals, it is necessary to reduce the use of pesticides and improve the sustainability of agriculture (Figure 2 [26,35]).
Figure 2.
Pesticide use and sustainable agriculture.
Some scholars have conducted studies to identify the root causes of pesticide overuse by farmers. For instance, Sun et al. [36] performed surveys among Chinese farmers to examine their pesticide utilization practices and concluded that inadequate agricultural extension services and a lack of knowledge among individual farmers contributed to pesticide misuse. Similarly, Yang et al. [37] found that ineffective policies were a key driving force behind pesticide overuse by farmers. Other researchers have also explored the impact of the decisions made by various stakeholders on pesticide reduction behavior [17] and provided valuable insights into the effectiveness of different policy instruments and their combinations in promoting pesticide reduction [38,39,40]. Liu [41] and Teng et al. [16] used an evolutionary game model to investigate the influence of consumer preferences on the supply of environmentally friendly agricultural products. While the innovation and promotion of pesticide substitution technology directly affect the cost of pesticide reduction, scholars call for the use of integrated pest management (IPM) and green control technologies to replace pesticide use [42,43]. Meanwhile, Zhang et al. [44] analyzed the current technological innovation achievements of pesticide reduction in China mainly from three aspects: basic theory, key technologies, and technology promotion.
The achievement of SA relies heavily on rural environmental governance, which represents more than just a technical challenge, as it involves conflicting interests and decision-making behavior among stakeholders [9,45,46]. Therefore, it requires the participation and empowerment of all stakeholders to achieve environmental governance goals. Stakeholders can be defined as any group or individual that can influence, or be influenced by, the achievement of organizational goals [47]. The stakeholders involved in the process of rural environmental governance include farmers, government entities, consumers, agricultural enterprises, rural cooperatives, and many others [45,48,49,50,51,52]. Many scholars have conducted research on rural environmental governance from different stakeholder perspectives. For instance, Lin et al. [48] employed multilevel generalized structural equation modelling to explore the phenomenon of low participation of farmers in environmental governance. They concluded that enhancing farmers’ confidence and class identity has a significant positive impact on their participation in rural environmental governance behavior. Yang et al. [53] and Mettepenningen et al. [54] assessed the factors influencing the effectiveness of European government environmental policies by quantifying stakeholder relationships. In recent years, collaborative governance has emerged as a promising approach to environmental governance [55]. Collaborative governance can bring multiple stakeholders together in rural environmental governance to develop mutually beneficial policies [56]. This approach can foster communication and cooperation among stakeholders and promote the exchange of knowledge and expertise. By engaging stakeholders in collaborative governance, rural environmental governance can become more effective, efficient, and equitable.
While previous studies have primarily focused on the influence of individual farmers, government policies, and production characteristics on pesticide reduction behavior, the role of consumers in shaping this behavior has been largely neglected. Some studies have emphasized the role of consumers in driving sustainable consumption behavior [57,58,59]. For example, Dunlap and Scarce [60] argue that consumers are more willing to pay a premium for green products, showing increasing environmental awareness. However, consumers’ premium purchase demands will promote farmers to produce more high-quality agricultural products, so as to achieve pesticide reduction. In response to this gap, this paper proposes a tripartite evolutionary game model for pesticide reduction behavior that takes into account the decision-making behavior of farmers, local governments, and consumers. The aim is to reveal the evolutionary characteristics of the decision-making behavior of multiple stakeholders to promote SA through pesticide reduction. By considering the impact of consumer preferences on the strategies of farmers and local governments, the model provides a more comprehensive view of the factors affecting pesticide reduction behavior. Through simulations based on the model, the paper concludes that the involvement of consumers in the decision-making process can effectively promote pesticide reduction behavior and contribute to achieving SA. The paper is a useful supplement to the literature on sustainable consumption behavior and agricultural sustainability, providing a reference for government decision-making and contributing to greater SA development.
3. Model Design
3.1. Description of the Problem
Pesticide reduction is an important direction in the development of environmentally friendly agriculture. The rational use of pesticides is a necessary measure to maintain ecological balance by reducing risks to crops, the environment, and human health [13,31]. However, achieving pesticide reduction is not an easy task, as the process involves a complex game between stakeholders [17]. According to our previous analysis, the main stakeholders involved in pesticide reduction include the local governments, enterprises, farmers, and consumers. China’s agriculture is dominated by small-scale family agriculture [61]. In the process of implementing agricultural pesticide reduction policies, more often than not, we are faced with the regulation of farmers’ decisions on pesticide reduction behavior [14,40]. Therefore, to focus on the research issues, we focus on the evolutionary game relationship among the three branches: local governments, farmers, and consumers.
In the proposed evolutionary game model examining pesticide reduction behavior, the local governments occupy a dominant position as key stakeholders. Their behavior is primarily characterized by their role in policy formulation and regulatory implementation [14,37,49]. The local governments advocate for SA development by encouraging farmers to reduce pesticides while providing financial, technological, and on-site support to incentivize pesticide reduction actions. Effective local government management and regulation involve many levels and aspects, including the development of relevant regulations and standards, stronger market regulation and enforcement efforts, and the implementation of green consumption promotion, education, and training initiatives.
Farmers are the primary users of pesticides, and their behavior is predominantly influenced by costs and benefits [14,62]. Since pesticides can improve crop yield and quality, farmers typically prioritize achieving higher economic benefits and hence use pesticides as much as possible. However, overuse of pesticides poses safety risks while also making farmers vulnerable to local governments choosing to regulate pesticide use and losses in market shares due to consumer preferences for environmentally friendly agricultural products. These factors drive farmers to reduce the use of pesticides [14].
Consumers are the ultimate purchasers of agricultural products, and their behavior is predominantly influenced by factors such as price, preference, and safety risks [63]. When making purchasing decisions, consumers generally prioritize price factors, and if the price of an agricultural product is too high, they may choose to purchase alternatives. Additionally, consumer preference towards environmentally friendly or “green” agricultural products can drive them to favor products that use fewer pesticides. Moreover, food safety has become an increasingly important factor in consumer decision-making [64]. The overuse of pesticides in agricultural production poses a potential threat to human health, which has raised awareness and concerns among consumers. As such, consumers may avoid products perceived to be unsafe or prefer those that use fewer pesticides.
As a result, a complex evolutionary game mechanism has been formed among the local governments, farmers, and consumers. The local governments should formulate more scientific and effective policies to encourage farmers to reduce pesticides and improve their technical level. At the same time, farmers should increase their awareness of environmental protection and actively participate in reduction action. Consumers should also choose better quality and safer agricultural products, advocate sustainable development, and work together to maintain a good ecological and social environment.
3.2. Hypotheses
The promotion of pesticide reduction typically necessitates the collective efforts of various stakeholders, including local governments, enterprises, farmers, and consumers. However, the pesticide reduction process is often affected by non-effective factors such as collective and individual irrationality as well as information asymmetry. Furthermore, significant differences in interests exist among these players, thereby affecting the efficacy of pesticide reduction measures. Therefore, it is critical to consider the behavioral strategies of participating players when evaluating pesticide reduction initiatives. Evolutionary game theory, developed from the biological evolutionary theory uses the proportion of individuals in a group selecting different strategies rather than mixed strategies [65,66], and is therefore useful in analyzing the stakeholder game problem associated with pesticide reduction policies. Based on the above description of the research problem and the relevant requirements of evolutionary game theory, the following hypotheses can be formulated:
Hypothesis 1.
Game subjects have finite rationality in their ability to learn. In an environment where no other constraints are taken into account, local governments, farmers, and consumers are all finitely rational, that is, they cannot accurately account for their benefits and costs, and usually continue to make mistakes and learn over time, eventually converging on a stable strategy. There are only two possible strategic choices for each individual in the game. The proportion of the local regulatory government is denoted by x (0 ≤ x ≤ 1), and the proportion of the non-regulatory government is denoted by 1 − x. The proportion of the farmers promoting pesticide reduction is denoted by y (0 ≤ y ≤ 1), and the proportion of the pesticide non-reduction farmers is denoted by 1 − y. The proportion of consumers purchasing green agricultural products is denoted by z (0 ≤ z ≤ 1), and the proportion of consumers purchasing traditional agricultural products is denoted by 1 − z.
Hypothesis 2.
To promote pesticide reduction by farmers, local governments need to adopt certain regulatory instruments. When farmers reduce pesticides because of local governments choosing to regulate, they can receive green incentives from the local governments, denoted by I. When farmers choose not to reduce pesticides because of local governments choosing to regulate, they may suffer penalties from the local governments, denoted by M. To promote the consumption of green agricultural products, the local governments will actively promote them, and the green consumption promotion cost is P. Local governments can obtain a certain political performance by taking regulatory measures, denoted by Ug, and the regulatory cost is Cg. If the local governments choose not to regulate, they cannot receive payment from the central government, at which point, the farmers may overuse pesticides leading to frequent agricultural safety problems, and local governments will bear the reputational damage caused by farmers’ overuse of pesticides, denoted by F.
Hypothesis 3.
It is assumed that the benefits are Rd and costs are Cd when the farmers choose to reduce pesticides, and Rn and costs Cn when the farmers choose not to reduce pesticides. In practice, it is difficult to directly determine the magnitude of the costs and benefits between the two strategies. At the same time, when they choose to reduce pesticides, the cost may be lower, but to improve the quality of the product, the farmers must use new technologies, which may increase the cost. In addition, local government incentives and penalties can also affect the total return to farmers. Because their costs and benefits are influenced by several factors, it is difficult to directly judge which strategy is better for the farmer.
Hypothesis 4.
The basic utility of consumers purchasing green agricultural products or traditional agricultural products is the same, denoted by Uc. Considering consumers’ awareness of green consumption, the consumption of green agricultural products will also bring certain green preference benefits, which are regulated by the local governments’ green consumption promotion efforts. This paper assumes that consumers’ green preference benefits are a function of the local governments’ green consumption promotion cost, so the green preference benefits are Pr and r is the coefficient of influence of the local governments’ green consumption promotion cost on the green preference gain of consumers. When the local governments choose not to regulate pesticide use and farmers choose not to reduce pesticides, the lack of regulation may lead to agricultural product safety problems due to farmers’ overuse of pesticides, with consumers’ consumption of traditional agricultural products possibly generating negative utility, denoted by L.
Table 1 displays the meanings of the parameters mentioned above.
Table 1.
Parameters and their meanings.
4. Model Building
The research model in this paper is based on local governments, farmers, and consumers, and a more detailed evolutionary game analysis model is constructed to provide a reference for subsequent policy optimization. According to the model assumptions, the payment matrix of pesticide reduction game subjects under different decision situations can be obtained (Table 2).
Table 2.
Payment matrix.
The three subjects in the game will adjust their strategies using learning and trial and error, thereby exemplifying the dynamic reproduction process expounded by the evolutionary game theory. Based on the analysis above, Equation (1) can be used to calculate the expected and mean returns for local governments.
The dynamic replication equation for the local governments’ strategies adjustment can be determined from Equation (1), as shown in Equation (2).
In Equation (2), F(x) represents the change rate for the local governments in choosing to regulate. F(x) > 0 means that x will gradually move closer to 1, implying that the local governments will choose to regulate. When F(x) < 0, it means that x will gradually move closer to 0, implying that the local governments will not choose to regulate. Similarly, the expected and average returns of farmers, and the dynamic replication equations for their strategy adjustment can be determined as shown in Equations (3) and (4).
Similarly, the case of the consumers is shown in Equations (5) and (6).
5. Model Analysis
From Equations (2), (4) and (6), a system of replicated dynamic equations for an SA pesticide reduction system can be determined, as shown in Equation (7).
Let all three equations in the replica dynamic equation set equal 0, that is, F(x) = F(y) = F(z) = 0, to obtain nine equilibrium points. They are E1 = (0, 0, 0), E2 = (1, 0, 0), E3 = (0, 1, 0), E4 = (0, 0, 1), E5 = (1, 0, 1), E6 = (1, 1, 0), E7 = (0, 1, 1), E8 = (1, 1, 1), and E9 = (x*,y*,z*). Equilibrium points may be located at fixed points in the strategy space of the game, or within the boundaries and inlside the strategy space. The equilibrium points located in the interior of the strategy space may be centroids or saddle points, not the ESS of the evolutionary game. Therefore, the asymptotic stability of the above eight equilibrium points is further discerned by the local stability of the Jacobi matrix [65,67].
Based on the above analysis, the Jacobi matrix can be determined as shown in Equation (8).
where, a11 = (−1 + 2x) (Cg + P − Ug + M (−1 + y) + Iy − Fz + Fyz), a12 = (−1 + x) x (I + M + Fz), a13 = F (−1 + x) x (−1 + y), a21 = −(I + M) (−1 + y) y, a22 = (1 − 2y) (−Cd + Cn − Rn + Ix + Mx + Rdz + Rnz), a23 = −(Rd + Rn) (−1 + y) y, a31 = −(L (−1 + y) + Pry) (−1 + z) z, a32 = −(2Uc + L (−1 + x) + Prx) (−1 + z) z, a33 = (L (−1 + x) (−1 + y) + Prxy + Uc (−1 + 2y)) (1 − 2z).
According to Lyapunov’s theory, a Jacobi matrix is asymptotically stable when all of its eigenvalues λ < 0; it is unstable when all of its eigenvalues λ > 0. Additionally, the equilibrium point is unstable when the Jacobi matrix has positive and negative eigenvalues λ, namely the saddle point [67]. The asymptotic stability analysis of the equilibrium point is shown in Table 3. When certain conditions are satisfied, E1 (0, 0, 0), E2 (0, 0, 1), E4 (1, 0, 0), E5 (1, 1, 0), E6 (1, 0, 1), E7 (0, 1, 1), and E8 (1, 1, 1) have asymptotic evolutionary stability (Table 3). The conditions are as follows.
Table 3.
Asymptotic stability analysis of local equilibrium points.
Scenario 1.
When −Cg + M − P + Ug < 0, −Cd + Cn − Rn < 0, and L − Uc < 0, (0, 0, 0) is the asymptotic stability point; otherwise, it is the saddle point or instability point. At this point, the benefits of local governments choosing to regulate (M + Ug) are less than the costs (Cg + P). Therefore, local governments will choose not to regulate. Since consumers purchase traditional agricultural products, farmers will have no benefit from choosing to reduce pesticides, and their payment (−Cd) will be less than their payment (Rn − Cn) if they do not choose to reduce pesticides, so they will choose not to reduce pesticides. The potential negative utility (L) from the choice of consumers’ consumption of traditional agricultural products is less than their basic utility (Uc), and farmers only supply traditional agricultural products, so the consumers will purchase traditional agricultural products.
Scenario 2.
When −Cg + F + M − P + Ug < 0, −Cd + Cn + Rd < 0, −L + Uc < 0, (0, 0, 1) is the asymptotic stability point; otherwise, it is the saddle point or instability point. At this point, the benefits of local governments choosing to regulate (M + Ug) are less than the costs (Cg + P − F), so the local governments will choose not to regulate. As consumers purchase green agricultural products, farmers will have no benefit if they do not choose to reduce pesticides, at which point their payment (−Cn) will be more than their payment if they do not choose to reduce pesticides (Rd − Cd), which means that the cost paid by farmers for choosing to reduce pesticides is too high. Therefore, farmers will choose not to reduce pesticides. The negative utility L that consumers may incur by choosing to consume traditional agricultural products is more than their basic utility. Therefore, consumers will purchase green agricultural products through other channels.
Scenario 3.
When Cg − M + P − Ug < 0 and −Cd + Cn + I + M − Rn < 0, (1, 0, 0) is the point of asymptotic stability; otherwise, it is the point of saddle or instability. At this point, the benefits of local governments choosing to regulate (M + Ug) are more than the costs (Cg + P), and the local governments will choose to regulate. As consumers purchase traditional agricultural products, there will be no benefit to the farmers in choosing to reduce pesticides. The payment for farmers who do not choose the pesticide reduction strategy (Rn − Cn − M) will be more than the payment for those who choose the pesticide reduction strategy (−Cd + I), and so the farmers will choose not to reduce pesticides. At this point, local governments are choosing to regulate, and consumers are at a lesser risk of consuming relatively cheaper agricultural products, so they will choose to purchase traditional agricultural products.
Scenario 4.
When −Cg − I − P + Ug < 0 and Cd − Cn − Rd < 0, (0, 1, 1) is the asymptotic stability point; otherwise, it is the saddle point or instability point. At this point, the benefits of local governments choosing to regulate (Ug) are less than the costs (Cg + P + I), so the local governments will choose not to regulate. As consumers purchase green agricultural products, farmers will have no benefit if they do not choose to reduce pesticides. The payment for farmers to choose pesticide reduction (Rd − Cd) will be more than their pay for not choosing pesticide reduction (−Cn), so farmers will choose to reduce pesticides. In the absence of market regulation at this point, consumers will choose to purchase green agricultural products to avoid suffering safety risks.
Scenario 5.
When Cg + I + P − Ug < 0 and Cd − Cn − I − M − Rd < 0, (1, 1, 1) is the asymptotic stability point; otherwise, it is the saddle point or instability point. At this point, the benefits of local governments choosing to regulate (Ug) are more than the costs (Cg + P + I), so the local governments will choose to regulate. As consumers purchase green agricultural products, farmers will have no benefit if they do not choose to reduce pesticides. The payment for farmers who choose to reduce pesticides (Rd − Cd + I) will be more than their payment for choosing not to reduce pesticides (−Cn − M), so farmers will choose to reduce pesticides. At this time, with the local governments’ promotion, consumers will have a stronger preference for green consumption and will be more inclined to purchase green agricultural products.
6. Numerical Simulation
The above sections qualitatively describe the stability of the strategy choices of the participating players under different boundary conditions by constructing a tripartite evolutionary game model with multiple players in the process of further determining the evolutionary equilibrium of the evolving game system. However, the specific process and intrinsic causes of the evolutionary equilibrium of the system for achieving pesticide reduction in SA cannot be fully determined, nor can the question of whether the resulting system equilibrium is unique and stable be answered. Concerning related studies [66,68], to further verify the correctness of the model derivation and the rationality of the conclusion, as well as the sensitivity of the relevant parameters, a numerical simulation analysis is carried out using Matlab based on the above evolutionary game system analysis.
From the above analysis, it can be seen that when local governments choose to regulate, farmers choose to reduce pesticides and consumers choose to purchase green agricultural products, therefore a pluralistic and co-governing common action of agricultural pesticide reduction can be formed, which is also the ideal stable equilibrium in the state of governance. The conditions to be satisfied at this point are Cg + I + P − Ug < 0 and Cd − Cn − I − M − Rd < 0. To analyze, in depth, the impact of different influencing factors on the evolutionary game system, the ideal stable equilibrium state under polycentric governance is used here as the benchmark scenario for numerical simulations. Concerning our research materials in Shandong, Guangdong, and Guizhou, China, and relevant policy documents, the parameters are set as follows, Cg = 2, P = 2, Ug = 8, M = 2, I = 2, F = 2, Cd = 2, Rd = 2, Cn = 2, Rn = 2, L = 2, r = 1, Uc = 2, x0 = 0.5, y0 = 0.5, z0 = 0.5, and the simulation step size t is set to 5.
Based on the above parameters, we simulated the stability of the model under changes in initial strategies (Figure 3). The results indicate that our previous model derivation and analysis were correct, as confirmed through model checking and validation. Specifically, regardless of how the initial strategies change, the evolutionary game system will converge to a stable equilibrium strategy of (1, 1, 1) when the following conditions are satisfied: Cg + I + P − Ug < 0 and Cd − Cn − I − M − Rd < 0.
Figure 3.
The influence of initial strategies on the system.
6.1. The Influence of Local Governments’ Behavioral Parameters on the System
As shown in Figure 4, when holding other factors constant, an increase in the level of political performance achieved by local governments through regulation leads to greater incentives for them to regulate, which motivates farmers to reduce pesticides and encourages consumers to purchase green agricultural products. Conversely, higher regulatory costs incurred by local governments decrease their incentives to regulate, reducing farmers’ motivation to reduce pesticides and lowering consumers’ inclination to purchase green agricultural products. Farmers are more likely to comply with local government regulations when they receive higher subsidies or face severe penalties for noncompliance. Incentive measures have a more significant impact on farmers’ behavior than punitive measures. While punitive measures may encourage local governments to choose to regulate, incentive measures may increase the cost associated with regulating, thereby reducing the regulation initiative of local governments. Additionally, the higher the cost of green consumption promotion for local governments, the greater their incentive to choose to regulate. This can enhance consumers’ awareness of green consumption, promoting green agricultural products and increasing farmers’ motivation to reduce pesticides. If local governments do not choose to regulate, reputational damage caused by farmers’ overuse of pesticides may increase their willingness to regulate. However, this has a limited impact on farmers and consumers. The study shows that incentives and disincentives provided by local governments significantly motivate farmers to reduce pesticides. Nonetheless, local governments will only choose regulation strategies if the costs are manageable.
Figure 4.
The influence of local governments’ behavioral parameters on the system.
6.2. The Influence of Farms’ Household Behavioral Parameters on the System
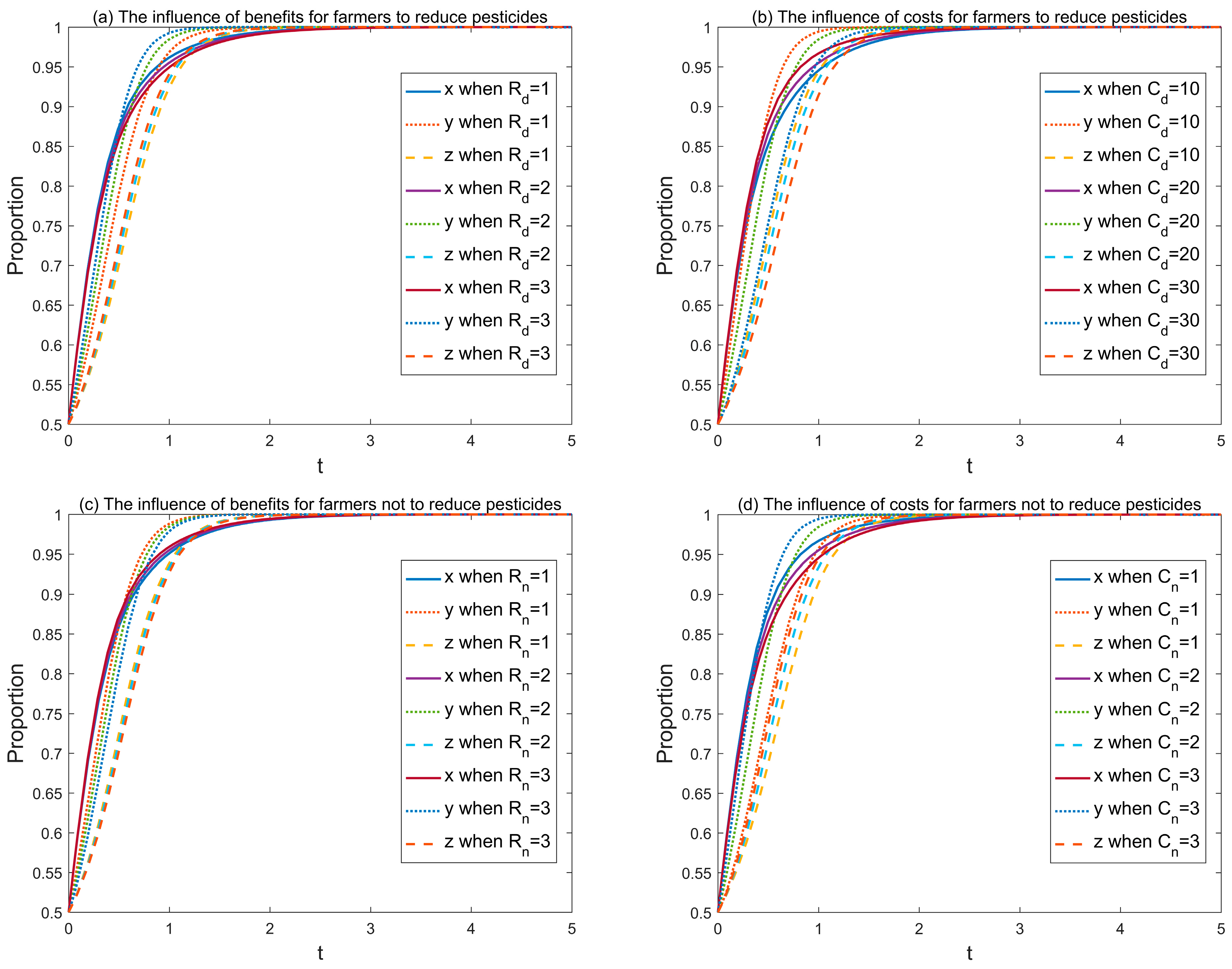
As shown in Figure 5, when the benefits are higher or the costs are lower for pesticide reduction strategies, farmers are more motivated to adopt such practices. In contrast, local governments are less motivated to choose regulation strategies. Consumers, too, exhibit greater interest in purchasing green agricultural products. Conversely, when the benefits are lower or the costs are higher for not choosing pesticide reduction strategies, farmers are more inclined toward reducing pesticides. Local governments are less motivated to regulate, and consumers show a greater preference for green agricultural products. Therefore, changes in the benefits and costs associated with pesticide reduction play a crucial role in the evolution of the system. When the difference in benefits is greater or the difference in costs is less, farmers are more willing to reduce pesticides. These findings highlight that the greater the incentive for farmers to choose to reduce pesticides, the weaker the incentive for local governments to regulate. Such a mechanism creates a virtuous cycle for SA development, achieved through pesticide reduction in a self-organizing process between farmers and consumers.
Figure 5.
The influence of farmers’ behavioral parameters on the system.
6.3. The Influence of Consumers’ Behavioral Parameters on the System
As shown in Figure 6, the basic utility value of consumers’ purchases of agricultural products, the costs of local governments’ green consumption promotion on consumers’ green preference gain, and the potential negative utility of traditional agricultural products consumption by consumers do not significantly affect the local governments’ strategies. However, a higher basic utility value encourages consumers to purchase more green agricultural products, which, in turn, incentivizes farmers to reduce pesticides. In addition, a higher negative utility of traditional agricultural product consumption motivates consumers to choose green agricultural products, further encouraging farmers to reduce pesticides. The coefficient of influence of the local governments’ green consumption promotion costs on the benefits of consumers’ green preferences significantly influences the purchasing behavior of consumers. Specifically, a higher coefficient of influence leads to a greater sensitivity of consumers’ green preferences to the local governments’ green consumption promotion. It is notable that during the process of pesticide reduction regulation, local government regulatory actions have a significant impact on consumers, yet consumers’ consumption habits do not significantly influence the local governments’ decisions. However, through the relationship between supply and demand, consumer behavior significantly impacts farmers’ production behavior.
Figure 6.
The influence of consumers’ behavioral parameters on the system.
7. Discussion
This paper constructs a tripartite evolutionary game model based on the interests of the local governments, farmers, and consumers, and the conclusions obtained are more in line with the results of our field research and the literature research. At present, there are many domestic and international regulatory policies on pesticide reduction, which can be divided into three main types of initiatives: incentive measures (I), green consumption promotion measures (P), and penalty measures (M). First, incentives include agricultural quality and safety subsidies [69], environmentally preferential loans [70], and pesticide insurance [71], which provide incentives for farmers to reduce pesticides, primarily, through economic means. Many studies have shown that local government incentives have directly led to reducing pesticides [40]. The local governments’ penalties are mainly in the form of financial compensation as well as taxation; for example, a California court fined Monsanto nearly USD 10 billion for selling pesticide products that harmed human health [72]. This initiative has increased the proportion of farmers reducing pesticides by making them liable to large penalties if they do not reduce pesticides as required. In fact, according to our research, penalties have a more important role to play than incentives. Penalties aim to constrain farmers’ behavior and reduce over-application. Incentives aim to promote farmers’ reduction behavior, but this constitutes a regulatory cost for local governments. Incentives are not sustainable for local governments with limited financial resources.
As farmers are generally less educated and have less knowledge of pesticide products [73] and lack a sense of subjective responsibility and awareness of environmental production [74], the promotion measures for farmers are mainly focused on environmental publicity and education [75], for example, through green advertising, guidance on the use of pesticides, and other measures to raise awareness of pesticide reduction among farmers. The promotional measures aimed at consumers are mainly to improve their health and green environmental protection awareness, to guide consumers to choose high-quality green agricultural products, and to indirectly affect the production choices of farmers. Our research also shows that green consumption promotion can significantly influence consumers’ green consumption preferences and thus indirectly promote the use of pesticide reduction by farmers. The path of action is to influence consumers’ consumption habits through green consumption promotion, which in turn forces farmers to improve their production processes and reduce pesticides from the perspective of demand.
As farmers and consumers are the main stakeholders in pesticide reduction behavior, both farmers’ production decisions and consumers’ green preferences have a direct impact on the effectiveness of pesticide reduction. Most studies have shown that farmers use pesticides heavily in pursuit of greater yields and higher farm rewards [37,69]. Now that more and more farmers are realizing that all the benefits brought through pesticides are short-term and undesirable in the long run, farmers’ willingness to consciously reduce pesticides is increasing [40,69]. The main factors influencing consumers’ willingness to purchase green agricultural products include consumers’ preferences [16,19,76], consumers’ purchasing power [63], consumers’ attention to food quality [77], etc. Currently, due to an improvement in consumers’ living standards, consumers’ demand for food quality is increasing [78], and the increased preference for green agricultural products [41] will also positively influence farmers’ pesticide reduction behavior. In our study, consumption upgrading is reflected in an increase in the green preference benefit coefficient, and it is clear that along with an increase in the green preference coefficient of consumers, their demand for green agricultural products is greater, thus making farmers more willing to supply green agricultural products and, therefore, having to prioritize pesticide reduction.
Upon analysis of the pesticide reduction policy system, the following insights can be drawn.
Local governments and farmers can work collaboratively through a combination of incentive measures, green consumption promotion measures, and penalty measures. Local governments can provide agricultural quality and safety subsidies, environmentally preferential loans, and pesticide insurance to encourage farmers to reduce pesticide use. Farmers who effectively reduce pesticide use will receive rewards from the government, which incentivizes their behavior. Additionally, local governments can levy significant penalties on farmers who fail to comply with requirements for reduced pesticide use, which provides a disincentive for excessive pesticide use.
In addition, local government policies and measures should align with the needs of farmers, taking into account their income levels and profit margins. They can collaborate with farmers to find suitable methods for pesticide reduction that are cost-effective, practical, and ecologically sound. Local governments can also offer technical support and training to farmers to help them adopt eco-friendly farming practices.
To improve farmers’ awareness of environmental production and encourage them to reduce pesticides, local governments can implement environmental propaganda and education. This could include providing guidance on the use of pesticides and promoting green agricultural practices among farmers. Green advertising, green labeling, and other similar measures can also target consumers to increase demand for green agricultural products, hence encouraging farmers to implement pesticide reduction practices to cater to their preferences.
Overall, the above insights highlight the importance of multi-level and multi-dimensional cooperation among governments, research institutions, and enterprises in reducing pesticide usage. Through the joint efforts of these entities, it will be possible to establish a comprehensive and effective policy system for pesticide reduction while promoting the development of SA.
8. Conclusions
This study constructs a three-party evolutionary game model based on the interests of local governments, farmers, and consumers. The stability analysis of the pesticide reduction strategy choices of participating subjects under different boundary conditions is conducted. Matlab is utilized to simulate the behavior of stakeholders’ participation in pesticide reduction and analyze the impact of changes in the behavior of different subjects on the pesticide reduction evolutionary game system. The research findings are further validated by studying the current status of pesticide reduction behavior. Based on the analysis, the following conclusions can be drawn.
- When certain conditions are met, the evolutionary game of pesticide reduction for SA constructed in this paper can achieve five evolutionary stable strategies, in which the local governments choose the regulation strategies, farmers choose the pesticide reduction strategies, and consumers choose to purchase green agricultural products as the ideal stable equilibrium strategies under the polycentric governance perspective.
- The higher the political performance of local governments choosing to regulate, the greater the incentive for local governments to regulate and, correspondingly, the greater the incentive for farmers to choose to reduce pesticides. Incentives, penalties, and green consumption promotion measures have a significant impact on farmers’ willingness to reduce pesticides, but local governments will only choose appropriate regulation strategies at a limited cost.
- The difference between the benefits and costs of farmers adopting pesticide reduction strategies is a key factor that influences the evolution of agricultural systems. As the benefits of reducing pesticide use increase and the costs decrease, farmers are more willing to adopt such strategies. When farmers are more motivated to choose to reduce pesticides, local governments will be less inclined to choose the need to regulate, thus creating a virtuous mechanism for SA development with pesticide reduction.
- Both the underlying utility value of the agricultural products purchased by the consumers and the negative utility of the produce consumed by the consumers have a significant effect on the consumers, which in turn affects the incentive of the farmers to choose to reduce pesticides. The greater the coefficient of influence of local governments’ green consumption promotion costs on the benefits of consumers’ green preferences, the higher the consumers’ preference for green agricultural products. In the process of pesticide reduction regulation, consumers need to be guided to build up an awareness of green consumption in society as a whole, so that the demand side can force the production side to improve the production process, reduce pesticides, and achieve SA development.
This study has both theoretical and practical management implications. On the one hand, it incorporates three key stakeholders—local governments, farmers, and consumers—into an evolutionary game model, revealing the factors that influence pesticide reduction behavior and enriching the analysis of pesticide reduction policies in China. On the other hand, this research also examines the current status of pesticide reduction behavior in practice and proposes corresponding policy solutions to address the issue of conflicting interests among multiple players involved in the process of pesticide reduction. However, there are certain limitations to this paper. As agribusinesses are now emerging as significant players in the process of pesticide reduction behavior, it is necessary to consider their role in promoting SA. Thus, future research will focus on exploring the role of agricultural enterprises in the reduction of pesticide use and developing strategies to ensure the quality and safety of agricultural products.
Author Contributions
Conceptualization, Q.H. and Y.S.; methodology, Q.H. and Y.S.; software, Q.H.; validation, Q.H., Y.S. and M.Y.; formal analysis, Q.H.; investigation, Q.H.; resources, Q.H.; data curation, Q.H.; writing—original draft preparation, Q.H. and Y.S.; writing—review and editing, Y.S. and M.Y.; visualization, Y.S.; supervision, Y.S. and M.Y.; project administration, Y.S.; funding acquisition, Y.S. All authors have read and agreed to the published version of the manuscript.
Funding
This research was funded by the National Social Science Funds of China, grant number 22&ZD192.
Institutional Review Board Statement
Not applicable.
Informed Consent Statement
Not applicable.
Data Availability Statement
Not applicable.
Acknowledgments
I would like to express our sincere gratitude to all those who have contributed to this research. First and foremost, I would like to thank our supervisors, Yong Sun and Maoan Yi, for their guidance and support throughout the project. I would also like to acknowledge the National Social Science Funds of China. Finally, I would like to thank my family and friends for their encouragement and support throughout this project.
Conflicts of Interest
The authors declare no conflict of interest.
References
- Li, L.; Van der Werf, W.; Zhang, F. Crop diversity and sustainable agriculture: Mechanisms, designs and applications. Front. Agric. Sci. Eng. 2021, 8, 359–361. [Google Scholar] [CrossRef]
- Janker, J.; Mann, S.; Rist, S. What is Sustainable Agriculture? Critical Analysis of the International Political Discourse. Sustainability 2018, 10, 4707. [Google Scholar] [CrossRef]
- Xin, L.; Hu, Z. Evaluation of Agriculture Sustainable Development Level in China. J. Agric. Sci. Technol. 2015, 17, 135–142. [Google Scholar]
- Yu, S.M.; Sial, M.S.; Tran, D.K.; Badulescu, A.; Thu, P.A.; Sehleanu, M. Adoption and Implementation of Sustainable Development Goals (SDGs) in China-Agenda 2030. Sustainability 2020, 12, 6288. [Google Scholar] [CrossRef]
- Pradhan, P.; Costa, L.; Rybski, D.; Lucht, W.; Kropp, J.P. A Systematic Study of Sustainable Development Goal (SDG) Interactions. Earths Future 2017, 5, 1169–1179. [Google Scholar] [CrossRef]
- Hu, T.; Qi, Y.; Sun, H. Forty years of China’s eco-agriculture:Looking back and looking forward-To commemorate the 30th anniversary of Professor MA Shijun’s death, the founder and promoter of eco-agriculture concept. Chin. J. Eco-Agric. 2021, 29, 2107–2115. [Google Scholar]
- Sanders, R. A market road to sustainable agriculture? Ecological agriculture, green food and organic agriculture in China. Dev. Chang. 2006, 37, 201–226. [Google Scholar] [CrossRef]
- Zhang, H.; Chen, Z.; Wang, J.; Wang, H.; Zhang, Y. Spatial-Temporal Pattern of Agricultural Total Factor Productivity Change (Tfpch) in China and Its Implications for Agricultural Sustainable Development. Agriculture 2023, 13, 718. [Google Scholar] [CrossRef]
- Tian, M.L.; Zheng, Y.Y.; Sun, X.L.; Zheng, H.C. A research on promoting chemical fertiliser reduction for sustainable agriculture purposes: Evolutionary game analyses involving ‘government, farmers, and consumers’. Ecol. Indic. 2022, 144, 109433. [Google Scholar] [CrossRef]
- Singh, R.P.; Handa, R.; Manchanda, G. Nanoparticles in sustainable agriculture: An emerging opportunity. J. Control. Release 2021, 329, 1234–1248. [Google Scholar] [CrossRef]
- Silva, V.; Yang, X.; Fleskens, L.; Ritsema, C.J.; Geissen, V. Environmental and human health at risk—Scenarios to achieve the Farm to Fork 50% pesticide reduction goals. Environ. Int. 2022, 165, 107296. [Google Scholar] [CrossRef] [PubMed]
- Kumar, R.; Kumar, S.; Yashavanth, B.; Venu, N.; Meena, P.; Dhandapani, A.; Kumar, A. Natural Farming Practices for Chemical-Free Agriculture: Implications for Crop Yield and Profitability. Agriculture 2023, 13, 647. [Google Scholar] [CrossRef]
- Handford, C.E.; Elliott, C.T.; Campbell, K. A Review of the Global Pesticide Legislation and the Scale of Challenge in Reaching the Global Harmonization of Food Safety Standards. Integr. Environ. Assess. Manag. 2015, 11, 525–536. [Google Scholar] [CrossRef]
- Zhao, L.; Wang, C.; Gu, H.; Yue, C. Market incentive, government regulation and the behavior of pesticide application of vegetable farmers in China. Food Control 2018, 85, 308–317. [Google Scholar] [CrossRef]
- Grovermann, C.; Schreinemachers, P.; Berger, T. Quantifying pesticide overuse from farmer and societal points of view: An application to Thailand. Crop Prot. 2013, 53, 161–168. [Google Scholar] [CrossRef]
- Teng, Y.; Chen, X.; Yu, Z.; Wei, J. Research on the Evolutionary Decision-Making Behavior among the Government, Farmers, and Consumers: Based on the Quality and Safety of Agricultural Products. IEEE Access 2021, 9, 73747–73756. [Google Scholar] [CrossRef]
- Peng, X.; Wang, F.; Wang, J.; Qian, C. Research on Food Safety Control Based on Evolutionary Game Method from the Perspective of the Food Supply Chain. Sustainability 2022, 14, 8122. [Google Scholar] [CrossRef]
- Ghali-Zinoubi, Z.; Toukabri, M. The antecedents of the consumer purchase intention: Sensitivity to price and involvement in organic product: Moderating role of product regional identity. Trends Food Sci. Technol. 2019, 90, 175–179. [Google Scholar] [CrossRef]
- Wongprawmas, R.; Canavari, M. Consumers’ willingness-to-pay for food safety labels in an emerging market: The case of fresh produce in Thailand. Food Policy 2017, 69, 25–34. [Google Scholar] [CrossRef]
- Cui, H.; Zhao, T.; Tao, P. Evolutionary Game Study on the Development of Green Agriculture in China Based on Ambidexterity Theory Perspective. Pol. J. Environ. Stud. 2019, 28, 1093–1104. [Google Scholar] [CrossRef]
- Skardi, M.J.E.; Afshar, A.; Solis, S.S. Simulation-optimization model for non-point source pollution management in watersheds: Application of cooperative game theory. KSCE J. Civ. Eng. 2013, 17, 1232–1240. [Google Scholar] [CrossRef]
- Shi, G.-M.; Wang, J.-N.; Zhang, B.; Zhang, Z.; Zhang, Y.-L. Pollution control costs of a transboundary river basin: Empirical tests of the fairness and stability of cost allocation mechanisms using game theory. J. Environ. Manag. 2016, 177, 145–152. [Google Scholar] [CrossRef]
- Zhao, Q.; Pan, Y.; Xia, X. Internet can do help in the reduction of pesticide use by farmers: Evidence from rural China. Environ. Sci. Pollut. Res. 2021, 28, 2063–2073. [Google Scholar] [CrossRef]
- Baweja, P.; Kumar, S.; Kumar, G. Fertilizers and pesticides: Their impact on soil health and environment. In Soil Health; Springer: Cham, Switzerland, 2020; pp. 265–285. [Google Scholar] [CrossRef]
- Ji, X.; Yin, R.; Zhang, H. Food security and overuse of agrochemicals: Evidence from China’s major grain-producing areas policy. Environ. Sci. Pollut. Res. Int. 2023, 30, 64443–64459. [Google Scholar] [CrossRef]
- Foong, S.Y.; Chan, Y.H.; Loy, A.C.M.; How, B.S.; Tamothran, A.M.; Yip, A.J.K.; Liew, R.K.; Peng, W.X.; Alstrup, A.K.; Lam, S.S.; et al. The nexus between biofuels and pesticides in agroforestry: Pathways toward United Nations sustainable development goals. Environ. Res. 2022, 214, 113751. [Google Scholar] [CrossRef]
- Tripathi, S.; Srivastava, P.; Devi, R.S.; Bhadouria, R. Influence of synthetic fertilizers and pesticides on soil health and soil microbiology. In Agrochemicals Detection, Treatment and Remediation; Butterworth-Heinemann: Amsterdam, The Netherlands, 2020; pp. 25–54. [Google Scholar]
- Ibrahim, M.I.H.; Gilfoyle, L.; Reynolds, R.; Voulvoulis, N. Integrated catchment management for reducing pesticide levels in water: Engaging with stakeholders in East Anglia to tackle metaldehyde. Sci. Total Environ. 2019, 656, 1436–1447. [Google Scholar] [CrossRef]
- Tudi, M.; Li, H.R.; Li, H.Y.; Wang, L.; Lyu, J.; Yang, L.S.; Tong, S.M.; Yu, Q.J.; Ruan, H.D.; Atabila, A.; et al. Exposure Routes and Health Risks Associated with Pesticide Application. Toxics 2022, 10, 335. [Google Scholar] [CrossRef]
- Voica, D.C.; Schmitz, T.G. Trading risk for ambiguity: Production versus health under pesticide application. Am. J. Agric. Econ. 2022, 104, 1327–1342. [Google Scholar] [CrossRef]
- Kim, K.-H.; Kabir, E.; Jahan, S.A. Exposure to pesticides and the associated human health effects. Sci. Total Environ. 2017, 575, 525–535. [Google Scholar] [CrossRef] [PubMed]
- Varghese, P.; Erickson, T.B. Pesticide Poisoning Among Children in India: The Need for an Urgent Solution. Glob. Pediatr. Health 2022, 9, 1–7. [Google Scholar] [CrossRef] [PubMed]
- Thapa, S.; Piras, G.; Thapa, S.; Goswami, A.; Bhandari, P.; Dahal, B. Study on farmers’ Pest management strategy, knowledge on pesticide safety and practice of pesticide use at Bhaktapur district, Nepal. Cogent Food Agric. 2021, 7, 1916168. [Google Scholar] [CrossRef]
- Ochoa-Cueva, P.A.; Arteaga, J.; Arevalo, A.P.; Kolok, A.S. A potential pesticides exposure index (PPEI) for developing countries: Applied in a transboundary basin. Integr. Environ. Assess. Manag. 2022, 18, 187–197. [Google Scholar] [CrossRef] [PubMed]
- Mondal, P.; Sardar, S.K.; Saha, B.C. A Fuzzy approach in the study of amount of pesticide use in agricultural sustainability. Interdiscip. Descr. Complex Syst. 2023, 21, 78–96. [Google Scholar] [CrossRef]
- Sun, S.; Hu, R.; Zhang, C.; Shi, G. Do farmers misuse pesticides in crop production in China? Evidence from a farm household survey. Pest. Manag. Sci. 2019, 75, 2133–2141. [Google Scholar] [CrossRef]
- Yang, M.; Zhao, X.; Meng, T. What are the driving factors of pesticide overuse in vegetable production? Evidence from Chinese farmers. China Agric. Econ. Rev. 2019, 11, 672–687. [Google Scholar] [CrossRef]
- Falconer, K.E. Managing diffuse environmental contamination from agricultural pesticides: An economic perspective on issues and policy options, with particular reference to Europe. Agric. Ecosyst. Environ. 1998, 69, 37–54. [Google Scholar] [CrossRef]
- Finger, R.; Moehring, N.; Dalhaus, T.; Boecker, T. Revisiting Pesticide Taxation Schemes. Ecol. Econ. 2017, 134, 263–266. [Google Scholar] [CrossRef]
- Lee, R.; den Uyl, R.; Runhaar, H. Assessment of policy instruments for pesticide use reduction in Europe; Learning from a systematic literature review. Crop Prot. 2019, 126, 104929. [Google Scholar] [CrossRef]
- Liu, H. The Tripartite Evolutionary Game of Green Agro-Product Supply in an Agricultural Industrialization Consortium. Sustainability 2022, 14, 11582. [Google Scholar] [CrossRef]
- Gao, Y.; Zhang, X.; Lu, J.; Wu, L.; Yin, S. Adoption behavior of green control techniques by family farms in China: Evidence from 676 family farms in Huang-huai-hai Plain. Crop Prot. 2017, 99, 76–84. [Google Scholar] [CrossRef]
- Farrar, J.J.; Ellsworth, P.C.; Sisco, R.; Baur, M.E.; Crump, A.; Fournier, A.J.; Murray, M.K.; Jepson, P.C.; Tarutani, C.M.; Dorschner, K.W. Assessing Compatibility of a Pesticide in an IPM Program. J. Integr. Pest Manag. 2018, 9, 3. [Google Scholar] [CrossRef]
- Zhang, K.; Feng, T.; Xiong, C.; Zhang, Z. Top design and progress in research and development of synthesis technique for reduction and synergy of chemical fertilizers and pesticides in China. Acta Phytophylacica Sin. 2019, 46, 943–953. [Google Scholar]
- Kusnandar, K.; Brazier, F.M.; van Kooten, O. Empowering change for sustainable agriculture: The need for participation. Int. J. Agric. Sustain. 2019, 17, 271–286. [Google Scholar] [CrossRef]
- Sayer, J.; Sunderland, T.; Ghazoul, J.; Pfund, J.L.; Sheil, D.; Meijaard, E.; Venter, M.; Boedhihartono, A.K.; Day, M.; Garcia, C.; et al. Ten principles for a landscape approach to reconciling agriculture, conservation, and other competing land uses. Proc. Natl. Acad. Sci. USA 2013, 110, 8349–8356. [Google Scholar] [CrossRef] [PubMed]
- Littau, P.; Jujagiri, N.J.; Adlbrecht, G. 25 Years of Stakeholder Theory in Project Management Literature (1984–2009). Proj. Manag. J. 2010, 41, 17–29. [Google Scholar] [CrossRef]
- Lin, R.; Ma, X.; Li, B.; Ye, X.; Chen, X.; Liang, S. A Study on the Participation of Peasants in Rural Environmental Improvement From the Perspective of Sustainable Development. Front. Environ. Sci. 2022, 10, 853849. [Google Scholar] [CrossRef]
- Sun, Y.; Du, H.Y.; Liu, B.Y.; Kanchanaroek, Y.; Zhang, J.F.; Zhang, P. Evolutionary Game Analysis for Grassland Degradation Management, Considering the Livelihood Differentiation of Herders. Land 2022, 11, 1776. [Google Scholar] [CrossRef]
- Wang, W.; Song, Z.; Zhou, W.; Jiang, Y.; Sun, Y. Evolutionary Game Analysis of Government and Enterprise Behavior Strategies in Public-Private-Partnership Farmland Consolidation. Agriculture 2022, 12, 1874. [Google Scholar] [CrossRef]
- Xu, L.; Zhou, Z.; Du, J. An Evolutionary Game Model for the Multi-Agent Co-Governance of Agricultural Non-Point Source Pollution Control under Intensive Management Pattern in China. Int. J. Environ. Res. Public Health 2020, 17, 2472. [Google Scholar] [CrossRef]
- Wang, F.; Xu, Y. Evolutionary Game Analysis of the Quality of Agricultural Products in Supply Chain. Agriculture 2022, 12, 1575. [Google Scholar] [CrossRef]
- Yang, A.L.; Rounsevell, M.D.A.; Haggett, C.; Wilson, R.M. Recentralisation through regionalisation in the implementation of Rural Development Policy in Scotland. J. Environ. Plan. Manag. 2015, 58, 1666–1689. [Google Scholar] [CrossRef]
- Mettepenningen, E.; Beckmann, V.; Eggers, J. Public transaction costs of agri-environmental schemes and their determinants-Analysing stakeholders’ involvement and perceptions. Ecol. Econ. 2011, 70, 641–650. [Google Scholar] [CrossRef]
- Brisbois, M.C.; de Loe, R.C. Power in Collaborative Approaches to Governance for Water: A Systematic Review. Soc. Nat. Resour. 2016, 29, 775–790. [Google Scholar] [CrossRef]
- Dobbin, K.B.; Kuo, M.; Lubell, M.; Bostic, D.; Mendoza, J.; Echeveste, E. Drivers of (in)equity in collaborative environmental governance. Policy Stud. J. 2022, 51, 375–395. [Google Scholar] [CrossRef]
- Wang, J.Y.; Yu, X.Q. The Driving Path of Customer Sustainable Consumption Behaviors in the Context of the Sharing Economy-Based on the Interaction Effect of Customer Signal, Service Provider Signal, and Platform Signal. Sustainability 2021, 13, 3826. [Google Scholar] [CrossRef]
- Yang, H.J.; Fang, M.J.; Yao, J.E.; Su, M. Green cooperation in last-mile logistics and consumer loyalty: An empirical analysis of a theoretical framework. J. Retail. Consum. Serv. 2023, 73, 103308. [Google Scholar] [CrossRef]
- Issock, P.B.I.; Mpinganjira, M.; Roberts-Lombard, M. Modelling green customer loyalty and positive word of mouth Can environmental knowledge make the difference in an emerging market? Int. J. Emerg. Mark. 2020, 15, 405–426. [Google Scholar] [CrossRef]
- Dunlap, R.E.; Scarce, R. Poll trends: Environmental problems and protection. Public Opin. Q. 1991, 55, 651–672. [Google Scholar] [CrossRef]
- Qiao, Y.; Halberg, N.; Vaheesan, S.; Scott, S. Assessing the social and economic benefits of organic and fair trade tea production for small-scale farmers in Asia: A comparative case study of China and Sri Lanka. Renew. Agric. Food Syst. 2016, 31, 246–257. [Google Scholar] [CrossRef]
- Pan, Y.; Ren, Y.; Luning, P.A. Factors influencing Chinese farmers’ proper pesticide application in agricultural products–A review. Food Control 2021, 122, 107788. [Google Scholar] [CrossRef]
- Yan, B.; Chen, X.; Cai, C.; Guan, S. Supply chain coordination of fresh agricultural products based on consumer behavior. Comput. Oper. Res. 2020, 123, 105038. [Google Scholar] [CrossRef]
- Liu, R.; Gao, Z.; Snell, H.A.; Ma, H. Food safety concerns and consumer preferences for food safety attributes: Evidence from China. Food Control 2020, 112, 107157. [Google Scholar] [CrossRef]
- Sun, Y.; Liu, B.Y.; Fan, J.; Qiao, Q. The multi-player evolutionary game analysis for the protective development of ecotourism. Environ. Sci. Policy 2021, 126, 111–121. [Google Scholar] [CrossRef]
- Zheng, Y.; Xu, Y.; Qiu, Z. Blockchain Traceability Adoption in Agricultural Supply Chain Coordination: An Evolutionary Game Analysis. Agriculture 2023, 13, 184. [Google Scholar] [CrossRef]
- Friedman, D. Evolutionary games in economics. Econometrica 1991, 59, 637–666. [Google Scholar] [CrossRef]
- Sun, Y.; Wang, Y.L.; Liu, B.Y.; Sun, Z.R. Evolutionary game of destination brand co-construction with government involvement. Manag. Decis. Econ. 2023, 44, 2125–2136. [Google Scholar] [CrossRef]
- Zheng, W.; Luo, B.; Hu, X. The determinants of farmers’ fertilizers and pesticides use behavior in China: An explanation based on label effect. J. Clean. Prod. 2020, 272, 123054. [Google Scholar] [CrossRef]
- Deng, L.; Xu, W.; Luo, J. Optimal Loan Pricing for Agricultural Supply Chains from a Green Credit Perspective. Sustainability 2021, 13, 12365. [Google Scholar] [CrossRef]
- Mohring, N.; Dalhaus, T.; Enjolras, G.; Finger, R. Crop insurance and pesticide use in European agriculture. Agric. Syst. 2020, 184, 102902. [Google Scholar] [CrossRef]
- Centner, T.J. Monsanto’s Roundup verdicts portend liability for some pesticide health damages. Agron. J. 2020, 112, 4519–4528. [Google Scholar] [CrossRef]
- Waichman, A.V.; Eve, E.; da Silva Nina, N.C. Do farmers understand the information displayed on pesticide product labels? A key question to reduce pesticides exposure and risk of poisoning in the Brazilian Amazon. Crop Prot. 2007, 26, 576–583. [Google Scholar] [CrossRef]
- Tur-Cardona, J.; Bonnichsen, O.; Speelman, S.; Verspecht, A.; Carpentier, L.; Debruyne, L.; Marchand, F.; Jacobsen, B.H.; Buysse, J. Farmers’ reasons to accept bio-based fertilizers: A choice experiment in seven different European countries. J. Clean. Prod. 2018, 197, 406–416. [Google Scholar] [CrossRef]
- Nakajima, N. Green advertising and green public relations as integration propaganda. Bull. Sci. Technol. Soc. 2001, 21, 334–348. [Google Scholar] [CrossRef]
- Yu, X.; Gao, Z.; Zeng, Y. Willingness to pay for the “Green Food” in China. Food Policy 2014, 45, 80–87. [Google Scholar] [CrossRef]
- Angulo, A.M.; Gil, J.M.; Tamburo, L. Food safety and consumers’ willingness to pay for labelled beef in Spain. J. Food Prod. Mark. 2005, 11, 89–105. [Google Scholar] [CrossRef]
- Ortega, D.L.; Wang, H.H.; Wu, L.P.; Hong, S.J. Retail channel and consumer demand for food quality in China. China Econ. Rev. 2015, 36, 359–366. [Google Scholar] [CrossRef]
Disclaimer/Publisher’s Note: The statements, opinions and data contained in all publications are solely those of the individual author(s) and contributor(s) and not of MDPI and/or the editor(s). MDPI and/or the editor(s) disclaim responsibility for any injury to people or property resulting from any ideas, methods, instructions or products referred to in the content. |
© 2023 by the authors. Licensee MDPI, Basel, Switzerland. This article is an open access article distributed under the terms and conditions of the Creative Commons Attribution (CC BY) license (https://creativecommons.org/licenses/by/4.0/).





