Almonds By-Product Microcrystalline Cellulose as Stucco for Wooden Artifacts
Abstract
1. Introduction
2. Materials and Methods
2.1. Materials
2.1.1. Plant Material
2.1.2. Binders
2.2. Methods
2.2.1. Dynamic Mechanical Analysis (DMA)
2.2.2. Gas Chromatography–Mass Spectrometry
2.2.3. Treatment of Almond Shells
2.2.4. Preparation of Binders
- Klucel-G (K): hydroxypropyl cellulose with high surfactant properties, used as a thickener for aqueous solutions and to gel solvents or solvent mixtures. For the stucco preparation, it is used at 5% in H2O or at 5% in H2O/EtOH (1:1) [36].
- Aquazol 500 (A): thermoplastic polymer made of two poles (2-ethyl-2-oxazoline). It has good thermal stability and broad solubility in water and polar organic solvents and maintains a neutral pH. It has applications as an adhesive, painting medium, consolidant, and binder [37].
- Plextol B500 (P): thermoplastic acrylic resin (acrylate and methacrylate copolymer) with good chemical resistance and viscosity in aqueous dispersion. It is used for relining paintings and as a consolidant for painted layers [38].
2.2.5. Preparation of Samples
3. Results
3.1. Composition of Almond Shell Cellulose Pulp
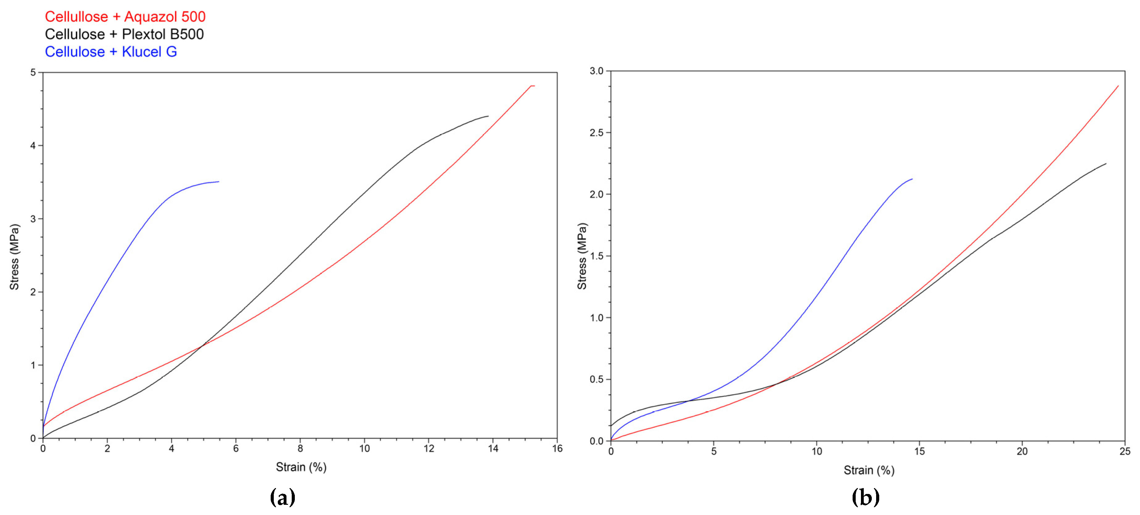
3.2. Sample Flexion Properties and Structure
4. Discussion
5. Conclusions
Author Contributions
Funding
Data Availability Statement
Conflicts of Interest
References
- Sabaté, J.; Ros, E.; Salas-Salvadó, J. Nuts: Nutrition and health outcomes. Br. J. Nutr. 2006, 96 (Suppl. S2), S1–S2. [Google Scholar] [CrossRef] [PubMed]
- Ros, E. Health benefits of nut consumption. Ref. Modul. Food Sci. 2010, 2, 652–682. [Google Scholar] [CrossRef] [PubMed]
- Caltagirone, C.; Peano, C.; Sottile, F. Post-harvest industrial processes of almond (Prunus dulcis L. Mill) in Sicily influence the nutraceutical properties of by-products at harvest and during storage. Front. Nutr. 2021, 8, 659378. [Google Scholar] [CrossRef] [PubMed]
- Badalamenti, E.; Bueno, R.S.; Sala, G.; Cusimano, D.; La Mantia, T.; Ilardi, V. The naturalization of the almond Prunus dulcis in different ecological contexts in the Mediterranean: An underestimated process? Flora 2022, 294, 152117. [Google Scholar] [CrossRef]
- Di Guardo, M.; Farneti, B.; Khomenko, I.; Modica, G.; Mosca, A.; Distefano, G.; Bianco, L.; Troggio, M.; Sottile, F.; La Malfa, S.; et al. Genetic characterization of an almond germplasm collection and volatilome profiling of raw and roasted kernels. Hort. Res. 2021, 8, 27. [Google Scholar] [CrossRef]
- Currò, S.; La Malfa, S.; Distefano, G.; Long, G.; Sottile, F.; Gentile, A. Analysis of S-allele genetic diversity in Sicilian almond germplasm comparing different molecular methods. Plant Breed. 2015, 134, 713–718. [Google Scholar] [CrossRef]
- Distefano, G.; Caruso, M.; La Malfa, S.; Ferrante, T.; Del Signore, B.; Gentile, A.; Sottile, F. Genetic diversity and relationships among Italian and foreign almond germplasm as revealed by microsatellite markers. Sci. Hort. 2013, 162, 305–312. [Google Scholar] [CrossRef]
- Barone, E.; Sottile, F. Advances in cultivation of almonds: Effects of genotypes, environment and cultural techniques. In Achieving Sustainable Cultivation of Tree Nuts; Burleigh Dodds Science Publishing Limited: Cambridge, UK, 2019; pp. 1–23. [Google Scholar]
- Rigoldi, M.P.; Rapposelli, E.; De Giorgio, D.; Resta, P.; Porceddu, A. Genetic diversity in two Italian almond collections. Electron. J. Biotechnol. 2015, 18, 40–45. [Google Scholar] [CrossRef]
- Gianní, S.; Sottile, F. In vitro storage of plum germplasm by slow growth. Hort. Sci. 2015, 42, 61–69. [Google Scholar] [CrossRef]
- Sottile, F.; Barone, E.; Barbera, G.; Palasciano, M. The Italian almond industry: New perspectives and ancient tradition. Acta Hort. 2015, 1028, 401–406. [Google Scholar] [CrossRef]
- Sottile, F.; Massaglia, S.; Peano, C. Ecological and economic indicators for the evaluation of almond (Prunus dulcis L.) Orchard renewal in Sicily. Agriculture 2020, 10, 301. [Google Scholar] [CrossRef]
- Stelte, W.; Sanadi, A.R. Preparation and characterization of cellulose nanofibers from two commercial hardwood and softwood pulps. Ind. Eng. Chem. Res. 2009, 48, 11211–11219. [Google Scholar] [CrossRef]
- Modica, A.; Rosselli, S.; Catinella, G.; Sottile, F.; Catania, C.A.; Cavallaro, C.; Lazzara, G.; Botta, L.; Spinella, A.; Bruno, M. Solid state 13C-NMR studies of the shells of Prunus dulcis and their derived materials. Carbohyd. Pol. 2020, 240, 116290. [Google Scholar] [CrossRef]
- Botta, L.; Titone, V.; Mistretta, M.C.; La Mantia, F.P.; Modica, A.; Bruno, M.; Sottile, F.; Lopresti, L. PBAT based composites reinforced with microcrystalline cellulose obtained from softwood almond shells. Polymers 2021, 13, 2643. [Google Scholar] [CrossRef]
- Grillo, G.; Boffa, L.; Binello, A.; Mantegna, S.; Cravotto, G.; Chemat, F.; Dizhbite, T.; Lauberte, L.; Telysheva, G. Cocoa bean shell waste valorisation; extraction from lab to pilot-scale cavitational reactors. Food Res. Int. 2019, 115, 200–208. [Google Scholar] [CrossRef]
- Boonman, H.; Verstraten, P.; van der Weijde, A.H. Macroeconomic and environmental impacts of circular economy innovation policy. Sustain. Prod. Consum. 2023, 35, 216–228. [Google Scholar] [CrossRef]
- Facchini, F.; Silvestri, B.; Digiesi, S.; Lucchese, A. Agri-food loss and waste management: Win-win strategies for edible discarded fruits and vegetables sustainable reuse. Innov. Food Sci. Emerg. Technol. 2022, 83, 103235. [Google Scholar] [CrossRef]
- Salgado-Ramos, M.; Martí-Quijal, F.J.; Huertas-Alonso, A.J.; Sánchez-Verdú, M.P.; Barba, F.J.; Moreno, A. Almond hull biomass: Preliminary characterization and development of two alternative valorization routes by applying innovative and sustainable technologies. Ind. Crops Prod. 2022, 179, 114697. [Google Scholar] [CrossRef]
- Pirayesh, H.; Khazaeian, A. Using almond (Prunus amygdalus L.) shell as a biowaste resource in wood based composite. Compos. B Eng. 2012, 43, 1475–1479. [Google Scholar] [CrossRef]
- Aguado, R.; Cuevas, M.; Pérez-Villarejo, L.; Martínez-Cartas, M.L.; Sánchez, S. Upgrading almond-tree pruning as a biofuel via wet torrefaction. Renew. Energy 2020, 145, 2091–2100. [Google Scholar] [CrossRef]
- Esfahlan, A.J.; Jamei, R.; Esfahlan, R.J. The importance of almond (Prunus amygdalus L.) and its by-products. Food Chem. 2010, 120, 349–360. [Google Scholar] [CrossRef]
- Martín-Lara, M.A.; Ortuño, N.; Conesa, J.A. Volatile and semivolatile emissions from the pyrolysis of almond shell loaded with heavy metals. Sci. Total Environ. 2018, 613–614, 418–427. [Google Scholar] [CrossRef] [PubMed]
- Afra, E.; Yousefi, H.; Hadilam, M.M.; Nishino, T. Comparative effect of mechanical beating and nanofibrillation of cellulose on paper properties made from bagasse and softwood pulps. Carbohyd. Pol. 2013, 97, 725–730. [Google Scholar] [CrossRef] [PubMed]
- Mokhothu, T.H.; John, M.J. Review on hygroscopic aging of cellulose fibres and their biocomposites. Carbohyd. Pol. 2015, 131, 337–354. [Google Scholar] [CrossRef]
- Osong, S.H.; Norgren, S.; Engstrand, P. Processing of wood-based microfibrillated cellulose and nanofibrillated cellulose, and applications relating to papermaking: A review. Cellulose 2015, 23, 93–123. [Google Scholar] [CrossRef]
- Ghavam, M. Heracleum persicum Desf. ex Fisch., C.A.Mey. & Avé-Lall. Fruit Essential Oil: Content, Antimicrobial Activity and Cytotoxicity against Ovarian Cancer Cell Line. BMC Complement. Med. Ther. 2023, 23, 87. [Google Scholar] [CrossRef]
- AbouAitah, K.; Hassan, H.A.; Ammar, N.M.; Abou Baker, D.H.; Higazy, I.M.; Shaker, O.G.; Elsayed, A.A.A.; Hassan, A.M.E. Novel Delivery System with a Dual–Trigger Release of Savory Essential Oil by Mesoporous Silica Nanospheres and Its Possible Targets in Leukemia Cancer Cells: In Vitro Study. Cancer Nanotechnol. 2023, 14, 3. [Google Scholar] [CrossRef]
- Presenza, L.; Ferraz Teixeira, B.; Antunes Galvão, J.; Maria Ferreira de Souza Vieira, T. Technological Strategies for the Use of Plant-Derived Compounds in the Preservation of Fish Products. Food Chem. 2023, 419, 136069. [Google Scholar] [CrossRef]
- D’Agostino, G.; Giambra, B.; Palla, F.; Bruno, M.; Badalamenti, N. The Application of the Essential Oils of Thymus vulgaris L. and Crithmum maritimum L. as Biocidal on Two Tholu Bommalu Indian Leather Puppets. Plants 2021, 10, 1508. [Google Scholar] [CrossRef]
- Palla, F.; Bruno, M.; Mercurio, F.; Tantillo, A.; Rotolo, V. Essential oil as natural biocides in conservation of cultural heritage. Molecules 2020, 25, 730. [Google Scholar] [CrossRef]
- Casiglia, S.; Bruno, M.; Senatore, F.; Rosselli, S. Chemical Composition of Essential Oils of Anthemis secundiramea Biv. Subsp. Secundiramea (Asteraceae) Collected Wild in Sicily and Their Activity on Micro-Organisms Affecting Historical Art Craft. Nat. Prod. Res. 2019, 33, 970–979. [Google Scholar] [CrossRef]
- Gagliano Candela, R.; Maggi, F.; Lazzara, G.; Rosselli, S.; Bruno, M. The essential oil of Thymbra capitata and its application as a biocide on stone and derived surfaces. Plants 2019, 8, 300. [Google Scholar] [CrossRef]
- Casiglia, S.; Bruno, M.; Scandolera, E.; Senatore, F.; Senatore, F. Influence of harvesting time on composition of the essential oil of Thymus capitatus (L.) Hoffmanns. & Link. growing wild in northern Sicily and its activity on microorganisms affecting historical art crafts. Arabian J. Chem. 2019, 12, 2704–2712. [Google Scholar] [CrossRef]
- Scaffaro, R.; Maio, A.; D’Arrigo, M.; Lopresti, F.; Marino, A.; Bruno, M.; Nostro, A. Flexible mats as promising antimicrobial systems via integration of Thymus capitatus (L.) essential oil into PLA. Fut. Microbiol. 2020, 15, 1379–1392. [Google Scholar] [CrossRef]
- Feller, R.L.; Wilt, M. Evaluation of Cellulose Ethers for Conservation; Research in Conservation; Getty Conservation Institute: Marina del Rey, CA, USA, 1990; ISBN 978-0-89236-099-4. [Google Scholar]
- Pavic, M.; Jablan, J.; Bacic, I.; Fitzek, H.M. A Crumb(ling) Display: Conserving Bread in the Collection of the Museum of Contemporary Art, Zagreb; Getty Conservation Institute: Los Angeles, CA, USA, 2022; Volume 21, pp. 199–207. [Google Scholar]
- Duffy, M.C. A Study of acrylic dispersions used in the treatment of paintings. J. Am. Inst. Conserv. 1989, 28, 67–77. [Google Scholar] [CrossRef]
- Haward, R.N. The Application of a Simplified Model for the Stress-Strain Curves of Polymers. Polymer 1987, 28, 1485–1488. [Google Scholar] [CrossRef]
- Camargos, C.H.M.; Figueiredo, J.C.D.; Pereira, F.V. Cellulose Nanocrystal-Based Composite for Restoration of Lacunae on Damaged Documents and Artworks on Paper. J. Cult. Herit. 2017, 23, 170–175. [Google Scholar] [CrossRef]
- Carretero, M.I.; Bernabé, J.M.; Galán, E. Application of Sepiolite–Cellulose Pastes for the Removal of Salts from Building Stones. Appl. Clay Sci. 2006, 33, 43–51. [Google Scholar] [CrossRef]
- Bartolone, F.; Sebastianelli, M.; Carlo, E.D.; Barresi, G.; Palla, F.; Megna, B. New Applications in the Use of Cellulose Pulp for the Integration of Wooden Supports. Conserv. Sci. Cult. Herit. 2015, 15, 121–133. [Google Scholar] [CrossRef]
- Solubility Determination, Hansen Solubility Parameter, Solvent Effect and Preferential Solvation of Thenalidine in Four Aqueous Binary Mixtures|Elsevier Enhanced Reader. Available online: https://reader.elsevier.com/reader/sd/pii/S0167732222023996?token=FB076CC759A9B28E5E3A74186292E8C7CF990AEACF1044AA02E0C44A934400BF7CD362A9530055D51A3BD18E673E8CFA&originRegion=eu-west-1&originCreation=20230421094617 (accessed on 21 April 2023).






| Ki a | Ki b | Ident. c | Compounds | TC1 | TC2 | TC3 |
|---|---|---|---|---|---|---|
| Monoterpene hydrocarbons | 65.8 | 13.9 | 13.5 | |||
| 930 | 1014 | 1, 2 | α-Thujene | 2.4 | 1.0 | 1.5 |
| 938 | 1032 | 1, 2, 3 | α-Pinene | 2.6 | 0.5 | 0.7 |
| 953 | 1076 | 1, 2, 3 | Camphene | 0.2 | 0.1 | 0.1 |
| 973 | 1132 | 1, 2 | Sabinene | 0.3 | ||
| 978 | 1118 | 1, 2, 3 | β-Pinene | 0.5 | 0.1 | 0.2 |
| 993 | 1174 | 1, 2, 3 | Myrcene | 2.1 | 1.1 | 1.4 |
| 1005 | 1150 | 1, 2, 3 | α-Phellandrene | 0.3 | 0.1 | 0.3 |
| 1009 | 1157 | 1, 2 | δ3-Carene | t | 0.1 | 0.1 |
| 1012 | 1189 | 1, 2, 3 | α-Terpinene | 0.2 | 0.8 | 1.0 |
| 1025 | 1278 | 1, 2, 3 | p-Cymene | 22.8 | 5.8 | 5.0 |
| 1029 | 1218 | 1, 2 | β-Phellandrene | 0.3 | 0.4 | |
| 1049 | 1262 | 1, 2 | (E)-β-Ocimene | 0.1 | ||
| 1057 | 1256 | 1, 2, 3 | γ-Terpinene | 34.4 | 3.8 | 2.6 |
| 1086 | 1265 | 1, 2, 3 | Terpinolene | 0.2 | 0.1 | |
| Oxygenated monoterpens | 0.2 | 0.6 | 1.7 | |||
| 1097 | 1553 | 1, 2, 3 | Linalool | 0.4 | ||
| 1063 | 1555 | 1, 2 | (Z)-Sabinene hydrate | t | 0.1 | t |
| 1098 | 1475 | 1, 2 | (E)-Sabinene hydrate | t | ||
| 1167 | 1718 | 1, 2, 3 | Borneol | 0.1 | 0.1 | |
| 1176 | 1611 | 1, 2, 3 | Terpineol-4 | 0.1 | 0.3 | 0.5 |
| 1189 | 1706 | 1, 2, 3 | α-Terpineol | 0.1 | ||
| 1195 | 1624 | 1, 2 | cis-Dihydrocarvone | 0.1 | ||
| 1238 | 1694 | 1, 2 | Neral | 0.1 | 0.2 | |
| 1243 | 1752 | 1, 2 | Carvone | 0.1 | ||
| 1268 | 1741 | 1, 2 | Geranial | 0.3 | ||
| Sesquiterpene hydrocarbons | ||||||
| 1363 | 1492 | 1, 2 | Cyclosativene | 2.5 | 3.3 | 2.1 |
| 1407 | 1538 | 1, 2 | α-Gurjunene | 0.2 | ||
| 1415 | 1612 | 1, 2, 3 | (E)-β-Caryophyllene | t | 2.3 | 1.7 |
| 1437 | 1628 | 1, 2 | Aromadendrene | 0.6 | 0.1 | |
| 1455 | 1689 | 1, 2 | α-Humulene | 0.1 | 0.1 | |
| 1463 | 1667 | 1, 2 | allo-Aromadendrene | t | ||
| 1487 | 1679 | 1, 2 | α-Amorphene | t | ||
| 1489 | 1743 | 1, 2 | Eremophilene | 0.1 | ||
| 1508 | 1746 | 1, 2 | (Z)-α-Bisabolene | 0.7 | 0.3 | 0.1 |
| 1511 | 1743 | 1, 2 | β-Bisabolene | 0.5 | 0.4 | 0.2 |
| 1513 | 1709 | 1, 2 | Ledene | t | ||
| 1526 | 1773 | 1, 2 | δ-Cadinene | 0.2 | 0.1 | |
| 1494 | 1687 | 1, 2 | Viridiflorene | 0.2 | ||
| Oxygenated sesquiterpenes | 3.2 | 1.5 | 0.5 | |||
| 1578 | 2150 | 1, 2, 3 | Spathulenol | 0.2 | t | |
| 1580 | 2008 | 1, 2, 3 | Caryophyllene oxide | 2.2 | 1.3 | 0.5 |
| 1612 | 2018 | 1, 2 | Humulene oxide II | 0.3 | ||
| 1615 | 2324 | 1, 2 | Caryophylla-4(12),8(13)-dien-5α-ol; Caryophylladienol II | 0.3 | ||
| 1640 | 2158 | 1, 2 | t-Cadinol | t | ||
| 1642 | 2209 | 1, 2 | s-Muurolol | 0.1 | ||
| 1716 | 2478 | 1, 2 | 14-Hydroxy-a-humulene | 0.3 | ||
| Diterpenes | 1.1 | 0.1 | ||||
| 1896 | 2147 | 1, 2 | Rimuene | t | ||
| 1908 | 2176 | 1, 2 | Isopimara-9-(11),15-diene | 0.7 | ||
| 2054 | 2524 | 1, 2 | Abietatriene | 0.4 | 0.1 | |
| Phenolic compounds and derivatives | 19.8 | 76.7 | 81.5 | |||
| 1245 | 1975 | 1, 2, 3 | Carvacrol methyl ether | 1.9 | 0.5 | 0.2 |
| 1297 | 2239 | 1, 2, 3 | Carvacrol | 14.2 | 76.1 | 81.2 |
| 1298 | 1956 | 1, 2 | Carvacrol ethyl ether | 0.7 | ||
| 1353 | 2186 | 1, 2, 3 | Eugenol | 0.8 | 0.1 | 0.1 |
| 1367 | 1885 | 1, 2, 3 | Carvacryl acetate | 1.5 | ||
| 1472 | 1985 | 1, 2 | Carvacryl isobutyrate | 0.7 | t | |
| Total | 92.6 | 96.2 | 99.8 | |||
| Material | Hansen Solubility Parameter (j/cm3)1/2 |
|---|---|
| Cellulose | 18.03 |
| Ethanol | 24 |
| Water | 36.2 |
Disclaimer/Publisher’s Note: The statements, opinions and data contained in all publications are solely those of the individual author(s) and contributor(s) and not of MDPI and/or the editor(s). MDPI and/or the editor(s) disclaim responsibility for any injury to people or property resulting from any ideas, methods, instructions or products referred to in the content. |
© 2023 by the authors. Licensee MDPI, Basel, Switzerland. This article is an open access article distributed under the terms and conditions of the Creative Commons Attribution (CC BY) license (https://creativecommons.org/licenses/by/4.0/).
Share and Cite
D’Agostino, G.; Merra, R.; Sottile, F.; Lazzara, G.; Bruno, M. Almonds By-Product Microcrystalline Cellulose as Stucco for Wooden Artifacts. Sustainability 2023, 15, 7800. https://doi.org/10.3390/su15107800
D’Agostino G, Merra R, Sottile F, Lazzara G, Bruno M. Almonds By-Product Microcrystalline Cellulose as Stucco for Wooden Artifacts. Sustainability. 2023; 15(10):7800. https://doi.org/10.3390/su15107800
Chicago/Turabian StyleD’Agostino, Giulia, Rosalia Merra, Francesco Sottile, Giuseppe Lazzara, and Maurizio Bruno. 2023. "Almonds By-Product Microcrystalline Cellulose as Stucco for Wooden Artifacts" Sustainability 15, no. 10: 7800. https://doi.org/10.3390/su15107800
APA StyleD’Agostino, G., Merra, R., Sottile, F., Lazzara, G., & Bruno, M. (2023). Almonds By-Product Microcrystalline Cellulose as Stucco for Wooden Artifacts. Sustainability, 15(10), 7800. https://doi.org/10.3390/su15107800

