The Role of Nitrogen in Inducing Salt Stress Tolerance in Crocus sativus L.: Assessment Based on Plant Growth and Ions Distribution in Leaves
Abstract
1. Introduction
2. Materials and Methods
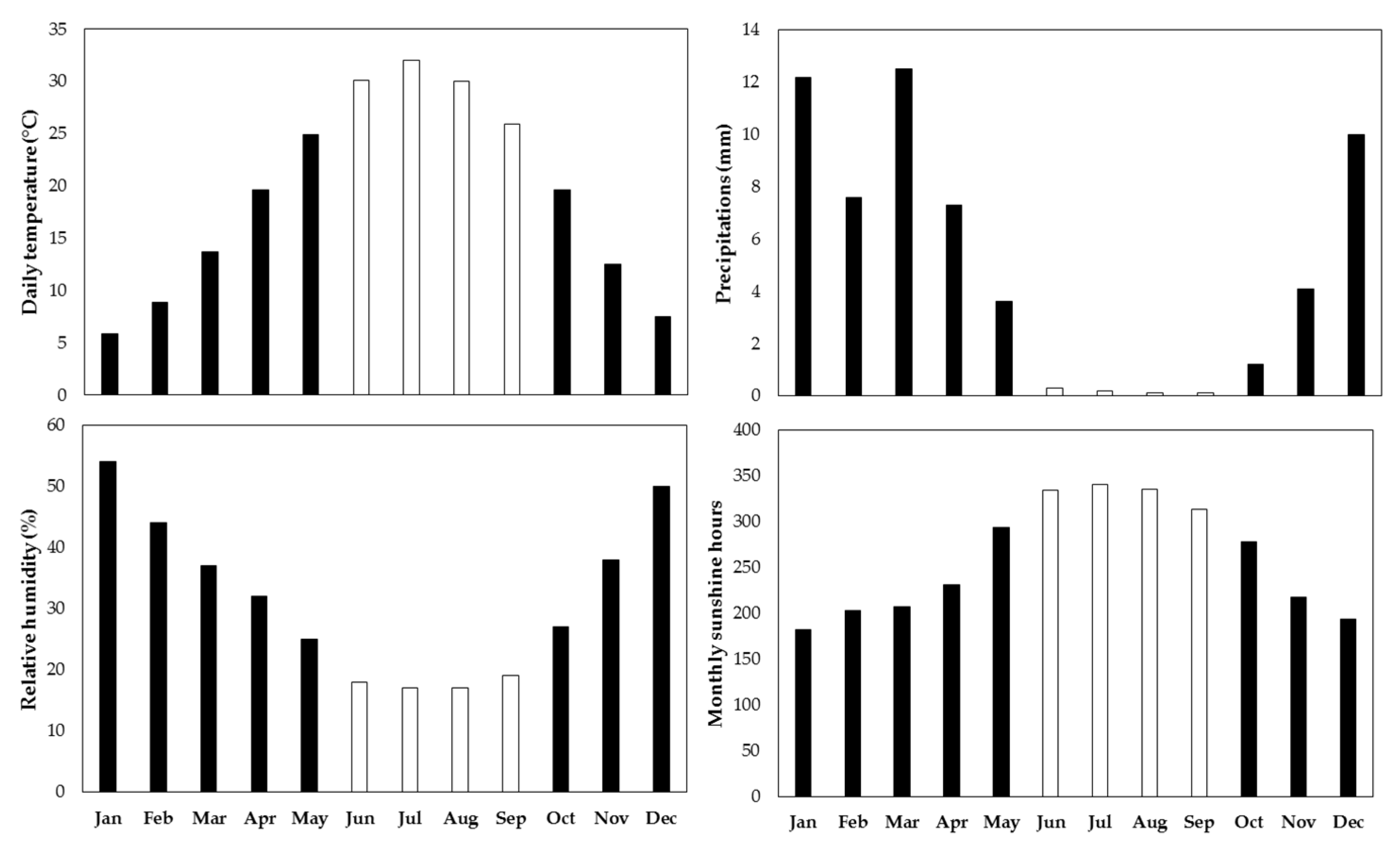
2.1. Experimental Design and Procedures
2.2. Samplings and Measurements
2.3. Statistical Analyses
3. Results
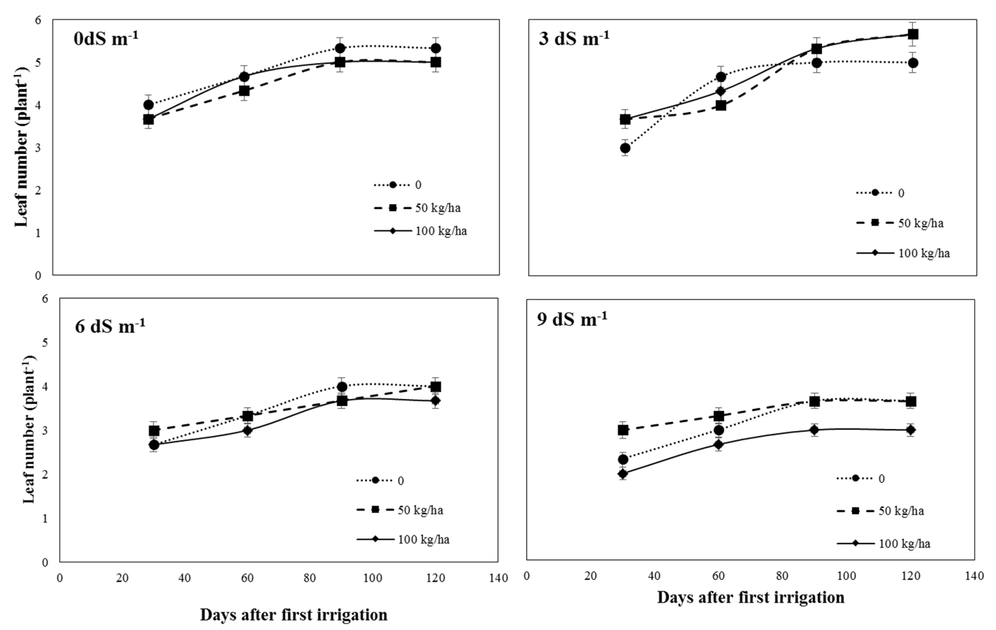
3.1. Leaf Growth
3.2. Shoot and Corm Growth
3.3. Ions
4. Discussion
5. Conclusions
Author Contributions
Funding
Institutional Review Board Statement
Informed Consent Statement
Data Availability Statement
Conflicts of Interest
References
- Bicharanloo, B.; Moghaddam, P.R.; Asadi, G. Does summer irrigation alter nitrogen uptake and utilisation efficiency of saffron (Crocus sativus L.) for different organic and chemical fertilisers? Arch. Agron. Soil Sci. 2021, 67, 1754–1769. [Google Scholar] [CrossRef]
- Gresta, F.; Santonoceto, C.; Avola, G. Crop rotation as an effective strategy for saffron (Crocus sativus L.) cultivation. Sci. Hortic. 2016, 211, 34–39. [Google Scholar] [CrossRef]
- Yarami, N.; Sepaskhah, A.R. Physiological growth and gas exchange response of saffron (Crocus sativus L.) to irrigation water salinity, manure application and planting method. Agric. Water Manag. 2015, 154, 43–51. [Google Scholar] [CrossRef]
- Pandey, A.; Khan, M.K.; Hakki, E.E.; Gezgin, S.; Hamurcu, M. combined boron toxicity and salinity stress—An insight into its interaction in plants. Plants 2019, 8, 364. [Google Scholar] [CrossRef]
- Liu, X.; Luo, M.; Chen, J.; Ye, R.; Tan, J.; Zhai, Z.; Yang, Y.; Huang, J. Root iron plaque abundance as an indicator of carbon decomposition rates in a tidal freshwater wetland in response to salinity and flooding. Soil Biol. Biochem. 2021, 162, 108403. [Google Scholar] [CrossRef]
- Yarami, N.; Sepaskhah, A.R. Saffron response to irrigation water salinity, cow manure and planting method. Agric. Water Manag. 2015, 150, 57–66. [Google Scholar] [CrossRef]
- Mollafilabi, A. Experimental findings of production and echo physiological aspects of saffron (Crocus sativus L.). Acta Hortic. 2003, 650, 195–200. [Google Scholar] [CrossRef]
- Pirasteh-Anosheh, H.; Kamgar, H.A. Using Brackish Water for Saffron Production in Arid and Semi-Arid Regions. In Proceedings of the 2nd International Conference on Water Saving and Plant Production Strategies: Constraints and Implications for Sustainable Agriculture, Faisalabad, Pakistan, 26–28 March 2019. [Google Scholar]
- Feizi, H.; Moradi, R.; Pourghasemian, N.; Sahabi, H. Assessing saffron response to salinity stress and alleviating potential of gamma amino butyric acid, salicylic acid and vermicompost extract on salt damage. S. Afr. J. Bot. 2021, 141, 330–343. [Google Scholar] [CrossRef]
- Pirasteh-Anosheh, H.; Hashemi, S.E.; Del Borghi, A.; Spasiano, D.; Rad, M.; Race, M. Feasibility study of saffron cultivation using a semi-saline water by managing planting date, a new statement. Environ. Res. 2022, 203, 111853. [Google Scholar] [CrossRef]
- Sepaskhah, A.R.; Kamgar, H.A. Saffron irrigation regime. Int. J. Plant Prod. 2009, 3, 1–16. [Google Scholar]
- Gresta, F.; Lombardo, G.M.; Siracusa, L.; Ruberto, G. Saffron, an alternative crop for sustainable agricultural systems. A review. Agron. Sustain. Dev. 2008, 28, 95–112. [Google Scholar] [CrossRef]
- Behnia, M.R.; Stilai, A.; Ehdaie, B. Application of fertilizers for increased saffron yield. J. Agron. Crop Sci. 1999, 182, 9–15. [Google Scholar] [CrossRef]
- Naseer, S.; Nehvi, F.A.; Nagoo, S.A.; Samad, S.S.; Iqbal, A.M.; Dar, N.A. Effect of organic and inorganic sources of fertilizers on growth and yield of saffron (Crocus sativus L.). In IV International Symposium on Saffron Biology and Technology; ISHS: Leuven, Belgium, 2012. [Google Scholar]
- Amiri, M.E. Impact of animal manures and chemical fertilizers on yield components of saffron (Crocus sativus L.). Am.-Eurasian J. Agric. Environ. Sci. 2008, 4, 274–279. [Google Scholar]
- Akbari, H.; Cherati, S.M.; Monazam, N.H.; Noguchi, M. Effect of courtyards’ geometrical parameters on climate adaptability and shading performance in hot-arid climate of Yazd (Iran). Sustain. Energy Technol. Assess. 2021, 48, 101594. [Google Scholar] [CrossRef]
- Kafi, M.; Koocheki, A.; Rashed, M.H.; Nassiri, M. Saffron Production and Processing; Science Publisher: New York, NY, USA, 2006; pp. 126–150. [Google Scholar]
- Havre, G.N. The flame photometric determination of sodium, potassium and calcium in plant extracts with special reference to interference effects. Anal. Chim. Acta 1961, 25, 557–566. [Google Scholar] [CrossRef]
- VDLUFA. Handbuch der Landwirtschaftlichen Versuchs-und Untersuchungsmethodik (VDLUFA-Methodenbuch), Bd. III Die chemische Untersuchung von Futtermitteln, 3rd ed.; VDLUFA-Verlag: Darmstadt, Germany, 2012. [Google Scholar]
- Lee, J.; Campbell, C.M. Atomic absorption Spectrophotometric and ethylene diaminetetra acetate-titration methods for calcium and magnesium determinations. J. Dairy Sci. 1969, 52, 121–124. [Google Scholar] [CrossRef]
- Hosseini, M.; Sadeghiand, B.; Aghamiri, S.A. Influence of foliar fertilization on yield of saffron (Crocus sativus L.). Acta Hortic. 2004, 650, 207–209. [Google Scholar] [CrossRef]
- Luo, M.; Moorhead, D.L.; Ochoa-Hueso, R.; Mueller, C.W.; Ying, S.C.; Chen, J. Nitrogen loading enhances phosphorus limitation in terrestrial ecosystems with implications for soil carbon cycling. Funct. Ecol. 2022, 36, 2845–2858. [Google Scholar] [CrossRef]
- Mzabri, I.; Legsayer, M.; Aliyat, F.; Maldani, M.; Kouddane, N.; Boukroute, A.; Bekkouch, I.; Berrichi, A. Effect of salt stress on the growth and development of saffron (Crocus sativus L.) in eastern Morocco. Acta Hortic. 2017, 1184, 55–62. [Google Scholar] [CrossRef]
- Unal, M.; Cavusoglu, A. The effect of various nitrogen fertilizers on saffron (Crocus sativus L.) yield. J. Akdeniz Uni. Facul. Agric. 2005, 18, 257–260. [Google Scholar]
- Koocheki, A.; Ganjeali, A.; Abbassi, F. The effect of duration of incubation and photoperiod on corm and shoot characteristics of saffron plant (Crocus sativus L.). Acta Hortic. 2007, 739, 61–70. [Google Scholar] [CrossRef]
- Azari, S.J.; Sorooshzadeh, A.; Nabati, J.; Oskoueian, E. Relationship between fertilization and planting depths on antioxidant activity in saffron (Crocus sativus L.). Indust Crops Prod. 2023, 191, 116004. [Google Scholar] [CrossRef]
- Koocheki, A.; Jamshideyni, M.; Seyyedi, S.M. The effects of mother corm size and type of fertilizer on nitrogen use efficiency in saffron. Saffron Agron. Technol. 2015, 2, 243–254. [Google Scholar]
- Itoo, Z.A.; Reshi, Z.A.; Shah, M.A. Characterizing arbuscular mycorrhizas in Saffron: Implications for bridging the yield gaps. Biologia 2023, 78, 91–100. [Google Scholar] [CrossRef]
- Ghoreishi, S.G.; Khashei, A.; Beyki, A. Effects of salt stress and nitrogen application forms on yield of saffron (Crocus sativus L.) as a medicinal plant yield under Birjand climatic conditions. J. Saffron Res. 2020, 7, 343–353. [Google Scholar] [CrossRef]
- Ghanbari, J.; Khajoei-Nejad, G. Integrated nutrient management to improve some soil characteristics and biomass production of saffron. Ind. Crops Prod. 2021, 166, 113447. [Google Scholar] [CrossRef]
- Dong, H. Technology and field management for controlling soil salinity effects on cotton. Aust. J. Crop Sci. 2012, 6, 333–341. [Google Scholar]
- Yarami, N.; Sepaskhah, A.R. Effect of irrigation water salinity, manure application and planting method on soil ions variation and ions uptake by saffron (Crocus sativus L.). Int. J. Plant Prod. 2016, 10, 197–219. [Google Scholar]
- Al-Farsi, S.M.; Nawaz, A.; Nadaf, S.K.; Al-Sadi, A.M.; Siddique, K.H.; Farooq, M. Effects, tolerance mechanisms and management of salt stress in lucerne (Medicago sativa). Crop. Pasture Sci. 2020, 71, 411–428. [Google Scholar] [CrossRef]
- Ashraf, M.; Afzal, M.; Ahmad, R.; Maqsood, M.A.; Shahzad, S.M.; Tahir, M.A.; Akhtar, N.; Aziz, A. Growth response of the salt-sensitive and the salt-tolerant sugarcane genotypes to potassium nutrition under salt stress. Arch. Agron. Soil Sci. 2012, 58, 385–398. [Google Scholar] [CrossRef]
- Pirasteh-Anosheh, H.; Emam, Y.; Rousta, M.J.; Ashraf, M. Salicylic acid induced salinity tolerance through manipulation of ion distribution rather than ion accumulation. J. Plant Growth Regul. 2017, 36, 227–239. [Google Scholar] [CrossRef]
- Kirmani, N.A.; Sofi, J.A.; Bhat, M.A.; Ansar-Ul-Haq, S. Sustainable saffron production as influenced by integrated nitrogen management in Typic Hapludalfs of NW Himalayas. Commun. Soil Sci. Plant Anal. 2014, 45, 653–668. [Google Scholar] [CrossRef]
- Appireddy, G.K.; Saha, S.; Mina, B.L.; Kundu, S.; Selvakumar, G.; Gupta, H.S. Effect of organic manures and integrated nutrient management on yield potential of bell pepper (Capsicum annuum) varieties and on soil properties. Arch. Agron. Soil Sci. 2008, 54, 127–137. [Google Scholar] [CrossRef]







| ECe (dS m−1) | Texture | FC (%) | PWP (%) | pH | K (mg kg−1) | P (mg kg−1) | N (%) | OM (%) |
|---|---|---|---|---|---|---|---|---|
| 1.23 | Sandy loam | 22.40 | 7.60 | 7.13 | 180.10 | 12.23 | 0.06 | 0.44 |
| EC | pH | OC | N | P | K | Ca | Fe | Mn | Zn | Cu |
|---|---|---|---|---|---|---|---|---|---|---|
| (dS m−1) | (%) | (mg kg−1) | ||||||||
| 2.90 | 7.41 | 48.32 | 11212.0 | 467.21 | 945.50 | 46.12 | 2546.30 | 285.22 | 218.60 | 26.83 |
| EC | pH | HCO3− | Cl− | SO42− | Ca2+ | Mg2+ | Na+ | K+ |
|---|---|---|---|---|---|---|---|---|
| (dS m−1) | (meq L−1) | |||||||
| 14.79 | 7.77 | 3.44 | 103.22 | 30.11 | 11.30 | 30.43 | 95.66 | 0.66 |
| Na/K | Ca (mg kg−1) | Mg (mg kg−1) | ||||||||||
|---|---|---|---|---|---|---|---|---|---|---|---|---|
| N (kg ha−1) | 2018–2019 | 2019–2020 | 2018–2019 | 2019–2020 | 2018–2019 | 2019–2020 | ||||||
| 0 | 1.51 | a | 2.51 | a | 65.9 | a | 72.1 | a | 30.1 | a | 36.1 | a |
| 50 | 0.95 | b | 1.47 | b | 68.9 | a | 74.5 | a | 33.7 | a | 32.9 | a |
| 100 | 0.66 | c | 1.15 | c | 62.6 | a | 76.3 | a | 35.6 | a | 40.8 | a |
| ECiw (dS m−1) | ||||||||||||
| 0 | 0.32 | D | 0.45 | C | 60.4 | B | 66.8 | B | 32.7 | A | 37.2 | A |
| 3 | 0.64 | C | 0.82 | C | 62.6 | B | 71.0 | B | 33.3 | A | 35.0 | A |
| 6 | 1.21 | B | 2.34 | B | 61.4 | B | 71.1 | B | 33.7 | A | 36.5 | A |
| 9 | 1.98 | A | 3.23 | A | 78.8 | A | 88.3 | A | 32.7 | A | 37.7 | A |
Disclaimer/Publisher’s Note: The statements, opinions and data contained in all publications are solely those of the individual author(s) and contributor(s) and not of MDPI and/or the editor(s). MDPI and/or the editor(s) disclaim responsibility for any injury to people or property resulting from any ideas, methods, instructions or products referred to in the content. |
© 2022 by the authors. Licensee MDPI, Basel, Switzerland. This article is an open access article distributed under the terms and conditions of the Creative Commons Attribution (CC BY) license (https://creativecommons.org/licenses/by/4.0/).
Share and Cite
Hashemi, S.E.; Madahhosseini, S.; Pirasteh-Anosheh, H.; Sedaghati, E.; Race, M. The Role of Nitrogen in Inducing Salt Stress Tolerance in Crocus sativus L.: Assessment Based on Plant Growth and Ions Distribution in Leaves. Sustainability 2023, 15, 567. https://doi.org/10.3390/su15010567
Hashemi SE, Madahhosseini S, Pirasteh-Anosheh H, Sedaghati E, Race M. The Role of Nitrogen in Inducing Salt Stress Tolerance in Crocus sativus L.: Assessment Based on Plant Growth and Ions Distribution in Leaves. Sustainability. 2023; 15(1):567. https://doi.org/10.3390/su15010567
Chicago/Turabian StyleHashemi, Seyedeh Elahe, Shahab Madahhosseini, Hadi Pirasteh-Anosheh, Ebrahim Sedaghati, and Marco Race. 2023. "The Role of Nitrogen in Inducing Salt Stress Tolerance in Crocus sativus L.: Assessment Based on Plant Growth and Ions Distribution in Leaves" Sustainability 15, no. 1: 567. https://doi.org/10.3390/su15010567
APA StyleHashemi, S. E., Madahhosseini, S., Pirasteh-Anosheh, H., Sedaghati, E., & Race, M. (2023). The Role of Nitrogen in Inducing Salt Stress Tolerance in Crocus sativus L.: Assessment Based on Plant Growth and Ions Distribution in Leaves. Sustainability, 15(1), 567. https://doi.org/10.3390/su15010567

