Evaluating Compost from Digestate as a Peat Substitute in Nursery for Olive and Hazelnut Trees
Abstract
1. Introduction
1.1. Biogas Production and Digestate Use
1.2. Compost as a Peat Substitute in Nursery
1.3. Olive and Hazelnut Tree Cultivation and Nursery
1.4. Novelty of This Study
2. Materials and Methods
2.1. Obtaining, Description, and Materials Analysis
2.2. Composting and Compost Analysis
2.3. Characterization of Organic Materials
2.4. Substrate Composition
2.5. Species and Varieties Used in Testing and Sampling
2.6. Performed Surveys and Methods
2.6.1. Plant Growth, Leaves’ Chlorophyll Content, Substrate EC and pH
2.6.2. Destructive Measurements
2.7. Statistical Tests
3. Results and Discussion
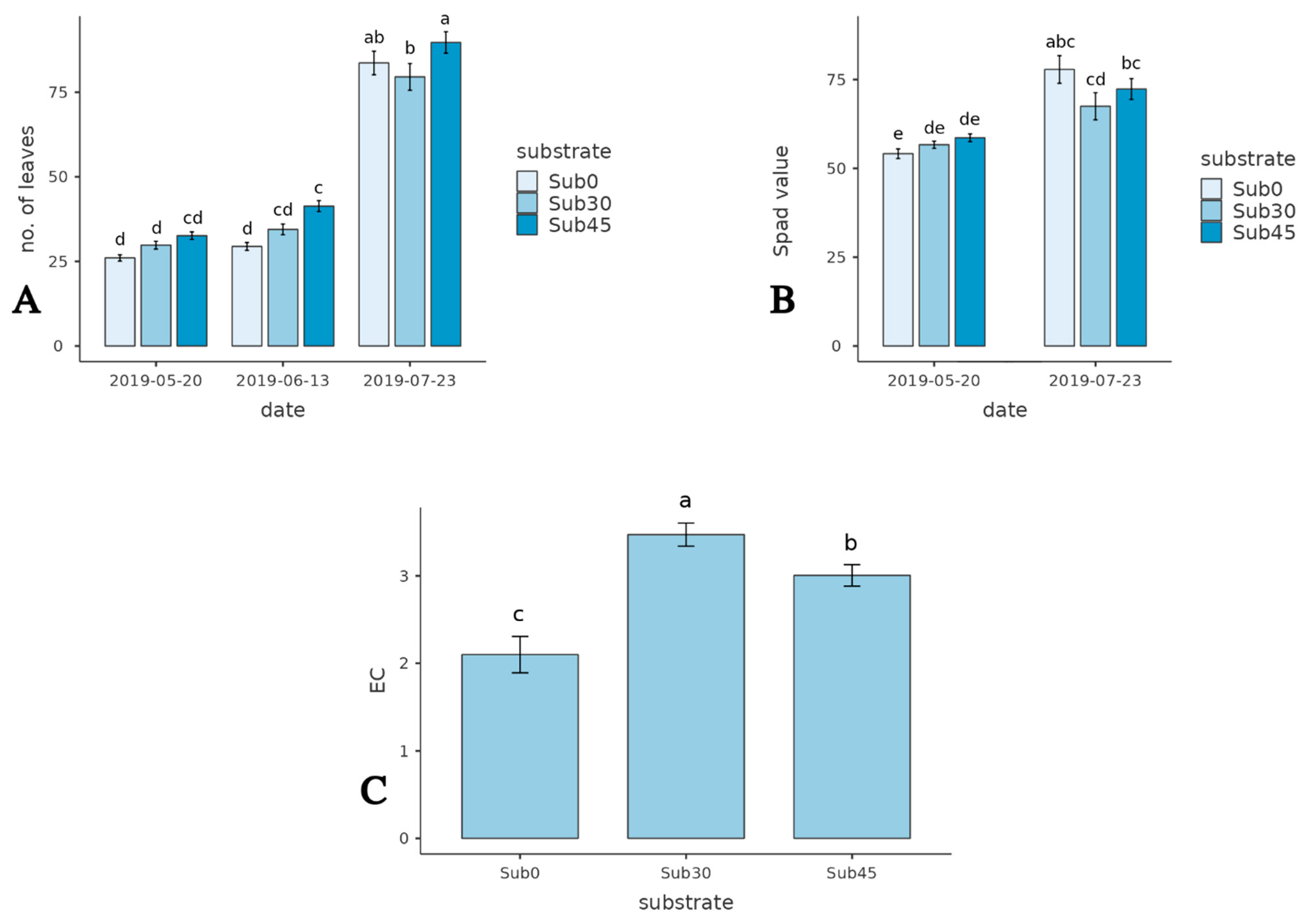
3.1. Olive Tree Growth
3.2. Olive Tree at the End of the Growing Season
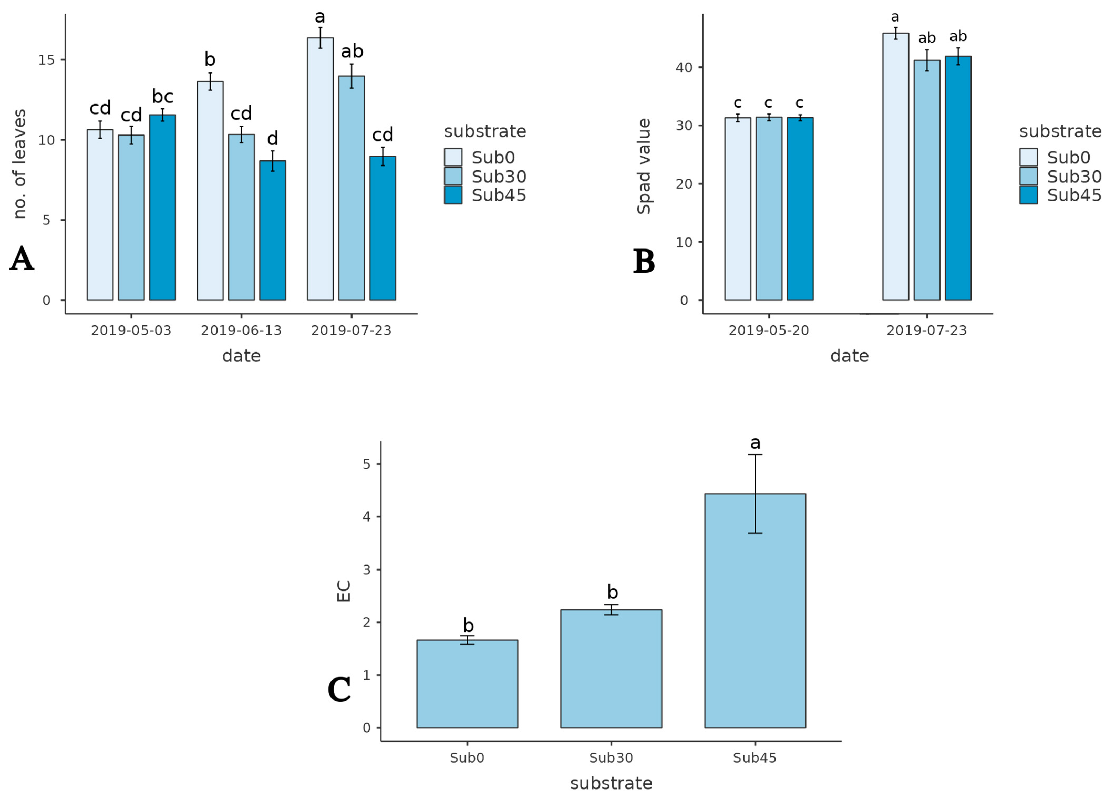
3.3. Hazelnut Tree Growth
3.4. Hazelnut Tree at the End of the Growing Season
3.5. Comparing Results of the Two Species
4. Conclusions
Author Contributions
Funding
Institutional Review Board Statement
Informed Consent Statement
Data Availability Statement
Acknowledgments
Conflicts of Interest
References
- World Commission on Environment and Development (WCED). Our Common Future; Oxford University Press: Oxford, UK, 1987; Volume 17, pp. 1–91. [Google Scholar]
- Purvis, B.; Mao, Y.; Robinson, D. Three Pillars of Sustainability: In Search of Conceptual Origins. Sustain. Sci. 2019, 14, 681–695. [Google Scholar] [CrossRef]
- Adams, W.M. The Future of Sustainability: Re-Thinking Environment and Development in the Twenty-First Century; IUCN: Gland, Switzerland, 2006. [Google Scholar]
- Carlsen, L.; Bruggemann, R. The 17 United Nations’ Sustainable Development Goals: A Status by 2020. Int. J. Sustain. Dev. World Ecol. 2022, 29, 219–229. [Google Scholar] [CrossRef]
- IRENA—International Renewable Energy Agency. Available online: https://www.irena.org/ (accessed on 3 November 2022).
- Al Seadi, T.; Drosg, B.; Fuchs, W.; Rutz, D.; Janssen, R. Biogas Digestate Quality and Utilization. In The Biogas Handbook; Elsevier: Amsterdam, The Netherlands, 2013; pp. 267–301. [Google Scholar]
- Pane, C.; Spaccini, R.; Piccolo, A.; Scala, F.; Bonanomi, G. Compost Amendments Enhance Peat Suppressiveness to Pythium Ultimum, Rhizoctonia Solani and Sclerotinia Minor. Biol. Control 2011, 56, 115–124. [Google Scholar] [CrossRef]
- Fornes, F.; Mendoza-Hernández, D.; García-de-la-Fuente, R.; Abad, M.; Belda, R.M. Composting versus Vermicomposting: A Comparative Study of Organic Matter Evolution through Straight and Combined Processes. Bioresour. Technol. 2012, 118, 296–305. [Google Scholar] [CrossRef] [PubMed]
- Medina, E.; Paredes, C.; Pérez-Murcia, M.D.; Bustamante, M.A.; Moral, R. Spent Mushroom Substrates as Component of Growing Media for Germination and Growth of Horticultural Plants. Bioresour. Technol. 2009, 100, 4227–4232. [Google Scholar] [CrossRef]
- Chilosi, G.; Esposito, A.; Castellani, F.; Stanzione, V.; Aleandri, M.P.; Dell’Unto, D.; Tomassini, A.; Vannini, A.; Altieri, R. Characterization and Use of Olive Mill Waste Compost as Peat Surrogate in Substrate for Cultivation of Photinia Potted Plants: Assessment of Growth Performance and in Vitro Suppressiveness. Waste Biomass Valorization 2018, 9, 919–928. [Google Scholar] [CrossRef]
- Aleandri, M.P.; Chilosi, G.; Muganu, M.; Vettraino, A.; Marinari, S.; Paolocci, M.; Luccioli, E.; Vannini, A. On Farm Production of Compost from Nursery Green Residues and Its Use to Reduce Peat for the Production of Olive Pot Plants. Sci. Hortic. 2015, 193, 301–307. [Google Scholar] [CrossRef]
- Ceglie, F.G.; Bustamante, M.A.; Ben Amara, M.; Tittarelli, F. The Challenge of Peat Substitution in Organic Seedling Production: Optimization of Growing Media Formulation through Mixture Design and Response Surface Analysis. PLoS ONE 2015, 10, e0128600. [Google Scholar] [CrossRef]
- Holmes, S. Growing Media Developments in the UK. In Proceedings of the International Symposium on Growing Media 2007, Nottingham, UK, 2–8 September 2007; pp. 23–26. [Google Scholar]
- Bullock, C.H.; Collier, M.J.; Convery, F. Peatlands, Their Economic Value and Priorities for Their Future Management–The Example of Ireland. Land Use Policy 2012, 29, 921–928. [Google Scholar] [CrossRef]
- Regni, L.; Pezzolla, D.; Gigliotti, G.; Proietti, P. The Sustainable Reuse of Compost from a New Type of Olive Mill Pomace in Replacing Peat for Potted Olive Tree. Agron. Res. 2020, 18, 1444–1454. [Google Scholar]
- Isaka, T.; Clark, S.; Meyer, J. Compost Functions as Effective Replacement for Peat-Based Potting Media in Organic Greenhouse Transplant Production. J 2021, 4, 394–403. [Google Scholar] [CrossRef]
- Boldrin, A.; Hartling, K.R.; Laugen, M.; Christensen, T.H. Environmental Inventory Modelling of the Use of Compost and Peat in Growth Media Preparation. Resour. Conserv. Recycl. 2010, 54, 1250–1260. [Google Scholar] [CrossRef]
- Proietti, P.; Federici, E.; Fidati, L.; Scargetta, S.; Massaccesi, L.; Nasini, L.; Regni, L.; Ricci, A.; Cenci, G.; Gigliotti, G. Effects of Amendment with Oil Mill Waste and Its Derived-Compost on Soil Chemical and Microbiological Characteristics and Olive (Olea europaea L.) Productivity. Agric. Ecosyst. Environ. 2015, 207, 51–60. [Google Scholar] [CrossRef]
- Regni, L.; Nasini, L.; Ilarioni, L.; Brunori, A.; Massaccesi, L.; Agnelli, A.; Proietti, P. Long Term Amendment with Fresh and Composted Solid Olive Mill Waste on Olive Grove Affects Carbon Sequestration by Prunings, Fruits, and Soil. Front. Plant Sci. 2017, 7, 2042. [Google Scholar] [CrossRef]
- Calisti, R.; Regni, L.; Proietti, P. Compost-Recipe: A New Calculation Model and a Novel Software Tool to Make the Composting Mixture. J. Clean. Prod. 2020, 270, 122427. [Google Scholar] [CrossRef]
- Simeone, M.; Scarpato, D.; Rotondo, G. Consumer Attitudes to Food Labelling: Opportunities for Firms and Implications for Policy-Makers. Calitatea 2015, 16, 312. [Google Scholar]
- Pergola, M.; Persiani, A.; Pastore, V.; Palese, A.M.; D’Adamo, C.; De Falco, E.; Celano, G. Sustainability Assessment of the Green Compost Production Chain from Agricultural Waste: A Case Study in Southern Italy. Agronomy 2020, 10, 230. [Google Scholar] [CrossRef]
- Buono, D.D.; Said-Pullicino, D.; Proietti, P.; Nasini, L.; Gigliotti, G. Utilization of Olive Husks as Plant Growing Substrates: Phytotoxicity and Plant Biochemical Responses. Compost Sci. Util. 2011, 19, 52–60. [Google Scholar] [CrossRef]
- Gurmessa, B.; Cocco, S.; Ashworth, A.J.; Pedretti, E.F.; Ilari, A.; Cardelli, V.; Fornasier, F.; Ruello, M.L.; Corti, G. Post-Digestate Composting Benefits and the Role of Enzyme Activity to Predict Trace Element Immobilization and Compost Maturity. Bioresour. Technol. 2021, 338, 125550. [Google Scholar] [CrossRef]
- Restrepo, A.P.; Medina, E.; Pérez-Espinosa, A.; Agulló, E.; Bustamante, M.A.; Mininni, C.; Bernal, M.P.; Moral, R. Substitution of Peat in Horticultural Seedlings: Suitability of Digestate-Derived Compost from Cattle Manure and Maize Silage Codigestion. Commun. Soil Sci. Plant Anal. 2013, 44, 668–677. [Google Scholar] [CrossRef]
- Pergola, M.; Persiani, A.; Palese, A.M.; Di Meo, V.; Pastore, V.; D’Adamo, C.; Celano, G. Composting: The Way for a Sustainable Agriculture. Appl. Soil Ecol. 2018, 123, 744–750. [Google Scholar] [CrossRef]
- Raviv, M. Composts in Growing Media: Feedstocks, Composting Methods and Potential Applications. In Proceedings of the I International Symposium on Organic Matter Management and Compost Use in Horticulture, Adelaide, Australia, 4–7 April 2011; pp. 513–523. [Google Scholar]
- Lazcano, C.; Arnold, J.; Zaller, J.G.; Martín, J.D.; Salgado, A.T. Compost and Vermicompost as Nursery Pot Components: Effects on Tomato Plant Growth and Morphology. Span. J. Agric. Res. 2009, 7, 944–951. [Google Scholar] [CrossRef]
- Clark, S.; Cavigelli, M. Suitability of Composts as Potting Media for Production of Organic Vegetable Transplants. Compost Sci. Util. 2005, 13, 150–155. [Google Scholar] [CrossRef]
- Papafotiou, M.; Kargas, G.; Lytra, I. Olive-Mill Waste Compost as a Growth Medium Component for Foliage Potted Plants. HortScience 2005, 40, 1746–1750. [Google Scholar] [CrossRef]
- Papafotiou, M.; Phsyhalou, M.; Kargas, G.; Chatzipavlidis, I.; Chronopoulos, J. Olive-Mill Wastes Compost as Growing Medium Component for the Production of Poinsettia. Sci. Hortic. 2004, 102, 167–175. [Google Scholar] [CrossRef]
- Massa, D.; Malorgio, F.; Lazzereschi, S.; Carmassi, G.; Prisa, D.; Burchi, G. Evaluation of Two Green Composts for Peat Substitution in Geranium (Pelargonium zonale L.) Cultivation: Effect on Plant Growth, Quality, Nutrition, and Photosynthesis. Sci. Hortic. 2018, 228, 213–221. [Google Scholar] [CrossRef]
- Zhang, L.; Sun, X.; Tian, Y.; Gong, X. Composted Green Waste as a Substitute for Peat in Growth Media: Effects on Growth and Nutrition of Calathea Insignis. PLoS ONE 2013, 8, e78121. [Google Scholar] [CrossRef]
- Vilar, J.; Pereira, J.E. International Olive Growing—Historical Dissemination, Strategic Analysis and Descriptive Vision; Fundación Caja Rural de Jaén: Jaén, Spain, 2018. [Google Scholar]
- Eurostat. File: Production of Olives for Olive Oil, 2019 (% of EU-27 Total Harvested Production).Png. Available online: https://ec.europa.eu/eurostat/statistics-explained/index.php?title=File:Production_of_olives_for_olive_oil,_2019_(%25_of_EU-27_total_harvested_production).png (accessed on 3 November 2022).
- FAOSTAT. Available online: https://www.fao.org/faostat/en/ (accessed on 3 November 2022).
- Ferrero Hazelnut Company (FHCo) Home Page. Available online: https://www.ferrerohazelnutcompany.com/int/en/homepage (accessed on 3 November 2022).
- Mugnai, S.; Azzarello, E.; Mancuso, S.; Pandolfi, C.; Masi, E. Investigating the Possibility of Peat Substitution in Olive Nurseries by Green Compost. Adv. Hortic. Sci. 2007, 27, 96–100. [Google Scholar]
- Venanzi, S.; Pezzolla, D.; Cecchini, L.; Pauselli, M.; Ricci, A.; Sordi, A.; Torquati, B.; Gigliotti, G. Use of Agricultural By-Products in the Development of an Agro-Energy Chain: A Case Study from the Umbria Region. Sci. Total Environ. 2018, 627, 494–505. [Google Scholar] [CrossRef]
- Pezzolla, D.; Cucina, M.; Proietti, P.; Calisti, R.; Regni, L.; Gigliotti, G. The Use of New Parameters to Optimize the Composting Process of Different Organic Wastes. Agronomy 2021, 11, 2090. [Google Scholar] [CrossRef]
- ISPRA. Metodi di Analisi del Compost. Available online: https://www.isprambiente.gov.it/it/pubblicazioni/manuali-e-linee-guida/metodi-di-analisi-del-compost (accessed on 3 November 2022).
- Ciavatta, C.; Govi, M.; Antisari, L.V.; Sequi, P. Characterization of Humified Compounds by Extraction and Fractionation on Solid Polyvinylpyrrolidone. J. Chromatogr. A 1990, 509, 141–146. [Google Scholar] [CrossRef]
- Zucconi, F. Phytotoxins during the Stabilization of Organic Matter. Compost. Agric. Wastes 1985, 73–85. [Google Scholar]
- Said-Pullicino, D.; Erriquens, F.G.; Gigliotti, G. Changes in the Chemical Characteristics of Water-Extractable Organic Matter during Composting and Their Influence on Compost Stability and Maturity. Bioresour. Technol. 2007, 98, 1822–1831. [Google Scholar] [CrossRef]
- Mousavi, S.; Regni, L.; Bocchini, M.; Mariotti, R.; Cultrera, N.G.; Mancuso, S.; Googlani, J.; Chakerolhosseini, M.R.; Guerrero, C.; Albertini, E. Physiological, Epigenetic and Genetic Regulation in Some Olive Cultivars under Salt Stress. Sci. Rep. 2019, 9, 1093. [Google Scholar] [CrossRef]
- Regni, L.; Del Pino, A.M.; Mousavi, S.; Palmerini, C.A.; Baldoni, L.; Mariotti, R.; Mairech, H.; Gardi, T.; D’Amato, R.; Proietti, P. Behavior of Four Olive Cultivars during Salt Stress. Front. Plant Sci. 2019, 10, 867. [Google Scholar] [CrossRef]
- Varol, N.; Karaman, H.; Aydoğdu, E.; Ekinci, K.; Coşkan, A.; Tosun, İ. Possibility of Evaluation of Two Phase Olive Mill Pomace by Composting in Turkey. In Proceedings of the XXX International Horticultural Congress IHC2018: International Symposium on Nuts and Mediterranean Climate Fruits, Carob and X International Symposium on Temperate Fruits in the Tropics and Subtropics, Istanbul, Turkey, 12–17 August 2018; pp. 47–54. [Google Scholar]
- Chen, L.; Fan, M.; Wang, Y.; Yang, B.; Zhang, H.; Geng, W. Effects of Spraying Calcium Reagent in Different Contents after Flowering on the Growth and Setting Rate of Hazelnut Fruits. J. Northeast For. Univ. 2018, 46, 33–37. [Google Scholar]
- Cacka, J.; Sanguankeo, P. Calcium Influence on Hazelnut Quality and Yields in Oregon. In Proceedings of the VIII International Congress on Hazelnut, Temuco, Chile, 19–22 March 2012; pp. 187–193. [Google Scholar]
- Bustamante, M.A.; Restrepo, A.P.; Alburquerque, J.A.; Pérez-Murcia, M.D.; Paredes, C.; Moral, R.; Bernal, M.P. Recycling of Anaerobic Digestates by Composting: Effect of the Bulking Agent Used. J. Clean. Prod. 2013, 47, 61–69. [Google Scholar] [CrossRef]
- Chang, R.; Guo, Q.; Pandey, P.; Li, Y.; Chen, Q.; Sun, Y. Pretreatment by Composting Increased the Utilization Proportion of Pig Manure Biogas Digestate and Improved the Seedling Substrate Quality. Waste Manag. 2021, 129, 47–53. [Google Scholar] [CrossRef]
- Karak, T.; Bhattacharyya, P.; Paul, R.K.; Das, T.; Saha, S.K. Evaluation of Composts from Agricultural Wastes with Fish Pond Sediment as Bulking Agent to Improve Compost Quality. Clean Soil Air Water 2013, 41, 711–723. [Google Scholar] [CrossRef]






| Olive Tree | Hazelnut Tree | |
|---|---|---|
| natural distribution area | Steno-Mediterranean | European-Caucasian |
| life form | Bushy phanerophyte or Arboreal phanerophyte | Bushy phanerophyte |
| vegetative altitude limits (meters above sea level) | 0–900 | 0–1700 |
| leaf life span | evergreen | deciduous |
| flowering time | late spring | late winter |
| description | It is a typically thermophilic and heliophilic species; it prefers dry, arid environments and climates, and is sensitive to low temperatures. It thrives in loose, coarse, or shallow soils with rocky outcrops and, among fruit trees, is one of the most salinity-tolerant species | It avoids the hottest and driest areas. It prefers calcareous, well-drained, fertile, and deep soils and semi-shaded places. Its natural habitat is hardwood forests, especially mixed mesophyll oak forests, clearings, and margins. |
| Parameter | Value |
|---|---|
| Moisture (%) | 94.0 |
| TKN (%) | 10.0 |
| Organic matter (%) | 71.2 |
| Total P (%) | 1.3 |
| Total Pb (mg kg−1) | 2.5 |
| Total Cd (mg kg−1) | 0.26 |
| Total Ni (mg kg−1) | 10.2 |
| Total Zn (mg kg−1) | 490.8 |
| Total Cu (mg kg−1) | 112.4 |
| Total Hg (mg kg−1) | 0.12 |
| Total VI Cr (mg kg−1) | <0.1 |
| Parameter | Value |
|---|---|
| Bulk density (kg L−1) | 0.05 |
| Moisture (%) | 14.0 |
| TOC (%) | 46.1 |
| TKN (%) | 0.6 |
| Parameter | Value |
|---|---|
| Moisture (%) | 27.8 ± 0.0 |
| pH | 7.6 ± 0.0 |
| EC (mS cm−1) | 3.5 ± 0.0 |
| TOC (%) | 17.2 ± 0.8 |
| TKN (%) | 1.9 ± 0.0 |
| Total organic N (%) | 1.7 |
| C/N | 9.0 |
| Humic + fulvic acids (%) | 10.8 ± 0.0 |
| Ammonium N (%) | 0.2 ± 0.0 |
| Total P (%) | 0.5 ± 0.0 |
| Total K (%) | 2.3 ± 0.7 |
| Total Cd (mg kg−1) | 0.1 ± 0.0 |
| Total Cu (mg kg−1) | 29.4 ± 10.8 |
| Total Hg (mg kg−1) | 10.0 ± 3.1 |
| Total Ni (mg kg−1) | 5.6 ± 0.6 |
| Total Pb (mg kg−1) | 0.8 ± 0.0 |
| Total Zn (mg kg−1) | 103.3 ± 10.8 |
| Cr VI (mg kg−1) | <0.1 b |
| Germination Index (%) | 64.8 |
| Parameter | Sub45 | Sub30 | Sub0 |
|---|---|---|---|
| pH | 5.22 ± 0.57 | 5.33 ± 0.09 | 3.46 ± 0.02 |
| TOC (% d.m.) | 20.63 ± 0.38 | 16.60 ± 0.65 | 20.18 ± 0.38 |
| Bulk density (kg L−1) | 0.48 | 0.50 | 0.38 |
Disclaimer/Publisher’s Note: The statements, opinions and data contained in all publications are solely those of the individual author(s) and contributor(s) and not of MDPI and/or the editor(s). MDPI and/or the editor(s) disclaim responsibility for any injury to people or property resulting from any ideas, methods, instructions or products referred to in the content. |
© 2022 by the authors. Licensee MDPI, Basel, Switzerland. This article is an open access article distributed under the terms and conditions of the Creative Commons Attribution (CC BY) license (https://creativecommons.org/licenses/by/4.0/).
Share and Cite
Calisti, R.; Regni, L.; Pezzolla, D.; Cucina, M.; Gigliotti, G.; Proietti, P. Evaluating Compost from Digestate as a Peat Substitute in Nursery for Olive and Hazelnut Trees. Sustainability 2023, 15, 282. https://doi.org/10.3390/su15010282
Calisti R, Regni L, Pezzolla D, Cucina M, Gigliotti G, Proietti P. Evaluating Compost from Digestate as a Peat Substitute in Nursery for Olive and Hazelnut Trees. Sustainability. 2023; 15(1):282. https://doi.org/10.3390/su15010282
Chicago/Turabian StyleCalisti, Roberto, Luca Regni, Daniela Pezzolla, Mirko Cucina, Giovanni Gigliotti, and Primo Proietti. 2023. "Evaluating Compost from Digestate as a Peat Substitute in Nursery for Olive and Hazelnut Trees" Sustainability 15, no. 1: 282. https://doi.org/10.3390/su15010282
APA StyleCalisti, R., Regni, L., Pezzolla, D., Cucina, M., Gigliotti, G., & Proietti, P. (2023). Evaluating Compost from Digestate as a Peat Substitute in Nursery for Olive and Hazelnut Trees. Sustainability, 15(1), 282. https://doi.org/10.3390/su15010282

