Durability Analysis of Building Exterior Thermal Insulation System in Hot Summer and Cold Winter Area Based on ANSYS
Abstract
:1. Introduction
2. Methodology
2.1. Structural Form of Exterior Walls
2.2. Mathematical Model
2.3. Grid Division
2.4. Grid Independence Test
2.5. Model Validation
3. Results
3.1. Comparative Analysis of Uninsulated Walls and External Wall Insulation Systems
3.1.1. Analysis of Temperature Field Simulation Results
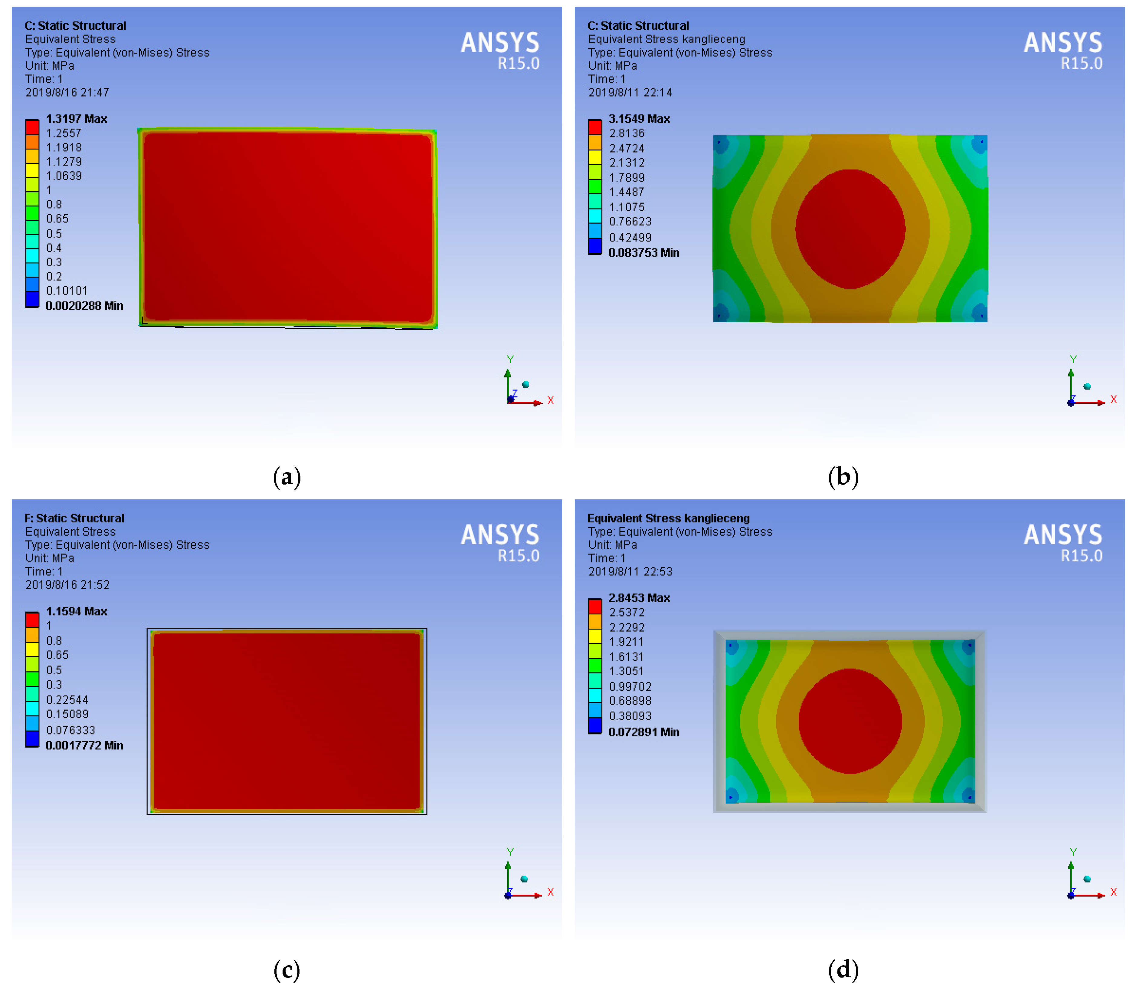
3.1.2. Analysis of Temperature Stress Simulation Results
3.2. Effect of Facade Dimensions on Temperature Stresses
Analysis of Temperature Stress Simulation Results
3.3. Effect of Temperature Changes on Temperature Stresses at the Outer Wall Surface
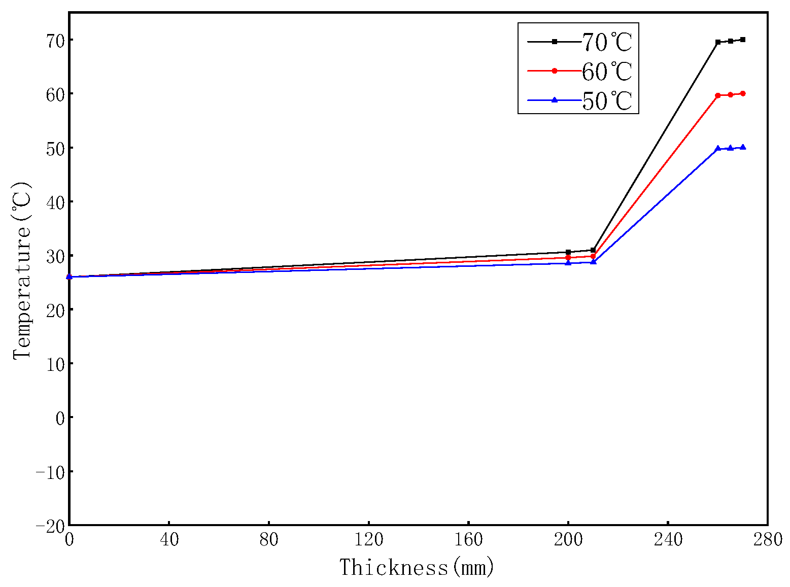
3.3.1. Analysis of Temperature Field Simulation Results
3.3.2. Analysis of Temperature Stress Simulation Results
4. Conclusions
Author Contributions
Funding
Institutional Review Board Statement
Informed Consent Statement
Data Availability Statement
Conflicts of Interest
References
- CABEE (China Association of Building Energy Efficiency). China Building Energy Consumption Annual Report 2020. Build. Energy Effic. 2021, 49, 1–6. [Google Scholar]
- Zhang, Y.; Kang, J.; Jin, H. A Review of Green Building Development in China from the Perspective of Energy Saving. Energies 2018, 11, 334. [Google Scholar] [CrossRef] [Green Version]
- Gao, H.; Liao, L.; Liang, Y.; Tang, X.; Liu, H.; Mei, L.; Lv, G.; Wang, L. Improvement of durability of porous perlite geopolymer-based thermal insulation material under hot and humid environment. Constr. Build. Mater. 2021, 313, 125417. [Google Scholar] [CrossRef]
- Zhou, X.; Ma, W.; Wang, X.; Xian, G.; Li, H. Cause analysis and corresponding countermeasure of coating fallings and fire disasters of external wall thermal insulation system. J. Civ. Eng. Manag. 2022, 39, 14–22. [Google Scholar]
- Zhang, F.; Ju, Y.; Gonzalez, E.; Wang, A.; Dong, P.; Giannakis, M. A new framework to select energy-efficient retrofit schemes of external walls: A case study. J. Clean. Prod. 2020, 289, 125718. [Google Scholar] [CrossRef]
- Liu, K.; Zheng, X.; Hsieh, C.; Lee, S. The Application of Silica-Based Aerogel Board on the Fire Resistance and Thermal Insulation Performance Enhancement of Existing External Wall System Retrofit. Energies 2021, 14, 4518. [Google Scholar] [CrossRef]
- Zhang, L.; Hou, C.; Hou, J.; Wei, D.; Hou, Y. Optimization analysis of thermal insulation layer attributes of building envelope exterior wall based on DeST and life cycle economic evaluation. Case Stud. Therm. Eng. 2019, 14, 100410. [Google Scholar] [CrossRef]
- Sulakatko, V.; Lill, I.; Witt, E. Methodological framework to assess the significance of External Thermal Insulation Composite System (ETICS) on-site activities. Energy Procedia 2016, 96, 446–454. [Google Scholar] [CrossRef] [Green Version]
- Annila, P.J.; Pakkala, T.A.; Suonketo, J.; Lahdensivu, J. Examining of weather resistance of ETICS with stresses which correspond to weather conditions in Finland. In Proceedings of the 1st International Conference on Ageing of Materials & Structures, Johannesburg, South Africa, 24–26 November 2014; pp. 73–80. [Google Scholar]
- Daniotti, B.; Paolini, R.; Re Cecconi, F. Effects of ageing and moisture on thermal performance of ETICS cladding. In Durability of Building Materials and Components; Springer: Berlin/Heidelberg, Germany, 2013; pp. 127–171. [Google Scholar]
- Kumar, D.; Alam, M.; Zou, P.X.; Sanjayan, J.G.; Memon, R.A. Comparative analysis of building insulation material properties and performance. Renew. Sustain. Energy Rev. 2020, 131, 110038. [Google Scholar] [CrossRef]
- Tavares, J.; Silva, A.; de Brito, J. Computational models applied to the service life prediction of External Thermal Insulation Composite Systems (ETICS). J. Build. Eng. 2020, 27, 100944. [Google Scholar] [CrossRef]
- Yu, L. The study on color plate facing integrated exterior insulation system. Master’s Thesis, Taiyuan University of Technology, Taiyuan, China, 2013. [Google Scholar]
- Misiopecki, C.; Bouquin, M.; Gustavsen, A.; Jelle, B. Thermal modeling and investigation of the most energy-efficient window position. Energy Build. 2018, 158, 1079–1086. [Google Scholar] [CrossRef]
- Zhang, J. Analysis and simulation on temperature stress and energy consumption of the external thermal insulation in Hot Summer and Cold winter region. Master’s Thesis, Anhui University of Architecture, Hefei, China, 2016. [Google Scholar]
- Mahaboonpachai, T.; Matsumoto, T.; Inaba, Y. Investigation of interfacial fracture toughness between concrete and adhesive mortar in an external wall tile structure. Int. J. Adhes. Adhes. 2010, 30, 1–9. [Google Scholar] [CrossRef]
- Mahaboonpachai, T.; Kuromiya, Y.; Matsumoto, T. Experimental investigation of adhesion failure of the interface between concrete and polymer-cement mortar in an external wall tile structure under a thermal load. Oecologia 2008, 22, 2001–2006. [Google Scholar] [CrossRef]
- Zhao, Z.; Yang, X.; Qu, X.; Zheng, J.; Mai, F. Thermal insulation performance evaluation of autoclaved aerated concrete panels and sandwich panels based on temperature fields: Experiments and simulations. Constr. Build. Mater. 2021, 303, 124560. [Google Scholar] [CrossRef]
- Xu, Z. A Concise Tutorial on Elastic Mechanics; Higher Education Press: Beijing, China, 2013. [Google Scholar]
- Zhu, B. Thermal Stresses and Temperature Control of Mass Concrete; Butterworth-Heinemann: Oxford, UK, 2013. [Google Scholar]










| Material | Thickness/ mm | Thermal Conductivity/(w·m−1K−1) | Density/(kg·m−3) | Specific Heat Capacity/ (J·kg−1·K−1) | Coefficient of Thermal Expansion/ (10−5·m·K−1) | Poisson’s Ratio | Elastic Modulus/ MPa |
|---|---|---|---|---|---|---|---|
| Concrete walls | 200 | 1.37 | 2500 | 882 | 1 | 0.2 | 25,500 |
| Cement mortar | 10 | 0.93 | 1800 | 1050 | 1.2 | 0.28 | 9700 |
| Material | Thickness/ mm | Thermal Conductivity/ (w·m−1K−1) | Density/ (kg·m−3) | Specific Heat Capacity/ (J·kg−1·K−1) | Coefficient of Thermal Expansion/ (10−5·m·K−1) | Poisson’s Ratio | Elastic Modulus/ MPa |
|---|---|---|---|---|---|---|---|
| Concrete walls | 200 | 1.37 | 2500 | 882 | 1 | 0.2 | 25,500 |
| Cement mortar | 10 | 0.93 | 1800 | 1050 | 1.2 | 0.28 | 9700 |
| EPS panel | 50 | 0.041 | 20 | 1380 | 6 | 0.1 | 9.1 |
| Crack-resistant mortar | 5 | 0.93 | 1800 | 1050 | 1.2 | 0.28 | 9700 |
| Paint finish | 5 | 0.5 | 1100 | 1050 | 0.85 | 0.28 | 2000 |
| Glass | 24 | 2.5 | 2500 | 840 | 0.02 | 0.2 | 3100 |
| Reinforced concrete columns | 400 × 400 | 1.74 | 2500 | 920 | 1.5 | 0.2 | 30,000 |
| Substrate Exterior Surface | Inner Surface of the Insulation Layer | Outer Surface of the Insulation Layer | Inner Surface of the Finish Layer | |
|---|---|---|---|---|
| Theoretical calculation | 30.61 | 30.95 | 69.51 | 69.68 |
| Simulation results | 30.62 | 30.96 | 69.51 | 69.68 |
| Sports Event | Model 1 | Model 2 | Model 3 |
|---|---|---|---|
| Length/m | 3 | 3 | 3 |
| Height/m | 6 | 9 | 12 |
Publisher’s Note: MDPI stays neutral with regard to jurisdictional claims in published maps and institutional affiliations. |
© 2022 by the authors. Licensee MDPI, Basel, Switzerland. This article is an open access article distributed under the terms and conditions of the Creative Commons Attribution (CC BY) license (https://creativecommons.org/licenses/by/4.0/).
Share and Cite
Huang, Z.; Sun, Y.; Gan, L.; Liu, G.; Zhang, Y.; Zhou, T. Durability Analysis of Building Exterior Thermal Insulation System in Hot Summer and Cold Winter Area Based on ANSYS. Sustainability 2022, 14, 5702. https://doi.org/10.3390/su14095702
Huang Z, Sun Y, Gan L, Liu G, Zhang Y, Zhou T. Durability Analysis of Building Exterior Thermal Insulation System in Hot Summer and Cold Winter Area Based on ANSYS. Sustainability. 2022; 14(9):5702. https://doi.org/10.3390/su14095702
Chicago/Turabian StyleHuang, Zhijia, Yadong Sun, Lin Gan, Guo Liu, Yang Zhang, and Tao Zhou. 2022. "Durability Analysis of Building Exterior Thermal Insulation System in Hot Summer and Cold Winter Area Based on ANSYS" Sustainability 14, no. 9: 5702. https://doi.org/10.3390/su14095702
APA StyleHuang, Z., Sun, Y., Gan, L., Liu, G., Zhang, Y., & Zhou, T. (2022). Durability Analysis of Building Exterior Thermal Insulation System in Hot Summer and Cold Winter Area Based on ANSYS. Sustainability, 14(9), 5702. https://doi.org/10.3390/su14095702
