Abstract
Combined cooling, heating, and power (CCHP) microgrids are important means of solving the energy crisis and environmental problems. Multidimensional composite energy storage systems (CESSs) are vital to promoting the absorption of distributed renewable energy using CCHP microgrids and improving the level of energy cascade utilization. In this context, this paper proposes a multi-energy coupling structure that includes a multidimensional CESS with a compressed air energy storage (CAES) connected to a CCHP microgrid. Dividing design and operation causes some problems, such as low operating efficiency and difficult energy matching of CESSs. To solve the existing problems, an integrated design method is proposed that considers the capacity configuration of the equipment and the optimal operation of the system on a multi-timescale. The optimization result of the capacity configuration level is used as the constraint of the operational control level, and the equipment output plan of the operational control level is used as the optimized operation strategy and parameters of the system. The C-NSGA-II algorithm is adopted at the capacity configuration level and day-ahead scheduling level. Rolling optimization is solved using the PSO algorithm. The final result that satisfied the output design was obtained after several iterations. The average daily cost and emission reduction rate (ERR) of capacity configuration levels are $2241 and 45.02%. The best ERRs of day-ahead scheduling optimization levels are 39.9% and 45.9% in summer and winter, where the operating cost saving rate (OCSR) are 30.5% and 38.3% separately. Examples show that the integrated design method presented in this paper has significant advantages in enhancing energy-grade matching and improving the economy and environmental protection of the system.
1. Introduction
The increasing energy demand and aggravation of environmental pollution have caused worldwide alarm that the traditional centralized energy supply based on fossil fuel energy is unsustainable. Building an energy supply and demand system with renewable energy as the core and developing a distributed energy supply method based on multi-energy complementarity will certainly become the direction of future development, which has become an international consensus [] (Figure 1). The combined cooling, heating, and power (CCHP) microgrid is based on the principle of energy cascade utilization, which can improve energy utilization efficiency and absorb distributed renewable energy. The CCHP microgrid has become an important practical method for energy development. However, with the increase in the penetration rate of intermittent renewable energy, its inherent intermittency and volatility have severely affected the reliable operation of microgrids and grids.
Figure 1.
Electrical energy generated trends.
Energy storage systems enhance the schedulability of renewable energy by shifting the energy generated using renewable energy []. Energy storage systems can buffer the power output of renewable energy, store surplus power when power generation is high, and dispatch it when power is short, which aids in achieving a high penetration of renewable energy in the microgrid []. Loiy et al. [] added energy storage units to a campus hybrid energy system containing photovoltaic, wind, and biomass energy; thus, the self-supply capacity of the system reached 99%, and the remaining energy could satisfy other requirements on the campus. Ayodele et al. [] designed an off-grid renewable energy system containing energy storage for a health center in South Africa, which constituted 36.6% of the annual power shortage of health centers and effectively solved the problem of the lack of clean and reliable power in Africa. Andrea et al. [] designed an energy storage program for a community with a high penetration rate of renewable energy, which solved the problem of excess photovoltaic power generation. He et al. [] proposed a method that uses an energy storage system to absorb fluctuations of renewable energy, such as wind power and photovoltaics.
Compressed air energy storage (CAES) has a cooling, heating, and power multi-energy interface, which achieves unique advantages among multiple energy storage methods in strengthening the energy matching of CCHP microgrids, improving the economy, environmental protection, and stability of the system operation. Houssainy et al. [] proposed a new structure for a high-temperature mixed CAES system and analyzed the variation rule of system performance with structural parameters. Xu et al. [,] studied the design of heating storage, heating exchange, and gas storage sub-modules of CAES by analyzing the power generation efficiency and exergy loss of CAES and optimizing the compression/expansion series. In particular, adiabatic CAES (A-CAES) technology has been proposed to recover a large amount of heating energy in the compression process, abandon the structure of the traditional CAES combustion chamber, significantly improve the comprehensive utilization efficiency of energy, and achieve zero carbon emissions. Compared with traditional CAES, Chen et al. [] proposed A-CAES technology, which significantly improved all aspects of performance. Zhou et al. [] proposed a new A-CAES system with an ejector, which improved the performance of the system and reduced throttling loss. Zhang et al. [] proposed a variable-structure A-CAES, which can solve power fluctuations during the integration of wind power plants and significantly improve the wind power utilization coefficient. In recent years, with the in-depth study of CAES by experts and scholars, new application methods have been proposed for the role of CAES in microgrids. Lv et al. [] proposed a new power peak-shifting grid-connected power generation system with heating storage equipment based on CAES; it has an efficiency of 76.3% and an annual cost-saving rate of 53.9%, indicating good economic and technical feasibility. To enhance the economic value of the renewable energy microgrid, Ramadan et al. [] added a CAES device to a wind farm in Egypt; the intermittence of wind power was reduced while improving the income level of the wind farm. Yan et al. [] proposed a new CCHP structure integrated with CAES, which fundamentally improved the overall energy utilization degree and renewable energy-absorption capacity of the system. Jiang et al. [] proposed a new structure for connecting CAES to the user side of the power grid and realized the adjustment of the hot-spot output ratio by adjusting the inlet temperature of the expander. Xi et al. [,] proposed a new structure for connecting CAES to a CCHP microgrid and analyzed the influence of the overall exergy efficiency and economy of the system on key parameters by using a multiobjective optimization algorithm.
Energy storage systems have an increasingly important role in microgrids; in particular, energy storage devices with multidimensional energy interfaces are conducive to promoting energy cascade utilization and grade matching. However, with the increasing proportion of intermittent renewable energy, a single energy storage can hardly effectively solve the energy matching problem of multi-energy coupling systems on a long timescale and the suppression of intermittent renewable energy power fluctuation on a short timescale. For example, CAES is limited by response speed and cannot track high-frequency fluctuation components.Therefore, the concept of a composite energy storage system (CESS) or hybrid energy storage system was proposed in [,,,,]. Flavio et al. [] improved the charging and discharging efficiency and durability of battery packs by adding supercapacitors to the hybrid energy storage. Sun et al. [] proposed an energy-sharing platform to suppress the volatility of renewable energy; an energy management strategy integrating electricity, heat, and gas was achieved through a hybrid energy storage system. Lemofouet and Rufer [] proposed a new method of alleviating wind power fluctuations and increasing wind power permeability using a combination of A-CAES and flywheel energy storage. The wind power fluctuation range and abandoned wind rate can be reduced significantly using this method. Ma et al. [] used a hybrid energy storage system in a traditional photovoltaic solar system, which improved the charging and discharging efficiency of the photovoltaic system and the power quality. Reference [] indicates that a hybrid/composite energy storage system can effectively improve the efficiency of energy use, prolong the service life of energy storage equipment, and maintain the stability of the system. The energy storage system can optimize the power quality and improve the stability of the new energy microgrid by buffering the power.
For an energy system with various energy storage devices, a reasonable capacity configuration has an important role in its stable, reliable, and efficient operation. Kazagic [] introduced the influence of the capacity of an energy storage system on the overall economy and operational safety of renewable energy. Most previous studies used optimization methods to design the capacity of the system’s key energy supply and energy storage equipment. To improve the uncertain processing capacity of island microgrids, Li et al. [] optimized the capacity of hybrid energy storage and verified the advantages of the proposed model in terms of safety, reliability, and economy. In [,], the wavelet transform method was adopted to divide the wind power prediction signal according to frequency. The wind power prediction signal was distributed to different energy storage devices in the hybrid energy storage system to configure the capacity for different devices. Nazir et al. [] proposed a method of determining the capacity of an energy storage system that can improve the reliability of the local power supply system while reducing the system cost. Wang et al. [] conducted capacity configuration for a wind-farm energy storage system in northwest China, which significantly improved the economy and reliability of the wind farm.
Existing designs for energy systems do not consider operating strategies, or they are restricted by a single operating strategy. However, multi-energy coupling systems with a high proportion of renewable energy sources have variable operation modes. The method of separating capacity allocation from operation optimization can easily result in difficulties in achieving good operational efficiency in the system. Zhang et al. [] proposed a two-stage optimization method for CAES and a gas generator, but the model of this method was simple as it did not consider cooling and heating coupling. Based on this, Wei et al. [] proposed a two-layer optimization of a multi-energy coupling system but did not consider the volatility of renewable energy. Das et al. [] compared the system performance of two basic operation strategies for a CCHP microgrid containing photovoltaic power generation. Wang et al. [,] comprehensively considered a series of performance indicators of a CCHP microgrid, analyzed the influence of the operating strategy on performance, and studied the variation rule of system performance with energy and environmental parameters. Wang et al. [] proposed a CCHP system that contains solar energy and CAES and optimized the system with a multiobjective optimization algorithm to obtain the best performance of the system. Hajiaghasi [] proposed an optimal operating control strategy for a CESS, which improved the power generation capacity of wind power generation in two parts: energy-coordinated control and multiobjective optimization control. In addition, for the current design of multi-energy coupling systems, only a few studies considered the differences in CESSs on a multi-timescale. For multidimensional CESSs, this paper proposes a three-level collaborative, integrated optimization design method based on a multiobjective method. This design method solves the current research status of the separation of the capacity configuration and system operation of a CCHP microgrid with a CESS. In terms of system operation, a hierarchical control architecture combining day-ahead scheduling and rolling optimization is adopted to solve the timescale difference of cooling, heating, and power, and the fluctuations of renewable energy are moderated through the prediction results of renewable energy on a multi-timescale.
The remainder of the paper is organized as follows: Section 2 introduces the architecture and multi-energy coupling mode of a CESS with CAES connected to a CCHP microgrid. Section 3 introduces the integrated design architecture of the microgrid CESS. Section 4 presents the weather data and load requirements of the optimized system and presents the final optimization results. Section 5 and Section 6 provide the discussion and conclusion.
2. Structure and Multi-Energy Flow Analysis of CCHP System with CESS
The CESS includes a CAES system, battery, and supercapacitor. The efficiency and resource utilization of the system can be improved by combining these three energy storage devices with different characteristics. A CCHP microgrid is essentially a system composed of renewable energy generation, power generation, heating, cooling, and energy storage. It is a comprehensive energy supply system that integrates energy conversion, monitoring, protection, and management. However, the energy structure of the CCHP microgrid is complex, including various renewable energy sources, and the fluctuation of the power output is relatively high, whereas the composite energy storage can provide a strong guarantee for the stable and reliable operation of the system through power distribution. As a part of the composite energy storage, the CAES system is connected to the CCHP microgrid through an integrated cooling, heating, and power multi-energy interface, which can effectively improve the renewable energy absorption capacity of the system and the flexibility of the joint operation of multiple energies. Figure 2 shows the architecture of the CESS connected to the CCHP microgrid. This section introduces the energy coupling principle of the CESS with CAES and the operation mechanism of the core equipment when it is connected to the microgrid. Finally, the basic operation mode of the CESS after it is connected to the system is introduced.
Figure 2.
Structure and multi-energy flow analysis of the CCHP system with a CESS.
2.1. Components Analysis and Characteristics
2.1.1. Characteristics Analysis of Wind Power System
The main characteristic of a wind turbine (WT) is the relationship between the output power and wind speed []:
where Pr is the rated power of the WT, and v, , , and indicate the actual wind speed, rated wind speed, cut-in wind speed, and cut-out wind speed, respectively.
2.1.2. Characteristic Analysis of Power Generation Unit
The characteristic analysis of the power generation unit (PGU) primarily includes the thermal efficiency, electrical efficiency, and amount of waste heat recovery []:
where is the power generation of the PGU at time t; is the amount of gas consumed by the PGU at t; and are the electrical and thermal efficiencies of the PGU at t, respectively; is the residual water heat of cylinder liner at t; is the flue gas waste heat; is the heat loss; is recoverable heat; is the efficiency of cylinder liner water heating exchanger at t; is the efficiency of the flue gas heating exchanger at t.
2.1.3. Analysis of Battery Characteristics
The cycle life of a battery is affected by many factors, including the environment and working mode. Among them, the number of charge and discharge times and depth have the greatest influence. However, the relationship between the battery life, charge and discharge times, and depth is nonlinear, and no accurate mathematical model exists to describe the relationship between the battery working state and life. Therefore, in this research, the actual life of the battery at different charge and discharge depths is often converted into an equivalent cycle life for calculation. First, the depth of discharge of the battery is counted, and then the cycle life at the corresponding depth of discharge is obtained by fitting the curve of depth and life. Finally, the corresponding equivalent cycle life can be calculated.
(1) Rain-flow counting method
Aiming at the charge and discharge characteristics of the battery, we use the rain-flow counting method to calculate the depth of discharge of the battery. The principle of the rain-flow counting method is that the state-of-charge (SOC) time curve is considered a high-rise building, the rain-flow flows down from each vertex in turn, each charge and discharge cycle is determined according to the flow trajectory, and the charge and discharge depths are calculated. The cycle process of the battery is shown in Figure 3.
Figure 3.
The rain-flow counting method.
(2) Equivalent battery life model
When the battery is operating, the number and depth of charge and discharge of the battery have the greatest impact on the life of the battery. Quantifying the equivalent cycle life of a battery under different charge and discharge depths is a prerequisite for evaluating, analyzing, and optimizing the battery operating modes. Current research on the relationship between the battery discharge depth and cycle times primarily relies on the manual measurement of the actual corresponding battery cycle times under different discharge depth gradients. After obtaining several sets of data on the depth of discharge and number of cycles, the approximate curve of the depth of discharge and number of cycles can be obtained through a mathematical fitting, which can be used to simulate the relationship between the two parts. This paper adopts the power function fitting method, and the relationship obtained is shown in Equation (3).
where is the number of cycles and is the actual discharge depth.
is the depth of cycle i, and the equivalent cycle life of this cycle is
where is the cycle life corresponding to full charge and discharge, which is 550, and is the cycle life when the discharge depth is . The average daily depreciation coefficient of the battery is
2.1.4. Analysis of Supercapacitor Characteristics
Figure 4a,b shows models of an ideal single supercapacitor and cascaded supercapacitor, respectively.
Figure 4.
Circuit models of a supercapacitor: (a) RC model of single supercapacitor; (b) cascaded model of supercapacitor.
In Figure 4, is the series equivalent resistance of a single supercapacitor, is the capacitance of a single supercapacitor, and are the voltage and current at the circuit end of the supercapacitor, respectively, and and are the number of supercapacitors in series and number of parallel branches in the cascaded circuit, respectively.
The capacitance of the cascaded supercapacitor group is
Let the terminal voltage of a single supercapacitor be and the maximum operating current be . In general, the number of supercapacitors connected in series determines the overall withstand voltage of the supercapacitor group, as follows:
The energy that the supercapacitor group can store is
The maximum output power of the supercapacitor group is
Generally, supercapacitors operate under the maximum operating current. If the current is excessively high, the supercapacitor can generate a large amount of heat in a short period, which affects the life of the supercapacitor and even causes danger. Therefore, supercapacitors are frequently configured to be charged and discharged in a constant power or constant current mode.
2.1.5. Characteristics Analysis of CAES
A CAES system consists of multiple modules, including compression, expansion, gas storage, thermal storage, and heating exchange. A multistage compression structure can reduce the compressor inlet temperature of each stage, making the compression process close to isothermal, reducing compression labor and reducing costs. Similar to multistage expansion, the heating exchange between stages can increase turbine efficiency. The CAES structure is shown in Figure 5.
Figure 5.
The structure of CAES.
The compression part adopts an inter-stage heating exchange and multistage compression structure. The power consumed by the compressor is given by Equation (10).
where is the shaft power of the compressor and is the electrical-mechanical energy conversion efficiency of the compressor. The shaft power of the compressor can be expressed as
where is the compressed series; is the air mass flow rate, whose unit is ; is the gas constant; is the inlet air temperature of the stage i compressor, whose unit is K; is the air specific heat capacity index; is the adiabatic efficiency of the compressor; is the outlet and inlet air pressure ratio of the stage i compressor.
In summary, the total power consumed in a complete compression process is
The expansion part is similar to the compression part, and it also adopts a multistage structure to exchange heat between stages. The high-pressure gas is stabilized, and the pressure is reduced through the throttle valve, which enters the turbine expander and operates at a constant pressure. The output power of the expander is
where is the shaft power output of the expander and is the conversion efficiency of electrical energy to mechanical energy of the expander. The expander shaft power is expressed as follows:
where is the adiabatic efficiency of the expander, is the expander series, is the air mass flow rate during expansion, is the inlet air temperature of the stage i expander, and is the air inlet and outlet air pressure ratio of the stage i expander, namely, the expansion ratio.
In summary, the power output in a complete expansion process is
As a physical energy storage system, the CAES system is visually expressed as high-pressure air in a high-pressure gas storage tank, and the amount of energy is directly related to the gas pressure in the gas storage tank. The state of energy (SOE) is used instead of the SOC to express the energy storage value of CAES, and the energy state of CAES can be expressed as
where is the initial air pressure of the tank, is the air pressure at the full state of the gas tank, and is the current air pressure of the tank. CAES is divided into two states: gas storage and energy release states:
2.2. Multi-Energy Coupling Mechanism
The CCHP microgrid primarily consists of renewable energy power-generation equipment (such as WT and photovoltaic generator sets), cooling, heating, and power supply systems, CAES, battery, supercapacitor, thermal and cooling storage, and other energy storage devices. Among them, the power generation unit, such as the gas generator in the CCHP system, is the main power supply equipment of the system, and the renewable energy power-generation equipment, such as the wind or photovoltaic generator set, is the auxiliary power supply equipment, which operates in the maximum power point tracking (MPPT) control mode. The heat source in the system is primarily the waste heat of the gas generator, supplemented by a gas boiler, solar collector, and compression heat. The cooling equipment includes an absorption chiller, electric chiller, and expansion cold energy of CAES.
Access to multidimensional composite energy storage enables the CCHP microgrid to increase the energy flow interface and enhance the coupling degree of the system. CAES is primarily used to actively adjust the thermoelectric ratio of the system, smooth the output of renewable energy, and improve the economic and energy-saving performance of the system. Batteries and supercapacitors, as general storage devices, are primarily used to suppress ultra-short-term power fluctuations of renewable energy sources. Batteries and supercapacitors can be used to absorb the power in a relatively high-frequency range compared with compressed air storage.
2.3. Operation Mode
The traditional CCHP microgrid is not flexible in thermoelectric ratio regulation; thus, the operation mode is relatively simple, primarily including “following electrical load (FEL)”, “following thermal load (FTL)”, and the hybrid mode combining the two. In the FEL mode, the generator first satisfies the electric load, and when the heat supply cannot satisfy the heating load, the gas boiler supplies the supplementary heat. Under the FTL operation mode, the operation of gas generators prioritizes satisfying the user’s thermal load demand, and the grid supplements it when power is insufficient. The hybrid tracking operation is based on the actual scenario and adopts different operation modes in each period.
Both the FTL and FEL are relatively rough operation modes, which makes it difficult to achieve the optimal operation effect of the system. For a CCHP microgrid with composite energy storage, a high proportion of renewable energy penetration and access to composite energy storage with CAES enriches the operation mode of the CCHP microgrid. To achieve the objectives of economy, environmental protection, and energy saving, the basic operation mode is no longer applicable. The operation plan of a CCHP microgrid with a CAES is essentially a multi-unit coordinated optimization problem. The solution to this type of problem is generally an optimization method. The mathematical form of the optimization method can be expressed as Equation (18):
where x represents the D-dimensional decision variable, and , , and represent the objective function, equality constraint, and inequality constraint related to variable x, respectively.
For multiobjective optimization problems, multiobjective functions often have conflicting properties, which makes it difficult to determine an optimal solution. Therefore, according to the actual scenario of the problem, a Pareto optimal solution set with a practical meaning is often obtained. The operation plan of a composite energy storage CCHP microgrid with CAES studied in this paper is a typical multiobjective optimization problem. First, the optimization process determines the optimization variables and target functions according to the optimization purpose and system properties. Subsequently, the constraints of the optimization process are designed based on the model of the research object, system input parameters (such as renewable energy data, cooling, heating, and power load data), and system energy flow balance. An optimization model is created based on this. The optimization method is used to solve the optimization model, and the optimal decision is obtained.
3. Integrated Design Architecture of the Microgrid CESS
As the penetration rate of distributed renewable energy in CCHP microgrids increases, the operating mode of the system becomes more variable. The traditional method of separating system design and operation control can easily cause a mismatch between capacity configuration and operational control. In particular, composite energy storage involves a multi-timescale operation control, making it more difficult for existing design methods to achieve expectations. Thus, this section fully considers the impact of the CESS-containing CAES connected to the CCHP microgrid on the cooling, heating, and power multi-energy interface and multi-timescale operation control, and proposes a method of designing CCHP microgrid multi-timescale three-level integration. This method optimizes the configuration of system equipment capacity on a long-term scale to improve the system economy and environmental protection at the first level. Subsequently, within the configuration capacity range, two-level optimization of day-ahead scheduling and rolling optimization is designed, considering the economy, environmental protection, and energy storage cycle life. The system operating parameters are fed back to the first level, and the integrated design result of the system is obtained.
3.1. Integrated Design Overall Structure
Aiming at the characteristics of the CCHP microgrid with composite energy storage, such as high penetration rate of renewable energy, complementary coupling of internal multi-energy flow grades, and multi-timescale, the integrated design architecture of three-level multiobjective collaborative optimization is adopted to configure the capacity of key equipment in the system. In this process, multi-modal and multi-timescale operational control strategies are considered (Figure 6).
Figure 6.
Integrated design architecture of the CCHP microgrid with CESS.
The first level considers the coupling structure of each energy flow within the CCHP microgrid and the multi-energy complementary relationship to optimize the capacity of the main equipment in the system. The second and third levels constitute the operation optimization level, which is used to calculate the operating parameters of the system, including the day-ahead scheduling level and rolling optimization level. The day-ahead scheduling level uses equipment parameters and equipment capacity as constraints to optimize the heating equipment, thermoelectric coupling equipment, and the hourly output plan for energy interaction with the grid in the CCHP microgrid to satisfy the long timescale demands of cooling, heating, and power energy flow. The rolling optimization level comprehensively considers the frequency distribution characteristics of renewable energy fluctuations and the response speed of batteries, supercapacitors, and CAES in composite energy storage, which solves the problem of multi-timescale fluctuations of renewable energy.
Compared with the traditional design method that separates the optimization of the capacity configuration from the operational control, this design method fully considers the complementary modalities of the system and the internal connection between the system capacity configuration and multi-timescale operation control, avoiding the mismatch problems of system configuration, energy coupling, and system operation mode. A multiobjective optimization method is adopted at each level to ensure the system economy, energy saving, and environmental protection objectives.
3.2. Capacity Configuration Optimization
The energy storage system connected to the microgrid includes a variety of energy supply and storage equipment. Planning investments in energy storage equipment in the early stages can fully improve the overall benefits of the system. The decision variables of the capacity configuration level are
where and are the numbers of battery storage and supercapacitors, respectively, and , , and are the configuration powers of the CAES system, WT, and PGU, respectively.
The optimization objective of the capacity configuration is the daily cost and emission reduction rate (ERR) of the system, in which the daily cost is an economic index, including the acquisition, operating, and life cycle conversion costs of each core piece of equipment. The acquisition cost is calculated based on the purchase unit price and the configured capacity. The operating cost of the CCHP system must be calculated according to the optimization results of the day-ahead scheduling level. The life-cycle conversion cost of composite energy storage must be calculated according to the rolling optimization results of the third level.
At the capacity configuration level, economic indicators primarily include equipment acquisition, operation and maintenance, and operating consumption costs. Considering the difference between the acquisition cost and operating cost on the timescale, the average daily cost is used as the evaluation index, as given by Equation (20):
where , , , and are the average daily acquisition costs of the system (the equipment in the system includes a WT, gas generator, CAES, absorption chiller, gas boiler, etc.), operation and maintenance cost, operation energy consumption cost, and average daily cost of energy storage considering the entire life cycle cost, respectively. Specifically, it can be expressed by Equation (21):
where , , and represent the amount of purchased electricity, amount of purchasing gas, and capacity operation and maintenance cost of the i-th device (obtained from the optimization results of the operational control level) of the CCHP microgrid at time t of typical day j, respectively. denotes the number of typical days. is the service life of the i-th device; is the discount rate, whose value is 0.1. and are the power grid purchase and gas prices at time t, respectively. represents the purchase cost of the unit capacity of the i-th microsource. represents the rated power of the the i-th microsource.
The service life of each device in the CESS is different. If the cost is calculated directly, it will increase the difficulty of the calculation and reduce the accuracy of the result. Therefore, to compare and analyze different devices in the same system, the entire life cycle cost can be converted to obtain the average daily cost . The conversion factor is expressed as the average daily depreciation factor for each device. The average daily cost of each device is calculated as follows:
where , , and represent the cost coefficients of the operation, maintenance, and disposal of the energy storage equipment, respectively. is the depreciation coefficient of the energy storage equipment, n is the amount of equipment, and f is the unit price of the energy storage equipment. The cost and depreciation coefficients of different equipment are different. The correlation coefficients of the CAES system, battery, and supercapacitor are listed in Table 1.
Table 1.
Cost coefficients of different equipment.
The service life of a supercapacitor is less affected by the working environment, primarily by the charge and discharge times, whereas the cycle life of the battery is significantly affected by the mode and environment. Accordingly, the depreciation coefficient is not a fixed value and must be calculated according to the equivalent model of the battery life cycle. The average daily cost of the battery and supercapacitor system can be expressed as
where and are the average daily costs of batteries and supercapacitors, respectively.
Furthermore, the emission during the operation cycle of the CCHP microgrid is calculated.
where is the total emission of the CCHP microgrid; and are the carbon dioxide emission coefficients of the fuel gas and power grid, respectively. is the amount of gas consumed by the CCHP microgrid, which is equal to the sum of the gas consumed by the gas generator and gas boiler. Similarly, the emission during the operation cycle of the CCHP system can be calculated as follows:
Similarly, the emission reduction rate of the CCHP microgrid relative to separated production (SP) can be further evaluated. The ERR of the CCHP microgrid can be defined as shown in Equation (26):
3.3. Operation Control Optimization
To solve the problem of the decline in the accuracy of renewable energy forecasting on a long-term scale and timescale difference of heterogeneous energy flow in CESSs containing a CAES, we adopt a multi-timescale energy management strategy that combines day-ahead scheduling and rolling optimization. The former aims at economy and environmental protection and plans for cooling, heating, power generation, renewable energy power generation, and CAES. The latter considers the ultra-short-term power fluctuation of renewable energy and optimizes the CESS using instantaneous frequency analysis methods. The output of the CAES system in the ultra-short-term timescale is corrected to maintain the balance of the energy storage energy state.
The day-ahead scheduling level adopts an active energy storage operation strategy to optimize the hourly output of the key equipment in the CCHP microgrid. CAES can be perfectly integrated into the heating and cooling storage cycles of the CCHP microgrid owing to its unique heating and cooling interface, which makes it a bridge in the CCHP microgrid and a decoupler for the multi-energy coupling system. The active storage operation strategy utilizes the features of CAES to configure the energy storage between the source and the load to form a unique “source-storage-load” microgrid system to realize the active monitoring of renewable energy and the active dispatching of energy interacting with the grid while maintaining the key equipment of the CCHP microgrid at the optimal operating capacity, improving the operating efficiency of the system, improving the system’s ability to absorb renewable energy, and achieving the effects of peak load shifting, efficiency increase, and energy saving.
The optimization of the day-ahead scheduling level considers economy and environmental protection as evaluation indices, and the operating cost saving rate (OCSR) and ERR as optimization targets. The operational cost is calculated according to Table 1.
The OCSR is calculated as follows:
where and are the operating costs of the SP system and CCHP microgrid, respectively.
The decision variable optimized using the day-ahead scheduling level is the optimized scheduling of CAES within 24 h, with a step length of 1 h, which regularly optimizes the processing of CAES. Constraints include the equipment capacity configuration range constraints passed down from the capacity configuration level, CAES energy balance constraints, and system energy flow balance constraints. The energy balance expression of CAES is
where indicates the energy state of CAES at time t, is the energy state of CAES at the initial moment, and is the maximum SOE deviation value, which means that the energy state deviation of CAES is limited within the set deviation value after one cycle of operation.
The energy state stability of the energy storage equipment and the system energy curtailment rate (ECR) are adopted as the optimization targets of the optimization level. The stability evaluation indicators are expressed as follows:
where is the SOE of CAES in the n-th optimization cycle; is the day-ahead scheduling SOE in the n-th rolling optimization cycle; and are the SOE of the battery in the n-th and ()-th optimization cycles, respectively; and are the SOE of the supercapacitor in the n-th and ()-th optimization cycles, respectively.
When the source-side power supply is less than the load demand, part of the load will not be satisfied, which affects system reliability. Based on this, the loss of power supply (LPS) can be defined to describe the imbalance in the system energy flow:
where is the electric load, and are the output powers of the battery and supercapacitor, respectively, and and are the power generation and power consumption of the CAES system, respectively.
The ECR of the system is defined as the ratio of the energy discarded by the system owing to excess power; thus,
where is the energy generated using other methods.
The decision variable is the energy storage target power obtained by combining typical wind farm data with the user load and the frequency fraction obtained using empirical mode decomposition (EMD). Reasonable decomposition frequencies and are set to ensure that the energy storage system equipment operate in their respective frequency ranges. The sum of power components lower than is suitable for distribution to the CAES, the sum of power components higher than is suitable for distribution to the supercapacitor, and the sum of the above two frequencies is suitable for distribution to the battery. The constraints are the device configuration range and energy flow balance constraints.
The rolling optimization level first makes ultra-short-term forecasts of renewable energy generation power during the rolling cycle and then adjusts the “hour-level” plan for the interactive power between the system and the grid in the next rolling cycle to eliminate the deviation of total power generation of “source storage” caused by the previous forecast errors. The prediction results of renewable energy power generation are superimposed with the day-ahead scheduling plan to obtain the total target power of the CESS. The EMD method is used to decompose the total power into a series of intrinsic mode function (IMF) components; the IMF components are allocated to supercapacitors, batteries, and CAES according to the frequency range to realize a smooth and controllable output of renewable energy power generation.
3.4. Solution Method
The integrated design method of a CESS with CAES is a hierarchical optimization, and the optimization variables and results of each level are transferred successively to form a closed loop. The capacity configuration level and day-ahead scheduling level is a multiobjective optimization, which adopts the C-NSGA-II algorithm combined with NSGA-II and particle swarm optimization (PSO) [], while rolling optimization is solved using a single-objective PSO algorithm.
- Step 1: The capacity configuration level randomly generates the initial population of optimization variables (equipment capacity) within the parameter setting range and transfers all group variables to the day-ahead scheduling level.
- Step 2: The operation scheduling level adds the equipment capacity to the constraint conditions. Under the active energy storage operation strategy, the C-NSGA-II algorithm and fuzzy membership function are used to solve the optimization model. The typical daily optimal output plan of the current equipment combination and the SOE of the CAES system are obtained, and the operating cost of the CCHP system is calculated. The SOE plan of the CAES system and grid interaction plan are passed to the rolling optimization level, and the output plan of the CCHP system is passed to the capacity configuration level.
- Step 3: The rolling optimization level combines the EMD method and PSO algorithm to optimize the minute-level output plan of each energy storage and adjust the hour-level interaction plan between the system and grid. The ECR, operating cost, ERR, and other evaluation indicators of a typical day are calculated and passed to the capacity configuration level.
- Step 4: The capacity configuration level calculates individual fitness according to the lower optimization results, generates a new population through fast non-dominated sorting, population updating based on PSO, and elite retention strategy, and transmits relevant information to all levels of operation control, beginning with step 2 until the end condition is attained.
4. Case Study
4.1. System Parameters
To verify the effectiveness of the integrated design method, the load of a typical day in summer and winter in a city in northern China was selected as an example to perform simulation verification (Figure 7). Table 2, Table 3, Table 4 and Table 5 list the capacity and parameters of a single device in a CESS with CAES. In order to facilitate the calculation, this paper takes 50 single batteries as a group, and configures the number of groups of batteries in the capacity optimization level. The initial acquisition cost of the power generation unit selected in this system was 812 $/kW, and the service life was 10 years. Owing to the power interaction between the CCHP microgrid and grid, the specific purchase and sale prices of electricity and gas consumed are shown in Table 6, considering the difference in peak-valley electricity prices.
Figure 7.
Load curve of typical day, (a) summer, (b) winter.
Table 2.
Parameters of a single battery.
Table 3.
Parameters of single supercapacitor.
Table 4.
Parameters of CAES.
Table 5.
Parameters of the WT.
Table 6.
Electricity and gas prices.
4.2. Result and Analysis of the Capacity Configuration Level Optimization
Considering the average daily cost and ERR as objectives, the results of optimizing the configuration of the capacity of each piece of equipment are shown in Figure 8, which is the Pareto Front of average daily cost and ERR. As the number of iterations increased, the average daily cost and ERR of the system gradually increased, and several different Pareto optimal solutions were obtained. The power of the system was supported by a wind generator and gas generator. The connection of the wind generator effectively shared the power generation of the PGU and reduced the consumption of the primary energy. However, as the amount of wind power access increased, the fluctuating power to be stabilized in the system increased, and the amount of energy storage configuration increased, which increased the cost to a certain degree. Additionally, the existence of CAES effectively improved the overall energy utilization rate. Compared with traditional SP, the generation of heating energy eliminated part of the secondary conversion from electricity to heat. The result of the optimization of the capacity configuration level was that the average daily cost of the system was 2241$ and the ERR was 45.02%. The experiment proved that the CCHP with a CAES is significantly more environmentally friendly than SP.
Figure 8.
Capacity configuration solution set of the system.
4.3. Result and Analysis of the Day-Ahead Scheduling Optimization Level
The day-ahead scheduling level considered the capacity of the composite energy storage device obtained from the capacity configuration level and the capacity of the core equipment in the CCHP microgrid as constraints and delivered them to the day-ahead scheduling level, thereby solving the optimization model and obtaining the optimal output of the device under different operating strategies and parameters. The hourly output plan of the CAES system was optimized by combining the aforementioned economic and environmental indicators. Both the wind generator and PGU operated in the MPPT mode, and the PGU operated according to the optimal load rate. The CAES system not only stored and released electrical energy but also undertook part of the thermal energy supply. The system interacted with the grid when the power was insufficient or in excess. The capacity configuration optimization model of the CCHP microgrid was constrained by the active energy storage operation strategy. According to the relationship between the OCSR and ERR of the system in Figure 9, based on the optimal compromise solution, the system achieved the best ERR when the OCSR was 30.5% in the summer, which was 39.9%. When the OCSR was 38.3% in winter, the ERR of the system was the best at 45.9%. Compared with SP, the optimization results obtained by the day-ahead scheduling level had significant advantages in terms of economy and environmental protection. The outputs of each piece of equipment in the day-ahead scheduling level of the summer and winter electric loads are shown in Figure 10. The outputs of each piece of equipment in the day-ahead scheduling level of the cooling load in summer and heating load in winter are shown in Figure 11.
Figure 9.
Day-ahead scheduling solution set of the system: (a) summer and (b) winter.

Figure 10.
Day-ahead scheduling of power equipment in the system: (a) summer and (b) winter.
Figure 11.
Day-ahead scheduling of devices in the system (cooling and heating load): (a) summer (cooling load) and (b) winter (heating load).
Figure 10 and Figure 11 show that under the active storage operation strategy, considering the output of the PGU throughout the day, there was a large difference in the electrical load between summer and winter, but the output of the internal combustion engine tended to stabilize, which was maintained at the best output operating state to ensure the best energy efficiency ratio and avoid large-scale changes in output power; it also improved the service life of the PGU to a certain extent. However, owing to the high demand and large fluctuation of power and cooling load in summer, the output of renewable energy fluctuated significantly and was insufficient to satisfy the user’s electricity load requirements; the CCHP microgrid purchased electricity from the grid, and the interaction frequency between the system and the grid was high. In the period of high cooling load demand on a typical summer day, to satisfy the user’s cooling load requirements, the gas boiler and electric chiller were activated to compensate for the cooling load difference, and the cold stored in the cooling storage device was released simultaneously. The CAES system stored energy when electricity prices were low and released energy when electricity prices were high, which resulted in peak load shifting. Compared with summer, the electric load fluctuated less in winter, and renewable energy power generation tended to be stable. The waste heat of the PGU supplemented by the gas boiler could satisfy the user’s heating load demand. When the electric load was low but the heating load demand was high at night in winter, the excess energy generated by the internal combustion engine and WT could be absorbed through the CAES system or sold to the grid, which satisfied the user’s load requirements and improved the economy of the system to a certain extent.
4.4. Result and Analysis of the Rolling Optimization Level
The hourly output plan of CAES optimized by the day-ahead scheduling level was set as the input and combined with ultra-short-term modification of wind power, the target power of the CESS was obtained, and each power component was obtained using EMD. The actual output plan of the CESS was optimized according to the system optimization objectives mentioned above. The rolling optimization level was based on a short timescale, with a cycle of 60 min, and the ultra-short-term renewable energy prediction results of the following cycle and the hourly plan of the day-ahead scheduling level were set as inputs. The “source-storage” output power was obtained by superimposing the hour-by-hour schedule of controllable equipment with the ultra-short-term prediction results of wind power generation and photovoltaic power generation. After 24 optimization cycles, the rolling optimization results of the output plan of each controllable device in the system within one day were obtained. The renewable energy power and “source-storage” output power of the optimized system in summer and winter are shown in Figure 12, and the output of each piece of equipment after short-term rolling optimization is shown in Figure 13.
Figure 12.
Renewable energy equipment output and “source-storage” joint output: (a) summer and (b) winter.
Figure 13.
Output of each controllable device in the system (minute-level): (a) summer and (b) winter.
As shown in Figure 12, renewable energy power generation has extremely strong volatility, particularly wind power generation. The power decomposition and optimization reconstruction method of the Hilbert–Huang transform was adopted in this study to combine renewable energy generation and CESS as a whole. By coordinating the power distribution of the CAES system, battery, and supercapacitor in the CESS, a smooth power output of the “source-storage” combined system was realized. However, the combined output power of “source-storage” did not completely change according to the power of renewable energy generation. Because the day-ahead scheduling level adopted an active storage operation strategy, efficiency and ECR could be achieved through the optimization of energy storage output. According to Figure 12, the output of renewable energy equipment in summer and winter and the combined output of “sources-storage”, the CESS could track renewable energy generation, suppress the fluctuation of renewable energy generation, and reduce the damage caused by the fluctuation of renewable energy to demand-side users. Additionally, the CESS connected to the microgrid could fully absorb renewable energy generation, making the OCSR of the system reach 0, fully utilizing the renewable energy resources.
As shown in Figure 13, the operation scheduling level considered the CCHP microgrid and the energy storage system as a whole and achieved a smooth output of the overall power of the system by effectively coordinating the charging and discharging status of the energy storage system and the output of key equipment in the CCHP microgrid. By optimizing the energy storage system, the active energy storage strategy balanced the peak and valley of power consumption and adjusted the thermoelectric ratio of the system to achieve the effect of increasing efficiency and saving energy.
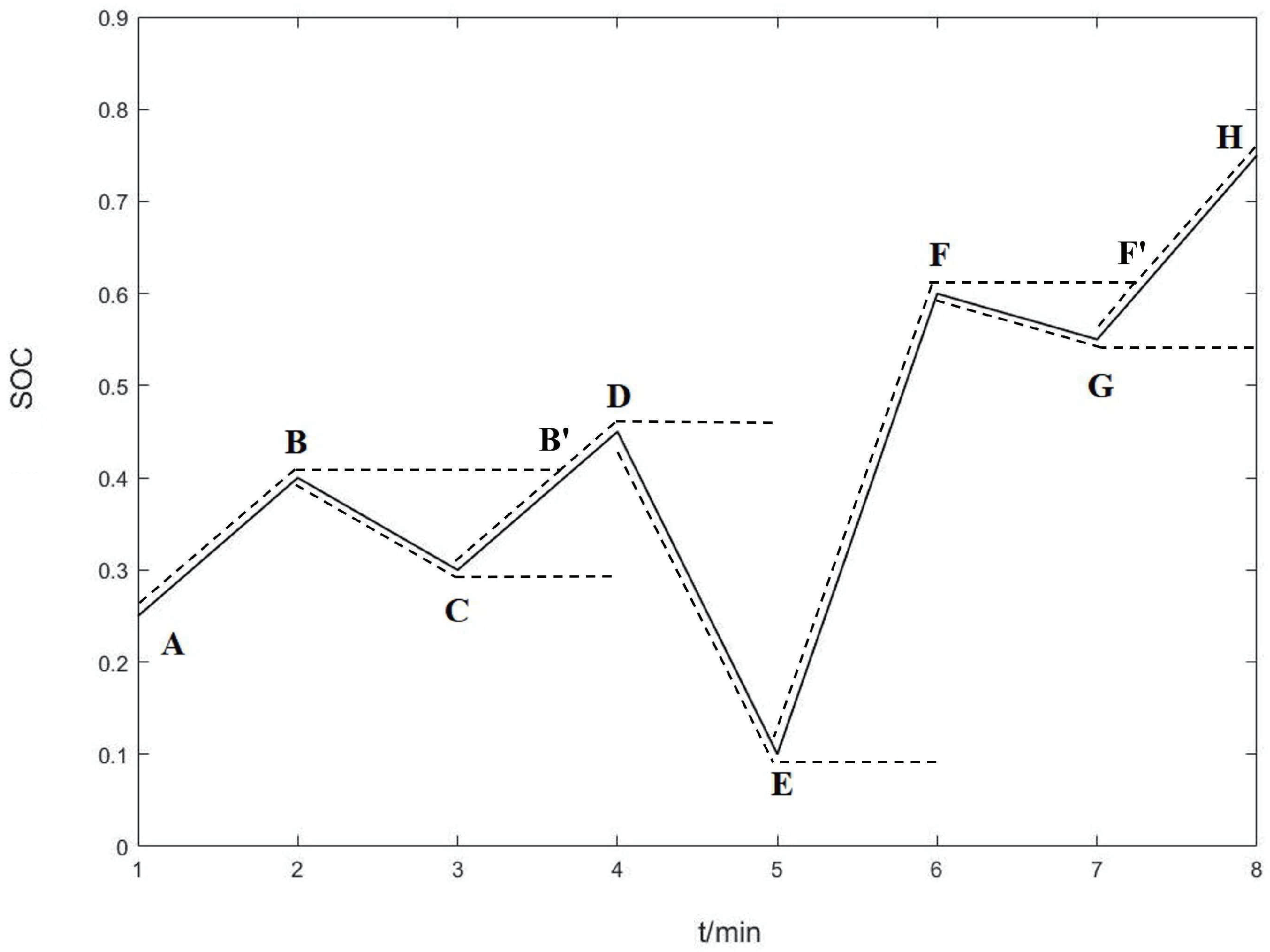
The SOE offset of energy storage in the short-term optimization period was adopted as the objective, which could effectively improve the feasibility of the control strategy, reduce the risk of overcharge or overdischarge, and reduce the capacity of the CESS energy storage equipment to avoid redundant capacity. The objective power and SOE of the CESS energy storage equipment after decomposition are shown in Figure 14. The fluctuation frequency of the supercapacitor was larger than that of the battery, and the fluctuation frequency of the CAES system was the smallest. Compared with the output changes of renewable energy, the CESS could adequately track the changes in renewable energy. Different energy storage devices absorbed renewable energy power according to their frequency and suppressed the fluctuations in renewable energy. As shown in the curve of the supercapacitor, the energy of the supercapacitor changed frequently and was primarily used to suppress the high-frequency fluctuation of renewable energy. The supercapacitor not only fully utilized its fast response speed characteristic but also compensated for its small capacity shortage. The SOE of the battery was always between 0.4 and 0.6. On the one hand, the battery could supply the frequency band to which the CAES system could not respond; on the other hand, it reduced the excessive usage of supercapacitors. The SOE of CAES under day-ahead scheduling and SOE after rolling optimization are shown in Figure 15. The CAES system was connected to the day-ahead scheduling and rolling optimization levels while absorbing low-frequency components. The change in its energy storage tracked the instructions of the day-ahead scheduling level and reduced the modification of the rolling optimization level to the day-ahead scheduling level. As shown in Figure 15, the SOE result of the day-ahead scheduling level of CAES was relatively gentle. Through the ultra-short-term prediction of renewable energy by the rolling optimization level, the CAES system adjusted its operating state according to the prediction result to suppress the fluctuation of renewable energy and adjust the result of the day-ahead scheduling level.
Figure 14.
Power and SOE of CESS: (a) summer and (b) winter.
Figure 15.
Comparison of SOE: (a) summer and (b) winter.
5. Discussion
Owing to the global energy crisis and environmental pollution problems, the combined cooling, heating, and power (CCHP) microgrid, based on the energy cascade utilization principle, has the characteristics of high efficiency and environmental protection and is a new energy supply method that reforms the traditional energy supply system. However, the high proportion of renewable energy penetration and coupling of multiple energy flows hinder its development. Energy storage has an increasingly important and irreplaceable role in improving the energy supply quality, system reliability, and energy efficiency. Compressed air energy storage (CAES), as a new hybrid energy storage system with multidimensional energy interfaces of cooling, heating, and electricity, can both suppress the fluctuation of renewable energy and enhance the association between heating and electricity systems in the microgrid, which is conducive to realizing the cascade utilization of internal energy. Therefore, this study designed a composite energy storage system composed of CAES, batteries, and supercapacitors, conducted research on its capacity configuration and energy management, and then proposed a three-level integrated design method for the composite energy storage system to connect to the cooling, heating, and power microgrid.
First, for the complex energy system consisting of renewable energy power generation, CCHP, and multidimensional CESS, a tri-level integrated design method is proposed that comprehensively considers multi-timescales such as capacity design, day-ahead scheduling, and rolling optimization. The variables of each step of design optimization and operation optimization are iterated with each other, which strengthens the connection between capacity allocation and operation strategy. With the penetration of a high proportion of distributed renewable energy, the randomness and volatility of the system have increased significantly. For example, the day-ahead hourly optimization used in Reference [] made it difficult to meet the needs of actual operation. On this basis, this paper adds minute-level rolling optimization to solve the stochastic fluctuation problem and the energy allocation problem of CESS and adds rolling optimization into the integrated optimization design model, thereby constructing a three-level model involving three timescales, i.e., a co-optimized design method. However, in the integrated design method proposed in this paper, the optimization variables at all levels are transferred to each other in the form of constraints to achieve tri-level coordination, which not only strengthens the relationship between design and multi-timescale operation control but also brings a lot difficulty to the optimization process. In particular, there are multiple optimization objectives in the first and second levels, and there are also a lot of nonlinear factors in the constraints. Therefore, in the solution process, the optimal solution can only be approached by the numerical solution method, the convergence speed is slow, and the optimization process can only be made close to convergence by increasing the optimization algebra. This is also an issue that needs to be addressed in the next step.
Second, for the operation control problem of the system, under the given equipment capacity, the operation is further divided into day-ahead scheduling and rolling optimization. The optimal operation strategy of CCHP microgrid multi-energy flow, multi-timescale with CESS is proposed, which fully utilizes the advantages of CAES with cooling, heating, and electricity multi-energy interfaces to smooth the intermittent nature of renewable energy. At the same time, the thermo-decoupling is realized, which solves the problem of coexistence and mutual coupling of multi-timescales in the CCHP microgrid. Based on this, a “minute” timescale distribution strategy for composite energy storage was designed in this study. According to the multi-energy flow characteristics of this system, the empirical mode decomposition and Hilbert transform were combined with a multiobjective optimization algorithm from the perspective of power fluctuations of the instantaneous frequency, which fully considers the consumption rate of renewable energy, energy balance state of energy storage, and energy flow balance, thereby realizing the coordinated control of CESS. The above method effectively reduces the fluctuation of renewable energy and follows the optimized result of the scheduling layer to the maximum extent, thus enhancing the realizability of the scheduling layer optimization strategy. Existing power distribution methods for CESS are mostly analyzed from the perspective of electrical energy, ignoring the difference between electrothermal coupling and timescale. Thus, this paper divides the energy distribution process of CESS according to timescale. First, the output of the CAES system, which is an energy storage device with a thermoelectric interface, is optimized. Moreover, the power distribution of each energy storage in a short timescale is optimized based on this. Compared with the existing research results, this paper focuses on the balance of energy storage under the “day” timescale, which ensures the sustainability of the optimization strategy.
The CCHP microgrid with CESS contains multi-thermoelectric coupling devices, and has the characteristics of strong coupling and complex nonlinearity, which is very suitable for optimization methods. The performance and speed of the C-NSGA-II method used in this paper have also been verified in previous studies [].
The experimental results demonstrate that there are some limitations to the proposed method. First, this paper only discusses and verifies the connection of a wind power generation system of renewable energy to a microgrid. In fact, there are other renewable energy sources such as photovoltaic power generation. The impact of the coupled volatility of these new energy sources on the microgrid is also worth studying. Second, although the three-level collaborative optimization method proposed in this paper can solve the coupling problem of multiple timescales in engineering design, it is difficult to find the optimal solution because of its large amount of calculation and poor convergence, which will be the focus of the next research. Finally, more real cases need to be considered to prove the effectiveness of the proposed method.
In future work, we will conduct in-depth research on the following aspects. First, we will conduct research on other types of renewable energy connected to the microgrid to demonstrate the effectiveness of this method in absorbing multiple renewable energy fluctuations; second, for many other types of equipment, our further research will propose a more generalized tri-level integrated optimization design model; finally, we will consider more practical cases to demonstrate the practicability of the proposed method.
6. Conclusions
Based on the architecture of the CCHP microgrid connected to composite energy storage with CAES, this paper introduces the characteristics of key equipment in the CCHP microgrid and the multi-energy coupling mechanism and compares it with the traditional CCHP microgrid in terms of operation mode. Second, an integrated design method is proposed for a CCHP microgrid with a CESS, and the capacity configuration level optimization model and operation control level optimization model of the integrated design method are introduced in detail. Finally, the following conclusions can be drawn after verifying the examples.
- This study changed the traditional optimization of the capacity and operation concept in a separated manner and fully considered the impact of renewable energy on the microgrid and the coupling characteristics of the CESS with CAES and the CCHP microgrid. The optimization of equipment capacity and operational control constitutes an integrated design method.
- To suppress the fluctuation of renewable energy, a CESS with CAES was adopted in this study. The CAES absorbs low-frequency power, the battery absorbs medium-frequency power, and the supercapacitor absorbs high-frequency power, which ensures the stable and reliable operation of the system.
- The energy management strategy of a multi-timescale CESS is presented in this paper. The strategy is divided into day-ahead scheduling with a long timescale and rolling optimization with a short timescale. The strategy is divided into day-ahead scheduling with a long timescale and rolling optimization with a short timescale. The former adopts an active storage optimization strategy to optimize the day-ahead output plan of the CAES, and the latter corrects the target power of the CESS. The results of the simulation indicated that the energy management strategy can effectively suppress the fluctuation of renewable energy, reduce the ERR, and improve the stability of the system operation and the absorption capacity of renewable energy.
Author Contributions
Investigation, W.K. and H.D.; methodology, K.L.; software, Y.Y.; writing—original draft, X.W. and X.K. All authors have read and agreed to the published version of the manuscript.
Funding
This work was supported by the Doctoral Research Fund Project of Shandong Jianzhu University (XNBS20015).
Institutional Review Board Statement
Not applicable.
Informed Consent Statement
Not applicable.
Data Availability Statement
Not applicable.
Conflicts of Interest
The authors declare no conflict of interest.
Abbreviations
| CAES | compressed air energy storage |
| CCHP | combined cooling, heating and power |
| CESS | composite energy storage system |
| A-CAES | adiabatic compressed air energy storage |
| WT | wind turbine |
| PGU | power generation unit |
| SOC | state of charge |
| SOE | state of energy |
| MPPT | maximum power point tracking |
| FTL | following thermal load |
| FEL | following electrical load |
| ERR | emission reduction rate |
| ECR | energy curtailment rate |
| SP | separated production |
| OCSR | operating cost-saving rate |
| EMD | empirical mode decomposition |
| PSO | particle swarm optimization |
| NSGA-II | non-dominated sorting genetic algorithm-II |
| C-NSGA-II | chaos-non-dominated sorting genetic algorithm-II |
References
- World Energy Outlook. Available online: https://www.iea.org/reports/world-energy-outlook-2020 (accessed on 1 September 2021).
- He, W.; King, M.; Luo, X.; Dooner, M.; Li, D.; Wang, J. Technologies and economics of electric energy storages in power systems: Review and perspective. Adv. Appl. Energy 2021, 4, 100060. [Google Scholar] [CrossRef]
- Sebastian, R. Modelling and simulation of a high penetration wind diesel system with battery energy storage. Int. J. Electr. Power Energy Syst. 2011, 33, 767–774. [Google Scholar] [CrossRef]
- Al-Ghussain, L.; Ahmad, A.D.; Abubaker, A.M.; Mohamed, M.A. An integrated photovoltaic/wind/biomass and hybrid energy storage systems towards 100% renewable energy microgrids in university campuses. Sustain. Energy Technol. Assess. 2021, 46, 101273. [Google Scholar] [CrossRef]
- Ayodele, T.; Mosetlhe, T.; Yusuff, A.; Ogunjuyigbe, A. Off-grid hybrid renewable energy system with hydrogen storage for south african rural community health clinic. Int. J. Hydrogen Energy 2021, 46, 19871–19885. [Google Scholar] [CrossRef]
- Bartolini, A.; Carducci, F.; Muñoz, C.B.; Comodi, G. Energy storage and multi energy systems in local energy communities with high renewable energy penetration. Renew. Energy 2020, 159, 595–609. [Google Scholar] [CrossRef]
- He, Y.; Guo, S.; Zhou, J.; Ye, J.; Huang, J.; Zheng, K.; Du, X. Multi-objective planning-operation co-optimization of renewable energy system with hybrid energy storages. Renew. Energy 2022, 184, 776–790. [Google Scholar] [CrossRef]
- Houssainy, S.; Janbozorgi, M.; Ip, P.; Kavehpour, P. Thermodynamic analysis of a high temperature hybrid compressed air energy storage (hth-caes) system. Renew. Energy 2018, 115, 1043–1054. [Google Scholar] [CrossRef]
- Zhang, Y.; Yang, K.; Li, X.; Xu, J. The thermodynamic effect of air storage chamber model on advanced adiabatic compressed air energy storage system. Renew. Energy 2013, 57, 469–478. [Google Scholar] [CrossRef]
- Yang, K.; Zhang, Y.; Li, X.; Xu, J. Theoretical evaluation on the impact of heat exchanger in advanced adiabatic compressed air energy storage system. Energy Convers. Manag. 2014, 86, 1031–1044. [Google Scholar] [CrossRef]
- Guo, H.; Xu, Y.; Zhang, Y.; Liang, Q.; Tang, H.; Zhang, X.; Zuo, Z.; Chen, H. Off-design performance and an optimal operation strategy for the multistage compression process in adiabatic compressed air energy storage systems. Appl. Thermal Eng. 2019, 149, 262–274. [Google Scholar] [CrossRef]
- Zhou, S.; He, Y.; Chen, H.; Xu, Y.; Deng, J. Performance analysis of a novel adiabatic compressed air energy system with ejectors enhanced charging process. Energy 2020, 205, 118050. [Google Scholar] [CrossRef]
- Zhang, Y.; Xu, Y.; Zhou, X.; Guo, H.; Zhang, X.; Chen, H. Compressed air energy storage system with variable configuration for wind power generation. Energy Procedia 2017, 142, 3356–3362. [Google Scholar] [CrossRef]
- Lv, S.; He, W.; Zhang, A.; Li, G.; Luo, B.; Liu, X. Modelling and analysis of a novel compressed air energy storage system for trigeneration based on electrical energy peak load shifting. Energy Convers. Manag. 2017, 135, 394–401. [Google Scholar] [CrossRef]
- Ramadan, O.; Omer, S.; Ding, Y.; Jarimi, H.; Chen, X.; Riffat, S. Economic evaluation of installation of standalone wind farm and wind + caes system for the new regulating tariffs for renewables in egypt. Thermal Sci. Eng. Prog. 2018, 7, 311–325. [Google Scholar] [CrossRef]
- Yan, Y.; Zhang, C.; Li, K.; Wang, Z. An integrated design for hybrid combined cooling, heating and power system with compressed air energy storage. Appl. Energy 2018, 210, 1151–1166. [Google Scholar] [CrossRef]
- Jiang, R.; Yin, H.; Peng, K.; Xu, Y. Multi-objective optimization, design and performance analysis of an advanced trigenerative micro compressed air energy storage system. Energy Convers. Manag. 2019, 186, 323–333. [Google Scholar] [CrossRef]
- Yao, E.; Wang, H.; Wang, L.; Xi, G.; Maréchal, F. Multi-objective optimization and exergoeconomic analysis of a combined cooling, heating and power based compressed air energy storage system. Energy Convers. Manag. 2017, 138, 199–209. [Google Scholar] [CrossRef]
- Yao, E.; Wang, H.; Wang, L.; Xi, G.; Marechal, F. Thermo-economic optimization of a combined cooling, heating and power system based on small-scale compressed air energy storage. Energy Convers. Manag. 2016, 118, 377–386. [Google Scholar] [CrossRef]
- Balsamo, F.; Capasso, C.; Lauria, D.; Veneri, O. Optimal design and energy management of hybrid storage systems for marine propulsion applications. Appl. Energy 2020, 278, 115629. [Google Scholar] [CrossRef]
- Sun, L.; Qiu, J.; Han, X.; Yin, X.; Dong, Z.Y. Capacity and energy sharing platform with hybrid energy storage system: An example of hospitality industry. Appl. Energy 2020, 280, 115897. [Google Scholar] [CrossRef]
- Zhang, Y.; Xu, Y.; Guo, H.; Zhang, X.; Guo, C.; Chen, H. A hybrid energy storage system with optimized operating strategy for mitigating wind power fluctuations. Renew. Energy 2018, 125, 121–132. [Google Scholar] [CrossRef]
- Ma, C.; Dong, S.; Lian, J.; Pang, X. Multi-Objective Sizing of Hybrid Energy Storage System for Large-Scale Photovoltaic Power Generation System. Sustainability 2019, 11, 5441. [Google Scholar] [CrossRef] [Green Version]
- Zhou, H.; Bhattacharya, T.; Tran, D.; Siew, T.; Khambadkone, A.M. Composite energy storage system involving battery and ultracapacitor with dynamic energy management in microgrid applications. IEEE Trans. Power Electron. 2011, 26, 923–930. [Google Scholar] [CrossRef]
- Kazagic, A.; Merzic, A.; Redzic, E.; Tresnjo, D. Optimization of modular district heating solution based on chp and res-demonstration case of the municipality of visoko. Energy 2019, 181, 56–65. [Google Scholar] [CrossRef]
- Li, B.; Wang, H.; Tan, Z. Capacity optimization of hybrid energy storage system for flexible islanded microgrid based on real-time price-based demand response. Int. J. Electr. Power Energy Syst. 2022, 136, 107581. [Google Scholar] [CrossRef]
- Bitaraf, H.; Rahman, S.; Pipattanasomporn, M. Sizing energy storage to mitigate wind power forecast error impacts by signal processing techniques. IEEE Trans. Sustain. Energy 2015, 6, 1457–1465. [Google Scholar] [CrossRef]
- Jiang, Q.; Hong, H. Wavelet-based capacity configuration and coordinated control of hybrid energy storage system for smoothing out wind power fluctuations. IEEE Trans. Power Syst. 2013, 28, 1363–1372. [Google Scholar] [CrossRef]
- Nazir, M.S.; Abdalla, A.N.; Wang, Y.; Chu, Z.; Jie, J.; Tian, P.; Jiang, M.; Khan, I.; Sanjeevikumar, P.; Tang, Y. Optimization configuration of energy storage capacity based on the microgrid reliable output power. J. Energy Storage 2020, 32, 101866. [Google Scholar] [CrossRef]
- Yongli, W.; Haiyang, Y.; Xiaohai, W.; Fuli, Z.; Yujing, H. Consideration of reliability and economy to capacity configuration of energy storage system: Case study of a large scale wind power plant in the northwest china. Energy Procedia 2018, 152, 149–155. [Google Scholar] [CrossRef]
- Zhang, J.; Li, K.-J.; Wang, M.; Lee, W.-J.; Gao, H.; Zhang, C.; Li, K. A bi-level program for the planning of an islanded microgrid including caes. IEEE Trans. Ind. Appl. 2016, 52, 2768–2777. [Google Scholar] [CrossRef]
- Li, K.; Wei, X.; Yan, Y.; Zhang, C. Bi-level optimization design strategy for compressed air energy storage of a combined cooling, heating, and power system. J. Energy Storage 2020, 31, 101642. [Google Scholar] [CrossRef]
- Das, B.K.; Al-Abdeli, Y.M.; Kothapalli, G. Effect of load following strategies, hardware, and thermal load distribution on stand-alone hybrid cchp systems. Appl. Energy 2018, 220, 735–753. [Google Scholar] [CrossRef]
- Wang, J.-J.; Zhang, C.-F.; Jing, Y.-Y. Multi-criteria analysis of combined cooling, heating and power systems in different climate zones in china. Appl. Energy 2010, 87, 1247–1259. [Google Scholar]
- Wang, J.-J.; Jing, Y.-Y.; Zhang, C.-F.; Zhai, Z.J. Performance comparison of combined cooling heating and power system in different operation modes. Appl. Energy 2011, 88, 4621–4631. [Google Scholar] [CrossRef]
- Wang, X.; Yang, C.; Huang, M.; Ma, X. Multi-objective optimization of a gas turbine-based cchp combined with solar and compressed air energy storage system. Energy Convers. Manag. 2018, 164, 93–101. [Google Scholar] [CrossRef]
- Hajiaghasi, S.; Salemnia, A.; Hamzeh, M. Hybrid energy storage system for microgrids applications: A review. J. Energy Storage 2019, 21, 543–570. [Google Scholar] [CrossRef]
- Pierrat, L.; Wang, Y.-J. Methodology for optimally sizing the combination of a battery bank and pv array in a wind/pv hybrid system—Discussion. IEEE Transa. Energy Convers. 1996, 11, 374. [Google Scholar]
- Wei, D.; Chen, A.; Sun, B.; Zhang, C. Multi-objective optimal operation and energy coupling analysis of combined cooling and heating system. Energy 2016, 98, 296–307. [Google Scholar] [CrossRef]
Publisher’s Note: MDPI stays neutral with regard to jurisdictional claims in published maps and institutional affiliations. |
© 2022 by the authors. Licensee MDPI, Basel, Switzerland. This article is an open access article distributed under the terms and conditions of the Creative Commons Attribution (CC BY) license (https://creativecommons.org/licenses/by/4.0/).