Abstract
The main objective of the paper is to highlight Romania’s perspectives on the transition process towards the circular economy, in respect with the tendencies registered at the level of the European Union. To this end, our methodology involved the selection of four indicators, each one being viewed as representative for one area of interest specified in the circular economy monitoring framework established by the European Commission, namely: Generation of waste excluding major mineral wastes per domestic material consumption; Recycling rate of municipal waste; Circular material use rate; Gross investment in tangible goods—percentage of gross domestic product. On the basis of data series provided by the Eurostat database, our study employed a quantitative approach, by using the econometric analysis of time series. For each selected indicator, time series-specific approximation and prediction models were constructed; against this background, we were able to reveal accurate forecasts of the analysed variables, with respect to different time horizons. Detailed analysis of the data series resulting from the research proved that on the long run, there are favourable premises for improving Romania’s performance in adopting the circular economic model, on the basis of low values for the indicator “Generation of waste excluding major mineral wastes per domestic material consumption”, of an ascending trend for the indicator ”Circular material use rate” and of maintaining the values of the “Gross investment in tangible goods—percentage of gross domestic product” indicator above the EU-27 average.
1. Introduction
The concept of a circular economy is extremely relevant and contemporary—especially with regards to its practical application—in the context of satisfying human needs, which are under constant growth and diversification and assume increasingly greater resource consumption.
Therefore—at global level—it can be seen an increasingly concern regarding the insufficiency of natural resources and the impact of their use on environmental “health”, which imposes identifying efficient management solutions.
In this context, the need to transition from the take-make-consume-throw model of the linear economy towards the 4 R (reduce-reuse-recycle-redesign) model—specific to the circular economy in which products at the end of their lifecycle continue to generate value through their component materials, which are kept in the economy for as long as possible through recycling and reuse—is accentuated.
Transitioning to a circular economy produces a series of beneficial effects—ecologically as well as socially—regarding, besides the reduction of pressure put upon the environment, the transition to innovative business models, stimulation of economic growth, competitiveness, and the creation of jobs [1]. Furthermore, undertaking/promoting durable consumption and production models [2] and clean technology—through efficient resource use and development of energy systems with low emissions—becomes even more imperious in the context of durable development.
Presently, in this context, EU concerns in the circular economy development plan are materialised in a series of strategies, measures and regulations, which have the aim of orienting and supporting Member States in this endeavour; therefore, Romania must align itself along European directives as well. On this basis, we have considered necessary the identification of the main initiatives of the European Commission and highlighting the degree to which they have been transposed in the national legislation—following the determination of Romania’s perspectives regarding the transition to a circular economy—and if they are circumscribed by the tendencies of the European average.
Therefore, the main objective of our study is to outline the perspective of Romania’s transition to the circular economy model. For this purpose, we have selected a set of four indicators considered relevant within the monitoring framework for the circular economy, established by the European Commission. The data sets of these indicators—for Romania as well as for the EU–27 average—have been collected from the Eurostat database and have represented the inputs of the quantitative analysis, which has required the use of approximation and prediction models. The validation of these models has allowed the creation of forecasts, constituting themselves into the results of our research. On their basis the size and evolution of the circular economy in Romania in the following period have been highlighted, as well as the gaps relative to the EU–27 average.
This study’s contribution is significant for the specialized literature because it represents a scientific endeavour meant to reflect Romania’s trajectory vis–à–vis the EU–27 average regarding the adoption and implementation of the principles of the circular economy, through tackling a new and practical research method.
2. Literature Review
2.1. Circular Economy in the Specialised Literature
The particular interest given over the last few years to the problem of climate change, resource/raw material insufficiency relative to development needs, waste management, etc. has led to an escalation of concerns regarding the circular economy—both in the theoretical and practical domains—from researchers, companies, policymakers, with their individual and collaborative efforts manifesting in multiple research projects, studies, models, or strategies.
Currently, there is a wealth of specialized literature, permitting the deepening of the circular economy regarding conceptual background, basic principles, advantages and disadvantages [3,4,5,6,7,8], drivers, barriers [9], modelling and implementation of CE at different levels: micro (companies and consumers) [10,11,12,13,14,15,16], meso (manufacturing [17,18,19], agriculture [20,21], electric and electronic [22,23], fashion and textile [24], plastic [25]), macro [6,26,27,28,29]. Despite the relative abundance of articles, studies, research projects about the paradigm of the circular economy, there remain a series of aspects insufficiently studied, such as “the basic assumptions concerning the values, societal structures, cultures, underlying world-views and the paradigmatic potential of CE” [30], or research about the assessment phase of CE strategies at micro level [31].
The lack of a singular definition of the circular economy [3,32] and of a model based on the so-called “R” framework which is unanimously accepted (while at EU level there is talk of the 4R “reduce-reuse-recycle-redesign” model [33], other authors have introduced the “6Rs of CE” syntagma, that is “Reduce-Reuse-Recycle-Reproduce-Redesign-Recover”, adding the processes of Recovering and Redesigning to the previous ones [34,35,36,37], and even the “9Rs”: Refuse-Reduce-Reuse-Repair-Refurbish-Remanufacture-Repurpose-Recycle-Recover energy) [38] implies challenges for indicators which capture only partially or only certain aspects of the circular economy, such as the preservation of materials or products at the expense of functions or a predominant focus on end-of-life [22,39,40,41,42,43]. In order to remove these deficiencies, we encounter authors who propose to develop a separate sets of indicators at the micro, meso and macro levels, and within different areas of activity, including production, consumption, waste management and policy which should take into account heterogeneity in different dimensions [44] and using appropriate tools to facilitate the identification of suitable circularity indicators [45]. Other authors propose the use of some composite/aggregate indicators which compiles a set of individual indicators [46]. Despite the differences of opinion regarding the most representative indicators that capture the dimensions and evolution of the circular economy, most authors agree that indicators must be based on strict criteria, repeatable, generally accepted, and easy to understand [46].
Up to this date, a number of authors have addressed the issue of the circular economy at EU level in terms of finding and using the most appropriate indicators [39,45,46,47,48], presenting [49], developing and implementing a circular economy model [48,50], presenting the steps in the assessment of a CE strategy [31] or to compare EU countries in terms of the efforts they are making to implement the CE model and to indicate EU strategic goals in this area [51,52].
Regarding the approach to the issue of the circular economy, it is realized in the theoretical [3,53,54,55], empirical [56], as well as practical dimensions. Within the research methods a series of econometric models—such as multilinear regression models or time series analysis—are considered suitable for identifying the development of the circular economy under the new paradigm, determining the dependency of the main CE factors on EU economic growth [52,57,58,59], or developing methods for multi–criteria decision–making problems [60,61,62].
Since—in connection with the circular economy—forming an image regarding the registered tendencies is important with regards to maintaining the economic values of products, materials and resources, as well as to waste generation—all of this being possible due to the complexity of the transition process to “circularity”, only through a set of indicators—at the European Union level it is agreed that there are ten indicators grouped in four stages and aspects of the circular economy: (1) production and consumption, (2) waste management, (3) secondary raw materials, and (4) competitiveness and innovation, considered relevant for ensuring a monitoring framework which can capture the main elements of the circular economy, including the life cycle of products and materials, priority areas and sectors, and the impact on competitiveness, innovation and employment [63]. Based on these indicators an evaluation of the transition degree of the EU-27 Member States towards a circular economy can be made—a comparison between the CE state of the art in Europe or a measurement of the performances of the countries in the transition towards CE [42,64,65,66] —as well as making correlations between indicators specific to the circular economy and indicators specific to economic growth and durable development [67,68].
The proposed approach at European Union level is not singular, there currently existing a large variety of measurement approaches that aim to assess the progress. The different assessment methodologies cover different and varied aspects of the CE transition and are seemingly unrelated to each other [69,70].
In this context, frameworks to guide research on the CE concept in general are being proposed [71,72], or particularised for the analysed sector of activity [73], or the level of economic activity [74], or consider certain aspects such as measuring the circularity of product families [75].
Our research follows the direction established by the European Commission, using the set of indicators used at Eurostat level, even though the small values of these indicators are—in the opinion of certain researchers—due to the fact that the implementation of circular business models remains low in practice [76,77].
2.2. Approaches to Circular Economy in the Romanian Specialised Literature
The Romanian specialised literature dedicated to the circular economy follows the extant trend at European and global level, marked by an intensifying of specialists’ concerns to show the limits of the linear production model, in parallel with highlighting the economic, environmental and social benefits generated by implementing circular economy models.
The topics tackled within the studies and research concern the issue of the circular economy in Romania highlights the conducting of national–level research related to the development of the circular economy under the new sustainability paradigm [58], brings up the best circular economy initiatives in Romania [78,79], and analyses the sustainability of circular economy indicators at EU level [52,53]. Joining these approaches are a series of studies tackling the circular economy at regional/local levels [80,81,82] or sector/economic activity levels [83,84], or areas of the circular economy such as waste management [84,85].
Even though at present there are a series of aspects remained insufficiently researched—as has been previously said (clarifying the concept, elaborating and adopting the most efficient circular economy model, using the most efficient measurement methods and tools of circular economy models efficiency etc.)—we have to mention the favoured practical aspect in tackling the issue of the circular economy in Romania.
An analysis of the studies and research which tackles the issue of the circular economy in Romania leads us to the following remarks:
- the principal preoccupation for researchers concerns its applicative side, in the detriment of theoretical and empiric approaches;
- a large part of studies is directed especially towards showing the current status of the circular economy and Romania’s ranking relative to the other EU member states, the main goal being to show vulnerabilities, so that future development with the sought direction and intensity can be sketched out [86];
- another line of research—extensively studied—seeks to highlight the degree of influence the circular economy had on sustainable development, economic growth, environment and social progress, the results confirming that the circular economy is a strategic option enforceable to create competitive advantage and growth [67,87,88];
- a third approach is concerned with presenting the economic factors which are at the basis of development of the circular economy. For example, Busu C. and Busu M. shows that the circular economy model is determined by the degree of innovation and labour employed in environmental protection [89].
Pintilie N. remarks that “from a geographical point of view, the concept of circular economy has evolved differently, being influenced by the cultural, social and political particularities of each country” [86]. If in the European space, at the beginning, the circular economy was mainly focused on waste management, nowadays the domain of regulations and actions has been expanded to other aspects of the circular economy, such as production and consumption, secondary raw materials, and competitiveness and innovation. Unfortunately, in Romania’s case the existing studies speak of an economy in which the linear model is still the predominant one relative to the circular one [83,89], about attitudes which differ from registered progress: optimism in the case of authorities and reticence in the case of businesses and non-governmental organisations [53], the unanimous opinion highlighting the need to redefine the circular economy model on the basis of the specifics of the national economy and of perspectives favourable for the development of a circular economy model circumscribed within European Union directives.
2.3. Legislative Landmarks of the Circular Economy
In the process of transitioning towards a more circular economy, the European Union receives an essential role in supporting, coordinating and spurring this process, especially through creating an adequate legislative framework, which has registered significant progress over time, its main milestones being summarised thusly:
- 2015—the European Commission adopted an ample action plan, considered to be an “innovative endeavour” [90] (p. 32) meant to accelerate the transition towards a circular economy, stimulate global competitiveness, promote sustainable economic growth, and create new jobs. The action plan contains 54 measures for “closing the circle” in product’s lifecycles—from production and consumption, to waste management and the secondary raw material market. Furthermore, the five priority sectors where the transition should be accelerated—along the entire value chain—have been highlighted: plastic materials, food waste, critical raw materials, construction and demolition, biomass and biomatter [91];
- 2018—the European Commission adopts the packet regarding the circular economy, which contains ambitious waste recycling and depositing objectives [92]; establishes the monitoring framework for the circular economy [63] and contains the first European-level strategy regarding plastic materials [93];
- 2019—the European Commission adopted the fourth packet of measures concerning the circular economy, published guidelines regarding the best extractive waste management practices, and presented the European Green Pact; the European Commission adopted the EU 2019–2024 strategic agenda, within which one of the priorities presented consisted of building a green, equitable, social and climate-neutral Europe [94];
- 2020—the European Commission adopted a new Action Plan regarding the circular economy—For a cleaner and more competitive Europe (the main constitutive element of the European Green Pact)—which builds on the results of activities undertaken since 2015 and focuses on designing and creating a circular economy, with the aim of guaranteeing that the resources used are kept in the EU economy as long as possible. The action plan concerns: (a) measures for ensuring that products introduced on the EU market are conceived to last longer, be easier to reuse, repair and recycle, and include as much recycled material instead of primary raw materials as possible; (b) consolidating the capacity of consumers to act; (c) concrete measures regarding electronic and ICT products, batteries and vehicles, packaging, plastic materials, textile materials, constructions and buildings, foodstuffs; (d) avoiding waste generation, their transformation into high quality secondary resources, as well as reducing waste exports by the EU to a minimum [95].
In the specialised literature the regulating framework for the circular economy at European Union level is considered to be “one of the most complex and progressive legal frameworks in the world” [54] and thriving [55], taking into account the fact that “legal rules set to a substantial extent the pace for the progress made by important actors in the transition towards a CE” [96], containing multiple approaches and concerns, such as:
- the correct application of the legislation related to the regulating framework for the circular economy, and the implementation of specific principles in different economic sectors, such as the agri-food one so as to facilitate the adoption of circular economic and management models in the firms involved [97];
- examining the current legal framework of the circular economy in the EU with the aim of highlighting the main strategic objectives and the degree to which member states have managed to achieve them [98];
- realising an analysis of the concept of “full coherence” in the EU legislation and its role in the view of transitioning towards a circular economy [99];
- highlighting the principles and regulations of the circular economy at European Union level, as well as at the level of nations such as Spain, Germany, China, Argentina, and underlining the major role the regulating framework has in the process of transitioning towards a circular economy [100];
- identifying the legislative barriers which could impede the transition towards a circular economy, considering the regulating framework to be a “gatekeeper of sustainability” and a “facilitator that establishes and upholds the architecture enabling the CE” [101];
- the analysis of policy-related barriers for a supply chain and the potential implications on enhancing corporate environmental performance of a business [102];
- the analysis of main modifications in EU law regarding waste and their implications in the context of transitioning towards the circular economy [103].
In the domain of concerns related to the regulating framework for the circular economy there is also the study Tranziția către o economie circulară. De la managementul deșeurilor la o economie verde în România (considered “the first step towards transitioning to a circular economy” [90] (p. 89)), in which, among others, is also realised an ample overview of the evolution of the regulating framework for the circular economy at European Union and Romanian level [90] (pp. 32–43). According to the authors, even though Romania has undertaken the first few steps towards a future action plan for the circular economy, it is highlighted the need for bettering the national legislative framework in accordance with the European directives, as well as accelerating and improving the implementation of the legislation.
3. Concerns Regarding the Regulating Framework for the Circular Economy
Concerns regarding the efficient use of resources, care about the environment, waste management—all materialised at EU level in various missives, conclusions, reports—have led in 2015 to the first initiatives regarding the circular economy, a list of measures and four legislative proposals for EU policies regarding waste. These four proposals relate to [104]:
- the Waste Framework Directive (2008/98/EC);
- the Packaging and Packaging Waste Directive (1994/62/EC);
- the Landfill Directive (1999/31/EC);
- the Directives on end-of-life vehicles (2000/53/EC), on batteries and accumulators and waste batteries and accumulators (2006/66/EC), and on waste electrical and electronic equipment (2012/19/EU).
Following the adoption of the Circular Economy Action Plan in 2015 and the setting up of a related stakeholder platform in 2017, in an effort to improve the regulatory framework and create incentives to make Europe’s economy more circular, the European Commission adopted a new package of deliverables in 2018. This improves the previous legislative initiatives (Waste Framework Directive 2018/851; Packaging and Packaging Waste Directive 2018/852; Landfill Directive 2018/850) and included additional initiatives such as: (i) an EU strategy for plastics; (ii) a Communication on how to address the interplay between chemical, product and waste legislation; (iii) a report on critical raw materials; and (iv) a framework to monitor progress towards a circular economy [105].
As we have presented in a previous section of this article, currently the monitoring framework has a set of ten indicators grouped into four stages and aspects of the circular economy: production and consumption, waste management, secondary raw materials and competitiveness and innovation [63] (p. 3). These indicators are presented in Figure 1:
Figure 1.
The monitoring framework for the circular economy established by the European Commission. Source: Authors’ elaboration based on [63] p. 4.
The most important directives of the European Commission contain measures to increase preparation for reuse and recycling of key waste streams, to strengthen the requirements of Extended Producer Responsibility systems, to reduce landfilling of waste, and to promote the adoption of economic incentives conducive to the implementation of a waste hierarchy, including incineration and landfilling charges [106].
At the same time, through these directives a series of goals regarding waste are being imposed for the Member States as can be seen in Table 1 [92]:
Table 1.
New targets for recycling.
Transposing these directives at the legislative level for each Member State was supposed to be realised before 5 July 2020, being meant to generate effects such as: upending wasteful commercial practices, internalising costs that producers have been allowed to pass on to the environment, taxpayers, and people’s health, making supply chains and waste management more transparent, and preventing the unnecessary extraction, use and disposal of raw materials [106] (p. 4).
Despite its lateness (due to the COVID-19 pandemic), the transposition of the European directives regarding waste management into Romanian legislation had mainly been realised through GO 1/2021 (which modifies Law no. 249/2015 regarding packaging and packaging waste management) and GEO 92/2021 regarding Waste procedures.
Ulteriorly—in 2019, at community level—the fourth Directive of the Circular Economy packet Single-Use Plastics Directive—Directive (EU) 2019/904 and the reduction of the impact of certain plastic products on the environment was put into law with a transposition term of 3 July 2021. The directive established the objectives of reducing and preventing the impact of certain plastic products upon the environment—especially on the aquatic environment—and upon human health, as well as promoting the transition to a circular economy with business models, innovative and durable products and materials, therefore contributing to the efficient operation of the internal market.
The transposition of the fourth directive into Romanian law was carried out in August 2021 through Emergency Ordinance no. 6/2021 regarding reducing the impact of certain plastic products upon the environment, through which the sale of certain single-use plastic products became forbidden.
The European Union’s concerns regarding a circular economy are being intensified, such that—based on the actions, progress, and monitoring of the main tendencies of the circular economy put into practice beginning with 2015—in 2020 the European Commission presented A new Circular Economy Action Plan: For a cleaner and more competitive Europe in which the need for an accelerating the transition to a renewable growth model was highlighted, something that would improve the circular material use rate in the following decade and, implicitly, lead to sustainable and durable growth.
At the same time, within this document it is highlighted the role of the circular economy in offering solutions to the new problems caused by the COVID-19 pandemic, through strengthening value chains within the EU and at global level, and through reducing their vulnerability, as well as increasing the resilience, sustainability, competitiveness and profitability of European industrial ecosystems, which would promote EU strategic autonomy and would contribute to job creation. Furthermore—through the New Action Plan regarding the circular economy—Member States are invited to integrate the circular economy in their national recovery and resilience programs [107].
In this context, Romania has respected the recommendations and included in its National Recovery and Resilience Program a distinct component referring to Waste management, where it aims to accelerate the process of expansion and modernisation of waste management systems in Romania, with emphasis placed on selective collection, preventive measures, reduction, reuse, and fructification with the aim of conforming to applicable EU legislation and transitioning to a circular economy [108].
This component contains a reform—Improving governance in the domain of waste management with the aim of accelerating the transition towards a circular economy—and three investments, all to be implemented by 2026.
Implementing the reform will be realised in three steps [108]:
- until 31 September 2022, the adoption of the National Strategy regarding the circular economy, which will establish the framework for transforming Romania’s economy towards circular functioning, so as to cover the whole lifecycle of a product;
- until 32 September 2022, the coming into effect of normative acts necessary for the operationalisation of unitary waste management in conformity with the National waste management plan, especially those legislative acts regarding waste, municipal sanitation services, and establishment of sanitation services tariffs and extensive accountability for packaging producers;
- until 32 September 2023, the adoption of the action plan for the National strategy regarding the circular economy, which defines the main stages of implementing the strategy, the responsible authorities, and a mandatory calendar of actions. All actions attributed to public authorities based on the Strategy and the action plan are finalised by 30 March 2026.
It is obvious that—in the period which has passed from EU adhesion—progress has been made in improving Romania’s legislative framework. However, we have to be mindful that the road towards truly sustainable development will be long and complex.
4. Research Methodology
4.1. The Design of the Research
With the aim of performing substantiated predictions regarding the process of transition to a circular economy by using several relevant indicators measured at the level of Romania and EU-27, within this paragraph we shall employ a quantitative methodology underlying the econometric analyses of time series data. The main steps of our methodology are detailed in Figure 2.
Figure 2.
The Design of the Research.
As shown in Figure 2, within each mathematical model estimated for the relevant indicators assessing circular economy, which were included in our analysis, the parameters have been estimated by using the least squares method. The values of these parameters have been obtained by virtue of EViews 10.1. program packet [109]. We must also stress that the econometric models analysed within this article are time series-specific models, i.e., the time variable appears exclusively within these models. The data series employed in our econometric analyses have been taken from the Eurostat website [110,111,112,113]. The data series have not been modified.
It is important to note that—through the EViews 10.1 program packet as well—for each data set multiple models have been compared, the one with the best results being selected. In other words, the most appropriate model was chosen through the measurement of qualitative indicators—such as R–squared, Adjusted R–squared, Mean abs. Percent Error, F–statistic etc.—through which the correct specification of the model and its validation based on the obtained results have been observed.
In order to determine Romania’s circular economy development perspectives, as an EU member, the authors realised an analysis based on publicly available statistical data, accessed and collected from the European official statistic databases, Eurostat (available at https://ec.europa.eu/eurostat), Tables on EU Policy section, respectively, Circular economy indicators (accessed on 5 October 2021).
4.2. Data and Variables
Taking into account that currently the European Commission’s monitoring framework for the circular economy contains ten indicators, we have considered that for this analysis four of them can be selected—one for each area of interest. Therefore, we shall present bellow one relevant indicator for each area:
Production and consumption
- Generation of waste excluding major mineral wastes per domestic material consumption—The indicator is defined as all waste generated in a country (in mass units), excluding major mineral wastes, divided by the domestic material consumption (DMC) of a country. The ratio is expressed in percent (%) as both terms are measured in the same unit, namely tonnes [110].
Waste management
- Recycling rate of municipal waste—The indicator measures the share of recycled municipal waste in the total municipal waste generation. Recycling includes material recycling, composting and anaerobic digestion. The ratio is expressed in percent (%) as both terms are measured in the same unit, namely tonnes [111].
Secondary raw materials
- Circular material use rate—The indicator measures the share of material recycled and fed back into the economy—thus saving extraction of primary raw materials—in overall material use. The circular material use rate—also known as the circularity rate—is defined as the ratio of the circular use of materials to the overall material use. The overall material use is measured by summing up the aggregate domestic material consumption (DMC) and the circular use of materials. DMC is defined in economy-wide material flow accounts. The circular use of materials is approximated by the amount of waste recycled in domestic recovery plants minus imported waste destined for recovery plus exported waste destined for recovery abroad. Waste recycled in domestic recovery plants comprises the recovery operations R2 to R11, as defined in the Waste Framework Directive 75/442/EEC. The imports and exports of waste destined for recycling—i.e., the amount of imported and exported waste bound for recovery—are approximated from the European statistics on international trade in goods. A higher circularity rate value means that more secondary materials substitute for primary raw materials, thus reducing the environmental impacts of extracting primary material [112].
Competitiveness and innovation
- Gross investment in tangible goods—percentage of gross domestic product (GDP)—is defined as investment during the reference year in all tangible goods. Included are new and existing tangible capital goods, whether bought from third parties or produced for own use (i.e., capitalised production of tangible capital goods), having a useful life of more than one year including non-produced tangible goods such as land. Investments in intangible and financial assets are excluded. The indicator includes gross investment in tangible goods in the following two sectors: recycling, and repairs and reuse [113].
The availability of Eurostat data for each indicator—for Romania, as well as the European average—has led us to the option of using different time intervals, the goal being to include as many variables as possible in the mathematical model that the analysis has been based on. The available data series for each indicator are presented in Table 2, Table 3, Table 4 and Table 5.
Table 2.
Data series for Generation of waste excluding major mineral wastes per domestic material consumption—Indicator I EU-27 and RO.
Table 3.
Data series for Recycling rate of municipal waste—Indicator II EU-27 and RO.
Table 4.
Data series for Circular material use rate—Indicator III EU-27 and RO.
Table 5.
Data series for Gross investment in tangible goods—percentage of gross domestic product (GDP)—Indicator IV EU-27 and RO.
Table 6 provides a synthesis of the main indicators, time-intervals and mathematical models that facilitated our econometric analyses.
Table 6.
Synthesis of the main parameters of econometric analyses employed within the research.
5. Results
5.1. Generation of Waste Excluding Major Mineral Wastes per Domestic Material Consumption (Indicator I)
In case of this indicator both for the EU-27 average and for Romania the inputs have been the values from 2004–2018 (Table 2). The time variation of this indicator is represented in Figure 3. As can be seen, the evolution over time of Indicator I is for the EU-27 average (Figure 3a) an oscillating one between 2004–2018, then it becomes ascending from 2010 to 2018 when it starts to decrease slightly. On the other hand, in terms of the evolution of Generation of waste excluding major mineral wastes per domestic material consumption for Romania (Figure 3b), can be noticed a downward trend over the entire period analysed, with a slight increase in the last year under analysis.
Figure 3.
Variation in time of the Generation of waste excluding major mineral wastes per domestic material consumption (a) for EU-27; (b) for RO. Source: own processing.
The two time series-specific models for this indicator both for EU-27 average and Romania are described below.
Model 1-EU-27. Following the distribution of pairs in plane (Figure 3a)—where denotes time and the dependent variable (Generation of waste excluding major mineral wastes per domestic material consumption)—it can be seen that they can be approximated by a linear regression model (Equation (1)). Within this linear model denote the model’s parameters, while denotes the residual variable.
The linear regression model’s parameters have been estimated using the least squares method. Their values are to be found in Equation (2).
The results obtained by comparison with other models analysed showed that this model is one that gives sufficiently good results for this data cloud shown in Figure 3a.
Model 2-RO. Furthermore, in this case, the time analysis has been realised for the period 2004–2018. The time variation is represented in Figure 3b. Following the distribution of pairs in plane—where denotes time and the dependent variable, the best model for approximating this indicator’s data series for Romania is a parabolic model (Equation (3)). Within this model as well denote the parabolic model’s parameters, while denotes the residual variable.
The parameters’ values have been estimated through the least squares method and are to be found in Equation (4).
This model was compared with other types of nonlinear models (parabolic, polynomial of varying degrees, exponential, hyperbolic), but each of these models had either statistical measures of inferior quality to the model selected here, or the predictions made were non-compliant with the reality.
Due to the fact that the data series were insufficient in size (considered every two years), the time-specific approximation models (ARMA, ARIMA, ARX, etc.) were not taken into account, models that are generally applied on much larger samples.
Within Table 7 there are the main values of the coefficients and statistics specific to the time series models analysed for this indicator.
Table 7.
Main Indicator I values obtained in EViews 10.1.
Analysing the results, it can be seen that the values of the coefficient of determination for the two analysed models show that they give good results, the connections between the variables being of a strong intensity for Indicator I EU-27 as well as for Indicator I RO. On the other hand, the value of this indicator measures the “success” of the two estimative equations have in explaining the previous dependent variable’s values within the two samples. Statistical tests were performed for a significance threshold of
After applying the least squares method to the two models, a series of hypotheses are considered. These are important in estimating and establishing the properties of these models. We can say for both indicators analysed for EU-27 and Romania that all hypotheses specific to the least squares model are verified.
Thusly, the sufficiently larger value of the Durbin-Whatson statistic can be seen for the two models, which tell us that the residual variable’s values are not correlated. Furthermore, the small value of the Hannan-Quin criterion (based on information theory) shows that both models approximate the data series sufficiently well. The closer to zero this criterion is, the better the model.
To test the validity and quality of the above models, we apply an analysis of the variance. The value of statistic F shows that—through the time variable—a good percentage of this indicator’s dynamic is being assessed for the periods analysed.
The Figure 4 shows the real values in tandem with the estimated values of the dependent variable, with the highlighting of the residues.
Figure 4.
The real and estimated values of the dependent variable of the Generation of waste excluding major mineral wastes per domestic material consumption (a) for EU-27; (b) for RO. Source: own processing.
Using the previously presented mathematical models (Equations (2) and (4)) forecasts regarding the evolution of the Generation of waste excluding major mineral wastes per domestic material consumption indicator for the 2020–2024 period have been made, for EU-27 as well as for Romania, considered every two years (Table 8).
Table 8.
Forecast for the Generation of waste excluding major mineral wastes per domestic material consumption indicator’s evolution (%).
The values of the statistical measures that assess the quality of the predictions for the two models analysed in this indicator (Mean abs. Percent Error, Theil Coefficient) are very small (close to zero).
The smaller the value of this indicator, the lower the pressure waste from the economy, revealing an intensive use of raw materials. Therefore, it can be seen that for the European average, EU-27, there is a tendency of increase in the growth rate, meaning a decrease of the European average’s performance. This evolution continues the ascendant trend registered in the last interval of the analysed data series. For Romania, however, a decrease in the value of this indicator is forecasted, and consequently an improvement of its performance relative to the European trend.
5.2. Recycling Rate of Municipal Waste (Indicator II)
The inputs for this indicator have been the values from 2000–2020 for the EU-27 average and from 2001–2020 in the case of Romania (Table 3). Figure 5 shows the time variations of the Recycling rate of municipal waste. While the evolution of this indicator for the EU-27 average (Figure 5a) is an ascending one over the entire analysed period, as far as Romania is concerned (Figure 5b), this evolution is an oscillating one, with a growth boom starting with 2010.
Figure 5.
Variation in time of the Recycling rate of municipal waste indicator (a) for EU-27; (b) for RO. Source: own processing.
The two time series-specific models for this indicator both for EU-27 average and Romania are described below.
Model 3-EU-27. Following the distribution of pairs in plane (Figure 5a), they can be approximated through a line. Therefore, we can say that the econometric model which describes the time dependency of this indicator for EU-27 is a linear regression model of a form introduced (Equation (1)). Within this model denote the linear regression model’s parameters, where is the regression line’s slope, is the free term and ε denotes the residual variable.
The parameters’ values have been estimated through the least squares method and are to be found in Equation (5).
Model 4-RO. As can be seen in Figure 5b, the data cloud distribution contains two groups of values. Due to this phenomenon of data analysis, three models were analysed. The first model was analysed for the data series from (2001–2010). The second model was analysed for the data series from (2011–2020). The third model was analysed for the entire data series from (2001–2020). However, the most relevant model for the time approximation of the data series of this indicator for Romania is analysed for the 2011–2020 data series and is a sinusoidal model of the shape and is represented in Equation (6).
Within this model as well denote the model’s parameters, while denotes the residual variable. The estimated parameters’ values—through the least squares method—can be found in Equation (7).
Compared to the model analysed here, other models did not work for this data set, because the matrix was a singular one, with perfectly collinear regressors (e.g., parabolic model or polynomial models of certain degrees).
Within Table 9 there are the main values of the coefficients and statistics specific to the econometric models analysed for this indicator.
Table 9.
Main Indicator II values obtained in EViews 10.1.
The Figure 6 shows the real values in tandem with the estimated values of the dependent variable, with the highlighting of the residues.
Figure 6.
The real and estimated values of the dependent variable of the Recycling rate of municipal waste (a) for EU-27; (b) for RO. Source: own processing.
Analysing the results, it can be seen that the values of the coefficient of determination for the two analysed models show that they give good results, the connections between the variables being of a strong intensity for EU-27 as well as for Romania. Statistical tests were performed for a significance threshold of .
Using the previously presented mathematical models (Equations (5) and (7)) forecasts regarding the evolution of the Recycling rate of municipal waste indicator for the 2021–2023 period have been made, for EU-27 as well as for Romania (Table 10).
Table 10.
Forecast for the Recycling rate of municipal waste indicator’s evolution (%).
Concretely, the linear dependency reveals the fact that for EU-27 average there is a tendency for slight growth in this rate. Unfortunately, in the case of Romania, there can be seen an oscillate trend for the Recycling rate of municipal waste values in the three forecasted years, revealing the attainment of pessimistic results in perspective, continuing the sinuous evolution registered in the preceding period.
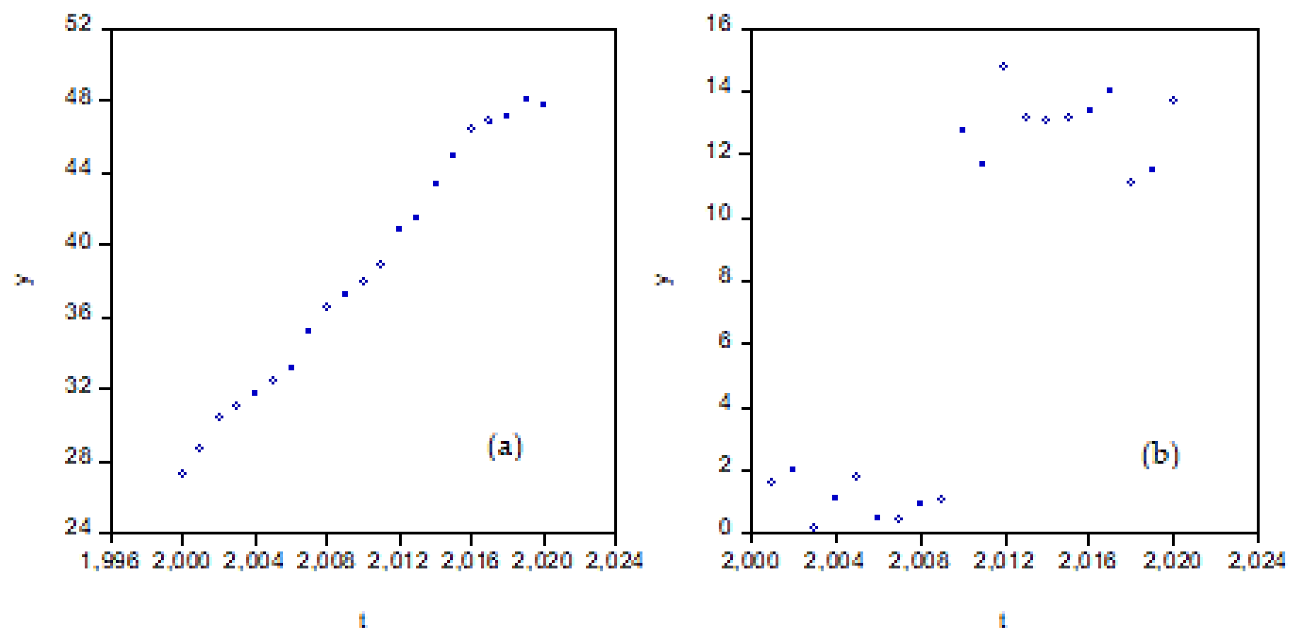
5.3. Circular Material Use Rate (Indicator III)
The inputs for this indicator have been the values from 2004–2020 for the EU-27 average and from 2010–2020 in the case of Romania, due to unavailability of data for the period 2004–2009 on the Eurostat website (Table 4). The following figures show the time variations of the Circular material use rate. As can be seen, the evolution over time of the indicator for EU-27 average (Figure 7a) is an upward one with small oscillations in time. Regarding this indicator for Romania (Figure 7b), the evolution is a descending one, in some places presenting a consistency in the data.
Figure 7.
Variation in time of the Circular material use rate indicator (a) for EU-27; (b) for RO. Source: own processing.
The following are presented the two time series-specific models for this indicator for both the EU-27 average and Romania.
Model 5-EU-27. Following the distribution of pairs in plane, it can be seen that they can be approximated through a linear model (Equation (1)).
Furthermore, in this linear model it was noted with the parameters of the model, whose values were estimated by the least squares method and are found in the Equation (8). The residual variable was also denoted by .
Model 6-RO. In this case, the time analysis of this indicator —for Romania—has been realised over a period of 11 years. As can be seen in Figure 7b, the data cloud’s distribution is descendent. The best model for approximating this indicator’s data series for Romania in time is a polynomial model of the grade three (Equation (9)). Within this model as well denote the model’s parameters, while denotes the residual variable.
The estimated parameters’ values—through the least squares method—can be found in Equation (10).
To estimate the data series for this indicator, other types of models were tried (linear, parabolic, hyperbolic, exponential), but by comparison the two models introduced in Equations (1) and (9) were selected. The comparisons between the various applied models were made according to the values of the statistical measures described in Table 11.
Table 11.
Main Indicator III values obtained in EViews 10.1.
Due to the fact that the data series, especially for Romania, were insufficient in size, the approximation models specific to the time series (ARMA, ARIMA, ARX, etc.), models that are generally applied on much larger samples, were not considered.
Taking the above into account, within Table 11 there can be seen the main values of the coefficients and statistics specific to the econometric models analysed for this indicator.
The values of the statistical measures that assess the quality of the predictions for the two models analysed in this indicator (Mean abs. Percent Error, Theil Coefficient) are very small (close to zero).
The Figure 8 shows the real values in tandem with the estimated values of the dependent variable, with the highlighting of the residues.
Figure 8.
The real and estimated values of the dependent variable of the Circular material use rate (a) for EU-27; (b) for RO. Source: own processing.
Interpreting the results, it can be seen that the value of statistic F shows that—through the time variable—the two indicators—for EU-27 as well as for Romania—can be assessed to a good degree. Furthermore, for this indicator as well all hypotheses specific to the least squares model are verified. Statistical tests were performed for a significance threshold of . Based on the two models’ predictions have been made for the following three years (2021–2023). The forecasted values are presented in Table 12.
Table 12.
Forecast for the Circular material use rate indicator’s evolution (%).
For the EU-27 average the forecasted values show a slight ascendant trend in circular material use rate, a performance which could ulteriorly be accentuated. For Romania a growth in circular material use rate is forecasted, but extremely small differences in values of the indicator from year to year indicate a plateauing around 1.3%, which shows a poor use of secondary raw materials and increased environmental pressure.
5.4. Gross Investment in Tangible Goods—Percentage of Gross Domestic Product (GDP) (Indicator IV)
Regarding this indicator, for both the EU-27 average and Romania the inputs have been the values from 2004–2018 (Table 5). Figure 9 shows the evolutions over time in Gross investment in tangible goods—percentage of gross domestic product (GDP). As can be seen, both for the EU-27 average (Figure 9a) and for Romania (Figure 9b), the evolutions over time of this indicator show obvious oscillations over the entire analysed period.
Figure 9.
Variation in time of the Gross investment in tangible goods—percentage of GDP indicator (a) for EU-27; (b) for RO. Source: own processing.
Model 7-EU-27. Following the distribution of pairs in the plane (Figure 9a), it can be seen that they can be approximated through a parabolic model. Within this model denote the parabolic model’s parameters, while denotes the residual variable (Equation (3)).
The time series-specific model’s parameters have been estimated using the least squares method. The values obtained can be observed in Equation (11).
Model 8-RO. The data pairs represented in the plane (Figure 9b) have a very scattered distribution. Therefore, the model through which the data for this indicator for Romania can be approximated with a sinusoidal pattern of the shape represented in Equation (6). Within this model denote model’s parameters, while denotes the residual variable.
The time series-specific model’s parameters have been estimated using the least squares method. The values obtained can be observed in Equation (12).
Within Table 13 there are the main values of the coefficients and statistics specific to the econometric models analysed for this indicator.
Table 13.
Main Indicator IV values obtained in EViews 10.1.
Analysing the results, it can be seen that the values of the statistical measures analysed for both models show that they give good results, both for the EU-27 and for Romania.
The approximate models for this indicator were also selected based on the number of iterations of the convergence of the Gauss-Newton optimization method. Thus, for Romania, within the sinusoidal model, the convergence was reached after 5 iterations.
The Figure 10 shows the real values in tandem with the estimated values of the dependent variable, with the highlighting of the residues.
Figure 10.
The real and estimated values of the dependent variable of the Gross investment in tangible goods—percentage of GDP (a) for EU-27; (b) for RO. Source: own processing.
Using the previously presented mathematical models the forecasts regarding the evolution of the Gross investment in tangible goods—percentage of gross domestic product (GDP) indicator for the 2020–2024 period have been made, for EU-27 as well as for Romania. The forecasts realised based on the two models have generated the values presented in Table 14.
Table 14.
Forecast for the Gross investment in tangible goods—percentage of gross domestic product (GDP) indicator’s evolution (%).
For the forecasting interval, for EU-27 can be seen a slight percentage grow of this indicator relative to the period analysed, while for Romania the trend is oscillating, and the values are slightly over those of the EU-27 average.
6. Discussion
Implementing and monitoring the circular economy in Romania requires on one hand updating the national legislation to conform with European regulations, and on the other hand opening up all activities of economic and social life towards initiatives and innovative business models.
Efficient waste management aids the circular economy extremely well. Through recycling raw materials and important energy resources can be saved. This is the reason a synthetic indicator has been created, which follows the efficiency of material consumption through comparing tons of waste generated within the economy with internal material consumption, the smaller the value of this ratio, the better the performance. For Romania the analysis found a descendant trend for the indicator’s value. Therefore, the 2024 forecasts see that only 3.81% of internal material use will end up as waste, so a superior performance. In comparison, the European average’s trend is ascendant—the 14.30% rate for the same year 2024 showing a reduced efficiency of material consumption. The value almost four times lower that Romania registered for the indicator compared with the European average shows us that—at least through its perspective—Romania’s performance regarding responsible production and consumption is above the European average.
Selective collection of waste and recycling are key points in reducing pressure put upon the environment. Unfortunately, in Romania in the latter years of the period analysed—only a bit above 10% of total municipal waste has been recycled. The forecasts made after applying the econometric model shows the continuation of the sinuous evolution in the next period as well, without major progress, the recycling rate of municipal waste being forecasted in 2023 to be 11.60%. The values already registered for the European average—over 4.5 times larger than Romania’s, and increasing—shows that, to arrive at this level of performance, the other EU Member States have efficiently adopted and implemented the principles of selective collection and recycling. For the forecasted period the gap between the European average and the rate’s value for Romania is increased against the background of maintaining the upward trend in the case of EU-27 and the projected values that do not exceed the value recorded in the last year of the data series available on Eurostat in the case of Romania. Waste management in Romania had until 2021 been realised on the basis of Law no. 211/2011. Insufficient measures contained in this law and their poor implementation have led to the situation registered in the period analysed. Furthermore, the fact that Romania has not transposed in its national legislation—before the established deadline—EU Directive 2018/851 of the European Parliament and of the Council from 30 May 2018 for modifying Directive 2008/98/CE regarding waste, shows us that effort at national level must be intensified. In order to avoid sanctions following the non-application in time of the directive, the Romanian Government emitted Emergency Ordinance no. 92 regarding waste procedures on August 19, 2021, this new regulation leading in the future to the 2011 law’s complete abrogation. The low municipal waste recycling rate relative to the European average, without encouraging perspectives, shows us that an update of the legislative framework was needed—which included measures imposed at European level—which was realised through the aforementioned emergency ordinance. The effects of this first step will not be seen immediately, but we hope that in the future we can speak of a better performance registered by Romania in this key domain for the circular economy.
As has been previously seen, in Romania the waste recycling rate is low. Unfortunately, the analysis realised for the recycled material use rate in the economy shows a reduced value of this indicator as well. In perspective, the tendency is for growth (as is the case for EU-27), though an insignificant one from year to year—maintaining an average of slightly over 1%—which continues to place Romania in the bottom position of the Member States’ hierarchy, with a gap relative to the forecasted EU-27 average which continues to increase. This is why we consider examples of good practices from multinational companies [114] which have adopted this practice of intense recycled material use to be useful in this sense, serving as inspiration for domestic producers in responsible and sustainable production. It is necessary for Romania to change its mentality—as well as for producers and consumers—and to adopt sustainable initiatives in business models which should be oriented towards circularity of materials, lengthening the lifecycle of products, and consequently reducing the impact upon the environment, guaranteeing the premises for durable development.
The forecasted values for the fourth selected indicator—Gross investment in tangible goods—percentage of gross domestic product (GDP)—shows Romania’s superior position relative to the European average. The latter had a plateauing tendency at around 0.14%, which can be explained by the existence of a solid recycling and reuse infrastructure in many EU Member States. Romania is in the midst of recuperating these offsets and developing the infrastructure necessary for a circular economy, based on investments already made with the aid of European funds, which will continue with those mentioned in the National Recovery and Resilience Plan, a tendency highlighted in our forecasts as well.
Looking at the research results and their analyses we can say that—from the perspective of the monitoring framework for the circular economy—Romania will see slow favourable evolutions. However—from the perspective of comparisons with predicted values for the EU–27 average—differences were observed in all four areas of interest, thusly: the indicator selected for the Production and consumption area of interest shows Romania’s much higher performance relative to the European average, while for the Waste management and Secondary raw materials areas the selected indicators reflect Romania’s inferior position and show that the actions so far carried out are insufficient, an intensification of efforts to reduce this gap being necessary. However, the ascendant trend—with values above the European average for investments in recycling and reuse infrastructure—show that progress has been made to support circularity objectives.
For Romania the monitoring framework for the circular economy established by the European Commission is the instrument through which we can form a clear image regarding the domains of interest of the circular economy where the largest offsets relative to the other EU Member States are registered, and where the measures implemented in the national legislation from the new European directives can in the future lead to their diminishing and to a better performance in the transition towards truly durable development.
The circular economy requires active participation not only at the public policy level, but also at the level of implementing this concept in the collective consciousness, through informing producers and consumers about the benefits of this model.
7. Conclusions
At present time the specialized literature dedicated to the circular economy contains a series of studies which concerned with capturing the complexities and dynamic nature of this concept, elaborating sustainable models suitable for all levels of economic activity (micro, meso and macro) and particular aspects of the circular economy (such as product functions or lifecycle), or determining the dependence of the main CE factors on sustainable development.
Our study is built around these concerns by undertaking the issue of the circular economy in an innovative manner, through realising a quantitative analysis underlying the econometric analyses of time series data over indicators included in the monitoring framework for the circular economy developed by the European Commission, which covers all of its areas of interest (Production and consumption, Waste management, Secondary raw materials, and Competitiveness and innovation).
Even though the limitation of this study concerns the length of the data series available in the Eurostat database (only since 2000)—making possible the establishment of a limited predictive horizon—our research method allow its application in the case of extended time series, as well as the widening of the research domain for other synthetic indicators which are or will be included in the monitoring framework of the European Commission.
Transitioning from a linear economic model to a circular one is a complex and lengthy process, and Romania—in contrast with other EU member states—is at the beginning. The research results materialised in the forecasted values reveal satisfying progress for Romania when taking into account Generation of waste excluding major mineral wastes per domestic material consumption and Gross investment in tangible goods—percentage of gross domestic product (GDP), but also requiring major improvements (e.g., Recycling rate of municipal waste and Circular material use rate). Highlighting the gaps between the forecasted values for Romania and for the EU–27 average gives us the opportunity to underline the importance of nation-wide adoption of the whole legislative framework present at EU level regarding the circular economy and environmental protection, and its immediate application, of supporting eco-innovation and of the need to change the perspective of Romanian society (producer as well as consumer, authorities, NGOs, civil society) towards this new sustainable development model.
The current and especially future framework for implementing the circular economy in Romania—to which are added the business environment’s initiatives, such as sustainable business models launched by multinational companies—ensures favourable premises for sustainable development. This fact is also revealed by the results of our research, leading to a final conclusion that there are perspectives for bettering the circular model in Romania.
This study will be useful to researchers preoccupied with the issue of circularity in general, but especially to those interested in quantifying and forecasting the efficiency of circular economy models as well as of public authorities responsible for implementing circular economy measures in Romania.
Author Contributions
Conceptualization, O.D.-B., A.N. and D.N.; methodology, O.D.-B. and C.M.; validation, C.M.; formal analysis, C.M.; investigation, O.D.-B., A.N. and D.N.; writing—original draft preparation, O.D.-B., A.N. and D.N.; writing—review and editing, O.D.-B., A.N. and D.N.; supervision, O.D.-B. All authors have read and agreed to the published version of the manuscript.
Funding
This study was carried out under The Scientific research contract no. 6452 of 07.10.2021 within the University of Petroșani.
Institutional Review Board Statement
Not applicable.
Informed Consent Statement
Not applicable.
Data Availability Statement
The data presented in this study are available on request from the first author.
Conflicts of Interest
The authors declare no conflict of interest.
References
- Obrad, C.; Circa, C. Determinants of Work Engagement among Teachers in the Context of Teleworking. Amfiteatru Econ. 2021, 23, 718–735. [Google Scholar] [CrossRef]
- Moraru, R.I.; Păun, A.P.; Dura, C.C.; Dinulescu, R.; Potcovaru, A.M. Analysis of the Drivers of Occupational Health and Safety Performance Disclosures by Romanian Companies. Econ. Comput. Econ. Cybern. Stud. Res. 2020, 54, 197–214. [Google Scholar] [CrossRef]
- Kirchherr, J.; Reike, D.; Hekkert, M. Conceptualizing the Circular Economy: An Analysis of 114 Definitions. Resour. Conserv. Recycl. 2017, 127, 221–232. [Google Scholar] [CrossRef]
- Ghisellini, P.; Cialani, C.; Ulgiati, S. A Review on Circular Economy: The Expected Transition to a Balanced Interplay of Environmental and Economic Systems. J. Clean. Prod. 2016, 114, 11–32. [Google Scholar] [CrossRef]
- Murray, A.; Skene, K.; Haynes, K. The Circular Economy: An Interdisciplinary Exploration of the Concept and Application in a Global Context. J. Bus. Ethics 2017, 140, 369–380. [Google Scholar] [CrossRef]
- Ioannis, E.N.; Konstantinos, P.T. An Introduction to Circular Economy and Sustainability: Some Existing Lessons and Future Directions. Sustain. Prod. Consum. 2021, 28, 600–609. [Google Scholar] [CrossRef]
- Purva, M.; Rohit, P.; Anju, S.; Shyam, B. A Systematic Literature Review on the Circular Economy Initiatives in the European Union. Sustain. Prod. Consum. 2021, 26, 187–202. [Google Scholar] [CrossRef]
- Suárez-Eiroa, B.; Fernandez, E.; Martínez, G.M.; Soto-Oñate, D. Operational Principles of Circular Economy for Sustainable Development: Linking Theory and Practice. J. Clean. Prod. 2019, 214, 952–961. [Google Scholar] [CrossRef]
- Govindan, K.; Hasanagic, M. A Systematic Review on Drivers, Barriers, and Practices Towards Circular Economy: A Supply Chain Perspective. Int. J. Prod. Res. 2018, 56, 278–311. [Google Scholar] [CrossRef]
- Roos Lindgreen, E.; Salomone, R.; Reyes, T. A Critical Review of Academic Approaches, Methods and Tools to Assess Circular Economy at the Micro Level. Sustainability 2020, 12, 4973. [Google Scholar] [CrossRef]
- Kristensen, H.S.; Mosgaard, M.A. A Review of Micro Level Indicators for a Circular Economy–Moving Away from the Three Dimensions of Sustainability? J. Clean. Prod. 2020, 243, 118531. [Google Scholar] [CrossRef]
- Franco, M.A. Circular Economy at the Micro Level: A Dynamic View of Incumbents’ Struggles and Challenges in the Textile Industry. J. Clean. Prod. 2017, 168, 833–845. [Google Scholar] [CrossRef]
- Salvioni, D.M.; Bosetti, L.; Fornasari, T. Implementing and Monitoring Circular Business Models: An Analysis of Italian SMEs. Sustainability 2022, 14, 270. [Google Scholar] [CrossRef]
- Lanaras-Mamounis, G.; Kipritsis, A.; Tsalis, T.A.; Vatalis, K.; Nikolaou, I.E. A Framework for Assessing the Contribution of Firms to Circular Economy: A Triple-Level Approach. Circ. Econ. Sustain. 2022, 1–20. [Google Scholar] [CrossRef]
- Bressanelli, G.; Perona, M.; Saccani, N. Challenges in Supply Chain Redesign for the Circular Economy: A Literature Review and a Multiple Case Study. Int. J. Prod. Res. 2019, 57, 7395–7422. [Google Scholar] [CrossRef]
- De Lima, F.A.; Seuring, S.; Sauer, P.C. A Systematic Literature Review Exploring Uncertainty Management and Sustainability Outcomes in Circular Supply Chains. Int. J. Prod. Res. 2021, 1–34. [Google Scholar] [CrossRef]
- Lieder, M.; Rashid, A. Towards Circular Economy Implementation: A Comprehensive Review in Context of Manufacturing Industry. J. Clean. Prod. 2016, 115, 36–51. [Google Scholar] [CrossRef]
- Urbinati, A.; Rosa, P.; Sassanelli, C.; Chiaroni, D.; Terzi, S. Circular Business Models in the European Manufacturing Industry: A Multiple Case Study Analysis. J. Clean. Prod. 2020, 274, 122964. [Google Scholar] [CrossRef]
- Bressanelli, G.; Saccani, N.; Pigosso, D.C.; Perona, M. Circular Economy in the WEEE Industry: A Systematic Literature Review and a Research Agenda. Sustain. Prod. Consum. 2020, 23, 174–188. [Google Scholar] [CrossRef]
- Crovella, T.; Paiano, A.; Lagioia, G.; Cilardi, A.M.; Trotta, L. Modelling Digital Circular Economy Framework in the Agricultural Sector. An Application in Southern Italy. Eng. Proc. 2021, 9, 15. [Google Scholar] [CrossRef]
- Amato, A.; Mastrovito, M.; Becci, A.; Beolchini, F. Environmental Sustainability Analysis of Case Studies of Agriculture Residue Exploitation. Sustainability 2021, 13, 3990. [Google Scholar] [CrossRef]
- Pollard, J.; Osmani, M.; Cole, C.; Grubnic, S.; Colwill, J.; Díaz, A.I. Developing and Applying Circularity Indicators for the Electrical and Electronic Sector: A Product Lifecycle Approach. Sustainability 2022, 14, 1154. [Google Scholar] [CrossRef]
- Rossi, E.; Bertassini, A.C.; dos Santos Ferreira, C.; Neves do Amaral, W.A.; Ometto, A.R. Circular Economy Indicators for Organizations Considering Sustainability and Business Models: Plastic, Textile and Electro-Electronic Cases. J. Clean. Prod. 2020, 247, 119137. [Google Scholar] [CrossRef]
- D’Itria, E.; Colombi, C. Biobased Innovation as a Fashion and Textile Design Must: A European Perspective. Sustainability 2022, 14, 570. [Google Scholar] [CrossRef]
- Calisto Friant, M.; Lakerveld, D.; Vermeulen, W.J.V.; Salomone, R. Transition to a Sustainable Circular Plastics Economy in The Netherlands: Discourse and Policy Analysis. Sustainability 2022, 14, 190. [Google Scholar] [CrossRef]
- Velte, C.J.; Scheller, K.; Steinhilper, R. Circular Economy through Objectives—Development of a Proceeding to Understand and Shape a Circular Economy Using Value-focused Thinking. Procedia CIRP 2018, 69, 775–780. [Google Scholar] [CrossRef]
- Meseguer-Sánchez, V.; Gálvez-Sánchez, F.J.; Molina-Moreno, V.; Wandosell-Fernández-De-Bobadilla, G. The Main Research Characteristics of the Development of the Concept of the Circular Economy Concept: A Global Analysis and the Future Agenda. Front. Environ. Sci. 2021, 9, 304. [Google Scholar] [CrossRef]
- Kirchherr, J.; Piscicelli, L.; Bour, R.; Kostense-Smit, E.; Muller, J.; Huibrechtse-Truijens, A.; Hekkert, M. Barriers to the Circular Economy: Evidence from the European Union (EU). Ecol. Econ. 2018, 150, 264–272. [Google Scholar] [CrossRef]
- Tapia-Ubeda, F.J.; Isbej Muga, J.A.; Polanco-Lahoz, D.A. Greening Factor Framework Integrating Sustainability, Green Supply Chain Management, and Circular Economy: The Chilean Case. Sustainability 2021, 13, 13575. [Google Scholar] [CrossRef]
- Korhonen, J.; Nuur, C.; Feldmann, A.; Birkie, S.E. Circular Economy as an Essentially Contested Concept. J. Clean. Prod. 2018, 175, 544–552. [Google Scholar] [CrossRef]
- Elia, V.; Gnoni, M.G.; Tornese, F. Measuring Circular Economy Strategies through Index Methods: A Critical Analysis. J. Clean. Prod. 2017, 142, 2741–2751. [Google Scholar] [CrossRef]
- Yuan, Z.; Bi, J.; Moriguichi, Y. The Circular Economy: A New Development Strategy in China. J. Ind. Ecol. 2006, 10, 4–8. [Google Scholar] [CrossRef]
- European Parliament. Directive 2008/98/EC of the European Parliament and of the Council of 19 November 2008 on Waste and Repealing Certain Directives. Off. J. Eur. Union L 2008, L312, 3–30. [Google Scholar]
- Jawahir, I.S.; Bradley, R. Technological Elements of Circular Economy and the Principles of 6R-Based Closed-loop Material Flow in Sustainable Manufacturing. Procedia CIRP 2016, 40, 103–108. [Google Scholar] [CrossRef]
- Reike, D.; Vermeulen, W.J.; Witjes, S. The Circular Economy: New or Refurbished as Ce 3.0?—Exploring Controversies in the Conceptualization of the Circular Economy through a Focus on History and Resource Value Retention Options. Resour. Conserv. Recycl. 2018, 135, 246–264. [Google Scholar] [CrossRef]
- Sihvonen, S.; Ritola, T. Conceptualizing ReX for Aggregating End-of-life Strategies in Product Development. Procedia CIRP 2015, 29, 639–644. [Google Scholar] [CrossRef]
- Barnabè, F.; Nazir, S. Conceptualizing and Enabling Circular Economy through Integrated Thinking. Corp. Soc. Responsib. Environ. Manag. 2021, 29, 448–468. [Google Scholar] [CrossRef]
- Van Buren, N.; Demmers, M.; Van Der Heijden, R.; Witlox, F. Towards a Circular Economy: The Role of Dutch Logistics Industries and Governments. Sustainability 2016, 8, 647. [Google Scholar] [CrossRef]
- Moraga, G.; Huysveld, S.; Mathieux, F.; Blengini, G.A.; Alaerts, L.; Van Acker, K.; de Meester, S.; Dewulf, J. Circular Economy Indicators: What do They Measure? Resour. Conserv. Recycl. 2019, 146, 452–461. [Google Scholar] [CrossRef]
- Di Maio, F.; Rem, P.C. A Robust Indicator for Promoting Circular Economy through Recycling. J. Environ. Prot. 2015, 6, 1095–1104. [Google Scholar] [CrossRef]
- Azevedo, S.G.; Godina, R.; de Oliveira Matias, J.C. Proposal of a Sustainable Circular Index for Manufacturing Companies. Resources 2017, 6, 63. [Google Scholar] [CrossRef]
- Mayer, A.; Haas, W.; Wiedenhofer, D.; Krausmann, F.; Nuss, P.; Blengini, G.A. Measuring Progress towards a Circular Economy: A Monitoring Framework for Economy-wide Material Loop Closing in the EU28. J. Ind. Ecol. 2019, 23, 62–76. [Google Scholar] [CrossRef] [PubMed]
- Pacurariu, R.L.; Vatca, S.D.; Lakatos, E.S.; Bacali, L.; Vlad, M. A Critical Review of EU Key Indicators for the Transition to the Circular Economy. Int. J. Environ. Res. Public Health 2021, 18, 8840. [Google Scholar] [CrossRef] [PubMed]
- Heshmati, A. A Review of the Circular Economy and Its Implementation; IZA Discussion Papers, No. 9611; Institute for the Study of Labor (IZA): Bonn, Germany, 2015; Available online: https://www.inderscienceonline.com/doi/abs/10.1504/IJGE.2017.089856 (accessed on 2 April 2022).
- Saidani, M.; Yannou, B.; Leroy, Y.; Cluzel, F.; Kendall, A. A Taxonomy of Circular Economy Indicators. J. Clean. Prod. 2019, 207, 542–559. [Google Scholar] [CrossRef]
- Kasztelan, A. How Circular Are the European Economies? A Taxonomic Analysis Based on the INEC (Index of National Economies’ Circularity). Sustainability 2020, 12, 7613. [Google Scholar] [CrossRef]
- Haupt, M.; Hellweg, S. Measuring the Environmental Sustainability of a Circular Economy. Environ. Sustain. Indic. 2019, 1–2, 100005. [Google Scholar] [CrossRef]
- Sánchez-Ortiz, J.; Rodríguez-Cornejo, V.; Del Río-Sánchez, R.; García-Valderrama, T. Indicators to Measure Efficiency in Circular Economies. Sustainability 2020, 12, 4483. [Google Scholar] [CrossRef]
- Guldmann, E. Looking for the Potentials of the Circular Economy in Danish Businesses. Best Practice Examples of Circular Businee Models. Available online: https://mst.dk/service/publikationer/publikationsarkiv/2016/okt/best-practice-examples-of-circular-business-models/ (accessed on 2 April 2022).
- Lewandowski, M. Designing the Business Models for Circular Economy—Towards the Conceptual Framework. Sustainability 2016, 8, 43. [Google Scholar] [CrossRef]
- Baran, B. The Circular Economy in EU Policy as a Response to Contemporary Ecological Challenges. Gospod. Nar. Pol. J. Econ. 2019, 300, 31–51. [Google Scholar] [CrossRef]
- Busu, M.; Trica, C.L. Sustainability of Circular Economy Indicators and Their Impact on Economic Growth of the European Union. Sustainability 2019, 11, 5481. [Google Scholar] [CrossRef]
- Vermeșan, H.; Mangău, A.; Tiuc, A.-E. Perspectives of Circular Economy in Romanian Space. Sustainability 2020, 12, 6819. [Google Scholar] [CrossRef]
- Jora, O.-D.; Pătruți, A.; Iacob, M.; Șancariuc, D.-R. “Squaring the Circle”—The Disregarded Institutional Theory and the Distorted Practice of Packaging Waste Recycling in Romania. Sustainability 2020, 12, 9440. [Google Scholar] [CrossRef]
- Kyriakopoulos, G. Environmental Legislation in European and International Contexts: Legal Practices and Social Planning toward the Circular Economy. Laws 2021, 10, 3. [Google Scholar] [CrossRef]
- Škrinjarić, T. Empirical Assessment of the Circular Economy of Selected European Countries. J. Clean. Prod. 2020, 255, 120246. [Google Scholar] [CrossRef]
- Grdic, Z.S.; Nizic, M.K.; Rudan, E. Circular Economy Concept in the Context of Economic Development in EU Countries. Sustainability 2020, 12, 3060. [Google Scholar] [CrossRef]
- Dragoi, M.C.; Popescu, M.F.; Andrei, J.V.; Mieila, M. Developments of the Circular Economy in Romania under the New Sustainability Paradigm. Econ. Comput. Econ. Cybern. Stud. Res. 2018, 52, 125–138. [Google Scholar] [CrossRef]
- Trica, C.L.; Banacu, C.S.; Busu, M. Environmental Factors and Sustainability of the Circular Economy Model at the European Union Level. Sustainability 2019, 11, 1114. [Google Scholar] [CrossRef]
- Khan, S.; Haleem, A. Investigation of Circular Economy Practices in the Context of Emerging Economies: A Cocoso Approach. Int. J. Sustain. Eng. 2021, 14, 357–367. [Google Scholar] [CrossRef]
- Ji, Y.; Jin, X.; Xu, Z.; Qu, S. A Mixed 0-1 Programming Approach for Multiple Attribute Strategic Weight Manipulation Based on Uncertainty Theory. J. Intell. Fuzzy Syst. 2021, 41, 6739–6754. [Google Scholar] [CrossRef]
- Ji, Y.; Li, H.; Zhang, H. Risk-Averse Two-Stage Stochastic Minimum Cost Consensus Models with Asymmetric Adjustment Cost. Group Decis. Negot. 2022, 31, 261–291. [Google Scholar] [CrossRef]
- European Comission. Communication from the Commission to the European Parliament, the Council, the European Economic and Social Committee and the Committee of the Regions on a Monitoring Framework for the Circular Economy. Available online: https://eur-lex.europa.eu/legal-content/EN/TXT/PDF/?uri=CELEX:52018DC0029&from=EN (accessed on 21 January 2021).
- Marino, A.; Pariso, P. Comparing European Countries’ Performances in the Transition towards the Circular Economy. Sci. Total Environ. 2020, 729, 138142. [Google Scholar] [CrossRef] [PubMed]
- Rincón-Moreno, J.; Ormazábal, M.; Álvarez, M.; Jaca, C. Advancing Circular Economy Performance Indicators and Their Application in Spanish Companies. J. Clean. Prod. 2021, 279, 123605. [Google Scholar] [CrossRef]
- Stanković, J.J.; Janković-Milić, V.; Marjanović, I.; Janjić, J. An Integrated Approach of PCA and PROMETHEE in Spatial Assessment of Circular Economy Indicators. Waste Manag. 2021, 128, 154–166. [Google Scholar] [CrossRef] [PubMed]
- Vuță, M.; Vuță, M.; Enciu, A.; Cioacă, S.I. Assessment of the Circular Economy’s Impact in the EU Economic Growth. Amfiteatru Econ. 2018, 20, 248–261. [Google Scholar] [CrossRef]
- Ilic, M.P.; Rankovi´c, M.; Dobrilovi´c, M.; Bucea-Manea-Toni, R.; Mihoreanu, L.; Gheta, M.I.; Simion, V.E. Challenging Novelties within the Circular Economy Concept under the Digital Transformation of Society. Sustainability 2022, 14, 702. [Google Scholar] [CrossRef]
- Parchomenko, A.; Nelen, D.; Gillabel, J.; Rechberger, H. Measuring the Circular Economy—A Multiple Correspondence Analysis of 63 Metrics. J. Clean. Prod. 2019, 210, 200–216. [Google Scholar] [CrossRef]
- García-Barragán, J.F.; Eyckmans, J.; Rousseau, S. Defining and Measuring the Circular Economy: A Mathematical Approach. Ecol. Econ. 2019, 157, 369–372. [Google Scholar] [CrossRef]
- Lüdeke-Freund, F.; Gold, S.; Bocken, N.M.P. A Review and Typology of Circular Economy Business Model Patterns. J. Ind. Ecol. 2019, 23, 36–61. [Google Scholar] [CrossRef]
- Bocken, N.; Ritala, P. Six Ways to Build Circular Business Models. J. Bus. Strat. 2022, 43, 184–192. [Google Scholar] [CrossRef]
- Nelen, D.; Manshoven, S.; Peeters, J.R.; Vanegas, P.; D’Haese, N.; Vrancken, K. A Multidimensional Indicator Set to Assess the Benefits of WEEE Material Recycling. J. Clean. Prod. 2014, 83, 305–316. [Google Scholar] [CrossRef]
- Aranda-Usón, A.; Portillo-Tarragona, P.; Scarpellini, S.; Llena-Macarulla, F. The Progressive Adoption of a Circular Economy by Businesses for Cleaner Production: An Approach from a Regional Study in Spain. J. Clean. Prod. 2020, 247, 119648. [Google Scholar] [CrossRef]
- Mesa, J.; Esparragoza, I.; Maury, H. Developing a Set of Sustainability Indicators for Product Families Based on the Circular Economy Model. J. Clean. Prod. 2018, 196, 1429–1442. [Google Scholar] [CrossRef]
- Linder, M.; Williander, M. Circular Business Model Innovation: Inherent Uncertainties. Bus. Strat. Environ. 2015, 26, 182–196. [Google Scholar] [CrossRef]
- Tura, N.; Hanski, J.; Ahola, T.; Ståhle, M.; Piiparinen, S.; Valkokari, P. Unlocking Circular Business: A Framework of Barriers and Drivers. J. Clean. Prod. 2018, 212, 90–98. [Google Scholar] [CrossRef]
- Modoi, O.-C.; Mihai, F.-C. E-Waste and End-of-Life Vehicles Management and Circular Economy Initiatives in Romania. Energies 2022, 15, 1120. [Google Scholar] [CrossRef]
- Teodor, C.; Trica, C.L.; Ignat, R.; Dracea, R.-M. Good Practices of Efficient Packaging Waste Management. Amfiteatru Econ. 2020, 22, 937–953. [Google Scholar] [CrossRef]
- Ghinea, C.; Gavrilescu, M. Solid Waste Management for Circular Economy: Challenges and Opportunities in Romania—The Case Study of Iasi County. Green. Ind. Netw. Stud. 2018, 6, 25–60. [Google Scholar] [CrossRef]
- Mihai, F.-C.; Minea, I. Sustainable Alternative Routes versus Linear Economy and Resources Degradation in Eastern Romania. Sustainability 2021, 13, 10574. [Google Scholar] [CrossRef]
- Strat, V.A.; Teodor, C.; Săseanu, A.S. The Characterization of the Romanian Circular Economy’s Potential, at County Level. Amfiteatru Econ. 2018, 20, 278–293. [Google Scholar] [CrossRef]
- Nastase, I.A.; Negrutiu, C.; Felea, M.; Acatrinei, C.; Cepoi, A.; Istrate, A. Toward a Circular Economy in the Toy Industry: The Business Model of a Romanian Company. Sustainability 2022, 14, 22. [Google Scholar] [CrossRef]
- Gruia, R.; Florescu, G.-I.; Gaceu, L.; Oprea, O.B.; Ţane, N. Reducing Environmental Risk by Applying a Polyvalent Model of Waste Management in the Restaurant Industry. Sustainability 2021, 13, 5852. [Google Scholar] [CrossRef]
- Berechet, M.; Mirel, I.; Staniloiu, C.; Fischer, K. Carbon Footprint of Waste Management in Romania in the Context of Circular Economy. Environ. Eng. Manag. J. 2019, 18, 1289–1295. [Google Scholar] [CrossRef]
- Pintilie, N. Measuring the Progress Towards Circular Economy in European Union Countries. Bus. Excell. Manag. 2021, 11, 19–35. [Google Scholar] [CrossRef]
- Androniceanu, A.; Kinnunen, J.; Georgescu, I. Circular Economy as a Strategic Option to Promote Sustainable Economic Growth and Effective Human Development. J. Int. Stud. 2021, 14, 60–73. [Google Scholar] [CrossRef] [PubMed]
- Manea, D.I.; Istudor, N.; Dinu, V.; Paraschiv, D.M. Circular Economy and Innovative Entrepreneurship, Prerequisites for Social Progress. J. Bus. Econ. Manag. 2021, 22, 1342–1359. [Google Scholar] [CrossRef]
- Busu, C.; Busu, M. The Circular Economy Model. Case Of Romania. In Proceedings of the 12th International Management Conference “Management Perspectives in the Digital Era”, Bucharest, Romania, 1–2 November 2018; Volume 12, pp. 554–564. Available online: http://conference.management.ase.ro/archives/2018/pdf/3_19.pdf (accessed on 12 April 2022).
- Târțiu, E.; Ștefănescu, M.; Petrache, A.-M.; Gurău, R. Tranziția Către o Economie Circulară. De la Managementul Deșeurilor la o Economie Verde în România; Institutul European din România: Bucharest, Romania, 2018. Available online: http://ier.gov.ro/wp-content/uploads/2019/03/Final_Studiul-3_Spos-2018_Economie-circular%C4%83-1.pdf (accessed on 12 April 2022).
- European Commission. Available online: https://ec.europa.eu/info/strategy/priorities-2019-2024/economy-works-people/jobs-growth-and-investment/towards-circular-economy_ro (accessed on 12 April 2022).
- European Commission. Circular Economy: New Rules Will Make EU the Global Front-Runner in Waste Management and Recycling. Brussels. 22 May 2018. Available online: https://ec.europa.eu/commission/presscorner/api/files/document/print/en/ip_18_3846/IP_18_3846_EN.pdf (accessed on 12 April 2022).
- European Commission. Communication from the Commission to the European Parliament, the Council, the European Economic and Social Committee and the Committee of the Regions. A European Strategy for Plastics in a Circular Economy. Strasbourg. 16 January 2018. Available online: https://eur-lex.europa.eu/legal-content/EN/TXT/HTML/?uri=CELEX:52018DC0028&from=RO (accessed on 12 April 2022).
- Directorate for the European Union. Fact Sheet. A New Circular Economy Action Plan for a Cleaner and More Competitive Europe. Available online: http://www.cdep.ro/afaceri_europene/afeur/2020/fi_2915.pdf (accessed on 12 April 2022).
- European Commission. Communication from the Commission to the European Parliament, the Council, the European Economic and Social Committee and the Committee of the Regions. A new Circular Economy Action Plan For a cleaner and more competitive Europe. Brussels. 2020. Available online: https://eur-lex.europa.eu/legal-content/EN/TXT/?uri=CELEX:52020DC0098 (accessed on 12 April 2022).
- De Römph, T.J.; Cramer, J.M. How to Improve the EU Legal Framework in View of the Circular Economy. J. Energy Nat. Resour. Law 2020, 38, 245–260. [Google Scholar] [CrossRef]
- Zarbà, C.; Chinnici, G.; La Via, G.; Bracco, S.; Pecorino, B.; D’Amico, M. Regulatory Elements on the Circular Economy: Driving into the Agri-Food System. Sustainability 2021, 13, 8350. [Google Scholar] [CrossRef]
- Drăgoi, A.-E. Eu Legal Framework for Circular Economy- Goals and Challenges. Euroinfo 2020, 4, 65–76. Available online: https://ideas.repec.org/a/iem/eurinf/v4y2020i3p65-76.html (accessed on 12 April 2022).
- De Waal, I.M. Coherence in Law: A Way to Stimulate the Transition Towards a Circular Economy? A Critical Analysis of the European Commission’s Aspiration to Achieve Full Coherence between Chemicals Legislation and Waste Legislation—And Product Legislation. Maastricht J. Eur. Comp. Law 2021, 28, 760–783. [Google Scholar] [CrossRef]
- Norouzi, N. A Practical and Analytic View on Legal Framework of Circular Economics as One of the Recent Economic Law Insights: A Comparative Legal Study. Circ. Econ. Sustain. 2022, 1–26. [Google Scholar] [CrossRef]
- Turunen, T.; Suvantola, L.; Romppanen, S. Well Defined Is Half Solved? The Regulatory Barriers for Circular Economy Business. Nord. Environ. Law J. 2021, 1, 93–111. Available online: https://nordiskmiljoratt.se/onewebmedia/NMT2021nr1_%206_Turunen_mfl.pdf (accessed on 12 April 2022).
- Kazancoglu, I.; Sagnak, M.; Mangla, S.K.; Kazancoglu, Y. Circular Economy and the Policy: A Framework for Improving the Corporate Environmental Management in Supply Chains. Bus. Strat. Environ. 2021, 30, 590–608. [Google Scholar] [CrossRef]
- Stankevičius, A.; Novikovas, A.; Bakaveckas, A.; Petryshyn, O. EU Waste Regulation in the Context of the Circular Economy: Peculiarities of Interaction. Entrep. Sustain. Issues 2020, 8, 533–545. [Google Scholar] [CrossRef]
- European Parliamentary Research Service. Closing the Loop–New Circular Economy Package. January 2018. Available online: https://www.europarl.europa.eu/RegData/etudes/BRIE/2016/573899/EPRS_BRI%282016%29573899_EN.pdf (accessed on 8 October 2021).
- European Commission. The EU Environmental Implementation Review 2019, Country Report Romania. Brussels, 4.4.2019 SWD (2019). Available online: https://ec.europa.eu/environment/eir/pdf/report_ro_en.pdf (accessed on 8 October 2021).
- European Environmental Bureau. No Time to Waste. Brussels. October 2020. Available online: https://eeb.org/wp-content/uploads/2020/11/Member-States-delay-meeting-inevitable-targets_report.pdf (accessed on 12 October 2021).
- European Parliament. Available online: https://www.europarl.europa.eu/doceo/document/TA-9-2021-0040_RO.html#ref_1_6 (accessed on 18 October 2021).
- Ministerul Investitiilor si Proiectelor Europene. Available online: https://mfe.gov.ro/wp-content/uploads/2021/09/e6f28710212d5a2d963ba440ce587a99.pdf (accessed on 30 October 2021).
- Andrei, T.; Oancea, B.; Mirică, A.; Toma, I.E.; Herțeliu, C. Econometrie. Teorie Și Aplicații. In EViews; Editura Economică: Bucharest, Romania, 2018. [Google Scholar]
- Eurostat. Available online: https://ec.europa.eu/eurostat/cache/metadata/en/cei_pc033_esmsip2.htm (accessed on 5 October 2021).
- Eurostat. Available online: https://ec.europa.eu/eurostat/cache/metadata/en/cei_wm011_esmsip2.htm (accessed on 5 October 2021).
- Eurostat. Available online: https://ec.europa.eu/eurostat/cache/metadata/en/cei_srm030_esmsip2.htm (accessed on 5 October 2021).
- Eurostat. Available online: https://ec.europa.eu/eurostat/cache/metadata/en/cei_cie010_esmsip2.htm (accessed on 5 October 2021).
- Dura, C.; Drigă, I. The Impact of Multinational Companies from Romania on Increasing the Level of Corporate Social Responsibility Awareness. Contemp. Econ. 2017, 11, 45–66. [Google Scholar] [CrossRef][Green Version]
Publisher’s Note: MDPI stays neutral with regard to jurisdictional claims in published maps and institutional affiliations. |
© 2022 by the authors. Licensee MDPI, Basel, Switzerland. This article is an open access article distributed under the terms and conditions of the Creative Commons Attribution (CC BY) license (https://creativecommons.org/licenses/by/4.0/).









