The Role of Plant Functional Diversity in Regulating Soil Organic Carbon Stocks under Different Grazing Intensities in Temperate Grassland, China
Abstract
:1. Introduction
2. Materials and Methods
2.1. Study Area
2.2. Experimental Design
2.3. Plant and Soil Sampling
2.4. Data Analysis
2.5. Statistical Analysis
3. Results
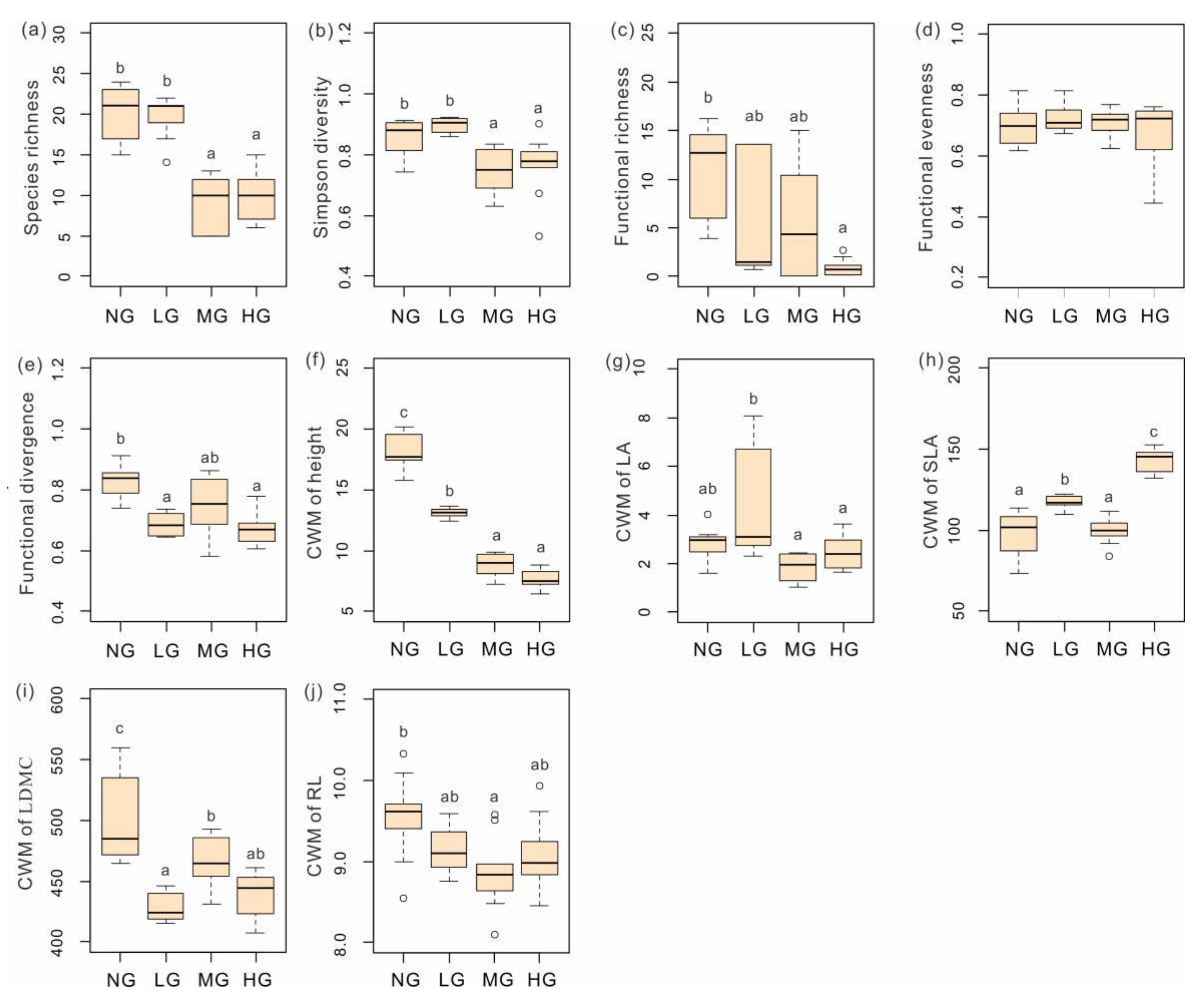
3.1. Responses of Taxonomic and Functional Indices
3.2. Responses of Soil Abiotic Properties and Soil Organic Carbon Stocks
3.3. Relationships between Functional Diversity Indices and Soil Organic Carbon Stocks
4. Discussion
4.1. Effects of Functional Diversity on Soil Carbon Stocks under Different Grazing Intensities
4.2. Implications for Sustainable Grassland Management Strategies
5. Conclusions
Supplementary Materials
Author Contributions
Funding
Institutional Review Board Statement
Informed Consent Statement
Data Availability Statement
Acknowledgments
Conflicts of Interest
References
- Tian, L.; Bai, Y.; Wang, W.; Qu, G.; Deng, Z.; Li, R.; Zhao, J. Warm- and cold- season grazing affect plant diversity and soil carbon and nitrogen sequestration differently in Tibetan alpine swamp meadows. Plant Soil 2020, 458, 151–164. [Google Scholar] [CrossRef]
- Mipam, T.D.; Chen, S.Y.; Liu, J.Q.; Miehe, G.; Tian, L.M. Short-term yak-grazing alters plant-soil stoichiometric relations in an alpine meadow on the eastern Tibetan Plateau. Plant Soil 2019, 458, 125–137. [Google Scholar] [CrossRef] [Green Version]
- Talore, D.G.; Tesfamariam, E.H.; Hassen, A.; du Toit, J.C.; Klumpp, K.; Soussana, J.-F. Long-term impacts of season of grazing on soil carbon sequestration and selected soil properties in the arid Eastern Cape, South Africa. Plant Soil 2016, 397, 317–329. [Google Scholar] [CrossRef] [Green Version]
- Mcsherry, M.; Ritchie, M.E. Effects of grazing on grassland soil carbon: A global review. Glob. Chang. Biol. 2013, 19, 1347–1357. [Google Scholar] [CrossRef] [PubMed]
- Li, M.Y.; Li, X.B.; Liu, S.Y.; Li, X.; Lyu, X.; Dang, D.L.; Dou, H.H. Ecosystem services under different grazing intensities in typical grasslands in Inner Mongolia and their relationships. Glob. Ecol. Conserv. 2021, 26, e01526. [Google Scholar] [CrossRef]
- Fan, F.; Liang, C.Z.; Tang, Y.K.; Harker-Schuch, I.; Porter, J.R. Effects and relationships of grazing intensity on multiple ecosystem services in the Inner Mongolian steppe. Sci. Total Environ. 2019, 675, 642–650. [Google Scholar] [CrossRef]
- Milchunas, D.G.; Lauenroth, W.K. Quantitative effects of grazing on vegetation and soils over a global range of environments. Ecol. Monogr. 1993, 63, 327–366. [Google Scholar] [CrossRef]
- Abdalla, M.; Hastings, A.; Chadwick, D.R.; Jones, D.L.; Evans, C.D.; Jones, M.; Rees, R.; Smith, P. Critical review of the impacts of grazing intensity on soil organic carbon storage and other soil quality indicators in extensively managed grasslands. Agric. Ecosyst. Environ. 2018, 253, 62–81. [Google Scholar] [CrossRef] [Green Version]
- Yuan, Z.Q.; Epstein, H.; Li, G.Y. Grazing exclusion did not affect soil properties in alpine meadows in the Tibetan permafrost region. Ecol. Eng. 2019, 147, 105657. [Google Scholar] [CrossRef]
- Schiedung, M.; Tregurtha, C.S.; Beare, M.H.; Thomas, S.M.; Don, A. Deep soil flipping increases carbon stocks of New Zealand grasslands. Glob. Chang. Biol. 2019, 25, 2296–2309. [Google Scholar] [CrossRef] [Green Version]
- Batjes, N.H. Harmonized soil property values for broad-scale modelling (WISE30sec) with estimates of global soil carbon stocks. Geoderma 2016, 269, 61–68. [Google Scholar] [CrossRef]
- Palandrani, C.; Alberti, G. Tree derived soil carbon is enhanced by tree species richness and functional diversity. Plant Soil 2020, 446, 457–469. [Google Scholar] [CrossRef]
- Cubasch, U.; Wuebbles, D.; Chen, D.; Facchini, M.C.; Frame, D.; Mahowald, N.; Winther, J. Introduction. In Climate Change 2013: The Physical Science Basis. Contribution of Working Group I to the Fifth Assessment Report of the Intergovernmental Panel on Climate Change; Stocker, T.F., Qin, D., Eds.; Cambridge University Press: Cambridge, UK, 2013; pp. 121–157. [Google Scholar]
- Chabala, L.M.; Angombe, S.; Amelung, W.; Lark, R.M. The effect of water deficit and livestock stocking density on soil organic carbon stocks in Namibia. Geoderma 2022, 407, 115522. [Google Scholar] [CrossRef]
- Hassan, N.; Li, X.F.; Wang, J.Y.; Zhu, H.; Nummi, P.; Wang, D.; Finke, D.; Zhong, Z. Effects of grazing on C:N:P stoichiometry attenuate from soils to plants and insect herbivores in a semi-arid grassland. Oecologia 2021, 195, 785–795. [Google Scholar] [CrossRef]
- Wang, L.; Delgado-Baquerizo, M.; Wang, D.L.; Isbell, F.; Liu, J.; Feng, C.; Liu, J.; Zhong, Z.; Zhu, H.; Yuan, X.; et al. Diversifying livestock promotes multidiversity and multifunctionality in managed grasslands. Proc. Natl. Acad. Sci. USA 2019, 116, 6187–6192. [Google Scholar] [CrossRef] [Green Version]
- Catovsky, S.; Bradford, M.A.; Hector, A. Biodiversity and ecosystem productivity: Implications for carbon storage. Oikos 2002, 97, 443–448. [Google Scholar] [CrossRef]
- Conti, G.; Díaz, S. Plant functional diversity and carbon storage–an empirical test in semi-arid forest ecosystems. J. Ecol. 2013, 101, 18–28. [Google Scholar] [CrossRef]
- Díaz, S.; Lavorel, S.; de Bello, F.; Quetier, F.; Grigulis, K.; Robson, T.M. Incorporating plant functional diversity effects in ecosystem service assessments. Proc. Natl. Acad. Sci. USA 2007, 104, 20684–20689. [Google Scholar] [CrossRef] [Green Version]
- Funk, J.L.; Larson, J.E.; Ames, G.M.; Butterfield, B.J.; Cavender-Bares, J.; Firn, J.; Laughlin, D.C.; Sutton-Grier, A.E.; Williams, L.; Wright, J. Revisiting the Holy Grail: Using plant functional traits to understand ecological processes. Biol. Rev. 2017, 92, 1156–1173. [Google Scholar] [CrossRef]
- McLean, M.; Auber, A.; Graham, N.A.J.; Houk, P.; Villeger, S.; Violle, C.; Thuiller, W.; Wilson, S.K.; Mouillot, D. Trait structure and redundancy determine sensitivity to disturbance in marine fish communities. Glob. Chang. Biol. 2019, 25, 3424–3437. [Google Scholar] [CrossRef]
- Grime, J.P. Benefits of plant diversity to ecosystems: Immediate, filter and founder effects. J. Ecol. 1998, 86, 902–910. [Google Scholar] [CrossRef]
- Buchanan, S.W.; Mafa-Attoye, T.; Dunfield, K.; Thevathasan, N.V.; Isaac, M.E. The role of plant functional traits and diversity in soil carbon dynamics within riparian agroforests. J. Environ. Qual. 2021, 51, 33–43. [Google Scholar] [CrossRef]
- Faucon, M.P.; Houben, D.; Lambers, H. Plant functional traits: Soil and ecosystem services. Trends Plant Sci. 2017, 22, 385–394. [Google Scholar] [CrossRef] [PubMed]
- Chen, X.L.; Hisano, M.; Taylor, A.R.; Chen, H.Y.H. The effects of functional diversity and identity (acquisitive versus conservative strategies) on soil carbon stocks are dependent on environmental contexts. For. Ecol. Manag. 2022, 503, 119820. [Google Scholar] [CrossRef]
- Mouchet, M.A.; Villeger, S.; Mason, N.W.H.; Mouillot, D. Functional diversity measures: An overview of their redundancy and their ability to discriminate community assembly rules. Funct. Ecol. 2010, 24, 867–876. [Google Scholar] [CrossRef]
- Tilman, D.; Knops, J.; Wedin, D.; Reich, P.; Ritchie, M.; Siemann, E. The influence of functional diversity and composition on ecosystem processes. Science 1997, 277, 1300–1302. [Google Scholar] [CrossRef] [Green Version]
- Scherer-Lorenzen, M.; Bonilla, J.L.; Potvin, C. Tree species richness affects litter production and decomposition rates in a tropical biodiversity experiment. Oikos 2007, 116, 2108–2124. [Google Scholar] [CrossRef]
- Mensah, S.; Veldtman, R.; Assogbadjo, A.E.; Kakai, R.G.; Seifert, T. Tree species diversity promotes aboveground carbon storage through functional diversity and functional dominance. Ecol. Evol. 2016, 6, 7546–7557. [Google Scholar] [CrossRef]
- Zirbel, C.R.; Bassett, T.; Grman, E.; Brudvig, L.A. Plant functional traits and environmental conditions shape community assembly and ecosystem functioning during restoration. J. Appl. Ecol. 2017, 54, 1070–1079. [Google Scholar] [CrossRef] [Green Version]
- De Deyn, G.B.; Cornelissen, J.H.C.; Bardgett, R.D. Plant functional traits and soil carbon sequestration in contrasting biomes. Ecol. Lett. 2008, 11, 516–531. [Google Scholar] [CrossRef]
- Hou, J.; Zhu, H.X.; Fu, B.J.; Lu, Y.H.; Zhou, J. Functional traits explain seasonal variation effects of plant communities on soil erosion in semiarid grasslands in the Loess Plateau of China. Catena 2020, 194, 104743. [Google Scholar] [CrossRef]
- Asanok, L.; Taweesuk, R.; Kamyo, T. Plant functional diversity is linked to carbon storage in deciduous dipterocarp forest edges in Northern Thailand. Sustainability 2021, 13, 11416. [Google Scholar] [CrossRef]
- Yang, Z.P.; Baoyin, T.; Minggagud, H.; Sun, H.P.; Li, F.Y. Recovery succession drives the convergence, and grazing versus fencing drives the divergence of plant and soil N/P stoichiometry in a semiarid steppe of Inner Mongolia. Plant Soil 2017, 420, 303–314. [Google Scholar] [CrossRef]
- Sasaki, T.; Okubo, S.; Okayasu, T.; Jamsran, U.; Ohkuro, T.; Takeuchi, K. Two–phase functional redundancy in plant communities along a grazing gradient in Mongolian rangelands. Ecology 2009, 90, 2598–2608. [Google Scholar] [CrossRef] [Green Version]
- Soil Taxonomy Research Group of Nanjing Institue of Soil Sciences. Chinese Soil Taxonomy Retrieval, 3rd ed.; University of Science and Technology of China Press: Hefei, China, 2001. [Google Scholar]
- Garnier, E.; Navas, M.L. A trait-based approach to comparative functional plant ecology: Concepts, methods and applications for agroecology. A review. Agron. Sustain. Dev. 2012, 32, 365–399. [Google Scholar] [CrossRef] [Green Version]
- Wesuls, D.; Oldeland, J.; Dray, S. Disentangling plant trait responses to livestock grazing from spatio-temporal variation: The partial RLQ approach. J. Veg. Sci. 2012, 23, 98–113. [Google Scholar] [CrossRef]
- Pérez-Harguindeguy, N.; Díaz, S.; Garnier, E.; Lavorel, S.; Poorter, H.; Jaureguiberry, P.; Bret-Harte, M.S.; Cornwell, W.K.; Craine, J.M.; Gurvich, D.E.; et al. New handbook for standardised measurement of plant functional traits worldwide. Aust. J. Bot. 2013, 61, 167–234. [Google Scholar] [CrossRef]
- Nelson, D.W.; Sommers, L.E. Total carbon, organic carbon, and organic matter. In Methods of Soil Analysis: Part 2 Chemical and Microbiological Properties; Page, A.L., Ed.; American Society of Agronomy: Madison, WI, USA, 1996; pp. 961–1010. [Google Scholar]
- Mouillot, D.; Graham, N.A.J.; Villeger, S.; Mason, N.W.H.; Bellwood, D.R. A functional approach reveals community responses to disturbances. Trends Ecol. Evol. 2013, 28, 167–177. [Google Scholar] [CrossRef]
- Grueber, C.E.; Nakagawa, S.; Laws, R.J.; Jamieson, I.G. Multimodel inference in ecology and evolution: Challenges and solutions. J. Evol. Biol. 2013, 24, 699–711. [Google Scholar] [CrossRef]
- Ren, H.; Eviner, V.T.; Gui, W.; Wilson, G.W.T.; Cobb, A.B.; Yang, G.; Zhang, Y.; Hu, S.; Bai, Y. Livestock grazing regulates ecosystem multifunctionality in semi-arid grassland. Funct. Ecol. 2018, 32, 2790–2800. [Google Scholar] [CrossRef] [Green Version]
- Hao, Y.Q.; He, Z.W. Effects of grazing patterns on grassland biomass and soil environments in China: A meta-analysis. PLoS ONE 2019, 14, e0215223. [Google Scholar] [CrossRef]
- Chillo, V.; Vazquez, D.P.; Amoroso, M.M.; Bennett, E.M. Land-use intensity indirectly affects ecosystem services mainly through plant functional identity in a temperate forest. Funct. Ecol. 2018, 32, 1390–1399. [Google Scholar] [CrossRef] [Green Version]
- Dovrat, G.; Meron, E.; Shachak, M.; Golodets, C.; Osem, Y. The relative contributions of functional diversity and functional identity to ecosystem function in water-limited environments. J. Veg. Sci. 2019, 30, 427–437. [Google Scholar] [CrossRef]
- Pereira, K.M.G.; Cordeiro, N.G.; Terra, M.C.N.S.; Pyles, M.; Cabacinha, C.D.; De Mello, J.M.; Berg, E.V.D. Protection status as determinant of carbon stock drivers in cerrado sensu stricto. J. Plant. Ecol. 2020, 13, 361–368. [Google Scholar] [CrossRef]
- Ghestem, M.; Cao, K.F.; Ma, W.Z.; Rowe, N.P.; Leclerc, R.; Gadenne, C.; Stokes, A. A framework for identifying plant species to be used as ‘ecological engineers’ for fixing soil on unstable slopes. PLoS ONE 2014, 9, e95876. [Google Scholar] [CrossRef]
- Hou, Z.F.; Lv, G.H.; Jiang, L.M. Functional diversity can predict ecosystem functions better than dominant species: The case of desert plants in the Ebinur Lake Basin. Sustainability 2021, 13, 2858. [Google Scholar] [CrossRef]
- Milla, R.; Reich, P.B. The scaling of leaf area and mass: The cost of light interception increases with leaf size. Proc. R. Soc. B 2007, 274, 2109–2114. [Google Scholar] [CrossRef] [Green Version]
- Shipley, B. Structured interspecific determinants of specific leaf area in 34 species of herbaceous. Funct. Ecol. 1995, 9, 312–319. [Google Scholar] [CrossRef]
- Niinemets, Ü.; Portsmuth, A.; Tobias, M. Leaf size modifies support biomass distribution among stems, petioles and mid-ribs in temperate plants. New Phytol. 2006, 171, 91–104. [Google Scholar] [CrossRef]
- Lavorel, S.; Grigulis, K. How fundamental plant functional trait relationships scale-up to trade-offs and synergies in ecosystem services. J. Ecol. 2012, 100, 128–140. [Google Scholar] [CrossRef]
- Potvin, C.; Mancilla, L.; Buchmann, N.; Monteza, J.; Moore, T.; Murphy, M.; Oelmann, Y.; Scherer-Lorenzen, M.; Turner, B.; Wilcke, W.; et al. An ecosystem approach to biodiversity effects: Carbon pools in a tropical tree plantation. For. Ecol. Manag. 2011, 261, 1614–1624. [Google Scholar] [CrossRef]
- Wang, S.Z.; Fan, J.W.; Li, Y.Z.; Huang, L. Effects of grazing exclusion on biomass growth and species diversity among various grassland types of the Tibetan Plateau. Sustainability 2019, 11, 1705. [Google Scholar] [CrossRef] [Green Version]
- Allan, E.; Manning, P.; Alt, F.; Binkenstein, J.; Blaser, S.; Blüthgen, N.; Böhm, S.; Grassein, F.; Hölzel, N.; Klaus, V.H.; et al. Land use intensification alters ecosystem multifunctionality via loss of biodiversity and changes to functional composition. Ecol. Lett. 2015, 18, 834–843. [Google Scholar] [CrossRef] [PubMed]





| NG | LG | MG | HG | |
|---|---|---|---|---|
| Dominant species | Stipa baicalensis | Leymus chinensis | Cleistogenes squarrosa | Carex duriuscula |
| Surface exposure (%) | 13.1 ± 4.98 | 28.1 ± 3.95 | 35.4 ± 7.37 | 40 ± 6.98 |
| Soil bulk density | 0.76 ± 0.06 | 0.78 ± 0.06 | 0.81 ± 0.07 | 0.93 ± 0.07 |
| Number of dumps (/10 m2) | 0 | 1.3 ± 0.6 | 5 ± 1 | 8.7 ± 0.6 |
| Other descriptions | No visible grazing disturbance indicator | Grazing disturbance indicators exist somewhat | Visible grazing indicators, such as dumps, exist | Vegetation cover decreased, and visible livestock increased significantly |
| Variables | PC1 (CWM1) | PC2 (CWM2) |
|---|---|---|
| CWM of height | 0.792 | 0.338 |
| CWM of LA | 0.011 | 0.955 |
| CWM of SLA | −0.771 | 0.232 |
| CWM of LDMC | 0.869 | −0.378 |
| CWM of RL | 0.651 | 0.22 |
| NG | LG | MG | HG | ||
|---|---|---|---|---|---|
| SW | 0–15 cm | 21.05 (2.67) b * | 20.04 (1.85) b | 18.4 (2.3) b | 12.4 (3.17) a |
| 15–30 cm | 21.22 (3.12) b | 19.8 (2.57) b | 18.75 (3.81) b | 10.66 (2.35) a | |
| pH | 0–15 cm | 6.86 (0.35) a * | 6.88 (0.18) a | 6.96 (0.39) a | 7.61 (0.41) b |
| 15–30 cm | 7.21 (0.55) | 7.12 (0.33) | 7.16 (0.33) | 7.7 (0.56) | |
| SOC | 0–15 cm | 30.41 (3.33) b ** | 32.84 (3.29) b *** | 15.23 (2.79) a *** | 14.02 (3.15) a *** |
| 15–30 cm | 26.43 (2.27) c | 23.29 (2.06) b | 7.91 (1.48)a | 7.93 (0.99) a | |
| STN | 0–15 cm | 2.6 (0.3) b * | 2.82 (0.22) b *** | 1.39 (0.38) a *** | 1.28 (0.38) a ** |
| 15–30 cm | 2.33 (0.33) b | 2.12 (0.08) b | 0.75 (0.09) a | 0.76 (0.05) a | |
| C:N | 0–15 cm | 11.71 (0.55) * | 11.68 (1.06) | 11.25 (1.52) | 11.29 (1.76) |
| 15–30 cm | 11.45 (1) | 11.01 (1.14) | 10.47 (0.8) | 10.46 (0.7) | |
| SOCstocks | 0–15 cm | 3474.07 (477.68) b | 3807.17 (376.04) b *** | 1854.4 (442.15) a *** | 1952.32 (480.4) a *** |
| 15–30 cm | 3157.76 (345.54) c | 2771.98 (168.59) b | 970 (221.76) a | 1143 (182.16) a |
| FDiv | FEve | FRic | CWM1 | CWM2 | df | R2 | logLik | AICc | Weight | |
|---|---|---|---|---|---|---|---|---|---|---|
| NG (n = 9) | 0.644 | 3 | 0.41 | −9.829 | 30.5 | 0.354 | ||||
| 0.383 | 3 | 0.15 | −11.526 | 33.9 | 0.065 | |||||
| LG (n = 9) | 0.709 | 3 | 0.5 | −9.095 | 29 | 0.397 | ||||
| 0.655 | 3 | 0.43 | −9.716 | 30.2 | 0.213 | |||||
| MG (n = 9) | 0.714 | 3 | 0.51 | −9.03 | 28.9 | 0.317 | ||||
| −0.711 | 3 | 0.5 | −9.077 | 29 | 0.303 | |||||
| HG (n = 9) | 0.780 | 3 | 0.61 | −8.026 | 26.9 | 0.454 | ||||
| −0.702 | 3 | 0.49 | −9.192 | 29.2 | 0.142 |
Publisher’s Note: MDPI stays neutral with regard to jurisdictional claims in published maps and institutional affiliations. |
© 2022 by the authors. Licensee MDPI, Basel, Switzerland. This article is an open access article distributed under the terms and conditions of the Creative Commons Attribution (CC BY) license (https://creativecommons.org/licenses/by/4.0/).
Share and Cite
Sheng, Z.; Du, J.; Sun, B.; Mao, J.; Zhang, Y.; Zhang, J.; Diao, Z. The Role of Plant Functional Diversity in Regulating Soil Organic Carbon Stocks under Different Grazing Intensities in Temperate Grassland, China. Sustainability 2022, 14, 4376. https://doi.org/10.3390/su14084376
Sheng Z, Du J, Sun B, Mao J, Zhang Y, Zhang J, Diao Z. The Role of Plant Functional Diversity in Regulating Soil Organic Carbon Stocks under Different Grazing Intensities in Temperate Grassland, China. Sustainability. 2022; 14(8):4376. https://doi.org/10.3390/su14084376
Chicago/Turabian StyleSheng, Zhilu, Jiaqiang Du, Bingqing Sun, Jialin Mao, Yangchengsi Zhang, Jing Zhang, and Zhaoyan Diao. 2022. "The Role of Plant Functional Diversity in Regulating Soil Organic Carbon Stocks under Different Grazing Intensities in Temperate Grassland, China" Sustainability 14, no. 8: 4376. https://doi.org/10.3390/su14084376
APA StyleSheng, Z., Du, J., Sun, B., Mao, J., Zhang, Y., Zhang, J., & Diao, Z. (2022). The Role of Plant Functional Diversity in Regulating Soil Organic Carbon Stocks under Different Grazing Intensities in Temperate Grassland, China. Sustainability, 14(8), 4376. https://doi.org/10.3390/su14084376
