Mechanical Behavior of Concrete Prepared with Waste Marble Powder
Abstract
:1. Introduction
2. Materials
2.1. Cement and Marble Powder
2.1.1. Cement
2.1.2. Artificial Waste Marble Powder
2.1.3. Original Waste Marble Powder
2.2. Fractal Geometry Model
2.2.1. Particle Distribution
2.2.2. Fractal Theory
3. Concrete with Marble Powder
3.1. Materials and Methods
3.2. Physical and Mechanical Properties
3.2.1. Density, Porosity, and Compactness
3.2.2. Compressive Strength
3.2.3. Splitting Tensile and Flexural Strength
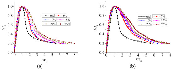
3.2.4. Stress–Strain Relation
4. Conclusions
Author Contributions
Funding
Institutional Review Board Statement
Informed Consent Statement
Data Availability Statement
Conflicts of Interest
References
- Drissi, S.; Ling, T.C.; Mo, K.H.; Eddhahak, A. A review of microencapsulated and composite phase change materials: Alteration of strength and thermal properties of cement-based materials. Renew. Sustain. Energy Rev. 2019, 110, 467–484. [Google Scholar] [CrossRef]
- Wilberforce, T.; Baroutaji, A.; Soudan, B.; Al-Alami, A.H.; Olabi, A.G. Outlook of carbon capture technology and challenges. Sci. Total Environ. 2019, 657, 56–72. [Google Scholar] [CrossRef] [PubMed] [Green Version]
- Duan, H.; Miller, T.R.; Liu, G.; Tam, V.W.Y. Construction debris becomes growing concerns of growing cities. Waste Manag. 2019, 83, 1–5. [Google Scholar] [CrossRef] [PubMed]
- Meng, Y.; Ling, T.C.; Mo, K.H.; Tian, W. Enhancement of high temperature performance of cement blocks via CO2 curing. Sci. Total Environ. 2019, 671, 827–837. [Google Scholar] [CrossRef]
- Kumar, V.V.P.; Prasad, D.R. Influence of supplementary cementitious materials on strength and durability characteristics of concrete. Adv. Concr. Constr. 2019, 7, 75–85. [Google Scholar] [CrossRef]
- Ashish, D.K.; Verma, S.K. Determination of optimum mixture design method for self-compacting concrete: Validation of method with experimental results. Constr. Build. Mater. 2019, 217, 664–678. [Google Scholar] [CrossRef]
- Ashish, D.K.; Verma, S.K. Cementing Efficiency of Flash and Rotary-Calcined Metakaolin in Concrete. J. Mater. Civ. Eng. 2019, 31, 04019307. [Google Scholar] [CrossRef]
- Luukkonen, T.; Abdollahnejad, Z.; Yliniemi, J.; Kinnunen, P.; Illikainen, M. Comparison of alkali and silica sources in one-part alkali-activated blast furnace slag mortar. J. Clean. Prod. 2018, 187, 171–179. [Google Scholar] [CrossRef]
- Ashish, D.K. Concrete made with waste marble powder and supplementary cementitious material for sustainable development. J. Clean. Prod. 2019, 211, 716–729. [Google Scholar] [CrossRef]
- Suman, K.A.; Deepankar, K.A.; Zymantas, R. Expanded glass as light-weight aggregate in concrete–A review. J. Clean. Prod. 2021, 313, 127848. [Google Scholar] [CrossRef]
- Uygunoglu, T.; Topcu, I.B.; Celik, A.G. Use of waste marble and recycled aggregates in self-compacting concrete for environmental sustainability. Clean. Prod. 2014, 84, 691–700. [Google Scholar] [CrossRef]
- Khan, A.J.; Qureshi, L.A.; Khan, M.N.A.; Gul, A.; Umar, M.; Manan, A.; Badrashi, Y.I.; Abbas, A.; Javed, U.; Farooq, R. Axial Compressive Behavior of Reinforced Concrete (RC) Columns Incorporating Multi-Walled Carbon Nanotubes and Marble Powder. Crystals 2021, 11, 247. [Google Scholar] [CrossRef]
- Alyamac, K.E.; Ghafari, E.; Ince, R. Development of eco-efficient self-compacting concrete with waste marble powder using the response surface method. J. Clean. Prod. 2016, 144, 192–202. [Google Scholar] [CrossRef]
- Corinaldesi, V.; Moriconi, G.; Naik, T.R. Characterization of marble powder for its use in mortar and concrete. Constr. Build. Mater. 2010, 24, 113–117. [Google Scholar] [CrossRef]
- Singh, M.; Choudhary, K.; Srivastava, A.; Sangwan, K.S.; Bhunia, D. A study on environmental and economic impacts of using waste marble powder in concrete. J. Build. Eng. 2017, 13, 87–95. [Google Scholar] [CrossRef]
- Aliabdo, A.A.; Elmoaty, A.M.A.; Auda, E.M. Re-use of waste marble dust in the production of cement and concrete. Constr. Build. Mater. 2014, 50, 28–41. [Google Scholar] [CrossRef]
- Kumar, V.; Singla, S.; Garg, R. Strength and microstructure correlation of binary cement blends in presence of waste marble powder. Mater. Today Proc. 2021, 43, 857–862. [Google Scholar] [CrossRef]
- Sadek, D.M.; El-Attar, M.M.; Ali, H.A. Reusing of marble and granite powders in self-compacting concrete for sustainable development. J. Clean. Prod. 2016, 121, 19–32. [Google Scholar] [CrossRef]
- Tennich, M.; Ouezdou, M.B.; Kallel, A. Behavior of self-compacting concrete made with marble and tile wastes exposed to external sulfate attack. Constr. Build. Mater. 2017, 135, 335–342. [Google Scholar] [CrossRef]
- Gulden, C.U.; Turhan, B.; Recep, A. Durability properties of concrete produced by marble waste as aggregate or mineral additives. Procedia Eng. 2016, 161, 543–548. [Google Scholar] [CrossRef] [Green Version]
- Rodrigues, R.; de Brito, J.; Sardinha, M. Mechanical properties of structural concrete containing very fine aggregates from marble cutting sludge. Constr. Build. Mater. 2015, 77, 349–356. [Google Scholar] [CrossRef]
- Boukhelkhal, A.; Azzouz, L.; Belaidi, A.S.E.; Benabed, B. Effects of marble powder as a partial replacement of cement on some engineering properties of self-compacting concrete. J. Adhes. Sci. Technol. 2016, 30, 2405–2419. [Google Scholar] [CrossRef]
- Tennich, M.; Kallel, A.; Ouezdou, M.B. Incorporation of fillers from marble and tile wastes in the composition of self-compacting concretes. Constr. Build. Mater. 2015, 91, 65–70. [Google Scholar] [CrossRef]
- Shamsabadi, E.A.; Roshan, N.; Hadigheh, S.A.; Nehdi, M.L.; Khodabakhshian, A.; Ghalehnovi, M. Machine learning-based compressive strength modelling of concrete incorporating waste marble powder. Constr. Build. Mater. 2022, 324, 126592. [Google Scholar] [CrossRef]
- Karimipour, A.; Jahangir, H.; Eidgahee, D.R. A thorough study on the effect of red mud, granite, limestone and marble slurry powder on the strengths of steel fibres-reinforced self-consolidation concrete: Experimental and numerical prediction. J. Build. Eng. 2021, 44, 103398. [Google Scholar] [CrossRef]
- GB/T 50081-2002; Standard for Test Method of Mechanical Properties on Ordinary Concrete [S]. National Standards of the People’s Republic of China. Ministry of Construction of the PRC: Beijing, China, 2003.










| ρd/gcm−3 | SSA/m2∙kg−1 | P/% | Setting Time/min | Flexural Strength/MPa | Compressive Strength/MPa | |||
|---|---|---|---|---|---|---|---|---|
| Initial | Final | 3d | 28d | 3d | 28d | |||
| 3.11 | 327 | 27.6 | 158 | 208 | 5.4 | 7.4 | 26.3 | 43.3 |
| SiO2 | Al2O3 | Fe2O3 | CaO | MgO | SO3 | LOI |
|---|---|---|---|---|---|---|
| 21.8 | 5.2 | 3.4 | 66.3 | 1.4 | 1.99 | 2.76 |
| ρd/g∙cm−3 | SSA/m2∙kg−1 | d(4,3)/μm | d(3,2)/μm | d/μm | n | De/μm | ||||
|---|---|---|---|---|---|---|---|---|---|---|
| d10 | d50 | d90 | d97 | |||||||
| AMP | 2.61 | 772 | 6.42 | 2.10 | 0.86 | 3.50 | 17.42 | 24.28 | 0.95 | 5.90 |
| C | O | Ca | Mg | Cl | Al | Na |
|---|---|---|---|---|---|---|
| 31.25 | 47.77 | 17.67 | 1.65 | 0.63 | 0.38 | 0.62 |
| ρd/g∙cm−3 | SSA/m2∙kg−1 | d(4,3)/μm | d(3,2)/μm | d/μm | n | De/μm | ||||
|---|---|---|---|---|---|---|---|---|---|---|
| d10 | d50 | d90 | d97 | |||||||
| AMP | 2.70 | 685 | 9.27 | 2.29 | 0.96 | 5.53 | 23.41 | 31.50 | 0.91 | 9.04 |
| Fe2O3 | MgO | CaO | TiO2 | Al2O3 | SiO2 | K2O | Na2O | Loss |
|---|---|---|---|---|---|---|---|---|
| 0.004 | 9.311 | 46.437 | 0.099 | 0.042 | 0.019 | 0.053 | 0.125 | 43.22 |
| Item | 3-D | D | R2 |
|---|---|---|---|
| C | 0.601 | 2.399 | 0.989 |
| AMP | 0.675 | 2.325 | 0.887 |
| OMP | 0.659 | 2.341 | 0.936 |
| Gradation (mm) | Bulk Density (kg/m3) | Apparent Density (kg/m3) | Mud Content (%) | Water Absorption (%) | Crush Index (%) |
|---|---|---|---|---|---|
| 5~25 | 1460 | 2717 | 0.98 | 0.7 | 11 |
| Apparent Density /kg·m−3 | Bulk Density /kg·m−3 | Fineness Modulus | Sediment Percentage/% |
|---|---|---|---|
| 2781 | 1420 | 2.7 | 1.4 |
| Item | γ/% | Specimen | W/C | Materials Per Volume (kg/m3) | ||||
|---|---|---|---|---|---|---|---|---|
| Water | Cement | Marble | Sand | Aggregate | ||||
| M0 | 0 | 0 | 0.55 | 190 | 345.47 | 0 | 651.93 | 1212.6 |
| AMP | 5 | AMP-1 | 0.58 | 190 | 328.20 | 17.27 | 651.93 | 1212.6 |
| 10 | AMP-2 | 0.61 | 190 | 310.92 | 34.55 | 651.93 | 1212.6 | |
| 15 | AMP-3 | 0.65 | 190 | 293.65 | 51.82 | 651.93 | 1212.6 | |
| 20 | AMP-4 | 0.69 | 190 | 276.38 | 69.09 | 651.93 | 1212.6 | |
| 25 | AMP-5 | 0.73 | 190 | 259.10 | 86.37 | 651.93 | 1212.6 | |
| OMP | 5 | OMP-1 | 0.58 | 190 | 328.20 | 17.27 | 651.93 | 1212.6 |
| 10 | OMP-2 | 0.61 | 190 | 310.92 | 34.55 | 651.93 | 1212.6 | |
| 15 | OMP-3 | 0.65 | 190 | 293.65 | 51.82 | 651.93 | 1212.6 | |
| 20 | OMP-4 | 0.69 | 190 | 276.38 | 69.09 | 651.93 | 1212.6 | |
| 25 | OMP-5 | 0.73 | 190 | 259.10 | 86.37 | 651.93 | 1212.6 | |
| Item | γ/% | Compressive Strength (MPa) | |||
|---|---|---|---|---|---|
| 3 d | 7 d | 14 d | 28 d | ||
| M0 | 0 | 23.8 | 29.8 | 33.1 | 35.0 |
| AMP | 5 | 23.8 | 29.5 | 32.7 | 34.7 |
| 10 | 22.5 | 28.0 | 29.0 | 32.8 | |
| 15 | 21.6 | 25.1 | 27.1 | 30.5 | |
| 20 | 15.1 | 18.9 | 21.4 | 22.9 | |
| 25 | 16.4 | 19.0 | 20.1 | 21.6 | |
| OMP | 5 | 22.1 | 28.3 | 31.4 | 34.3 |
| 10 | 22.2 | 28.3 | 32.5 | 35.4 | |
| 15 | 20.3 | 26.0 | 30.9 | 32.0 | |
| 20 | 18.8 | 22.9 | 26.2 | 29.9 | |
| 25 | 17.0 | 20.9 | 24.4 | 27.6 | |
| Item | Replacement Ratio | |||||
|---|---|---|---|---|---|---|
| 5% | 10% | 15% | 20% | 25% | ||
| AMP | 15.72 | 11.71 | 9.50 | 8.90 | 5.53 | |
| 26.52 | 21.27 | 18.36 | 16.61 | 11.43 | ||
| 1.69 | 1.82 | 1.93 | 1.87 | 2.07 | ||
| OMP | 15.23 | 14.59 | 14.50 | 13.66 | 10.23 | |
| 27.44 | 27.03 | 27.58 | 27.75 | 21.42 | ||
| 1.80 | 1.85 | 1.90 | 2.03 | 2.09 | ||
Publisher’s Note: MDPI stays neutral with regard to jurisdictional claims in published maps and institutional affiliations. |
© 2022 by the authors. Licensee MDPI, Basel, Switzerland. This article is an open access article distributed under the terms and conditions of the Creative Commons Attribution (CC BY) license (https://creativecommons.org/licenses/by/4.0/).
Share and Cite
Wang, Y.; Xiao, J.; Zhang, J.; Duan, Z. Mechanical Behavior of Concrete Prepared with Waste Marble Powder. Sustainability 2022, 14, 4170. https://doi.org/10.3390/su14074170
Wang Y, Xiao J, Zhang J, Duan Z. Mechanical Behavior of Concrete Prepared with Waste Marble Powder. Sustainability. 2022; 14(7):4170. https://doi.org/10.3390/su14074170
Chicago/Turabian StyleWang, Yumei, Jianzhuang Xiao, Jintuan Zhang, and Zhenhua Duan. 2022. "Mechanical Behavior of Concrete Prepared with Waste Marble Powder" Sustainability 14, no. 7: 4170. https://doi.org/10.3390/su14074170
APA StyleWang, Y., Xiao, J., Zhang, J., & Duan, Z. (2022). Mechanical Behavior of Concrete Prepared with Waste Marble Powder. Sustainability, 14(7), 4170. https://doi.org/10.3390/su14074170

