Optimization of Solidification and Stabilization Efficiency of Heavy Metal Contaminated Sediment Based on Response Surface Methodology
Abstract
1. Introduction
2. Materials and Methods
2.1. Materials
2.2. Experimental Design
2.3. Detection and Analysis
2.4. Modeling by Response Surface Method
3. Results
3.1. The Effect of Cement on the Solidification/Stabilization of Sediment
3.2. Effect of TMT on Heavy Metal Stabilization
3.3. Response Surface Test Results
3.3.1. Relationship between Test Conditions, Compressive Strength, and Leaching Concentration of Heavy Metals
3.3.2. Interaction Analysis of Each Factor
3.3.3. Optimal Ratio and Verification Experiment
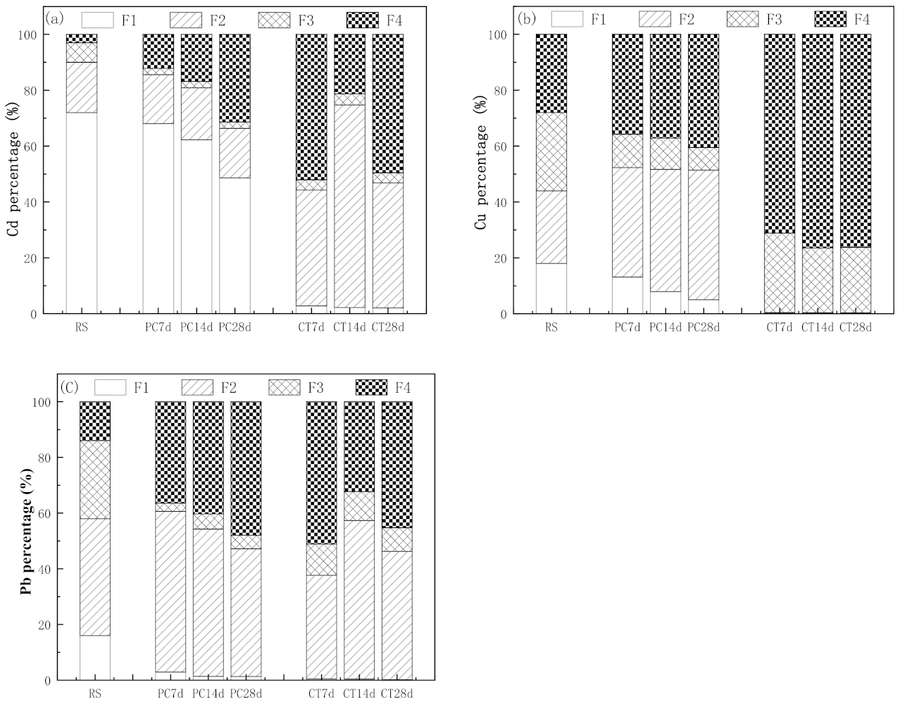
3.4. Heavy Metal Fractionation
4. Conclusions
Author Contributions
Funding
Institutional Review Board Statement
Informed Consent Statement
Data Availability Statement
Conflicts of Interest
References
- Waye, K.P.; Clow, A.; Edwards, S.; Hucklebridge, F.; Rylander, R. Effects of nighttime low frequency noise on the cortisol response to awakening and subjective sleep quality. Life Sci. 2003, 72, 863–875. [Google Scholar] [CrossRef]
- Olivares-Rieumont, S.; de la Rosa, D.; Lima, L.; Graham, D.W.; D’Alessandro, K.; Borroto, J.; Martínez, F.; Sánchez, J. Assessment of heavy metal levels in Almendares River sediments—Havana City, Cuba. Water Res. 2005, 39, 3945–3953. [Google Scholar] [CrossRef] [PubMed]
- Yang, Z.; Wang, D.; Li, G. Investigation and assessment on pollution status of heavy metal in sediment of Baiyangdian Lake. J. Agric. Univ. Hebei 2005, 5, 20–26. [Google Scholar]
- Guney, M.; Akimzhanova, Z.; Kumisbek, A.; Kismelyeva, S.; Guney, A.; Karaca, F.; Inglezakis, V. Assessment of distribution of potentially toxic elements in different environmental media impacted by a former chlor-alkali plant. Sustainability 2021, 13, 3829. [Google Scholar] [CrossRef]
- Zhao, M.; Liu, H.; Wang, W.J.; Tian, T.; Peng, X.; Wu, Y. Pollution Situation of Dredged Sediment and Treatment Technology. J. Salt Chem. Ind. 2016, 45, 1–7. [Google Scholar]
- Carolin, C.F.; Kumar, P.S.; Saravanan, A.; Joshiba, G.J.; Naushad, M. Efficient techniques for the removal of toxic heavy metals from aquatic environment: A review. J. Environ. Chem. Eng. 2017, 5, 2782–2799. [Google Scholar] [CrossRef]
- Reddy, V.A.; Solanki, C.H.; Kumar, S.; Reddy, K.R.; Du, Y.-J. Stabilization/solidification of Zinc-and lead-contaminated soil using limestone calcined clay cement (LC3): An environmentally friendly alternative. Sustainability 2020, 12, 3725. [Google Scholar] [CrossRef]
- Yang, K.; Tao, H.; Li, F.; Gu, Z. Influences of Mixed Chloride Salt on Cement Solidification and River Sediment Stabilization. Water Purif. Technol. 2018, 37, 116–121. [Google Scholar]
- Wang, Y.; Tang, J.; Li, Z. Strength and leaching behavior of heavy metal contaminated sludge solidified/stabilized by compound binders. Environ. Res. 2021, 197, 111053. [Google Scholar] [CrossRef]
- Song, Y.; Zhang, X.; Liu, M.; Li, H.; Dong, H.; Wang, P.; Ding, W.; Liu, P. Research on the Stabilization of Heavy Metals in Municipal Solid Waste Incineration Fly Ash. Guangdong Chem. Ind. 2019, 46, 24–25. (In Chinese) [Google Scholar]
- Liao, D.; Wang, Z.; Guo, J.; Wang, X.; Chen, Z. Treatment of desulfurization wastewater with TMT and performance analysis on the precipitates. Therm. Power Gener. 2016, 45, 122–127. [Google Scholar] [CrossRef]
- Liu, L.; Wang, L.; Su, S.; Yang, T.; Dai, Z.; Qing, M.; Xu, K.; Hu, S.; Wang, Y.; Xiang, J. Leaching behavior of vanadium from spent SCR catalyst and its immobilization in cement-based solidification/stabilization with sulfurizing agent. Fuel 2019, 243, 406–412. [Google Scholar] [CrossRef]
- Ma, W.; Chen, D.; Pan, M.; Gu, T.; Zhong, L.; Chen, G.; Yan, B.; Cheng, Z. Performance of chemical chelating agent stabilization and cement solidification on heavy metals in MSWI fly ash: A comparative study. J. Environ. Manag. 2019, 247, 169–177. [Google Scholar] [CrossRef]
- Wan, Q. Distribution characteristics and risk assessment of heavy metals and organophosphorus flame retardants in electronic waste dismantling workshop. Master’s Thesis, Shanghai Second Polytechnic University, Shanghai, China, May 2021. (In Chinese). [Google Scholar]
- Rauret, G.; López-Sánchez, J.F.; Sahuquillo, A.; Rubio, R.; Davidson, C.; Ure, A.; Quevauviller, P. Improvement of the BCR three steps sequential extraction procedure prior to the certification of new sediment and soil reference materials. J. Environ. Monit. 1999, 1, 57–61. [Google Scholar] [CrossRef]
- Wang, X.; Yang, N.; Masahiko, M.; Yoshihiko, O. Studies on reactions of Cd2+ in soil fixed by cement using electron spin probe. Acta Sci. Circumstantiae 2000, 20, 528–532. [Google Scholar]
- Zhang, F.; Zhang, J.; Xiao, M.; Ma, J.; Wang, L. Optimization of catalytic ozonation dimethyl phthalate wastewater treatment with response surface methodology. Environ. Pollut. Control 2017, 39, 1092–1096. (In Chinese) [Google Scholar] [CrossRef]
- Chen, H.E. Study on effect of organic matter on cement reinforcing soft soil. Chin. J. Rock Mech. Eng. 2005, 24, 5816–5821. (In Chinese) [Google Scholar]
- Belebchouche, C.; Moussaceb, K.; Tahakourt, A.; Aït-Mokhtar, A. Parameters controlling the release of hazardous waste (Ni2+, Pb2+ and Cr3+) solidified/stabilized by cement-CEM I. Mater. Struct. 2015, 48, 2323–2338. [Google Scholar] [CrossRef]
- Bao, J.; Wang, L.; Xiao, M. Changes in speciation and leaching behaviors of heavy metals in dredged sediment solidified/stabilized with various materials. Environ. Sci. Pollut. Res. 2016, 23, 8294–8301. [Google Scholar] [CrossRef]
- Weng, H.X.; Shen, Z.Y.; Chen, J.Y.; Zhang, X.M.; Zhong, G.L. Approach to effective species of heavy metals in coastal surficial sediments. Chin. J. Geol. 2002, 37, 243–252. [Google Scholar]
- Shon, C.-S.; Estakhri, C.K.; Lee, D.; Zhang, D. Evaluating feasibility of modified drilling waste materials in flexible base course construction. Constr. Build. Mater. 2016, 116, 79–86. [Google Scholar] [CrossRef][Green Version]





| Heavy Metal | Cd | Pb | Cu |
|---|---|---|---|
| Raw sediments | 0.280 | 21.50 | 68.25 |
| Polluted sediments | 120 | 1755 | 2941 |
| Background values 1 | 0.750 | 22.60 | 55.90 |
| Coded Value | −1.414 | −1 | 0 | 1 | 1.414 |
|---|---|---|---|---|---|
| Cement dosages/A (%) | 40.17 | 41.00 | 43.00 | 45.00 | 45.83 |
| TMT dosages/B (%) | 1.72 | 1.80 | 2.00 | 2.20 | 2.28 |
| Regression Equation | p | PLOF | R2 | R2Adj |
|---|---|---|---|---|
| UCS = −55.24 + 1.90A + 15.70B – 0.03AB – 0.02A2 – 3.71B2 | 0.0001 | 0.9836 | 0.9588 | 0.9293 |
| CCd = 17.85 – 0.41A – 7.83B + 0.0069AB + 1.73B2 | <0.0001 | 0.3486 | 0.9678 | 0.9447 |
| CCu = 0.27 – 0.0019A – 0.08B | 0.0002 | 0.789 | 0.8132 | 0.7759 |
| CPb = 42.97 – 1.56A – 7.74B + 0.12AB + 0.01A2 | 0.0009 | 0.1726 | 0.9231 | 0.8682 |
| Items | UCS (Mpa) | Leaching Concentration (mg/L) | ||
|---|---|---|---|---|
| Cd | Cu | Pb | ||
| Predicted results | 1.928 | 0.060 | 0.021 | 0.135 |
| Experimental results | 2.070 | 0.094 | 0.031 | 0.173 |
| Target limit | 2.000 | 0.15 | 40 | 0.250 |
Publisher’s Note: MDPI stays neutral with regard to jurisdictional claims in published maps and institutional affiliations. |
© 2022 by the authors. Licensee MDPI, Basel, Switzerland. This article is an open access article distributed under the terms and conditions of the Creative Commons Attribution (CC BY) license (https://creativecommons.org/licenses/by/4.0/).
Share and Cite
Yang, Y.; Li, M.; Sun, Y.; Gao, H.; Mao, L.; Zhang, H.; Tao, H. Optimization of Solidification and Stabilization Efficiency of Heavy Metal Contaminated Sediment Based on Response Surface Methodology. Sustainability 2022, 14, 3306. https://doi.org/10.3390/su14063306
Yang Y, Li M, Sun Y, Gao H, Mao L, Zhang H, Tao H. Optimization of Solidification and Stabilization Efficiency of Heavy Metal Contaminated Sediment Based on Response Surface Methodology. Sustainability. 2022; 14(6):3306. https://doi.org/10.3390/su14063306
Chicago/Turabian StyleYang, Yang, Moting Li, Yan Sun, Huimin Gao, Lingchen Mao, He Zhang, and Hong Tao. 2022. "Optimization of Solidification and Stabilization Efficiency of Heavy Metal Contaminated Sediment Based on Response Surface Methodology" Sustainability 14, no. 6: 3306. https://doi.org/10.3390/su14063306
APA StyleYang, Y., Li, M., Sun, Y., Gao, H., Mao, L., Zhang, H., & Tao, H. (2022). Optimization of Solidification and Stabilization Efficiency of Heavy Metal Contaminated Sediment Based on Response Surface Methodology. Sustainability, 14(6), 3306. https://doi.org/10.3390/su14063306
