Next Article in Journal
Assessing the Contribution of Innovative Technologies to Sustainable Development for Planning and Decision-Making Processes: A Set of Indicators to Describe the Performance of Sustainable Urban Infrastructures (ISI)
Next Article in Special Issue
Investigation into Influence of Wall Roughness on the Hydraulic Characteristics of an Axial Flow Pump as Turbine
Previous Article in Journal
Food Waste, Attitudes and Preferences of Young Females: A Case Study in Saudi Arabia
Previous Article in Special Issue
Roadmap to Profitability for a Speed-Controlled Micro-Hydro Storage System Using Pumps as Turbines
 
 
Font Type:
Arial Georgia Verdana
Font Size:
Aa Aa Aa
Line Spacing:
Column Width:
Background:
Article

Analytical Implementation and Prediction of Hydraulic Characteristics for a Francis Turbine Runner Operated at BEP

1
School of Mechanical Engineering, Nanjing Institute of Technology, Nanjing 211167, China
2
Department of Civil Engineering, University of Toronto, Toronto, ON M5S 1A4, Canada
3
College of Water Conservancy and Hydropower Engineering, Hohai University, Nanjing 210098, China
*
Author to whom correspondence should be addressed.
Sustainability 2022, 14(4), 1965; https://doi.org/10.3390/su14041965
Submission received: 4 December 2021 / Revised: 30 January 2022 / Accepted: 2 February 2022 / Published: 9 February 2022

Abstract

:
The extensive investigation and profound understanding of the hydraulic characteristics of the Francis turbine are crucial to ensure a safe and stable hydraulic system. Especially, predicting the runner’s hydraulic efficiency with high fidelity is mandatory at the early stage of a new hydropower project. For these purposes, the current technologies mainly include experimentation and CFD simulation. Both methods generally have the demerits of a long period, massive investment and high requirements for supercomputers. In this work, an analytical solution is therefore introduced in order to predict the internal flow field and working performance of the runner while the Francis turbine operates at the best efficiency point (BEP). This approach, based on differential-geometry theory and the kinematics of ideal fluid, discretizes the blade channel by several spatial streamlines. Then, the dynamic parameters of these streamlines are determined in a curved-surface coordinate system, including velocity components, flow angles, Eulerian energy and pressure differences across the blade. Additionally, velocity components are converted from the spatial-velocity triangle to the Cartesian coordinate system, and the absolute-velocity vectors as well as the streamlines are subsequently derived. A validation of this approach is then presented. The analytical solution of hydraulic efficiency shows good agreement with the experimental value and simulation result. Additionally, the distributions of pressure differences over the blade, velocity and Eulerian energy are well predicted with respect to the CFD results. Finally, the discrepancy and distribution of the dynamic parameters are discussed.

1. Introduction

The current global energy system is experiencing an optimization process and aims to increase its use of clean energy, including solar, wind, nuclear, hydro and other renewables. However, this system consisting of diverse energy sources is apt to trigger swings in the power grid. In this case, hydropower, which is superior in terms of rapid startup and shutdown as well as in its effective regulation of power quality, has long had a crucial role in stabilizing the power system.
The runner of a turbine serves as the core of the hydro-energy conversion. It directly determines the stability of the hydraulic system and further obliquely affects the robustness of the electric system. It is thereby essential to optimize the runner-design process and predict its working performance, particularly at the early stage of a hydropower project. For this purpose, experiments [1,2] and CFD simulations [3,4,5] are the two widely used technologies. However, satisfactory results require high-end instruments such as Particle Image Velocimetry [6,7], Laser Doppler Velocimetry [8,9] or Remote Sensing Survey. Likewise, accurate CFD results impose high demands on supercomputers. Consequently, the mathematical-analysis method seems a preferable alternative for overcoming these shortcomings. However, the relevant analytical methods to date have mainly been used for the runner’s inverse design [10,11,12,13] and seldom for solving the runner’s internal characteristics [14].
In this ambit, a few studies focused on the direct design of centrifugal pump and its flow analysis [15,16]. By extension, the flow on the stream surface (S1) was converted to a 2D Cartesian coordinate system by conformal transformation. The flow around the cascade was further described by equations of integral form, based on which the relative velocity on the blade surface was derived [17]. In their work, a discrepancy arose between calculations and measurements, presumably attributable to both ignoring the effects of blade shape on the flow and to the unsatisfied momentum equation in the blade channel [18]. This method was later improved with a direct and inverse iteration, and distributions of the relative and meridian velocities were obtained by solving continuity and momentum equations with the streamline-curvature method [19,20].
As for the analytical method in turbines, most studies have only focused on the flow patterns at the runner’s inlet and outlet, particularly on their velocity triangles [21,22]. On the meridional plane, the blade of the pump-turbine was discretized and the distributions of Eulerian energy were deduced by a direct and inverse method [23]. Therein, a surface coordinate was first established on the S1 stream surface of a pump turbine. This decisive step implies the importance of describing flow patterns in the S1-surface coordinate system. Additionally, some relevant technologies have been reported. For instance, spherical coordinates associated with the conformal-transformation method were adopted to investigate the flow in a tubular turbine. The results revealed the relationship between guide-vane opening and the flow at the vane outlet [24]. Then, the runner blade was discretized in spherical coordinates and further designed with the help of cylindrical coordinates [25]. Special attention has also been dedicated to the mathematical models describing swirling flow in the turbomachinery [26] and downstream of the runner [27,28]. Then, the helical flow pattern was described by the partial differential function (PDF) of the stream function. This PDF can be solved by converting it to constrained variational problems or under simplified conditions, and then validated by the finite-element method [29,30].
Most of these studies tried to determine the direct and inverse design of reaction runners. Few of them obtained the hydraulic characteristics and internal flow field under ideal cases or by the virtue of measurements. Herein, an analytical approach based on the classic runner-design method is introduced, named the analytical method of characteristics (AMOC). This approach focuses on predicting the internal and external characteristics of a Francis turbine without performing extra tests or finite-element simulations; only the runner configuration and its operational parameters are required. In this study, a calculation procedure is performed at the BEP under incompressible and inviscid-flow conditions. This analytical work aims to accurately and effectively predict the optimal hydraulic efficiency and flow field in an existing runner, to quantitatively analyze the energy conversion on the blade and to reveal the pressure difference across the blade.
The paper is organized as follows: Section 2 presents the main procedures of the AMOC approach, with detailed steps in Appendix A. Section 3 takes the form of a case study of a Francis turbine, describing the corresponding results and its validation by the help of the finite-volume method. Section 4 contains conclusions and outlooks.

2. AMOC Methodology Implementation

2.1. Basic Assumptions

A mathematical model describing the flow in the blade channel is justifiably crucial to analytically determine the runner characteristics. Indeed, real flow is complicated due to its kinematics, dynamics and thermodynamics or even their interactions. In order to simplify this issue and effectively implement the AMOC, some hypotheses are listed as follows:
  • The liquid is inviscid, single-phase and incompressible.
  • The flow field in the runner is only subject to kinematics and described based on monistic theory, namely the velocity at a certain point is determined only by the streamwise distance from the origin of a streamline.
  • The fluid flows smoothly in the blade channel, i.e., the relative velocity component is aligned with the local tangential direction of the relative spatial streamline.

2.2. Implementation Procedures

The implementation procedure of the AMOC approach is illustrated in Figure 1. This approach is based on the well-known classical-design theory of radial-axial turbine runners under incompressible and inviscid-flow conditions. The three-dimensional runner configuration, particularly the spatial blade channel, is discretized and projected onto the meridional plane. Closely following this, spatial streamlines are formed by the interaction of the blade and the stream surface. Then fluid kinematic relationships are constructed for each streamline and later the kinematic parameters are solved.
Furthermore, the flow at the blade-channel inlet is irrotational, with uniform radial and tangential velocity components. However, at the outlet of the channel, a uniform axial-velocity profile is considered. A blade-blockage factor is introduced in order to account for the effects of blade thickness. Some parameters are initially input in order to perform this approach, including:
  • A model of the runner and the main geometry of the blade, such as wooden figures.
  • Meridional channel geometry, such as the crown, band, and blade leading-edge and trailing-edge curves.
  • The operational parameters at the BEP, such as available unit speed, head, and discharge.
Finally, the approach outputs several spatial streamlines and their relevant parameters including the velocity components, Eulerian energy, absolute flow angle, relative flow angle, runner’s hydraulic efficiency and pressure difference over the blade.
The general descriptions of Figure 1 are presented as follows with additional details on the derivation shown in Appendix A.

2.2.1. Coordinate Transformation

Meridian projection and surface mapping are performed in this section. Geometries described in a Cartesian system are converted into a curved coordinate system by virtue of the stream surface (S1) and the blade-chamber surface (S2). Detailed deviations can be found in Appendix A.1. The coordination operations are defined by Equations (A1)–(A4).

2.2.2. Generatrix of Flow Section and Meridional Velocity

The cross section of the flow in the blade channel is perpendicular to the S1 stream surface by the classical design theory of radial-axial turbine runners. Its intersection with the meridian plane generates the so-called generatrix, which can be geometrically acquired by inserting inscribed circles in the blade channel. As shown in Figure A3, one generatrix, the arc AB ^ derived from Equation (A5), rotates round the Z-axis to form the flow cross section. Then the meridional velocity is computed in Appendix A.2.

2.2.3. Streamline Cluster Generation

Meridional streamlines discretize the flow channel into several passages, with each passage conveying the same discharge. These meridional streamlines (SL) and ten relative spatial streamlines (SSL) are derived by the steps in Appendix A.3.
Appendix A.4 elaborates the steps to determine the relative flow angle at each node on the spatial streamlines. Then, with the known meridional velocity of the SL, the corresponding meridional velocity on the SSL is derived in Appendix A.5. Blockage effects due to the blade thickness are taken into account by Equations (A15) and (A16).
Using the above procedures, all of the parameters with which to further implement the AMOC are obtained, including the revised meridional velocity Vm, the relative flow angle βi and the blockage factor 1/ki at each node on the SSL.
By recalling the Law of sines and Law of cosines, the velocity components are derived from Equations (A17) to (A21).
Afterwards, the Eulerian energy at each node on the SSL is quantified as:
E U i = U i V U i
where EUi denotes the Eulerian energy at node i.
Recalling the fundamental equation of a hydraulic turbine defined as the integral form [28]:
S 1 ( ω r b 1 V U b 1 ) ρ V m b 1 d S 1 S 2 ( ω r b 2 V U b 2 ) ρ V m b 2 d S 2 = ( ρ Q ) ( g H ) η
where S1 and S2, respectively, denote the cross sections upstream and downstream of the runner.
This equation defines the change in flux of the moment of momentum along both the streamwise and spanwise directions. According to the second assumption in Section 2.1, this equation is integrated as:
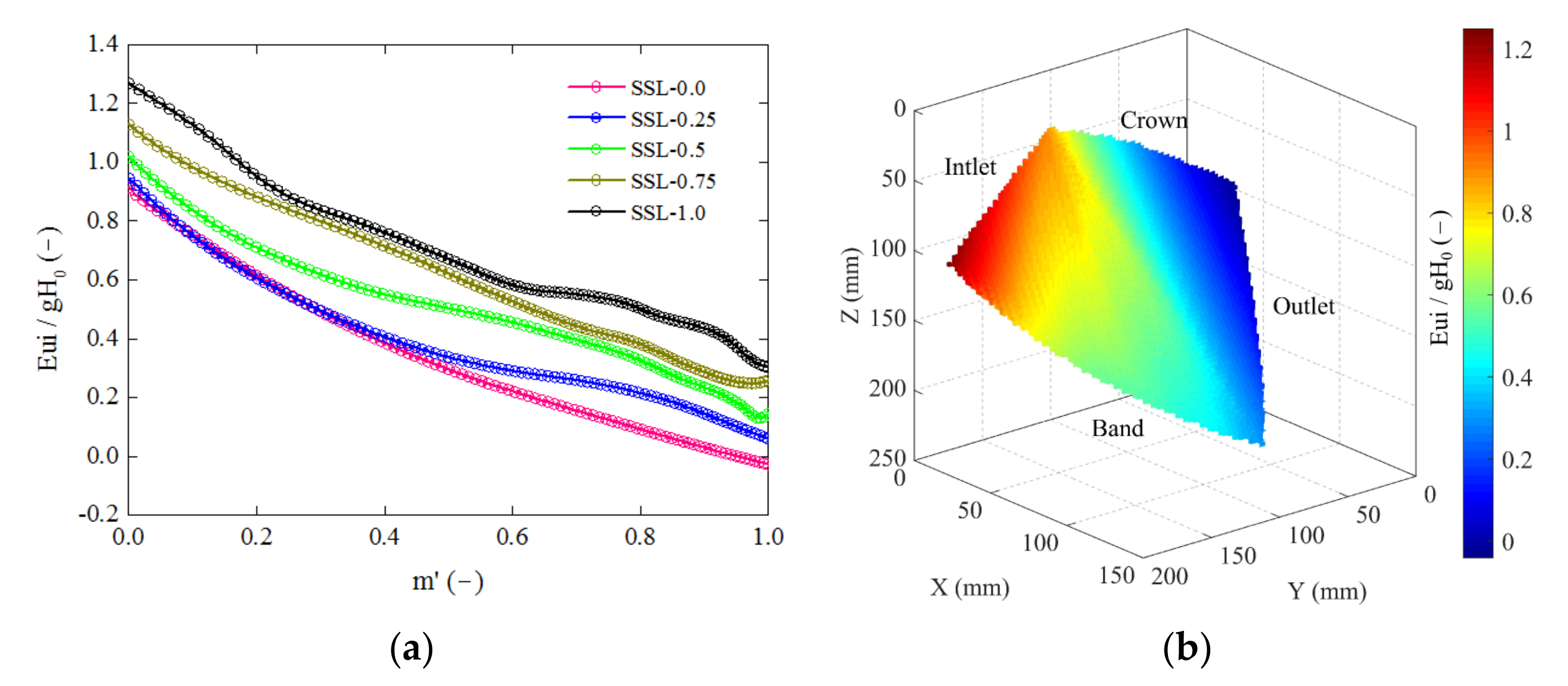
γ g Q 0 ( E U b 1 E U b 2 ) = γ Q 0 H 0 η r 0
then, the runner hydraulic efficiency can be computed where, γ is the liquid unit weight and g is the gravity acceleration. EUb1 and EUb2 separately denote Eulerian energies at the blade inlet and outlet. H0 is the rated head and ηr0 is the runner’s hydraulic efficiency at the BEP as computed by the AMOC.
Figure A5 shows the discretization of the blade inlet and outlet, as well as the notation of each subsection. With the length-weighted method, the Eulerian energy in Equation (3) is therefore replaced by the average value, quantified as:
E U b 1 ¯ = J = 1 9 ξ b 1 J E U b 1 J + E U b 1 ( J + 1 ) 2
where
ξ b 1 J = L b 1 J J = 1 9 L b 1 J
E U b 2 ¯ = J = 1 9 ξ b 2 J E U b 2 J + E U b 2 ( J + 1 ) 2
where
ξ b 2 J = L b 2 J J = 1 9 L b 2 J
where J denotes the ordinal of the SSL. J = 1, 2, …, 9 due to ten SSLs derived here as shown in Figure A4. The subscript b1 and b2 denote blade inlet and outlet separately. E U ¯ denotes the length-averaged Eulerian energy. EUJ denotes the Eulerian energy on the Jth SSL. LJ denotes the length of the subsection. ξJ denotes the weighted factor of each segment.

2.3. Transformation of Velocity Component

The velocity components are converted from velocity triangles to the Cartesian system by vector operation and coordinate operation in Appendix B. Then, the absolute streamlines are derived by interpolation and extrapolation.

3. Case Study and Results Discussion

3.1. Basic Parameters of Runner Model

This AMOC procedure was performed on a Francis turbine model (A858a-36.6) with an X-shaped blade that was conceptualized and developed by Prof. Hermod [31,32]. A prototype of this model serves at the Three Gorges right bank station. Corresponding runner and blade illustrations are separately presented in Figure 2 and Figure 3. The main dimensions of this model and its operational parameters at the BEP are tabulated in Table 1. The X-blade runner features a twisted blade and a negative angle at the inlet in order to reduce the cross flow in the blade channel [32]. These features make the second and third assumptions more reasonable.

3.2. Validation and Result Analyses

With respect to the same turbine model, the results predicted by the AMOC approach were evaluated by experimental data and using the CFD software ANSYS Fluent 19.2. In the numerical simulation, the three-dimensional model and flow passage are illustrated in Figure 4. This system consisted of the spiral case, guide vanes, runner and draft tube. A grid with two million elements was employed to the whole domain. Then, the Navier–Stokes equations coupled with the k-ε turbulence model were solved in the steady state. A total head of 30 m was prescribed at the system inlet, and an average static pressure of 0 Pa was used at the system outlet. This simulation configuration has been widely used in the field of hydraulic turbomachines. Simulation results have shown good agreement with experiments [10,33], at least at the BEP. A ThinkPad laptop T460p was used to perform the simulation, and it took almost twelve hours to get satisfactory results for one operation point.

3.2.1. Time Consumption and Turbine Hydraulic Efficiency

By performing the AMOC, the whole implementation process consumed around two hours to obtain all of the desired results using an identical laptop. From this point, the time consumption of AMOC was 1/6 of the CFD calculation. Here, the efforts of 3D modeling were not taken into account, let alone the various cases throughout the whole operation range.
Part of the data report obtained at the blade inlet and outlet after running the AMOC is listed in Table 2, including various components of the velocity triangles, Eulerian energy, the length of each subsection and the optimal hydraulic efficiency computed from Equation (1) to Equation (5). That is,
η r 0 = ( E U b 1 ¯ E U b 2 ¯ ) / g / H 0 = ( 305.507 26.846 ) / 9.81 / 30 = 0.9469
This turbine model was tested by the Harbin electrical-machine factory in China. The main results used to validate the analytical approach are shown in Table 3 [34]. The optimal efficiency derived from the test was 94.63%. This value in the runner hill chart is 94.7% as illustrated in Figure 5 [35]. Moreover, the optimal hydraulic efficiency of the runner predicted by the Navier–Stokes solver is 94.57%. The efficiency value computed by the different methods are compared in Table 4. The relative errors are calculated, and these minor discrepancies quantitatively validate that the AMOC enables the accurate prediction of the runner’s optimal hydraulic efficiency. Admittedly, the experimental value of the efficiency was calculated between the cross sections upstream of the runner and downstream of the runner, and this value takes into account the hydraulic efficiency, the mechanical efficiency and the volumetric efficiency, respectively, whereas the analytical approach in this paper predicts only the hydraulic efficiency from the blade inlet towards the outlet. At the BEP, the mechanical and volumetric loss is negligible, which leads to a good agreement between the experimental and the analytical approaches.

3.2.2. Velocity Distribution in Blade Channel

By data processing and velocity conversion, many more visual illustrations are presented. Figure 6 shows both the vector and scalar of the absolute velocity along the SSLs. Additionally, the absolute streamlines are partially plotted in the left figure by blue lines. It is evident that the radial flow gradually transfers to the axial direction due to the blade configuration. The meridional velocity correspondingly tends to perform in the same manner along the SSL. The runner additionally rotates clockwise. Therefore, the direction of absolute velocity evolves, namely being horizontal to the right at the blade inlet and inclined downwards at the outlet, as demonstrated by the blue lines in Figure 6a. This pattern greatly depends on the runner configuration and indeed, the flow features here coincide with the turbine at medium specific speed. Meanwhile, the length of the red arrows represents the magnitude of absolute velocity. Its streamwise evolution implies that the velocity smoothly decreases, which agrees well with the distribution of the velocity scalar in Figure 6b. Due to the effects of circumferential velocity, the maximum and minimum values separately emerge at the inlet near the band and at the outlet adjacent to the crown. These locations would possibly suffer from large stress, thereby inducing flow separation and other elusive hydraulic turbulence. Overall, in this section, the velocity distributions from the AMOC feature smooth transitions, which is justifiably rational at the BEP.
Additionally, the Navier–Stokes solver provides the absolute velocity and Eulerian energy distributing on a certain S2 surface, as shown in Figure 7. To further aid in the assessment of the results, the runner crown and the band are superimposed onto the flow fields. There is good agreement in the velocity distribution, as evidenced in Figure 6b and Figure 7a. The absolute velocity in Figure 7a smoothly evolves from the blade’s leading edge towards the trailing edge in the same manner as shown in Figure 6. Therefore, the main flow features and velocity magnitude are well approximated by the AMOC approach, and the S2 surface is basically divided into three parts: red, green and blue. Their boundaries, to some extent, coincide with the blade’s leading and trailing edges. This implies the feature of the X-shaped blade, namely less cross flow from the crown to the band.

3.2.3. Eulerian Energy in Blade Channel

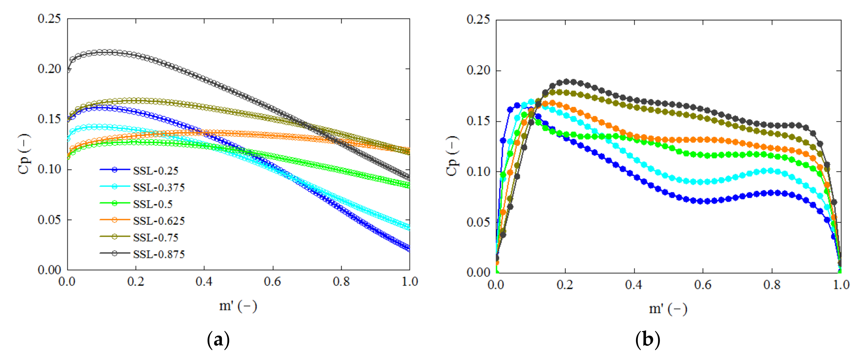
In the (m, θ) curved coordinate system, the length of the SSL projection on the m-axis and gH0 are used to normalize the coordinate and Eulerian energy, respectively, of each point on the corresponding SSL. Figure 8a displays the resultant distribution of the dimensionless Eulerian energy on five spatial streamlines. The contour of this energy on the S2 surface is illustrated in Figure 8b. Obviously, Eulerian energy shows both a spanwise ascent and a streamwise descent trend. On the other hand, the fluid potential energy is converted to mechanical energy by pushing the runner. This process is reflected in the figures as the Eulerian energy declines from the blade inlet towards the outlet. Hence, the slope of the curves in Figure 8a can be regarded as a criterion to define the local ability of energy conversion. This ability is proportional to the absolute value of the specific slope. By extension, a larger absolute value corresponds to the steep decline of the curve, triggering more energy conversion. Therefore, the corresponding location on the blade works more efficiently. As for the five curves in the figure, the gradient varies with the streamwise position. In a similar manner, it can be inferred that the whole blade surface converts energy unevenly, as seen in the color map in Figure 8b. This non-uniform energy transition affects the runner performance from a micro perspective and, in turn, provides a decisive step in the runner optimization, design and manufacturing process. Additionally, the right figure schematically highlights two special locations of maximal and minimal Eulerian energy, showing the same behavior as the absolute velocity in Figure 6b, and the energy value is observed to be close to zero on the outlet curve. This happens to coincide with the absence of residual momentum downstream of the runner in the optimal case. Similar distribution patterns can be found between Figure 7b and Figure 8b. Due to the high dimensional interpolation required to obtain Figure 8b, the shape of the S2 surface is slightly changed. The general contour distribution is still in accord with the Fluent results.

3.2.4. Pressure Difference over the Blade

The pressure difference over the blade is related to the meridional velocity and the meridional derivative of the velocity moment, expressed as [10,36]:
p + p = 2 π ρ N V m ( r V U ) m
where p+ and p separately denote the static pressure on the pressure surface and the suction surface of the blade.
The coefficient of pressure difference is defined as:
C p = p + p ρ g H 0
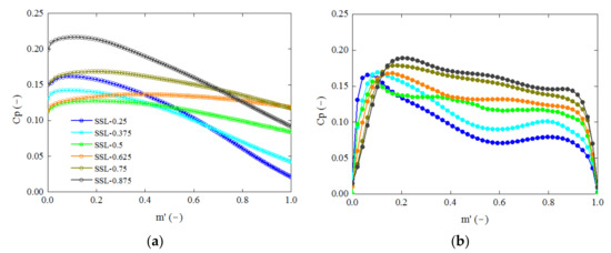
Consequently, the pressure difference at each node can be calculated using the corresponding revised meridional velocity and the circumferential component of absolute velocity, especially when the real blade thickness is taken into account. As a result, the coefficient of pressure difference across the blade is presented in Figure 9. As expressed by Equation (7), the pressure difference is proportional to the revised meridional velocity and to the derivative of the tangential velocity moment. These two parameters are larger towards the band. Therefore, the pressure difference theoretically increases in the spanwise direction. An overall agreement is observed between the AMOC approach and the Fluent results, though some noticeable discrepancies arise. This may be attributed to the hypotheses, errors during interpolation and the simplifications of this model. In this ambit, the treatment by degenerating the real blade into an S2 surface perhaps had the largest impact, since the AMOC calculates the pressure difference along a spatial streamline, while this value is obtained from the pressure surface and suction surface in the Navier–Stokes solver.
In Figure 9a, the spanwise Cp distribution seems to be chaotic due to the shape of the spatially twisted blade, while the streamwise distribution basically declines. During the first half chord, namely 0 < m’ < 0.5, most of the load was applied to the region adjacent to both the crown and the band, whereas the medium region was subjected to less load. On the contrary, the liquid load mainly worked on the downstream region near the band for 0.5 < m’ < 1. This coincides with the higher Eulerian energy near the lower part at the blade outlet, as shown in Figure 7b and Figure 8b. It is notable that on the edge of the blade outlet (m′ = 1) the pressure difference is slightly away from zero. This is probably attributed to the enlarged turbulence by the blade-channel vortex and to the outlet residual circulation, which ensured a preferable wake flow and further, a higher runner efficiency. In such a case, the flow pattern leaving the blade fails to meet the Kutta–Joukowski condition. In addition, when Cp reaches the peak value, the corresponding velocity difference over the blade also becomes the largest. The flow is likely to separate from the blade surface, and this separation can be arithmetically predicted by the definition of stagnation enthalpy in rotational machinery. This scenario will be quantitatively analyzed in the future work combining CFD technology. In summary, the Cp distribution mainly depends on the blade geometry and flow pattern in the blade channel. By calculating this value, the specific load distribution can be obtained, and the local energy conversion ability on the blade can be clearly evaluated.

4. Conclusions and Outlook

This paper predicted the characteristics of a Francis turbine operated at the BEP by an analytical approach, the AMOC. Implementations of this method were based on differential-geometry theory and the kinematics of ideal fluid, as well as the monistic theory, which was proposed decades ago but is relatively simple and can be efficiently performed. All of these merits make the monistic theory justifiably popular in mathematical models and analytical solutions.
By performing the AMOC procedures, the blade channel was discretized using the spatial relative streamlines, then the relevant hydraulic parameters were calculated, including velocity components, flow angles, Eulerian energy and the pressure difference across the blade. The runner’s optimal hydraulic efficiency was further derived from the Eulerian energy. An arithmetical procedure was proposed to convert the velocity components from the spatial-velocity triangle to the Cartesian coordinate system. The resultant distributions revealed the dynamic evolution of the absolute-velocity vector, magnitude and streamline from the blade inlet to the outlet. Correspondingly, the Eulerian energy was distributed with a similar pattern, and its streamline gradient can represent the energy-conversion ability of the blade. Moreover, the pressure difference derived from flow dynamics elucidates the loading on a blade surface, especially for an X-shaped blade. Herein, most of the loading clusters were near both the crown and the band on the first half of blade, whereas regions near the band dominantly suffered from liquid loading on the downstream half.
The results from the AMOC were compared both to the model test and to the Navier–Stokes solution by the optimal hydraulic efficiency, the absolute velocity, the Eulerian energy and the pressure distribution across the blade. The analytical efficiency value was 94.69%, showing good agreement with the test and numerical simulation. A relevant minor discrepancy and similar flow patterns implied that the proposed AMOC can reliably predict the internal flow field and hydraulic efficiency of a Francis turbine at the BEP. The approach represents a key step towards runner design and selection with short duration and high efficiency.
The basic assumptions of this approach, i.e., inviscid fluid smoothly flowing through the blade channel, hardly deteriorated the precision of predicting the hydraulic efficiency. This satisfactory result is probably attributed to using the length-weighted-average method to calculate the Eulerian energy at the blade inlet and outlet. The uneven energy distribution was therefore cancelled out. Furthermore, the predicted pressure difference at the blade outlet generally coincided with the real conditions despite a slight deviation from the theoretical value. This phenomenon may benefit from a compensation for viscosity and backflow by introducing a blade-blockage factor, or from an induced pressure gradient by the residual circulation at the blade outlet.
One possible improvement to this AMOC approach would be to obtain a better prediction of the pressure difference, especially in the region near the blade inlet. In the AMOC approach, the blade degenerated to a smooth stream surface. However, the blade shape near the leading edge had a large curvature due to better dynamic characteristics. Therefore, it is in fact possible to carefully deal with the region adjacent to the blade’s leading edge.

5. Patents

Yu Chen, Jianxu Zhou, Wenqing Jiang, et al. Calculation methodology and system of the best efficiency for a hydraulic reaction runner: China, ZL201810870576.1[P]. 21 April 2020.

Author Contributions

Conceptualization, methodology, computation, visualization, writing-original draft, Y.C.; methodology, resources, supervision, writing-review and editing, J.Z. (Jianxu Zhou) and B.K.; formal analysis, validation, writing-review, Q.G.; funding acquisition, J.Z. (Jianxu Zhou) and J.Z. (Jian Zhang). All authors have read and agreed to the published version of the manuscript.

Funding

This research was funded by the National Natural Science Foundation of China, grant number 51879087, 51839008, by the High-education Natural Science Foundation of Jiangsu Province, grant number 21KJB570001, and by the Research Foundation for High-level Talents of NJIT, grant number YKJ202131.

Institutional Review Board Statement

Not Applicable.

Informed Consent Statement

Not Applicable.

Data Availability Statement

Not Applicable.

Acknowledgments

The authors would like to thank the support by the China Scholarship Council and the Harbin electrical machine factory in China.

Conflicts of Interest

The authors declare no conflict of interest.

Appendix A

Appendix A.1. Coordinate Transformation

Two definitions are introduced firstly, the stream surface (S1) and the blade chamber surface (S2). S1 is a rotational symmetric surface such as the trumpet-shaped light-green face in Figure A1. It defines the flow trajectory in the channel without a blade from the radial to the axial direction. S2 is identical to the real blade surface when the runner has an infinite number of infinitely thin blades, such as the purple face in Figure A1. Meanwhile, S2 can be composed of the chamber lines of the spanwise blade cascade. Therefore, S2 is named the blade-chamber surface. In Figure A1, a curved coordinate system (m, θ) located on the S1 surface is established. The θ–axis denotes the azimuthal direction on the horizontal plane, while the m-axis denotes the generatrix line of the S1 surface on the vertical plane. The spatial relative streamline (SSL), which is the intersection of S1 and S2, is marked as the red curve in Figure A1. Node coordinates on this streamline are therefore converted from a Cartesian system to the (m, θ) system, expressed as:
r i 2 = x i 2 + y i 2
z i = z i
m i = m i 1 + ( Δ z i 2 + Δ r i 2 ) 0.5 / r i
θ i = atan x i y i atan x 0 y 0
where i denotes the ith node on the SSL. (xi, yi, zi) denotes the coordinates of the ith node in the Cartesian system. (mi, θi) denotes the coordinates of the ith node in the curved system. (x0, y0) are the coordinates of the SSL origin. Δzi = zizi−1 is the axial interval of the adjacent nodes. Δri = riri−1 is the radial interval of the adjacent nodes.
Figure A1. Blade-chamber surface, stream surface and their meridian projection.
Figure A1. Blade-chamber surface, stream surface and their meridian projection.
Sustainability 14 01965 g0a1
Figure A2. Generatrix of flow cross section in blade channel.
Figure A2. Generatrix of flow cross section in blade channel.
Sustainability 14 01965 g0a2

Appendix A.2. Generatrix of Flow Section and Meridional Velocity

In the meridional plane in Figure A2, an inscribed circle tangents to both the crown and the band with tangency points A and B. OA and OB denote the radius of the circle with the center O. Then, the generatrix can be equivalent to the arc AB ^ , which is tangent to the radius OA and OB, respectively, on points A and B. Its length can be calculated by the following empirical formula:
AB = 2 3 ( AB ¯ + OA ¯ )
where OA ¯ is the radius value and AB ¯ is the chord length.
Then, the arc AB ^ rotates around the Z-axis to obtain the flow cross section. Its area S and meridian velocity Vm are subsequently computed:
S = 2 π DE ¯ AB
V m = Q 0 / S
where line OC is perpendicular to the chord AB. Point D is located on 1/3 of the line OC, and the length CD ¯ = 1 / 3 OC ¯ . Q0 denotes the discharge at the BEP.

Appendix A.3. Streamline Cluster Generation

The meridional channel is discretized by the meridional streamlines. An example of the medium streamline, named SL-0.5, is presented in Figure A3. It divides the channel into two parts. The coordinates of point F, which are the intersection of generatrix AB ^ and SL-0.5, can be derived by the following equations. Equations (A8)–(A10) are established by geometrical features and Formula (A11) defines the same discharge passing arc AF ^ and arc FB ^ .
( z F z O ) 2 + ( r F r O ) 2 = R 2
( z F z A ) 2 + ( r F r A ) 2 = R 2 + R 2 2 R 2 cos γ 1
( z F z B ) 2 + ( r F r B ) 2 = R 2 + R 2 2 R 2 cos γ 2
R γ 1 2 π r F + r A 2 = R γ 2 2 π r F + r B 2
where (r, z) with different subscripts denotes the coordinates of corresponding points. O is the center of arc AB ^ . R denotes its radius. γ 1 and γ 2 denote the radian angle of A O F and B O F .
With various inscribed circles in the meridional channel, a series of intersection points are obtained, which then make up the streamline SL-0.5. In the same manner, SL-0.25 is produced, thereby evenly dividing the region between SL-0.5 and the crown. Likewise, SL-0.75 halves the channel between SL-0.5 and the band.
Subsequently, the S1 stream surface is established by rotating the meridional streamline around the Z-axis. Meanwhile, the S2 surface is defined by the centers of incircles and their tangency points in the wooden blade figures. The resultant relative spatial streamline is then generated by intersecting the S1 and S2 surfaces, named SSL-No., where the No. coincides with the number of the SL. Finally, ten SSLs including the crown and the band are illustrated in Figure A4. They represent ideal flow trajectories on the blade surface. Additionally, the origins and endpoints of these lines are separately located on the blade’s leading edge and trailing edge.
Figure A3. Sketch of meridional streamline.
Figure A3. Sketch of meridional streamline.
Sustainability 14 01965 g0a3
Figure A4. Sketch of spatial relative streamline.
Figure A4. Sketch of spatial relative streamline.
Sustainability 14 01965 g0a4

Appendix A.4. Relative Flow Angle

Figure A5 shows the projection of the (m, θ) coordinates, velocity triangle and spatial streamline onto a plane. The spatial streamline is evenly divided into n segments in order to further discretize the spatial flow field. According to the third assumption, the relative flow angle (β) in Figure A5a at each node can be derived from interpolating the angles between the local tangent and the horizontal direction. Considering different positions of the node, three scenarios are presented as follows, and the corresponding schematic of the flow angle is shown in Figure A5b–d, respectively.
i = 1
tan β 1 = τ 2 m 2 m 1 θ 2 θ 1 τ 3 m 3 m 1 θ 3 θ 1
τ 2 = θ 3 θ 1 θ 2 θ 1
τ 3 = θ 3 θ 2 θ 2 θ 1
2 i n
tan β i = τ i m i m i 1 θ i θ i 1 + τ i + 1 m i + 1 m i θ i + 1 θ i
τ i = θ i + 1 θ i θ i + 1 θ i 1
τ i + 1 = θ i θ i 1 θ i + 1 θ i 1
i = n + 1
tan β n + 1 = τ n m n + 1 m n θ n + 1 θ n τ n 1 m n + 1 m n 1 θ n + 1 θ n 1
τ n = θ n + 1 θ n 1 θ n θ n 1
τ n 1 = θ n + 1 θ n θ n θ n 1
where βi denotes the relative flow angle at the ith node and τi denotes the interpolating coefficient.
Figure A5. Velocity triangle and flow angle at different locations on SSL: (a) velocity triangle; (b) origin of streamline; (c) endpoint of streamline; (d) medium positions.
Figure A5. Velocity triangle and flow angle at different locations on SSL: (a) velocity triangle; (b) origin of streamline; (c) endpoint of streamline; (d) medium positions.
Sustainability 14 01965 g0a5

Appendix A.5. Meridional Velocity at SSL Nodes and Effects of Blade Thickness

It is notable that the SL is the meridional projection of the corresponding SSL, so they have identical m-axial components. Additionally, Equation (A7) defines the distribution of Vm on SL. Therefore, based on the (m, Vm) pairs on the SL, Vm at each node on the SSL is subsequently interpolated.
In addition, blade thickness, to some extent, blocks the flow passage, changing the velocity’s magnitude and direction. Herein, the AMOC is only concerned with its effect on magnitude, while the flow direction is kept aligned with the SSL and the blocked flow passage is subjected to the unchanged discharge, which is expressed by:
S 2 π r i V m i = S ( 2 π r i N e i ) V m i
where ri denotes the radius of the ith node. N denotes the blade number. ei denotes the corresponding thickness derived from diameter of the incircles in the wooden blade figure. Vm denotes the revised meridional velocity at node i. Then the blockage factor, accounting for the thickness effect, is defined as:
1 k i = V m i V m i = 2 π r i N e i 2 π r i

Appendix A.6. Velocity Triangle

According to the resolved parameters, each component in the velocity triangle at every node can be computed. By extension, in the triangle sketched in Figure A5a, the circumferential velocity component is:
U i = r i ω = r i 2 π n 0 60
where ω is the angular speed and n0 is the rated rotation speed.
By recalling the Law of sines, the relative velocity is:
W i = V m i sin β i = k i V m i sin β i
With the Law of cosines in the velocity triangle, the velocity components and flow angles satisfy the following equations:
V i 2 = U i 2 + W i 2 2 U i W i cos β i
W i 2 = U i 2 + V i 2 2 U i V i cos α i
Thus, the absolute velocity Vi and the corresponding absolute flow angle αi can be calculated. Then, Vi is projected in the circumferential direction as:
V U i = V i cos α i
where VUi denotes the tangential component of Vi at node i.

Appendix B

Transformation of Velocity Component

To obtain the absolute streamline through each node, the absolute velocity should be decomposed in the Cartesian coordinate system into three components, VX, VY and VZ. Specific decomposition is shown in Figure A6, and the positive direction of each component coincides with the coordinate axis.
Any two adjacent nodes on the SSL are designated as F i ( x i , y i , z i ) and F i + 1 ( x i + 1 , y i + 1 , z i + 1 ). The projection of F i + 1 onto the Z-axis is F i + 1 (0, 0, z i + 1 ). Then, the two vectors can be expressed by coordinates:
F i F i + 1 = ( x i + 1 x i , y i + 1 y i , z i + 1 z i )
F i + 1 F i + 1 = ( x i + 1 , y i + 1 , 0 )
Due to the segment F i + 1 F i + 1 acting as the radius of the dotted circle line in Figure A6, it is known that F i + 1 F i + 1 U and F i + 1 F i + 1 V Z . That is, F i + 1 F i + 1 is the normal vector of the plane formed by U and VZ. Recalling the vector operation:
F i F i + 1 F i + 1 F i + 1 = | F i F i + 1 | | F i + 1 F i + 1 | cos γ 3
where γ 3 is the angle between vector F i F i + 1 and F i + 1 F i + 1 .
By introducing coordinate values of each vector, the Equation (A24) is elaborated as:
x i + 1 ( x i + 1 x i ) y i + 1 ( y i + 1 y i ) = [ ( x i + 1 x i ) 2 + ( y i + 1 y i ) 2 + ( z i + 1 z i ) 2 ] 0.5 ( x i + 1 2 + y i + 1 2 ) 0.5 cos γ 3
Then γ 3 is derived.
With the third assumption, the relative velocity W at node F i + 1 ranges with the vector F i F i + 1 in Figure A6a, and the radial velocity Vr is the projection of W onto vector F i + 1 F i + 1 . Then the following two equations are deduced:
V r = W cos γ 3
V Z 2 = V m 2 V r 2
The positive value of VZ defines its vertically downward direction. The angle between the Y-axis and vector F i + 1 F i + 1 is set as γ 4 as shown in Figure A6b. Then
F i + 1 F i + 1 j = | F i + 1 F i + 1 | | j | cos γ 4
where j is the positive unit vector of the Y-axis. The above equation is later elaborated by the coordinate operation and γ 4 is solely determined in [0, π]. That is:
y i + 1 = ( x i + 1 2 + y i + 1 2 ) 0.5 1 cos γ 4
Therefore, VX and VY can be obtained by decomposing Vr and VU along the X-axis and Y-axis, respectively:
V X = V r sin γ 4 V U cos γ 4
V Y = V r cos γ 4 + V U sin γ 4
The positive directions of Vr and VU are presented in Figure A6b. In particular, at the origin of SSL, namely i = 1, the angle between W1 and F 1 F 1 is approximated by the angle between F 1 F 2 and F 1 F 1 . Using the above procedures in this section, one can successfully convert the velocity components from the velocity triangle to the Cartesian coordinate system.
Figure A6. Diagram of the velocity triangle and decomposition: (a) spatial sketch; (b) top view.
Figure A6. Diagram of the velocity triangle and decomposition: (a) spatial sketch; (b) top view.
Sustainability 14 01965 g0a6

References

  1. Zhang, Y.; Zheng, X.; Li, J.; Du, X. Experimental study on the vibrational performance and its physical origins of a prototype reversible pump turbine in the pumped hydro energy storage power station. Renew. Energy 2019, 130, 667–676. [Google Scholar] [CrossRef]
  2. Trivedi, C.; Gogstad, P.J.; Dahlhaug, O.G. Investigation of the unsteady pressure pulsations in the prototype Francis turbines—Part 1: Steady state operating conditions. Mech. Syst. Sig. Process. 2018, 108, 188–202. [Google Scholar] [CrossRef] [Green Version]
  3. Zhang, L.; Wu, Q.; Ma, Z.; Wang, X. Transient vibration analysis of unit-plant structure for hydropower station in sudden load increasing process. Mech. Syst. Sig. Process. 2019, 120, 486–504. [Google Scholar] [CrossRef]
  4. Li, D.; Sun, Y.; Zuo, Z.; Liu, S.; Wang, H.; Li, Z. Analysis of Pressure Fluctuations in a Prototype Pump-Turbine with Different Numbers of Runner Blades in Turbine Mode. Energies 2018, 11, 1474. [Google Scholar] [CrossRef] [Green Version]
  5. Gohil, P.P.; Saini, R.P. Numerical Study of Cavitation in Francis Turbine of a Small Hydro Power Plant. J. Appl. Fluid Mech. 2016, 9, 357–365. [Google Scholar] [CrossRef]
  6. Decaix, J.; Müller, A.; Favrel, A.; Avellan, F.; Münch, C. URANS Models for the Simulation of Full Load Pressure Surge in Francis Turbines Validated by Particle Image Velocimetry. J. Fluids Eng. 2017, 139, 121103. [Google Scholar] [CrossRef]
  7. Favrel, A.; Müller, A.; Landry, C.; Yamamoto, K.; Avellan, F. Study of the vortex-induced pressure excitation source in a Francis turbine draft tube by particle image velocimetry. Exp. Fluids 2015, 56, 215. [Google Scholar] [CrossRef]
  8. Skripkin, S.; Tsoy, M.; Kuibin, P.; Shtork, S. Swirling flow in a hydraulic turbine discharge cone at different speeds and discharge conditions. Exp. Therm. Fluid Sci. 2019, 100, 349–359. [Google Scholar] [CrossRef]
  9. Lai, X.; Liang, Q.; Ye, D.; Chen, X.; Xia, M. Experimental investigation of flows inside draft tube of a high-head pump-turbine. Renew. Energy 2019, 133, 731–742. [Google Scholar] [CrossRef]
  10. Leguizamón, S.; Avellan, F. Open-Source Implementation and Validation of a 3D Inverse Design Method for Francis Turbine Runners. Energies 2020, 13, 2020. [Google Scholar] [CrossRef] [Green Version]
  11. Li, W. Inverse design of impeller blade of centrifugal pump with a singularity method. Jordan J. Mech. Ind. Eng. 2011, 5, 119–128. [Google Scholar]
  12. Zangeneh, M.; Goto, A.; Takemura, T. Suppression of secondary flows in a mixed-flow pump impeller by application of 3D inverse design method. In International Gas Turbine and Aeroengine Congress and Exposition; ASME: Hague, The Netherlands, 1994. [Google Scholar]
  13. Hawthorne, W.R.; Wang, C.; Tan, C.S.; Mccune, J.E. Theory of Blade Design for Large Deflections: Part I—Two-Dimensional Cascade. J. Eng. Gas Turbines Power 1984, 106, 346–353. [Google Scholar] [CrossRef]
  14. Yin, J.; Wang, D. Review on applications of 3D inverse design method for pump. Chin. J. Mech. Eng. 2014, 27, 520–527. [Google Scholar] [CrossRef]
  15. Kan, K.; Chen, H.; Zheng, Y.; Zhou, D.; Binama, M.; Dai, J. Transient characteristics during power-off process in a shaft extension tubular pump by using a suitable numerical model. Renew. Energy 2021, 164, 109–121. [Google Scholar] [CrossRef]
  16. Kan, K.; Yang, Z.; Lyu, P.; Zheng, Y.; Shen, L. Numerical Study of Turbulent Flow past a Rotating Axial-Flow Pump Based on a Level-set Immersed Boundary Method. Renew. Energy 2021, 168, 960–971. [Google Scholar] [CrossRef]
  17. Qian, H.; Chen, N.; Lin, R.; Qu, L.; Pu, S. Design of mixed flow pump impeller by using direct-inverse problem iteration. J. Hydraul. Eng. 1997, 1, 25–30. [Google Scholar]
  18. Bing, H.; Zhang, Q.; Cao, S.; Tan, L.; Zhu, B. Iteration design of direct and inverse problems and flow analysis of mixed-flow pump impellers. J. Tsinghua Univ. 2013, 53, 179–183. [Google Scholar]
  19. Tan, L.; Cao, S.; Wang, Y.; Zhu, B. Direct and inverse iterative design method for centrifugal pump impellers. J. Power Energy 2012, 226, 764–775. [Google Scholar] [CrossRef]
  20. Bing, H.; Cao, S.; Tan, L. Iteration method of direct inverse problem of mixed-flow pump impeller design. J. Drain. Irrig. Mach. Eng. 2011, 29, 277–281. [Google Scholar]
  21. Ciocan, T.; Susan-Resiga, R.F.; Muntean, S. Modelling and optimization of the velocity profiles at the draft tube inlet of a Francis turbine within an operating range. J. Hydraul. Res. 2016, 54, 74–89. [Google Scholar] [CrossRef]
  22. Chen, Z.; Singh, P.M.; Choi, Y.-D. Francis Turbine Blade Design on the Basis of Port Area and Loss Analysis. Energies 2016, 9, 164. [Google Scholar] [CrossRef] [Green Version]
  23. Yin, J.; Li, J.; Wang, D.; Wei, X. A simple inverse design method for pump turbine. IOP Conf. Ser. Earth Environ. Sci. 2014, 22, 012030. [Google Scholar] [CrossRef]
  24. Han, F.; Huang, L.; Yang, L.; Kubota, T. Geometrical analysis of adjustable guide vanes for bulb turbine. J. Eng. Thermophys. 2010, 31, 263–266. [Google Scholar]
  25. Liu, P. Channel Theory for High-Head Bulb Runner; South China University of Technology: Guangzhou, China, 2010. [Google Scholar]
  26. Susan-Resiga, R.F.; Milos, T.; Baya, A.; Muntean, S.; Bernad, S. Mathematical and Numerical Models for Axisymmetric Swirling Flows for Turbomachinery Applications. Sci. Bull. Univ. Politeh. Timis. Trans. Mech. 2005, 50, 47–58. [Google Scholar]
  27. Susan-Resiga, R.; Ighişan, C.; Muntean, S. A Mathematical Model for the Swirling Flow Ingested by the Draft Tube of Francis Turbines. WasserWirtschaft 2015, 13, 23–27. [Google Scholar] [CrossRef]
  28. Susan-Resiga, R.F.; Muntean, S.; Avellan, F.; Anton, I. Mathematical modelling of swirling flow in hydraulic turbines for the full operating range. Appl. Math. Modell. 2011, 35, 4759–4773. [Google Scholar] [CrossRef]
  29. Susan-Resiga, R.F.; Avellan, F.; Ciocan, G.D.; Muntean, S.; Anton, I. Mathematical and Numerical Modelling of the Swirling Flow in Francis Turbine Draft Tube Cone. Sci. Bull. Univ. Politeh. Timis. Trans. Mech. 2005, 50, 1–16. [Google Scholar]
  30. Muntean, S.; Susan-Resiga, R.; Göde, E.; Baya, A.; Terzi, R.; Tîrşi, C. Scenarios for refurbishment of a hydropower plant equipped with Francis turbines. Renew. Energy Environ. Sustain. 2016, 1, 30. [Google Scholar] [CrossRef]
  31. Brekke, H. Hydraulic Turbines. Design, Erection and Operation; Norwegian University of Science and Technology: Trondheim, Norway, 2001. [Google Scholar]
  32. Brekke, H. Performance and safety of hydraulic turbines. In 25th IAHR Symposium on Hydraulic Machinery and Systems; IOP Publishing: Bristol, UK, 2010. [Google Scholar]
  33. Leguizamón, S.; Ségoufin, C.; Phan, H.T.; Avellan, F. On the efficiency alteration mechanisms due to cavitation in Kaplan turbines. J. Fluids Eng. 2017, 139, 061301. [Google Scholar] [CrossRef]
  34. Li, W.; Gong, R. The Researching of Turbine Main Parameters Selection for Three Gorges Right Bank Power Station. Large Electr. Mach. Hydraul. Turbine 2009, 2, 37–42. [Google Scholar]
  35. Wang, G. Key Technologies for Huge Full Air-cooled Hydrogenerator Sets of Three Gorges Right Bank Power Station—Hydraulic Turbine Section. Large Electr. Mach. Hydraul. Turbine 2008, 4, 30–36. [Google Scholar]
  36. Daneshkah, K.; Zangeneh, M. Parametric design of a Francis turbine runner by means of a three-dimensional inverse design method. IOP Conf. Earth Environ. Sci. 2010, 12, 012058. [Google Scholar] [CrossRef]
Figure 1. Calculation flow diagram of AMOC.
Figure 1. Calculation flow diagram of AMOC.
Sustainability 14 01965 g001
Figure 2. Runner of Francis turbine.
Figure 2. Runner of Francis turbine.
Sustainability 14 01965 g002
Figure 3. X-shaped blade.
Figure 3. X-shaped blade.
Sustainability 14 01965 g003
Figure 4. Geometric model of the whole flow system for the turbine.
Figure 4. Geometric model of the whole flow system for the turbine.
Sustainability 14 01965 g004
Figure 5. Hill chart for model A858a-36.6 under 30 m test head.
Figure 5. Hill chart for model A858a-36.6 under 30 m test head.
Sustainability 14 01965 g005
Figure 6. Distribution of absolute velocity on the SSL by AMOC: (a) Velocity vector and streamline; (b) Velocity scalar.
Figure 6. Distribution of absolute velocity on the SSL by AMOC: (a) Velocity vector and streamline; (b) Velocity scalar.
Sustainability 14 01965 g006
Figure 7. Distribution of results obtained by the Navier–Stokes solver on S2 surface: (a) Absolute velocity; (b) Dimensionless Eulerian energy.
Figure 7. Distribution of results obtained by the Navier–Stokes solver on S2 surface: (a) Absolute velocity; (b) Dimensionless Eulerian energy.
Sustainability 14 01965 g007
Figure 8. Distribution of Eulerian energy: (a) On three SSLs; (b) On the stream surface.
Figure 8. Distribution of Eulerian energy: (a) On three SSLs; (b) On the stream surface.
Sustainability 14 01965 g008
Figure 9. Distribution of Cp along spatial streamlines: (a) AMOC implementation; (b) ANSYS Fluent Navier–Stokes solver.
Figure 9. Distribution of Cp along spatial streamlines: (a) AMOC implementation; (b) ANSYS Fluent Navier–Stokes solver.
Sustainability 14 01965 g009
Table 1. Main specifications of the Francis turbine model.
Table 1. Main specifications of the Francis turbine model.
Geometric DimensionsD1 mmD2 mmNBlade shape
372.9366.015X
BEP Parametersn0 r/minQ0 m3/sH0 mρ kg/m3
11220.49230997
Table 2. Analytical results of AMOC implementation.
Table 2. Analytical results of AMOC implementation.
SSLV
m/s
W
m/s
U
m/s
β
°
α
°
EU
m2/s2
L
mm
E U ¯ m 2 / s 2
Blade inletSSL-016.2294.19517.08571.23614.169268.8297.905305.507
SSL-0.062516.3614.17917.10072.82814.124271.325
7.960
SSL-0.12516.4454.18617.13373.53814.131273.225
15.770
SSL-0.2516.6144.23017.27474.00514.166278.274
15.577
SSL-0.37516.8524.29017.53473.84914.153286.505
15.288
SSL-0.517.2194.34317.93473.60314.004299.634
15.122
SSL-0.62517.6024.43618.44672.17413.881315.193
14.758
SSL-0.7517.9324.59419.06768.89113.826332.012
14.080
SSL-0.87518.2734.77619.85364.02213.591352.623
13.066
SSL-118.5115.08120.72657.63913.406373.192
Blade outletSSL-05.3858.9435.92135.663104.470−7.96623.28826.846
SSL-0.06255.53310.2726.76129.733112.968−14.597
21.686
SSL-0.1255.16010.0127.74130.51699.864−6.843
35.446
SSL-0.255.3929.4519.76732.53970.50717.574
26.720
SSL-0.3755.85310.14411.59430.31061.00432.895
20.423
SSL-0.56.03111.29013.24926.97358.10442.221
17.256
SSL-0.6256.45012.06114.77125.33153.13957.150
14.977
SSL-0.756.98312.59316.17524.24547.77775.907
13.097
SSL-0.8756.72014.22017.47521.49550.84274.151
12.220
SSL-17.10414.88118.68120.73747.87989.001
ηr0 %94.69
Table 3. Main test results of the model runner.
Table 3. Main test results of the model runner.
Case and Variablen11 r/minQ11 m3/sη %Cavitation Coefficient
BEP73.767094.63/
Limitation case/99286.600.08
Table 4. Efficiency comparison with different methods.
Table 4. Efficiency comparison with different methods.
MethodsEfficiency Value %
AMOC94.69 94.69
Test94.6394.63
CFD 94.5794.57
Relative error %0.060.060.13
Publisher’s Note: MDPI stays neutral with regard to jurisdictional claims in published maps and institutional affiliations.

Share and Cite

MDPI and ACS Style

Chen, Y.; Zhou, J.; Karney, B.; Guo, Q.; Zhang, J. Analytical Implementation and Prediction of Hydraulic Characteristics for a Francis Turbine Runner Operated at BEP. Sustainability 2022, 14, 1965. https://doi.org/10.3390/su14041965

AMA Style

Chen Y, Zhou J, Karney B, Guo Q, Zhang J. Analytical Implementation and Prediction of Hydraulic Characteristics for a Francis Turbine Runner Operated at BEP. Sustainability. 2022; 14(4):1965. https://doi.org/10.3390/su14041965

Chicago/Turabian Style

Chen, Yu, Jianxu Zhou, Bryan Karney, Qiang Guo, and Jian Zhang. 2022. "Analytical Implementation and Prediction of Hydraulic Characteristics for a Francis Turbine Runner Operated at BEP" Sustainability 14, no. 4: 1965. https://doi.org/10.3390/su14041965

APA Style

Chen, Y., Zhou, J., Karney, B., Guo, Q., & Zhang, J. (2022). Analytical Implementation and Prediction of Hydraulic Characteristics for a Francis Turbine Runner Operated at BEP. Sustainability, 14(4), 1965. https://doi.org/10.3390/su14041965

Note that from the first issue of 2016, this journal uses article numbers instead of page numbers. See further details here.

Article Metrics

Back to TopTop