Three-Faceted Approach to Perceived Stress: A Longitudinal Study of Stress Hormones, Personality, and Group Cohesion in the Real-Life Setting of Compulsory Basic Military Training
Abstract
1. Introduction
2. Materials and Methods
2.1. Participants
2.2. Procedures and Measures
2.2.1. Hair Sampling and Hair Steroid Hormones Analysis
2.2.2. Self-Reported Measures
- Perceived stress. Perceived stress was measured as a continuous variable and identified by asking participants ‘how many times during the past week did you experience stress?’ The response options were “I did not experience it, 1, 2, 3, 4, 5, 6, 7, 8, 9, 10, I have experienced it more than 10 times”. Similar measurements were applied in stress research in other studies on perceived stress (see [35]).
- Personality. Personality was assessed using the Ten-Item Personality Inventory (TIPI) [35]. The TIPI is a measure of the Big Five (or the five-factor model)—the most widely accepted model of personality assessment [36]. TIPI identifies five personality traits: extraversion, when the person is sociable and active; agreeableness, when the person is soft-hearted and trusting; conscientiousness, when the person is organized and reliable; emotional stability, when the person is calm and relaxed; and openness, when the person is curious and creative [35,36]. The original TIPI was translated into Lithuanian. Before using the inventory for this study, forward and backward translation was used to overcome misunderstandings or unclear language [37] and, finally, it was tested in a pilot on a small sample. As alpha reliability is not applicable for this test [35], the mean scores and standard deviation of the answers were calculated: mean score for extraversion was 8.90 (±2.78); for agreeableness 9.79 (±2.07); for conscientiousness 10.19 (±2.54); for emotional stability 10.05 (±2.64); and for openness 9.30 (±2.55). The test–retest for the mean effect was guaranteed by means of a minimum 90% credibility interval contested with pilot testing.
- Group cohesion. Group cohesion historically is considered to be the most important variable in small group leadership [38], and in military training cohesion is measured as a combination of three variables: (i) interpersonal cohesion, (ii) task cohesion, and (iii) norm cohesion [39]. Interpersonal cohesion indicates the attraction of an individual to the group [40]. In our study, we measured this variable using an inventory adopted from Salo [41] and Ohlsson et al. [42]. A sample item in the questionnaire: ‘Most group members contribute to the decision-making in the group.’ Task cohesion refers to the attraction of a person to the group as a common interest in the group task. The inventory was adopted from the Group Cohesion Scale-Revised [43]. A sample item in the questionnaire: ‘In my squad, we easily accomplish tasks.’ Finally, norm cohesion is about interpersonal relations and a person’s attraction to the group because of common norms of behavior [40]. The inventory for task cohesion was created using respective items from previous research by Ohlsson et al. [42], Salo [41], and Treadwell et al. [43]. A sample item in the questionnaire: ‘In my squad, anyone can ask questions and address problems’. All cohesion measures were constructed using the Likert 7-item scale (from one, meaning ‘fully disagree’, to seven, meaning ‘fully agree’). An average Cronbach alpha for each of the cohesion inventory was as follows: for interpersonal cohesion, it was 0.893 (T1 = 0.872; T2 = 0.880; T3= 0.928); for task cohesion, it was 0.782 (T1 = 0.779; T2= 0.738; T3 = 0.830); and for norm cohesion, it was 0.0.884 (T1 = 0.869; T2 = 0.878; T3 = 0.904).
2.2.3. Methods for Statistical Analysis
- Levels of hair steroid hormones: cortisol, cortisone, and the dehydroepiandrosterone steroid hormone (DHEA);
- Personality traits: extraversion, agreeableness, conscientiousness, emotional stability, and openness;
- Squad cohesion: interpersonal cohesion, task cohesion, and norm cohesion;
- Anthropometric data: blood pressure (mmHg)—systolic and diastolic, body mass index (BMI);
- Stressful events outside of the military.
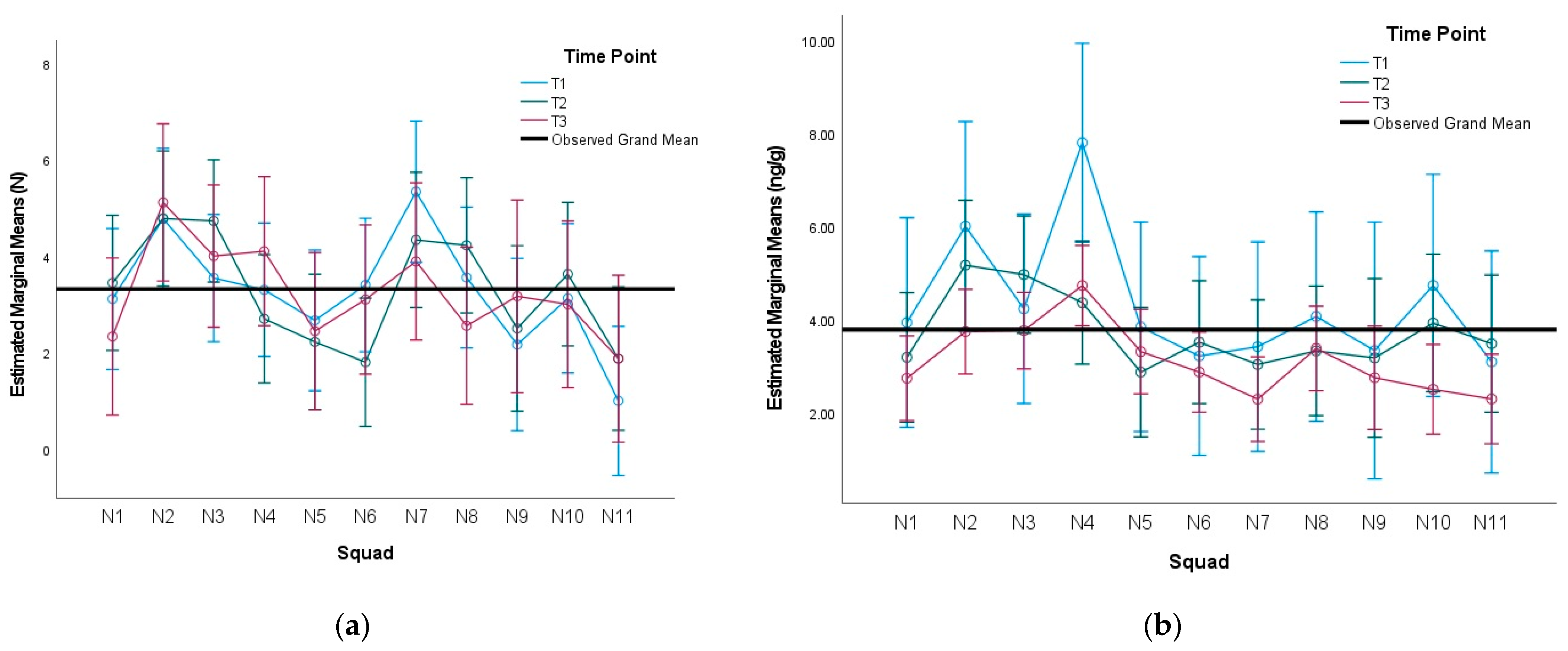
3. Results
3.1. Descriptive
3.2. Model Estimation
- The effects of hair steroid hormones. The level of all hair steroid hormones (cortisol, cortisone, and DHEA) has become highly statistically important (p < 0.001) in the model from the second time point (T2 and T3). It turns out that each additional cortisol concentration unit (measured in ng/g) is associated with an increase in the perceived frequency of stressful situations of different levels: 1.317 (e0.275) in T2, 0.657 (e0.420) in T3, and insignificant in T1. For example, for a person with twice the level of cortisol, the perceived frequency of stressful situations can increase by a factor of 1.317 on average at the middle of training. Other stress hormones also show a highly significant effect: changes in the cortisone concentration can increase the perceived frequency of stressful situations by 0.916 (e−0.086) and 1.157 (e0.1469) in T2 and T3, respectively, while DHEA can increase by 1.013 (e0.013) and 1.020 (e0.020), respectively.
- The effects of personality traits. Extraversion had a statistically significant (p < 0.05) negative effect in the middle (T2) and at the end (T3) of military training, and each additional point for extraversion was associated with a decrease in the perceived frequency of stressful situations, of 0.907 (e−0.098) and 0.847 (e−0.166), for the respective time points.
- The effect of group cohesion. Task cohesion had a statistically significant higher (p < 0.001) impact rate (0.946, e−0.056) than other elements of group cohesion, as well as hair steroid levels and personality traits, at the beginning of compulsory basic military training (T1); however, it became insignificant in the later stages (T2 and T3) and was substituted by norm cohesion in T3. These findings indicate that group cohesion decreased the perceived frequency of stressful situations, and the frequency may change by 0.946 (e−0.056) and 0.954 (e−0.047) times while effected by task cohesion (in T1) and norm cohesion (in T2), respectively.
4. Discussion
5. Conclusions
Author Contributions
Funding
Institutional Review Board Statement
Informed Consent Statement
Data Availability Statement
Conflicts of Interest
References
- Lazarus, R.S. Stress and Emotion: A New Synthesis; Springer: Berlin/Heidelberg, Germany, 1999; ISBN 9780826102614. [Google Scholar]
- Lee, J.; Eunyoung, K.; Vwachholtz, A.; Kim, E. The effect of perceived stress on life satisfaction. Korean J. Youth Stud. 2016, 23, 29–47. [Google Scholar] [CrossRef] [PubMed]
- Dhingra, V.; Dhingra, M. Effect of perceived stress on psychological well-being of health care workers during COVID 19: Mediating role of subjective happiness. Eur. J. Mol. Clin. Med. 2020, 7, 3683–3701. [Google Scholar]
- Delahaij, R.; Van Dam, K. Coping with acute stress in the military: The influence of coping style, coping self-efficacy and appraisal emotions. Pers. Individ. Differ. 2017, 119, 13–18. [Google Scholar] [CrossRef]
- Müller-Schilling, L.; Gundlach, N.; Böckelmann, I.; Sammito, S. Physical fitness as a risk factor for injuries and excessive stress symptoms during basic military training. Int. Arch. Occup. Environ. Health 2019, 92, 837–841. [Google Scholar] [CrossRef]
- Beckner, M.E.; Main, L.; Tait, J.L.; Martin, B.J.; Conkright, W.R.; Nindl, B.C. Circulating biomarkers associated with performance and resilience during military operational stress. Eur. J. Sport Sci. 2021, 1–15. [Google Scholar] [CrossRef]
- Overdale, S.; Gardner, D. Social Support and Coping Adaptability in Initial Military Training. Mil. Psychol. 2012, 24, 312–330. [Google Scholar] [CrossRef]
- Scholarworks, S.; Townsend, C.L. Perceived Selectivity as a Moderator of Cohesion and Resilience in USAF EOD Operators. Ph.D. Thesis, Walden University, Minneapolis, MN, USA, 2020. [Google Scholar]
- Lehrer, H.M.; Steinhardt, M.A.; Dubois, S.K.; Laudenslager, M.L. Perceived stress, psychological resilience, hair cortisol concentration, and metabolic syndrome severity: A moderated mediation model. Psychoneuroendocrinology 2020, 113, 104510. [Google Scholar] [CrossRef]
- Musana, J.W.; Cohen, C.R.; Kuppermann, M.; Gerona, R.; Wanyoro, A.; Aguilar, D.; Santos, N.; Temmerman, M.; Weiss, S.J. Association of differential symptoms of stress to hair cortisol and cortisone concentrations among pregnant women in Kenya. Stress 2019, 23, 556–566. [Google Scholar] [CrossRef] [PubMed]
- Schury, K.; Koenig, A.M.; Isele, D.; Hulbert, A.L.; Krause, S.; Umlauft, M.; Kolassa, S.; Ziegenhain, U.; Karabatsiakis, A.; Reister, F.; et al. Alterations of hair cortisol and dehydroepiandrosterone in mother-infant-dyads with maternal childhood maltreatment. BMC Psychiatry 2017, 17, 213. [Google Scholar] [CrossRef]
- Richardson, C.M.E.; Rice, K.G.; Devine, D.P. Perfectionism, emotion regulation, and the cortisol stress response. J. Couns. Psychol. 2014, 61, 110–118. [Google Scholar] [CrossRef]
- Boesch, M.; Sefidan, S.; Annen, H.; Ehlert, U.; Roos, L.; Van Uum, S.; Russell, E.; Koren, G.; La Marca, R. Hair cortisol concentration is unaffected by basic military training, but related to sociodemographic and environmental factors. Stress 2014, 18, 35–41. [Google Scholar] [CrossRef] [PubMed]
- Gifford, R.M.; O’Leary, T.J.; Double, R.L.; Wardle, S.L.; Wilson, K.; Boyle, L.D.; Homer, N.Z.M.; Kirschbaum, C.; Greeves, J.P.; Woods, D.R.; et al. Positive adaptation of HPA axis function in women during 44 weeks of infantry-based military training. Psychoneuroendocrinology 2019, 110, 104432. [Google Scholar] [CrossRef]
- Grant, S.; Langan-Fox, J. Occupational stress, coping and strain: The combined/interactive effect of the Big Five traits. Pers. Individ. Differ. 2006, 41, 719–732. [Google Scholar] [CrossRef]
- Arthur, C.A.; Fitzwater, J.; Hardy, L.; Beattie, S.; Bell, J. Development and Validation of a Military Training Mental Toughness Inventory. Mil. Psychol. 2015, 27, 232–241. [Google Scholar] [CrossRef]
- Martin, K.; Périard, J.; Rattray, B.; Pyne, D.B. Physiological Factors Which Influence Cognitive Performance in Military Personnel. Hum. Factors J. Hum. Factors Ergon. Soc. 2019, 62, 93–123. [Google Scholar] [CrossRef]
- Gonzalez, G.L.C.; Valencia, L.E.P.; Trefftz, H. Use of a Serious Game for Teaching Operations Programming: Students’ Perceptions. In Proceedings of the 2018 International Conference on Computational Science and Computational Intelligence (CSCI), Las Vegas, NV, USA, 12–14 December 2018; IEEE: New York, NY, USA, 2018; pp. 667–670. [Google Scholar]
- Elsass, W.P.; Fiedler, E.; Skop, B.; Hill, H. Susceptibility to Maladaptive Responses to Stress in Basic Military Training Based on Variants of Temperament and Character. Mil. Med. 2001, 166, 884–888. [Google Scholar] [CrossRef][Green Version]
- Smaliukienė, R.; Smaliukien, E.R. Public–private partnership and its influence to corporate social responsibility. Public Policy Adm. 2005, 1, 69–76. [Google Scholar]
- Prause, G.; Tuisk, T.; Olaniyi, E.O. Between sustainability, social cohesion and security. Regional development in North-Eastern Estonia. Entrep. Sustain. Issues 2019, 6, 1235–1254. [Google Scholar] [CrossRef]
- Siebold, G.L. The Essence of Military Group Cohesion. Armed Forces Soc. 2007, 33, 286–295. [Google Scholar] [CrossRef]
- Ahronson, A.; Cameron, J.E. The Nature and Consequences of Group Cohesion in a Military Sample. Mil. Psychol. 2007, 19, 9–25. [Google Scholar] [CrossRef]
- Hadid, A.; Evans, R.K.; Yanovich, R.; Luria, O.; Moran, D.S. Motivation, cohesion, satisfaction, and their relation to stress fracture among female military recruits. Graefe’s Arch. Clin. Exp. Ophthalmol. 2008, 104, 329–335. [Google Scholar] [CrossRef]
- Griffith, J. Multilevel Analysis of Cohesion’s Relation to Stress, Well-Being, Identification, Disintegration, and Perceived Combat Readiness. Mil. Psychol. 2002, 14, 217–239. [Google Scholar] [CrossRef]
- Bierman, A.; Kelty, R. Subjective Cohesion as Stress Buffer Among Civilians Working with the Military in Iraq and Afghanistan. Armed Forces Soc. 2017, 44, 238–260. [Google Scholar] [CrossRef]
- Ragsdale, J.M.; Kochert, J.F.; Beehr, T.A. News from the front: A monthly study on stress and social support during a military deployment to a war zone. J. Occup. Health Psychol. 2021, 26, 326–338. [Google Scholar] [CrossRef]
- Shackleton, G.L. Towards a biochemical approach to occupational stress management. Heliyon 2021, 7, e07175. [Google Scholar] [CrossRef] [PubMed]
- Štěpáníková, I.; Baker, E.; Oates, G.; Bienertova-Vasku, J.; Klánová, J. Assessing Stress in Pregnancy and Postpartum: Com-paring Measures. Matern. Child Health J. 2020, 24, 1193–1201. [Google Scholar] [CrossRef] [PubMed]
- García-Guiu, C.; Moya, M.; Molero, F.; Moriano, J.A. Transformational leadership and group potency in small military units: The mediating role of group identification and cohesion. Rev. Psicol. Trab. Las Organ. 2016, 32, 145–152. [Google Scholar] [CrossRef]
- Britt, T.W.; Wilson, C.A.; Sawhney, G.; Black, K.J. Perceived unit climate of support for mental health as a predictor of stigma, beliefs about treatment, and help-seeking behaviors among military personnel. Psychol. Serv. 2020, 17, 141–150. [Google Scholar] [CrossRef]
- Wennig, R. Potential problems with the interpretation of hair analysis results. Forensic. Sci. Int. 2000, 107, 5–12. [Google Scholar] [CrossRef]
- Mayer, S.E.; Lopez-Duran, N.L.; Sen, S.; Abelson, J.L. Chronic stress, hair cortisol and depression: A prospective and longitudinal study of medical internship. Psychoneuroendocrinology 2018, 92, 57–65. [Google Scholar] [CrossRef] [PubMed]
- Mazeikiene, A.; Bekesiene, S.; Karčiauskaite, D.; Mazgelytė, E.; Larsson, G.; Petrėnas, T.; Kaminskas, A.; Songailienė, J.; Vaičaitienė, R.; Utkus, A.; et al. He Association between Endogenous Hair Steroid Hormones and Military Environ-ment-Related Factors in a Group of Military Conscripts. Int. J. Environ. Res. Public Health 2021, 18, 12239. [Google Scholar] [CrossRef] [PubMed]
- Gosling, S.D.; Rentfrow, P.J.; Swann, W.B., Jr. A very brief measure of the Big-Five personality domains. J. Res. Pers. 2003, 37, 504–528. [Google Scholar] [CrossRef]
- Nunes, A.; Limpo, T.; Lima, C.F.; Castro, S.L. Short Scales for the Assessment of Personality Traits: Development and Vali-dation of the Portuguese Ten-Item Personality Inventory (TIPI). Front. Psychol. 2018, 9, 461. [Google Scholar] [CrossRef] [PubMed]
- Tsang, S.; Royse, C.F.; Terkawi, A. Guidelines for developing, translating, and validating a questionnaire in perioperative and pain medicine. Saudi J. Anaesth. 2017, 11, S80–S89. [Google Scholar] [CrossRef]
- Carron, A.V.; Brawley, L.R. Cohesion: Conceptual and Measurement Issues. Small Group Res. 2000, 31, 89–106. [Google Scholar] [CrossRef]
- Carless, S.A.; De Paola, C. The Measurement of Cohesion in Work Teams. Small Group Res. 2000, 31, 71–88. [Google Scholar] [CrossRef]
- Van Vianen, A.E.; De Dreu, C.K. Personality in teams: Its relationship to social cohesion, task cohesion, and team performance. Eur. J. Work. Organ. Psychol. 2001, 10, 97–120. [Google Scholar] [CrossRef]
- Salo, M. Determinants of Military Adjustment and Attrition During Finnish Conscript Service; University of Helsinki: Helsinki, Finland, 2008. [Google Scholar]
- Ohlsson, A.; Hedlund, E.; Larsson, G. Examining the relationship between personality, organizational political skill and perceived team performance in a multinational military staff exercise context. J. Mil. Stud. 2016, 7, 24–30. [Google Scholar] [CrossRef]
- Treadwell, T.; Lavertue, N.; Kumar, V.K.; Veeraraghavan, V. The Group Cohesion Scale-Revised: Reliability and Validity. Int. J. Action Methods Psychodrama Ski. Train. Role Play. 2001, 54, 3–12. [Google Scholar]
- Greenhouse, S.W.; Geisser, S. On methods in the analysis of profile data. Psychometrika 1959, 24, 95–112. [Google Scholar] [CrossRef]
- Lakens, D. Calculating and reporting effect sizes to facilitate cumulative science: A practical primer for t-tests and ANOVAs. Front. Psychol. 2013, 4, 863. [Google Scholar] [CrossRef] [PubMed]
- Hopkins, W.G. A New View of Statistics. 2014. Available online: https://complementarytraining.net/wp-content/uploads/2013/10/Will-Hopkins-A-New-View-of-Statistics.pdf. (accessed on 12 November 2021).
- Sellers, K.F.; Premeaux, B. Conway–Maxwell–Poisson regression models for dispersed count data. Wiley Interdiscip. Rev. Comput. Stat. 2021, 13, e1533. [Google Scholar] [CrossRef]
- Bekesiene, S.; Hubacekf, M.; Bures, M. Modelling Possibilities of the Vehicle Movement on Communication Network for Defense and Crisis Management. In Proceedings of the 2019 International Conference on Military Technologies (ICMT), Brno, Czech Republic, 30–31 May 2019; IEEE: New York, NY, USA, 2019; pp. 1–6. [Google Scholar]
- Foster, D.P.; George, E.I. The Risk Inflation Criterion for Multiple Regression. Ann. Stat. 1994, 22, 1947–1975. [Google Scholar] [CrossRef]
- Cavanaugh, J.E.; Neath, A.A. The Akaike information criterion: Background, derivation, properties, application, interpretation, and refinements. WIREs Comput. Stat. 2019, 11, e1460. [Google Scholar] [CrossRef]
- Skoglund, T.H.; Brekke, T.-H.; Steder, F.B.; Boe, O. Big Five Personality Profiles in the Norwegian Special Operations Forces. Front. Psychol. 2020, 11, 747. [Google Scholar] [CrossRef]
- Czerwiński, S.; Atroszko, P. Scores of short and free scale for Big Five explain perceived stress at different stages of life: Validity, reliability and measurement invariance of the Polish adaptation of Mini-IPIP. Curr. Issues Pers. Psychol. 2020, 8, 73–82. [Google Scholar] [CrossRef]
- Ha, J.H.; Jue, J.; Jang, Y. The Relationship Between Army Soldiers’ Perceived Stress and Army Life Adjustment: Focusing on the Mediating Effect of Stress Response and the Moderating Effect of Cohesion. Mil. Med. 2020, 185, e1743–e1749. [Google Scholar] [CrossRef] [PubMed]

| Variable | T1: M(SD) N (%) | T2: M(SD) N (%) | T3: M(SD) N (%) |
|---|---|---|---|
| Number of stressful events during the last week | 3.96 (8.46) | 4.08 (8.54) | 3.92 (8.61) |
| Hair steroid hormones concentration (ng/g) | |||
| Cortisol | 4.46 (3.41) | 3.75 (2.14) | 3.26 (1.63) |
| Cortisone | 16.60 (7.33) | 14.52 (6.02) | 11.78 (4.30) |
| DHEA | 14.32 (13.14) | 16.16 (17.98) | 11.72 (10.38) |
| Personality traits (14-items Likert scale) | |||
| Extraversion | 10.03 (1.83) | (not repeated) | (not repeated) |
| Agreeableness | 9.62 (2.06) | (not repeated) | (not repeated) |
| Conscientiousness | 8.62 (1.45) | (not repeated) | (not repeated) |
| Emotional Stability | 8.58 (1.87) | (not repeated) | (not repeated) |
| Openness | 8.81 (1.90) | (not repeated) | (not repeated) |
| Squad cohesion (7-items Likert scale) | |||
| Interpersonal cohesion | 5.17 (0.98) | 4.58 (1.07) | 4.55 (1.36) |
| Task cohesion | 4.90 (0.87) | 4.47 (0.85) | 4.56 (1.11) |
| Norm cohesion | 5.29 (1.31) | 4.82 (1.37) | 4.97 (1.44) |
| Anthropometric data | |||
| Blood pressure (mmHg)—Systolic | 123.22 (13.31) | 130.00 (13.62) | 125.69 (18.98) |
| Blood pressure (mmHg)—Diastolic | 71.85 (8.48) | 71.72 (12.27) | 70.13 (13.64) |
| Body mass index (BMI) | 23.45 (2.90) | 24.38 (2.56) | 24.16 (2.44) |
| Stressful events outside the military (yes = 1/no = 0) | |||
| -quarrels at home | 26 (24.1) | 25 (25.0) | 25 (24.0) |
| a relationship that ended | 14 (13.0) | 13 (13.0) | 8 (7.7) |
| other strong negative experiences | 31 (28.7) | 34 (34.0) | 23 (22.1) |
| Squad (from 1 to 11) | - | - | - |
| Chronic illnesses (yes = 1/no = 0) | 5 (4.6) | 6 (6.0) | 6 (5.8) |
| Smoking (every day = 1; seldom = 2; no = 3) | 42 (38.9) 35 (32.4) 31 (28.7) | 39 (39.0) 31 (31.0) 30 (30.0) | 38 (36.5) 34 (32.7) 32 (30.8) |
| Source | Measure | Type IV Sum of Squares | df | Mean Square | F | Sig. | Partial Eta Squared | Noncent. Parameter | Observed Power |
|---|---|---|---|---|---|---|---|---|---|
| Intercept | STR | 3065.756 | 1 | 3065.756 | 396.488 | 0.000 | 0.820 | 396.488 | 1.000 |
| HCC | 3996.269 | 1 | 3996.269 | 419.213 | 0.000 | 0.828 | 419.213 | 1.000 | |
| Squad (N) | STR | 240.206 | 10 | 24.021 | 3.107 | 0.002 | 0.263 | 31.065 | 0.975 |
| HCC | 217.759 | 10 | 21.776 | 2.284 | 0.020 | 0.208 | 22.843 | 0.901 | |
| Error | STR | 672.709 | 87 | 7.732 | |||||
| HCC | 829.352 | 87 | 9.533 |
| T1 | T2 | T3 | ||||
|---|---|---|---|---|---|---|
| PRM | NBRM | PRM | NBRM | PRM | NBRM | |
| Deviance | 138.557 | 43.754 | 136.388 | 37.059 | 184.537 | 48.592 |
| Scaled Deviance | 138.557 | 43.754 | 136.388 | 37.059 | 184.537 | 48.592 |
| Pearson Chi-Square | 131.438 | 33.025 | 133.441 | 29.749 | 217.841 | 41.341 |
| Scaled Pearson Chi-Square | 131.438 | 33.025 | 133.441 | 29.749 | 217.841 | 41.341 |
| Log Likelihood b | −213.326 | −240.916 | −206.858 | −229.272 | −228.887 | −231.775 |
| Akaike’s Information Criterion (AIC) a | 488.653 | 543.831 | 475.717 | 520.543 | 519.774 | 525.551 |
| Finite Sample Corrected AIC (AICC) a | 514.758 | 569.937 | 504.893 | 549.720 | 547.330 | 553.106 |
| Bayesian Information Criterion (BIC) a | 571.799 | 626.978 | 556.477 | 601.304 | 601.751 | 607.527 |
| Consistent AIC (CAIC) a | 602.799 | 657.978 | 587.477 | 632.304 | 632.751 | 638.527 |
| T1 | T2 | T3 | ||||
|---|---|---|---|---|---|---|
| Parameter | B | Wald Chi-Square | B | Wald Chi-Square | B | Wald Chi-Square |
| (Intercept) | 5.363 ** | 23.965 | 0.615 | 0.343 | −1.567 | 2.357 |
| Hair steroid hormones concentration (ng/g) | ||||||
| Cortisol | 0.015 | 0.396 | 0.275 ** | 17.596 | −0.420 ** | 27.025 |
| Cortisone | −0.016 | 1.919 | −0.086 ** | 12.133 | 0.146 ** | 18.087 |
| DHEA | −0.003 | 0.297 | 0.013 ** | 17.320 | 0.020 ** | 11.190 |
| Personality traits | ||||||
| Extraversion | −0.027 | 0.423 | −0.098 * | 5.832 | −0.166 ** | 15.265 |
| Agreeableness | 0.056 | 2.759 | −0.008 | 0.050 | 0.051 | 2.514 |
| Conscientiousness | −0.063 | 2.160 | −0.071 | 2.453 | −0.048 | 0.900 |
| Emotional Stability | −0.036 | 1.027 | 0.028 | 0.546 | 0.099 | 5.748 |
| Openness | −0.018 | 0.192 | 0.105 * | 5.890 | 0.025 | 0.294 |
| Squad cohesion | ||||||
| Interpersonal cohesion | 0.009 | 1.154 | −0.011 | 2.807 | 0.012 | 1.669 |
| Task cohesion | −0.056 ** | 14.645 | −0.021 | 2.526 | −0.019 | 1.961 |
| Norm cohesion | −0.019 | 2.976 | −5.876 × 10−5 | 0.000 | −0.047 ** | 14.415 |
| Anthropometric data | ||||||
| Blood pressure (EQS)– Systolic | 0.006 | 1.247 | 0.021 | 17.525 | 0.001 ** | 0.038 |
| Blood pressure (EQS)– Diastolic | −0.015 | 4.319 | −0.010 | 2.602 | −0.020 ** | 11.435 |
| Body mass index (BMI) | −0.015 | 0.431 | 0.036 | 2.322 | 0.196 ** | 51.627 |
| Stressful events outside military | ||||||
| quarrels at home (yes) | 0.368 * | 5.459 | −0.190 | 1.330 | −0.554 | 9.122 |
| quarrels at home (no) | 0 a | 0 a | 0 a | |||
| relationship that ended (yes) | −0.361 | 3.028 | 0.071 | 0.106 | 0.509 | 4.199 |
| relationship that ended (no) | 0 a | 0 a | 0 a | |||
| other strong neg. experiences (yes) | 0.317 * | 5.173 | 0.222 | 2.168 | 0.176 | 1.358 |
| other strong neg. experiences (no) | 0 a | 0 a | 0 a | |||
| Other | ||||||
| Chronic illnesses (no) | −1.127 * | 28.778 | −0.512 | 3.290 | −0.058 | 0.032 |
| Chronic illnesses (yes) | 0 a | 0 a | 0 a | |||
| Smoking (no) | 0.027 | 0.028 | −0.040 | 0.060 | 0.038 | 0.052 |
| Smoking (seldom) | 0.224 | 1.682 | −0.117 | 0.459 | −0.071 | 0.171 |
| Smoking (every day) | 0 a | 0 a | 0 a | |||
| Squad N1 | −0.159 | 0.154 | −0.494 | 1.933 | −0.323 | 0.863 |
| Squad N2 | 0.181 | 0.308 | −0.023 | 0.005 | 0.342 | 1.085 |
| Squad N3 | 1.044 ** | 10.748 | −0.234 | 0.479 | 0.677 | 4.179 |
| Squad N4 | 0.443 | 2.132 | 0.436 | 2.449 | 0.135 | 0.167 |
| Squad N5 | 1.391 ** | 31.603 | 0.267 | 0.895 | 1.145 | 11.976 |
| Squad N6 | 0.522 | 3.046 | −0.411 | 1.576 | 0.948 | 9.363 |
| Squad N7 | 0.537 | 2.744 | 0.024 | 0.004 | 0.553 | 2.795 |
| Squad N8 | 0.857 ** | 6.990 | −0.482 | 2.308 | 0.814 | 5.806 |
| Squad N9 | 0.293 | 1.138 | −0.236 | 0.792 | 0.733 | 7.383 |
| Squad N10 | 0.593 * | 4.272 | 0.553 * | 4.296 | 0.776 | 6.373 |
| Squad N11 | 0 a | 0 a | 0 a | |||
| (Scale) | 1 b | 1 b | ||||
Publisher’s Note: MDPI stays neutral with regard to jurisdictional claims in published maps and institutional affiliations. |
© 2022 by the authors. Licensee MDPI, Basel, Switzerland. This article is an open access article distributed under the terms and conditions of the Creative Commons Attribution (CC BY) license (https://creativecommons.org/licenses/by/4.0/).
Share and Cite
Bekesiene, S.; Smaliukiene, R.; Vaičaitienė, R.; Mažeikienė, A.; Larsson, G.; Karčiauskaitė, D.; Mazgelytė, E. Three-Faceted Approach to Perceived Stress: A Longitudinal Study of Stress Hormones, Personality, and Group Cohesion in the Real-Life Setting of Compulsory Basic Military Training. Sustainability 2022, 14, 1046. https://doi.org/10.3390/su14031046
Bekesiene S, Smaliukiene R, Vaičaitienė R, Mažeikienė A, Larsson G, Karčiauskaitė D, Mazgelytė E. Three-Faceted Approach to Perceived Stress: A Longitudinal Study of Stress Hormones, Personality, and Group Cohesion in the Real-Life Setting of Compulsory Basic Military Training. Sustainability. 2022; 14(3):1046. https://doi.org/10.3390/su14031046
Chicago/Turabian StyleBekesiene, Svajone, Rasa Smaliukiene, Ramutė Vaičaitienė, Asta Mažeikienė, Gerry Larsson, Dovilė Karčiauskaitė, and Eglė Mazgelytė. 2022. "Three-Faceted Approach to Perceived Stress: A Longitudinal Study of Stress Hormones, Personality, and Group Cohesion in the Real-Life Setting of Compulsory Basic Military Training" Sustainability 14, no. 3: 1046. https://doi.org/10.3390/su14031046
APA StyleBekesiene, S., Smaliukiene, R., Vaičaitienė, R., Mažeikienė, A., Larsson, G., Karčiauskaitė, D., & Mazgelytė, E. (2022). Three-Faceted Approach to Perceived Stress: A Longitudinal Study of Stress Hormones, Personality, and Group Cohesion in the Real-Life Setting of Compulsory Basic Military Training. Sustainability, 14(3), 1046. https://doi.org/10.3390/su14031046

