Influence of Thermal Behavior on the Safety Performance of the Pit Enclosure near Railway Foundations under Solar Radiation
Abstract
:1. Introduction
2. Engineering Background
3. Modeling
4. Solar Radiation Parameter
4.1. Temperature Field Calculation
4.2. Calculation of Solar Radiation Intensity
5. Calculation of Non-Uniform Temperature Fields
5.1. Calculation of the Radiation Field
5.1.1. Upper Support Structure
5.1.2. Lower Support Structure
5.2. Temperature of the Support Body
6. Solving for Thermal Stress
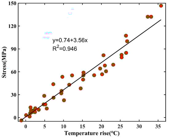
6.1. Thermal Stresses in the Support Structure
6.2. Thermal Stresses in the Enclosure
6.3. Enclosure Displacement
7. Conclusions
Funding
Institutional Review Board Statement
Informed Consent Statement
Data Availability Statement
Conflicts of Interest
References
- Liu, H.; Chen, Z.; Chen, B.; Xiao, X.; Wang, X. Studies on the temperature distribution of steel plates with different paints under solar radiation. Appl. Therm. Eng. 2014, 71, 342–354. [Google Scholar] [CrossRef]
- Zhao, Z.; Liu, H.; Chen, Z. Thermal behavior of large-span reticulated domes covered by ETFE membrane roofs under solar radiation. Thin-Walled Struct. 2017, 115, 1–11. [Google Scholar] [CrossRef]
- Liu, H.; Chen, Z.; Han, Q.; Chen, B.; Bu, Y. Study on the thermal behavior of aluminum reticulated shell structures considering solar radiation. Thin-Walled Struct. 2014, 85, 15–24. [Google Scholar] [CrossRef]
- Chen, D.; Qian, H.; Wang, H.; Chen, Y.; Fan, F.; Shen, S. Experimental and numerical investigation on the non-uniform temperature distribution of thin-walled steel members under solar radiation. Thin-Walled Struct. 2018, 122, 242–251. [Google Scholar] [CrossRef]
- Jin, F.; Chen, Z.; Wang, J.; Yang, J. Practical procedure for predicting non-uniform temperature on the exposed face of arch dams. Appl. Therm. Eng. 2010, 30, 2146–2156. [Google Scholar] [CrossRef]
- Alinia, M.M.; Kashizadeh, S. Effect of flexibility of substructures upon thermal behaviour of spherical double layer space truss domes. Part I: Uniform thermal loading. J. Constr. Steel Res. 2006, 62, 359–368. [Google Scholar] [CrossRef]
- Tong, M.; Tham, L.G.; Au, F.T. Extreme thermal loading on steel bridges in tropical region. J. Bridge Eng. 2002, 7, 357–366. [Google Scholar] [CrossRef]
- Jin, Y.B.; Shen, X.; Rao, L.Y. Study on the effect of temperature change on the axial force and deformation of support in deep foundation pit. J. Geotech. Eng. 2021, 43, 1417–1425. [Google Scholar]
- Xiang, Y. Study on the effect of temperature stress on the internal force and deformation of deep foundation pit support structure. J. Geotech. Eng. 2014, 36, 64–69. [Google Scholar]
- Zhou, T.; Yang, H.J.; Hu, J.J.; Liu, H.N.; Liu, H.B.; Chen, Z.H. Experimental study on the temperature field of rectangular steel pipe concrete member sections under exposed environment. Build. Struct. 2020, 7, 80–85. [Google Scholar] [CrossRef]
- Hu, Q.; Ling, D.S.; Cheng, Z.H.; Chen, Z. Analysis of the effect of temperature stress on the force deformation of annular ground link wall enclosure structure. J. Geotech. Eng. 2013, 35, 2139–2143. [Google Scholar]
- Mao, J.; Wang, H.; Spencer, B.F., Jr. Toward data anomaly detection for automated structural health monitoring: Exploiting generative adversarial nets and autoencoders. Struct. Health Monit. 2021, 20, 1609–1626. [Google Scholar] [CrossRef]
- Zhang, Y.M.; Wang, H.; Mao, J.X.; Wang, F.Q.; Hu, S.T.; Zhao, X.X. Monitoring-based assessment of the construction influence of Benoto pile on adjacent high-speed railway bridge: Case study. J. Perform. Constr. Facil. 2019, 33, 04018106. [Google Scholar] [CrossRef]
- Golbabaei, F.; Karami, E.; Shahi, M.; Safari, Z.; Azrah, K. Modeling and investigating the effect of parasol installation on solar radiant temperature reduction using COMSOL Multiphysics. Int. J. Occup. Saf. Ergon. 2022, 1–15. [Google Scholar] [CrossRef]
- Jiménez-Flores, S.; Pérez-Luna, J.G.; Alvarado-Pulido, J.J.; Jiménez-González, A.E. Development and simulation of a magnetohydrodynamic solar generator operated with NaCl electrolyte solution. J. Sol. Energy Eng. 2021, 143, 021004. [Google Scholar] [CrossRef]
- Zhang, Z.; Li, Z.; Lou, C. Numerical analysis of radiative entropy generation in a parallel plate system with non-uniform temperature distribution participation medium. J. Quant. Spectrosc. Radiat. Transf. 2019, 225, 319–326. [Google Scholar] [CrossRef]
- Lin, Y.Z.; Sun, Y.D. Calculation method of foundation pit support structure under the effect of temperature. J. Shandong Min. Inst. 1999, 18, 51–57. [Google Scholar]
- Diniz, J.M.; Santos, C.A.D.; Silva, J.P.D.; Rocha, Á.B.D. Reformulation of the Used Model to Estimate Soil Temperature. Energies 2022, 15, 2905. [Google Scholar] [CrossRef]
- Liu, H.; Chen, Z.; Zhou, T. Numerical and experimental investigation on the temperature distribution of steel tubes under solar radiation. Struct. Eng. Mech. 2012, 43, 725–737. [Google Scholar] [CrossRef]
- Chauhan, A.; Sharma, U.K. Influence of temperature and relative humidity variations on non-uniform corrosion of reinforced concrete. Structures 2019, 19, 296–308. [Google Scholar] [CrossRef]
- Yazgan-Birgi, P.; Arafat, H.A.; Ali, M.I.H. Implementation of two multiphase flow methods in modeling wetting of microporous hydrophobic membranes. Sci. Total Environ. 2019, 691, 1251–1261. [Google Scholar] [CrossRef] [PubMed]
- Wu, Y.X.; Shen, S.L.; Lyu, H.M.; Zhou, A. Analyses of leakage effect of waterproof curtain during excavation dewatering. J. Hydrol. 2020, 583, 124582. [Google Scholar] [CrossRef]
- Zhou, M.; Fan, J.S.; Liu, Y.F.; Zhang, J.X.; Duan, X.J.; Lei, S.S. Non-uniform temperature field and effect on construction of large-span steel structures. Autom. Constr. 2020, 119, 103339. [Google Scholar] [CrossRef]
- Biot, M.A. General theory of three-dimensional consolidation. J. Appl. Phys. 1941, 12, 155–164. [Google Scholar] [CrossRef]
- Selvadurai, A.P.S.; Suvorov, A.P. Coupled hydro-mechanical effects in a poro-hyperelastic material. J. Mech. Phys. Solids 2016, 91, 311–333. [Google Scholar] [CrossRef]
- Yang, J.; Yang, D.; Han, H.; Qiu, L.; Cheng, Y. A wave propagation model with the Biot and the fractional viscoelastic mechanisms. Sci. China Earth Sci. 2021, 64, 364–376. [Google Scholar] [CrossRef]
- Jiang, H.; Jiang, A.; Xu, M. Research on Algorithm and Coupling Damage Model of Rock Under High Temperature and Loading Based on Mohr–Coulomb Criterion. Int. J. Comput. Methods 2022, 19, 2250001. [Google Scholar] [CrossRef]
- Wang, J.; Xu, H.; Xu, D.; Du, P.; Zhou, Z.; Yuan, L.; Cheng, X. Accelerated carbonation of hardened cement pastes: Influence of porosity. Constr. Build. Mater. 2019, 225, 159–169. [Google Scholar] [CrossRef]




























| Parameters | Convection Coefficient (W/(m2·K)) | |||
|---|---|---|---|---|
| Values | 14 | 5800 | 0.8 | 0.2 |
| Parameters | Specific Heat Capacity (J/(kg·K)) | Thermal Conductivity/W/(m·K) | Thermal Expansion Coefficient (1/K) | Density (kg/m3) | Young’s Modulus (Pa) | Poisson’s Ratio |
|---|---|---|---|---|---|---|
| Values | 475 | 44.5 | 1.23 × 10−5 | 7850 | 2.00 × 1011 | 0.3 |
| Number | Hydrogeology | Depth (m) | Thickness (m) | Unit Weight (kN/m−3) | Shear Experiment | Poisson’s Ratio | |
|---|---|---|---|---|---|---|---|
| Cohesion (kPa) | Internal Friction Angle (°) | ||||||
| 1 | Filled soil | 0 | 2.2 | 17.4 | 0 | 18 | 0.3 |
| 2 | Clay sand | 2.2 | 29.8 | 16.9 | 30 | 16 | 0.25 |
| 3 | Sand | 32 | 5 | 20.8 | 2 | 36 | 0.25 |
Publisher’s Note: MDPI stays neutral with regard to jurisdictional claims in published maps and institutional affiliations. |
© 2022 by the author. Licensee MDPI, Basel, Switzerland. This article is an open access article distributed under the terms and conditions of the Creative Commons Attribution (CC BY) license (https://creativecommons.org/licenses/by/4.0/).
Share and Cite
Wang, W. Influence of Thermal Behavior on the Safety Performance of the Pit Enclosure near Railway Foundations under Solar Radiation. Sustainability 2022, 14, 17001. https://doi.org/10.3390/su142417001
Wang W. Influence of Thermal Behavior on the Safety Performance of the Pit Enclosure near Railway Foundations under Solar Radiation. Sustainability. 2022; 14(24):17001. https://doi.org/10.3390/su142417001
Chicago/Turabian StyleWang, Wanqi. 2022. "Influence of Thermal Behavior on the Safety Performance of the Pit Enclosure near Railway Foundations under Solar Radiation" Sustainability 14, no. 24: 17001. https://doi.org/10.3390/su142417001
APA StyleWang, W. (2022). Influence of Thermal Behavior on the Safety Performance of the Pit Enclosure near Railway Foundations under Solar Radiation. Sustainability, 14(24), 17001. https://doi.org/10.3390/su142417001
