Wave Propagation and Scattering around a Radially Inhomogeneous Cylindrical Inclusion in a Full Space
Abstract
1. Introduction
2. Model and Theoretical Formulations
2.1. Model and Excitation
2.2. Construction of Wavefields
2.3. Boundary Conditions
2.4. Determination of Unknown Coefficients of Wave Fields
3. Verification of Model and Solution
3.1. Comparison with an Exact Solution by Pao and Mow
3.2. Comparison with the Exact Solution for Free Field
4. Results and Discussions in Both Frequency and Time Domains
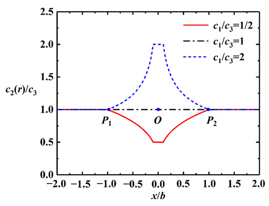
4.1. Effect of the Rigidity Profile of the Inclusion on the Frequency Domain Displacement and DSCF
4.2. Propagation Process of the Ricker Wavelet in the Full Space Containing Soft and Hard Inclusions
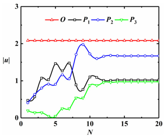
4.3. Acceleration Time Histories at Three Representative Positions of Soft and Hard Inclusions
5. Conclusions
Author Contributions
Funding
Institutional Review Board Statement
Informed Consent Statement
Data Availability Statement
Conflicts of Interest
References
- Zhang, N.; Pan, J.S.; Gao, Y.F.; Chen, X.; Dai, D.H.; Zhang, Y. Surface motion of an arbitrary number of semi-circular viscoelastic alluvial valleys for incident plane SH waves. Geophys. J. Int. 2022, 228, 1607–1620. [Google Scholar] [CrossRef]
- Huang, L.; Liu, Z.; Wu, C.; Liang, J.; Pei, Q. A three-dimensional indirect boundary integral equation method for the scattering of seismic waves in a poroelastic layered half-space. Eng. Anal. Bound. Elem. 2022, 135, 167–181. [Google Scholar] [CrossRef]
- Ba, Z.N.; Sang, Q.Z.; Liang, J.W. Seismic analysis of a lined tunnel in a multi-layered TI saturated half-space due to qP1-and qSV-waves. Tunn. Undergr. Space Technol. 2022, 119, 104248. [Google Scholar] [CrossRef]
- Gao, Y.F.; Chen, X.; Zhang, N.; Dai, D.H.; Yu, X. Scattering of plane SH waves induced by a semicylindrical canyon with a subsurface circular lined tunnel. Int. J. Geomech. 2018, 18, 06018012. [Google Scholar] [CrossRef]
- Chen, X.; Zhang, N.; Gao, Y.F.; Dai, D.H. Effects of a V-shaped canyon with a circular underground structure on surface ground motions under SH wave propagation. Soil Dyn. Earthq. Eng. 2019, 127, 105830. [Google Scholar] [CrossRef]
- Zhang, N.; Chen, X.; Gao, Y.F.; Dai, D.H. Analytical solution to scattering of SH waves by a circular lined tunnel embedded in a semi-circular alluvial valley in an elastic half–space. Tunn. Undergr. Space Technol. 2020, 106, 103615. [Google Scholar] [CrossRef]
- Dravinski, M. Ground motion amplification due to elastic inclusions in a half-space. Earthq. Eng. Struct. Dyn. 1983, 11, 313–335. [Google Scholar] [CrossRef]
- Hadley, P.K. Scattering of Waves by Inclusions in a Nonhomogeneous Elastic Half-Space Solved by Boundary Element Method; Princeton University: Princeton, NJ, USA, 1987. [Google Scholar]
- Heymsfield, E. Two-dimensional scattering of SH waves due to a discontinuity in bedrock. Earthq. Eng. Struct. Dyn. 1999, 28, 841–855. [Google Scholar] [CrossRef]
- Dravinski, M.; Sheikhhassani, R. Scattering of a plane harmonic SH-wave by a rough multilayered inclusion of arbitrary shape. Wave Motion. 2013, 50, 836–851. [Google Scholar] [CrossRef]
- Dong, C.Y.; Lo, S.H.; Cheung, Y.K. Numerical solution for elastic half-plane inclusion problems by different integral equation approaches. Eng. Anal. Bound. Elem. 2004, 28, 123–130. [Google Scholar] [CrossRef]
- Rus, G.; Gallego, R. Boundary integral equation for inclusion and cavity shape sensitivity in harmonic elastodynamics. Eng. Anal. Bound. Elem. 2005, 29, 77–91. [Google Scholar] [CrossRef]
- Parvanova, S.L.; Dineva, P.S.; Manolis, G.D.; Kochev, P.N. Dynamic response of a solid with multiple inclusions under anti-plane strain conditions by the BEM. Comput. Struct. 2014, 139, 65–83. [Google Scholar] [CrossRef]
- Liu, Z.X.; Wu, F.J.; Wang, D.; Zhang, H. Multi-domain FMM-IBEM simulation of plane SH wave scattering by inclusions in elastic half-space. Rock Soil Mech. 2017, 38, 1154–1163. [Google Scholar]
- Panji, M.; Mojtabazadeh-Hasanlouei, S.; Yasemi, F. A half-plane time-domain BEM for SH-wave scattering by a subsurface inclusion. Comput Geosci. 2020, 134, 104342. [Google Scholar] [CrossRef]
- Mojtabazadeh-Hasanlouei, S.; Panji, M.; Kamalian, M. On subsurface multiple inclusions model under transient SH-wave propagation. Waves Random Complex Media 2020, 32, 1937–1976. [Google Scholar] [CrossRef]
- Qi, H.; Chen, H.; Zhang, X.; Zhao, Y.; Xiang, M. Scattering of SH-wave by an elliptical inclusion with partial debonding curve in half-space. Waves Random Complex Media 2019, 29, 281–298. [Google Scholar] [CrossRef]
- Pao, Y.H.; Mow, C.C. Diffraction of Elastic Waves and Dynamic Stress Concentrations; Crane Russak: New York, NY, USA, 1973. [Google Scholar]
- Smerzini, C.; Avilés, J.; Paolucci, R.; Sanchez-Sesma, F.J. Effect of underground cavities on surface earthquake ground motion under SH wave propagation. Earthq. Eng. Struct. Dyn. 2009, 38, 1441–1460. [Google Scholar] [CrossRef]
- Jiang, G.X.X.; Yang, Z.L.; Sun, C.; Sun, B.T.; Yang, Y. Dynamic response of a circular inclusion embedded in inhomogeneous half-space. Arch. Appl. Mech. 2018, 88, 1791–1803. [Google Scholar] [CrossRef]
- Tokmechi, Z.; Jalali, R.S.; Trifunac, M.D.; Todorovska, M.I. Coherence of SH-waves near a semi-circular inclusion-the role of interference and standing waves. Earthq. Eng. Eng. Vib. 2021, 20, 535–552. [Google Scholar] [CrossRef]
- Dai, D.H.; El Naggar, M.H.; Zhang, N.; Wang, Z.B. Rigorous solution for kinematic response of floating piles subjected to vertical P-wave. Appl. Math. Model. 2022, 106, 114–125. [Google Scholar] [CrossRef]
- Zhang, N.; Gao, Y.F.; Pak, R.Y.S. Soil and topographic effects on ground motion of a surficially inhomogeneous semi-cylindrical canyon under oblique incident SH waves. Soil Dyn. Earthq. Eng. 2017, 95, 17–28. [Google Scholar] [CrossRef]
- Zhang, N.; Zhang, Y.; Gao, Y.F.; Pak, R.Y.S.; Wu, Y.X.; Zhang, F. An exact solution for SH-wave scattering by a radially multilayered inhomogeneous semicylindrical canyon. Geophys. J. Int. 2019, 217, 1232–1260. [Google Scholar] [CrossRef]
- Zhang, N.; Zhang, Y.; Dai, D.H. Dynamic response of a functionally graded cylindrical tube with power-law varying properties due to SH-waves. Waves Random Complex Media 2021, 1–19. [Google Scholar] [CrossRef]
- Dai, D.H.; Zhang, N.; Lee, V.W.; Gao, Y.F.; Chen, X. Scattering and amplification of SV waves by a semi-cylindrical hill in a half-space by a wavefunction-based meshless method using mapping and point-matching strategies. Eng. Anal. Bound. Elem. 2019, 106, 252–263. [Google Scholar] [CrossRef]














Publisher’s Note: MDPI stays neutral with regard to jurisdictional claims in published maps and institutional affiliations. |
© 2022 by the authors. Licensee MDPI, Basel, Switzerland. This article is an open access article distributed under the terms and conditions of the Creative Commons Attribution (CC BY) license (https://creativecommons.org/licenses/by/4.0/).
Share and Cite
Zhang, N.; Wei, Y.; Pan, J.; Yang, J.; Zhang, Y.; Dai, D. Wave Propagation and Scattering around a Radially Inhomogeneous Cylindrical Inclusion in a Full Space. Sustainability 2022, 14, 14969. https://doi.org/10.3390/su142214969
Zhang N, Wei Y, Pan J, Yang J, Zhang Y, Dai D. Wave Propagation and Scattering around a Radially Inhomogeneous Cylindrical Inclusion in a Full Space. Sustainability. 2022; 14(22):14969. https://doi.org/10.3390/su142214969
Chicago/Turabian StyleZhang, Ning, Yingchun Wei, Jiasuo Pan, Jie Yang, Yu Zhang, and Denghui Dai. 2022. "Wave Propagation and Scattering around a Radially Inhomogeneous Cylindrical Inclusion in a Full Space" Sustainability 14, no. 22: 14969. https://doi.org/10.3390/su142214969
APA StyleZhang, N., Wei, Y., Pan, J., Yang, J., Zhang, Y., & Dai, D. (2022). Wave Propagation and Scattering around a Radially Inhomogeneous Cylindrical Inclusion in a Full Space. Sustainability, 14(22), 14969. https://doi.org/10.3390/su142214969

