Three-Party Evolutionary Game of Shared Manufacturing under the Leadership of Core Manufacturing Company
Abstract
1. Introduction
2. Evolutionary Game Model Construction
2.1. Model Description and Assumptions
2.1.1. The Game’s Central Premise
2.1.2. Set of Game Strategies
2.1.3. Parameter Hypothesis
2.2. Payoff Matrix and Replicator Dynamic Equation
3. Evolutionary Stable Strategy Analysis
4. Numerical Simulations
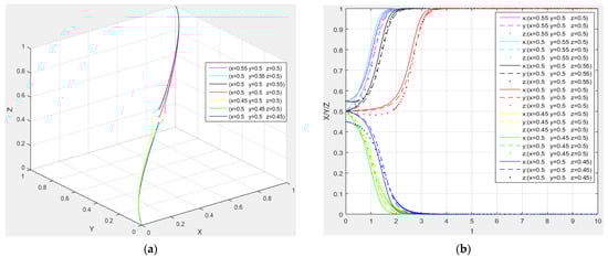
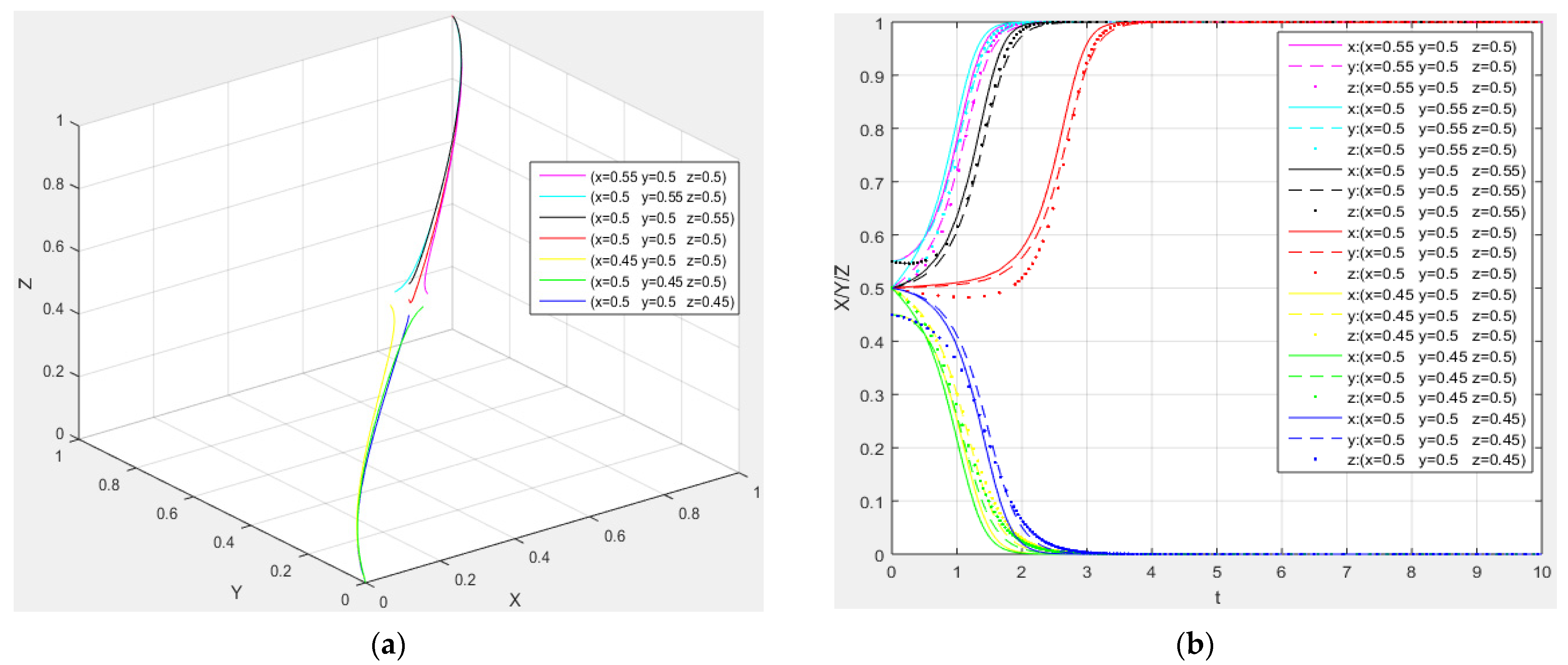
4.1. Impact of Initial Willingness to Share
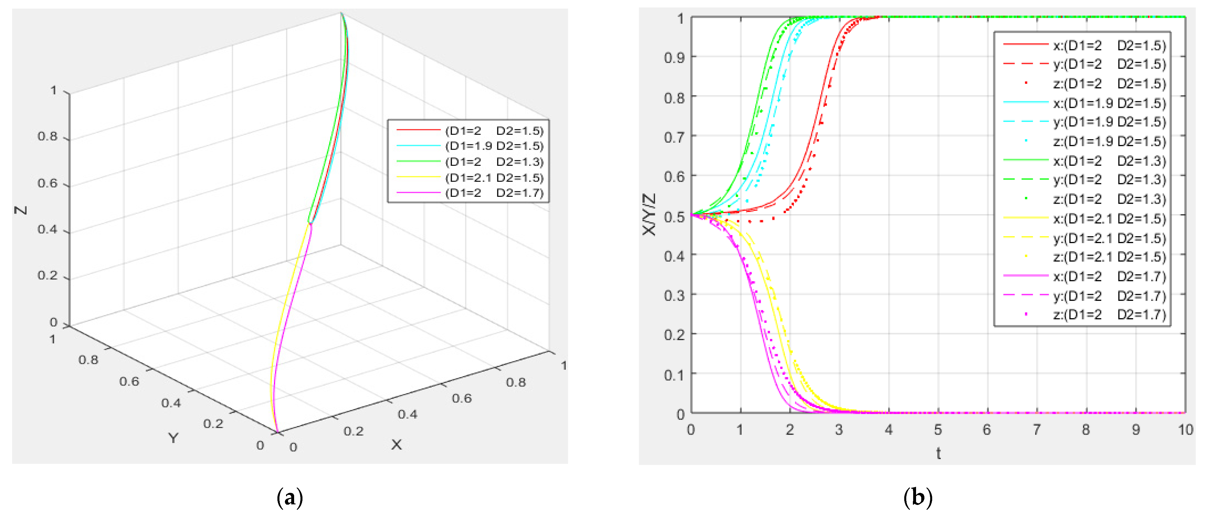
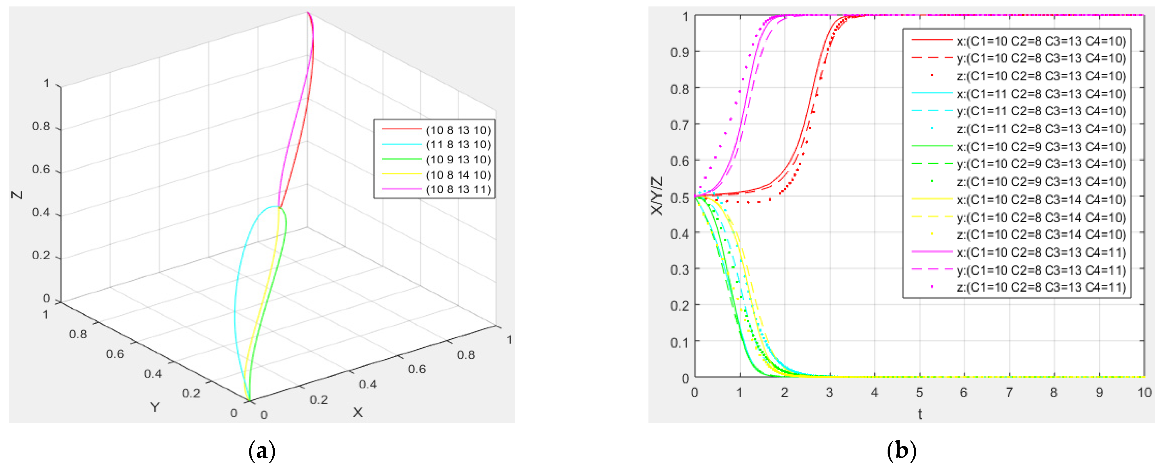
4.2. Impact of the Additional Sharing Costs
4.3. Impact of the Speculative Income
4.4. Impact of the Default Losses
4.5. Impact of the Additional Income when Only One Non-Core Manufacturing Company Defaults
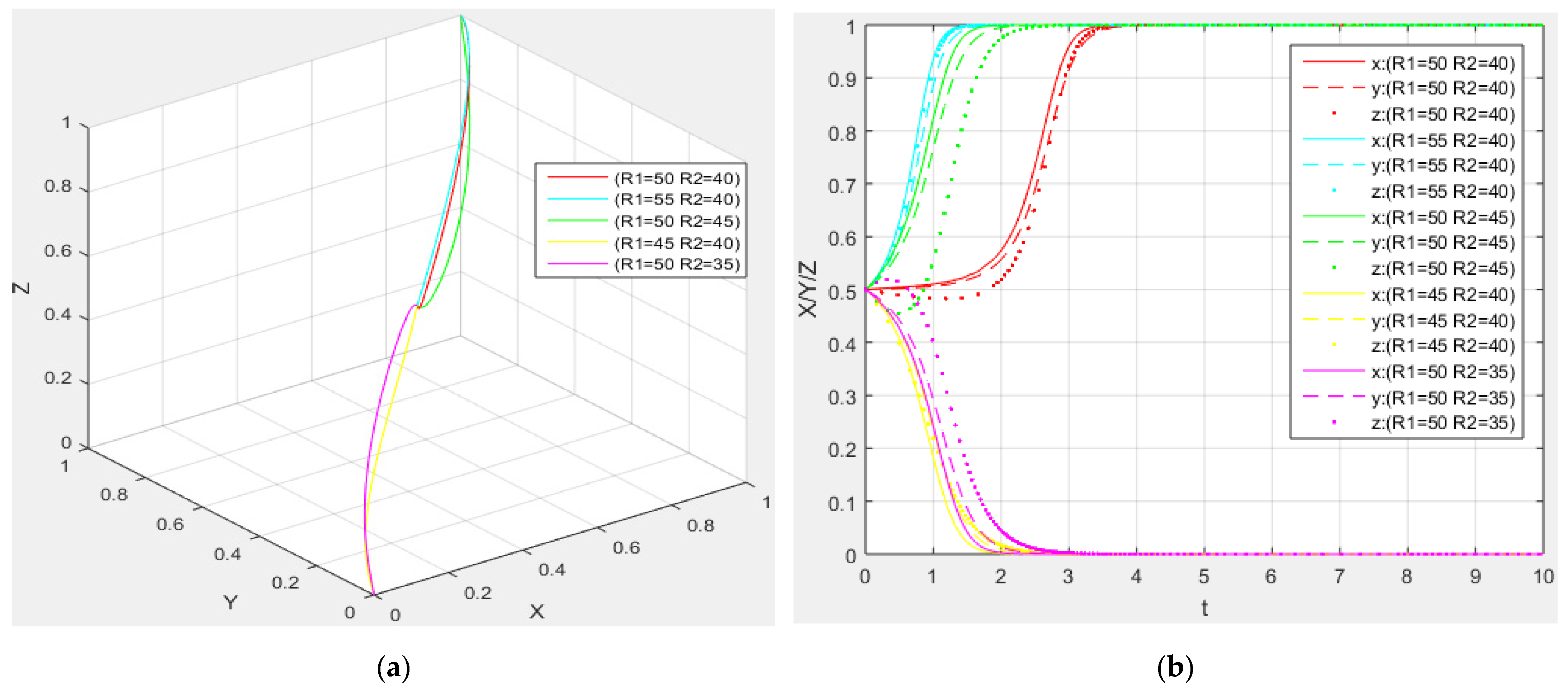
4.6. Impact of the Additional Income when All Non-Core Companies Participate in the Sharing
4.7. Impact of the Additional Income Distribution Ratio
4.8. Impact of the Excess Income by Core Manufacturing Company Providing High Service Level
5. Conclusions
Author Contributions
Funding
Institutional Review Board Statement
Informed Consent Statement
Data Availability Statement
Acknowledgments
Conflicts of Interest
References
- Ellen, B. A vision for shared manufacturing. Mech. Eng. 1990, 112, 52–55. [Google Scholar]
- He, J.; Zhang, J.; Gu, X. Research on sharing manufacturing in Chinese manufacturing industry. Int. J. Adv. Manuf. Technol. 2019, 104, 463–476. [Google Scholar] [CrossRef]
- Jiang, P.; Li, P. Shared factory: A new production node for social manufacturing in the context of sharing economy. Proc. Inst. Mech. Eng. Part B J. Eng. Manuf. 2020, 234, 285–294. [Google Scholar] [CrossRef]
- Yu, C.; Xu, X.; Yu, S.; Sang, Z.; Yang, C.; Jiang, X. Shared manufacturing in the sharing economy: Concept, definition and service operations. Comput. Ind. Eng. 2020, 146, 106602. [Google Scholar] [CrossRef]
- Yu, C.; Jiang, X.; Yu, S.; Yang, C. Blockchain-based shared manufacturing in support of cyber physical systems: Concept, framework and operation. Robot. Comput.-Integr. Manuf. 2020, 64, 101931. [Google Scholar] [CrossRef]
- Rozman, N.; Diaci, J.; Corn, M. Scalable framework for blockchain-based shared manufacturing. Robot. Comput.-Integr. Manuf. 2021, 71, 102139. [Google Scholar] [CrossRef]
- Li, P.; Jiang, P. Enhanced agents in shared factory: Enabling high-efficiency self-organization and sustainability of the shared manufacturing resources. J. Clean. Prod. 2021, 292, 126020. [Google Scholar] [CrossRef]
- Xu, Y.; Zhi, R.; Zheng, F.; Liu, M. Online strategy and competitive analysis of production order scheduling problem with rental cost of shared machines. Chin. J. Manag. Sci. 2021, 54, 466–476. [Google Scholar] [CrossRef]
- Li, K.; Xiao, W.; Zhu, X. Pricing strategies for sharing manufacturing model based on the cloud platform. Control. Decis. 2022, 37, 1056–1066. [Google Scholar]
- Wang, G.; Zhang, G.; Guo, X.; Zhang, Y. Digital twin-driven service model and optimal allocation of manufacturing resources in shared manufacturing. J. Manuf. Syst. 2021, 59, 165–179. [Google Scholar] [CrossRef]
- Yan, P.; Yang, L.; Che, A. Review of supply-demand matching and scheduling in shared manufacturing. Syst. Eng.-Theory Pract. 2022, 42, 811–832. [Google Scholar]
- Zhang, Z.; Wang, X.; Su, C.; Sun, L. Evolutionary Game Analysis of Shared Manufacturing Quality Innovation Synergetic Behavior Considering a Subject’s Heterogeneous Emotions. Processes 2022, 10, 1233. [Google Scholar] [CrossRef]
- Zhang, Z.; Wang, X.; Su, C.; Sun, L. Evolutionary Game Analysis of Shared Manufacturing Quality Synergy under Dynamic Reward and Punishment Mechanism. Appl. Sci. 2022, 12, 6792. [Google Scholar] [CrossRef]
- Zhang, G.; Chen, C.; Liu, B.; Li, X.; Wang, Z. Hybrid sensing-based approach for the monitoring and maintenance of shared manufacturing resources. Int. J. Prod. Res. 2021, 1–19. [Google Scholar] [CrossRef]
- Ji, M.; Ye, X.; Qian, F. Parallel-machine scheduling in shared manufacturing. J. Ind. Manag. Optim. 2022, 18, 681–691. [Google Scholar] [CrossRef]
- Wei, Q.; Wu, Y. Two-machine hybrid flow-shop problems in shared manufacturing. Comput. Model. Eng. Sci. 2022, 131, 1125–1146. [Google Scholar] [CrossRef]
- Chen, J.; Tang, Q. Research on the efficiency measurement of high-quality development of sharing manufacturing in China based on three-stage DEA-malmquist method. J. Ind. Technol. Econ. 2022, 341, 106–115. [Google Scholar]
- Richard, E.B.; Fred, D.; Cody, J.H.; Gary, E.S.; Edward, S.; Steven, S. A group technology model to assess consolidation and reconfiguration of multiple industrial operations—A shared manufacturing solution. Int. J. Comput. Integr. Manuf. 1993, 6, 311–322. [Google Scholar]
- Lujak, M.; Fernandez, A.; Onaindia, E. Spillover algorithm: A decentralised coordination approach for multi robot production planning in open shared factories. Robot. Comput.-Integr. Manuf. 2021, 70, 102110. [Google Scholar] [CrossRef]
- Ji, P.; Ma, X.; Li, G. Developing green purchasing relationships for the manufacturing industry: An evolutionary game theory perspective. Int. J. Prod. Econ. 2015, 166, 155–162. [Google Scholar] [CrossRef]
- Luo, J.; Li, W.; Zhao, Y. Stability analysis of manufacturing enterprise service derivative based on evolutionary game theory. J. Syst. Eng. 2016, 31, 761–771. [Google Scholar]
- Wu, J.; Che, X.; Sheng, Y.; Chen, L.; Shi, Q. Study on government-industry-university-institute collaborative innovation based on tripartite evolutionary game. Chin. J. Manag. Sci. 2019, 27, 162–173. [Google Scholar]
- Wu, J.; Tang, X.; Sheng, Y.; Wei, X.; Mao, X. Research on the collaborative innovation mechanism among the government, enterprises and universities in the post-subsidy era of new energy automobiles based on tripartite evolutionary game theory. Oper. Res. Manag. Sci. 2021, 30, 96–102. [Google Scholar]
- Zhu, L.; Rong, J. Three-party evolutionary game and simulation analysis of drug quality supervision under the government reward and punishment mechanism. Chin. J. Manag. Sci. 2021, 29, 55–67. [Google Scholar]
- Cui, M. Tripartite evolutionary game analysis for environmental credit supervision under the background of collaborative governance. Syst. Eng.-Theory Pract. 2021, 41, 713–726. [Google Scholar]
- Wang, H. Study on shared parking industry promotion based on tripartite evolutionary game. Shanghai Manag. Sci. 2020, 42, 107–112. [Google Scholar]
- Wang, T.; Li, C.; Yuan, Y.; Liu, J.; Adeleke, I.B. An evolutionary game approach for manufacturing service allocation management in cloud manufacturing. Comput. Ind. Eng. 2019, 133, 231–240. [Google Scholar] [CrossRef]
- Qi, E.; Li, T.; Liu, L.; Zhao, Y.; Qiao, G. The evolutionary game analysis of the sharing of manufacturing resource in the environment of cloud manufacturing. Oper. Res. Manag. Sci. 2017, 26, 25–34. [Google Scholar]
- Hao, J.; Zhao, D. Tripartite-players evolutionary game analysis of the manufacturing capacity sharing in the environment of sharing economy. Oper. Res. Manag. Sci. 2021, 30, 1–7. [Google Scholar]
- Feng, C.; Ma, R. Analysis of evolutionary game between manufacturing enterprises and service providers based on servitization. Chin. J. Manag. Sci. 2022, 30, 263–274. [Google Scholar]
- Zhao, X.; Meng, X. Evolutionary game decision between manufacturer and remanufacturer in the authorization mode. Chin. J. Manag. Sci. 2021, 29, 129–136. [Google Scholar]
- Bo, H.; Wang, X.; Li, H.; Qi, L. Research on Evolution of Service-Oriented Capacity Sharing Platform Model Considering Maturity Incentive. Ind. Eng. Manag. 2021, 26, 123–131. [Google Scholar]
- Zhu, H.; Ren, N.; Wang, N. Evolutionary game analysis on transaction of cloud manufacturing service plat form based on block chain. Comput. Integr. Manuf. Syst. 2022, 28, 629–642. [Google Scholar]
- Hosseini-Motlagh, S.M.; Choi, T.M.; Johari, M.; Nouri-Harzvili, M. A profit surplus distribution mechanism for supply chain coordination: An evolutionary game-theoretic analysis. Eur. J. Oper. Res. 2022, 301, 561–575. [Google Scholar] [CrossRef]
- Biancardi, M.; Iannucci, G.; Villani, G. An evolutionary game on compliant and non-compliant firms in groundwater exploitation. Ann. Oper. Res. 2022. [Google Scholar] [CrossRef]










| Notations | Explanation |
|---|---|
| x, y | The initial willingness of non-core manufacturing companies A and B to participate in the sharing. |
| z | The initial willingness of core manufacturing company C to provide high service levels. |
| Ni | The cost of manufacturing companies when they don’t participate in the sharing. |
| Wi | The income of manufacturing companies when they don’t participate in the sharing. |
| Ci | The additional costs for non-core manufacturing companies A and B to participate in the sharing (i = 1, 2). |
| Ci | The additional costs for core manufacturing company C to provide high or low service levels (i = 3, 4). |
| Di | The speculative income of non-core manufacturing companies A and B (i = 1, 2). |
| Si | The default losses of non-core manufacturing companies A and B (i = 1, 2). |
| Li | The additional income of core manufacturing company C providing high or low service levels when only one non-core manufacturing company does not participate in the sharing (i = 1, 2). |
| Ri | The additional income of core manufacturing company C providing high or low service levels when all non-core manufacturing companies participate in the sharing (i = 1, 2). |
| αi | The additional income distribution ratio of companies participating in the sharing (i = 1, 2, 3). |
| V | The excess income of core manufacturing company C providing high service levels when all non-core manufacturing companies participate in the sharing. |
| Type B Company Shares | Type B Company Doesn’t Share | ||
|---|---|---|---|
| Type C company provides high service levels | Type A company shares | α3R1 + W3 − C3 − N3 + V | L1 + W3 − C3 − N3 + S2 |
| α1R1 + W1 − C1 − N1 | L1 + W1 − C1 − N1 | ||
| α2R1 + W2 − C2 − N2 | W2 + D2 − N2 − S2 | ||
| Type A company doesn’t share | L1 + W3 − C3 − N3 + S1 | W3 − N3 − C3 + S1 + S2 | |
| W1 + D1 − N1 − S1 | W1 + D1 − N1 − S1 | ||
| L1 + W2 − C2 − N2 | W2 + D2 − N2 − S2 | ||
| Type C company provides low service levels | Type A company shares | α3R2 + W3 − N3 − C4 | L2 + W3 − N3 + S2 − C4 |
| α1R2 + W1 − C1 − N1 | L2 + W1 − C1 − N1 | ||
| α2R2 + W2 − C2 − N2 | W2 + D2 − N2 − S2 | ||
| Type A company doesn’t share | L2 + W3 − N3 + S1 − C4 | W3 − N3 − C4 + S1 + S2 | |
| W1 + D1 − N1 − S1 | W1 + D1 − N1 − S1 | ||
| L2 + W2 − C2 − N2 | W2 + D2 − N2 − S2 |
| Equilibrium Point | Eigenvalues | Stability | |||||
|---|---|---|---|---|---|---|---|
| λ1 | Symbol | λ2 | Symbol | λ3 | Symbol | ||
| E1(0, 0, 0) | L2 − C1 + S1 − D1 | + | L2 − C2 + S2 − D2 | + | C4 − C3 | − | Unstable |
| E2(0, 0, 1) | L1 − C1 + S1 − D1 | + | L1 − C2 + S2 − D2 | + | − (C4 − C3) | + | Unstable |
| E3(0, 1, 0) | α1R2 − C1 − D1 + S1 | + | −(L2 − C2 + S2 − D2) | − | (L1 − L2) + C4 − C3 | +, − | Unstable |
| E4(0, 1, 1) | α1R1 − C1 − D1 + S1 | + | −(L1 − C2 + S2 − D2) | − | −[(L1 − L2) + C4 − C3] | +, − | Unstable |
| E5(1, 0, 0) | −(L2 − C1 − D1 + S1) | − | α2R2 − C2 − D2 + S2 | + | (L1 − L2) + C4 − C3 | +, − | Unstable |
| E6(1, 0, 1) | −(L1 − C1 − D1 + S1) | − | α2R1 − C2 − D2 + S2 | + | −[(L1 − L2) + C4 − C3] | +, − | Unstable |
| E7(1, 1, 0) | −(α1R2 − C1 − D1 + S1) | − | −[α2R2 − C2 − D2 + S2] | − | α3(R1 − R2) + V + C4 − C3 | + | Unstable |
| E8(1, 1, 1) | −(α1R1 − C1 − D1 + S1) | − | −[α2R1 − C2 − D2 + S2] | − | −[α3(R1 − R2) + V + C4 − C3] | − | ESS |
| Equilibrium Point | Eigenvalues | Stability | |||||
|---|---|---|---|---|---|---|---|
| λ1 | Symbol | λ2 | Symbol | λ3 | Symbol | ||
| E1(0, 0, 0) | L2 − C1 + S1 − D1 | − | L2 − C2 + S2 − D2 | − | C4 − C3 | − | ESS |
| E2(0, 0, 1) | L1 − C1 + S1 − D1 | +, − | L1 − C2 + S2 − D2 | +, − | −(C4 − C3) | + | Unstable |
| E3(0, 1, 0) | α1R2 − C1 − D1 + S1 | + | −(L2 − C2 + S2 − D2) | + | (L1 − L2) + C4 − C3 | +, − | Unstable |
| E4(0, 1, 1) | α1R1 − C1 − D1 + S1 | + | −(L1 − C2 + S2 − D2) | +, − | −[(L1 − L2) + C4 − C3] | +, − | Unstable |
| E5(1, 0, 0) | −(L2 − C1 − D1 + S1) | + | α2R2 − C2 − D2 + S2 | + | (L1 − L2) + C4 − C3 | +, − | Unstable |
| E6(1, 0, 1) | −(L1 − C1 − D1 + S1) | +, − | α2R1 − C2 − D2 + S2 | + | −[(L1 − L2) + C4 − C3] | +, − | Unstable |
| E7(1, 1, 0) | −(α1R2 − C1 − D1 + S1) | − | −[α2R2 − C2 − D2 + S2] | − | α3(R1 − R2) + V + C4 − C3 | + | Unstable |
| E8(1, 1, 1) | −(α1R1 − C1 − D1 + S1) | − | −[α2R1 − C2 − D2 + S2] | − | −[α3(R1 − R2) + V + C4 − C3] | − | ESS |
Publisher’s Note: MDPI stays neutral with regard to jurisdictional claims in published maps and institutional affiliations. |
© 2022 by the authors. Licensee MDPI, Basel, Switzerland. This article is an open access article distributed under the terms and conditions of the Creative Commons Attribution (CC BY) license (https://creativecommons.org/licenses/by/4.0/).
Share and Cite
Liu, P.; Wei, X. Three-Party Evolutionary Game of Shared Manufacturing under the Leadership of Core Manufacturing Company. Sustainability 2022, 14, 13682. https://doi.org/10.3390/su142013682
Liu P, Wei X. Three-Party Evolutionary Game of Shared Manufacturing under the Leadership of Core Manufacturing Company. Sustainability. 2022; 14(20):13682. https://doi.org/10.3390/su142013682
Chicago/Turabian StyleLiu, Peng, and Xiaoling Wei. 2022. "Three-Party Evolutionary Game of Shared Manufacturing under the Leadership of Core Manufacturing Company" Sustainability 14, no. 20: 13682. https://doi.org/10.3390/su142013682
APA StyleLiu, P., & Wei, X. (2022). Three-Party Evolutionary Game of Shared Manufacturing under the Leadership of Core Manufacturing Company. Sustainability, 14(20), 13682. https://doi.org/10.3390/su142013682
