Next Article in Journal
Understanding Shared Autonomous Vehicle Preferences: A Comparison between Shuttles, Buses, Ridesharing and Taxis
Next Article in Special Issue
Modelling of Metaheuristics with Machine Learning-Enabled Cybersecurity in Unmanned Aerial Vehicles
Previous Article in Journal
Circular Economy Strategies with Social Implications: Findings from a Case Study
Previous Article in Special Issue
Refined Information Service Using Knowledge-Base and Deep Learning to Extract Advertisement Articles from Korean Online Articles
 
 
Font Type:
Arial Georgia Verdana
Font Size:
Aa Aa Aa
Line Spacing:
Column Width:
Background:
Article

STBEAT: Software Update on Trusted Environment Based on ARM TrustZone

1
Institute of Information Systems and Applications, National Tsing Hua University, Hsinchu 300, Taiwan
2
Institute of Information Security, National Tsing Hua University, Hsinchu 300, Taiwan
3
Department of Computer Science, National Tsing Hua University, Hsinchu 300, Taiwan
*
Author to whom correspondence should be addressed.
Sustainability 2022, 14(20), 13660; https://doi.org/10.3390/su142013660
Submission received: 25 August 2022 / Revised: 14 October 2022 / Accepted: 19 October 2022 / Published: 21 October 2022

Abstract

:
In recent years, since edge computing has become more and more popular, its security issues have become apparent and have received unprecedented attention. Thus, the current research concentrates on security not only regarding devices such as PCs, smartphones, tablets, and IoTs, but also the automobile industry. However, since attack vectors have become more sophisticated than ever, we cannot just protect the zone above the system software layer in a certain operating system, such as Linux, for example. In addition, the challenges in IoT devices, such as power consumption, performance efficiency, and authentication management, still need to be solved. Since most IoT devices are controlled remotely, the security regarding system maintenance and upgrades has become a big issue. Therefore, a mechanism that can maintain IoT devices within a trusted environment based on localhost or over-the-air (OTA) will be a viable solution. We propose a mechanism called STBEAT, integrating an open-source project with ARM TrustZone to solve the challenges of upgrading the IoT system and updating system files more safely. This paper focuses on the ARMv7 architecture and utilizes the security stack from TrustZone to OP-TEE under the STM32 board package, and finally obtains the security key from the trusted application, which is used to conduct the cryptographic operations and then install the newer image on the MMC interface. To sum up, we propose a novel software update strategy and integrated ARM TrustZone security extension to beef up the embedded ecosystem.

1. Introduction

Due to the growing market for the internet of things, most internet of things devices use ARM architecture to implement their products. ARM is a family of reduced instruction set computer (RISC) architecture, which has several advantages as shown below:
  • The instruction length is fixed so that the difficulty to design the instruction decoder can be reduced;
  • It is a load/store machine, which means all data-processing operations can only be operated on the registers, which could optimize the latency;
  • Small code size with a highly optimized set of instructions, such as a combination between arithmetic and logical operations on shift instructions.
There are several generations of ARM design. The architecture of each generation comes with subtly different profiles: (1) “Application profile”—it supports the virtual memory system architecture based on an MMU, and both ARM and Thumb instruction sets as well; (2) “Real-time profile”—it serves a protected memory system architecture based on an MPU; (3) and “Microcontroller profile”—this model is designed for fast interrupt processing and easy integration into an FPGA for processors and is suitable for low power applications [1].
This research focuses on ARM TrustZone technology, which has been proposed since ARMv6 architecture. TrustZone is a security extension of ARM System-On-Chip (SoC) covering the processors, memory, and peripherals, dividing them into the normal world and the secure world [2]. As can be expected, the normal world cannot directly read from or write to the secure world or perform any direct access operations. This feature has been defined as the trusted execution environment (TEE) by the GlobalPlatform which has spent a lot of time and resources standardizing the TEE internal API. This organization emphasized “the TEE is a secure area of the main processor of a device and must offer isolated safe execution of authorized security software” [3].
Basically, STBEAT is based on the integration SWUpdate [4] and OP-TEE [5,6] projects to create a trusted update environment and relies on the original mechanism to avoid corruption of the update procedure. In the past, upgrading or patching a system was challenging. Once the update process fails, the system will corrupt. IoT devices have low computing power to complete complex mechanisms, but we want to make software upgrades easy and secure to deploy.
The MPU of STM32 [7,8] is based on the ARM Cortex-A profile, which uses the ARM TrustZone architecture to isolate resources. As shown in Figure 1, here we take ARMv8-A as an example. It defines several exception levels as follows:
  • EL0 is the lowest execution level, allowing applications to make unprivileged calls.
  • EL1 on the normal side is the execution level of the normal operating system.
  • EL1 on the secure side is the exception level for secure monitor execution.
  • EL2 is the hypervisor layer and is only used for the non-secure world.
The Linux kernel and its application framework belong to the normal world, on the other hand, the secure monitor with minimal services or trusted operating system belongs to the secure world.
Thanks to the TrustZone [10,11,12] support of the STM32MP157 microprocessor, our system protection solution is all encompassing and not limited to the CPU context. The architecture provides the bus and peripheral infrastructure to ensure that the secure world uses a fully secure pipeline to control secure peripherals. For example, internal or external peripherals can be used by the secure world to support cryptographic operations.
The TrustZone divides the environment into a secure world and a non-secure world. The secure world guarantees code and data integrity with hardware support to isolate the context of the CPU. The protected resources can be DDR locations, SoC peripheral interfaces, or SoC internal resources. Basically, STBEAT is based on the integration SWUpdate and OP-TEE projects to create a trusted update environment and rely on the original mechanism to avoid the update corruption. In the past, upgrading or patching a system used to be a challenge. Once the update process fails, the system will corrupt, but IoT devices have the low computing power to complete complex mechanisms, which we want to make software upgrades easy and secure to deploy.

1.1. SWUpdate Project

The SWUpdate project is a mature OTA updater for embedded Linux devices and is also a completely open-source project. The code of SWUpdate is released under open-source licenses and is integrated with other free and open source software (FOSS) [13] projects. The SWUpdate has many benefits, such as the following:
  • It is careful about using resources. It has a small footprint and low usage of resources and can be integrated into devices with limited memory and flash storage. Its zero-copy option allows the installation of new software without the need for temporary copies and access to resources.
  • The SWUpdate is developed with security in mind to prevent unauthorized software from running on your device.
  • SWUpdate is highly customizable and flexible so that you do not need to change your project for SWUpdate. You can adapt it to some specific update requirements.
  • It is easy to use and has many use cases. You can update from a USB stick, or need a management system to deploy.
The main functional details of SWUpdate are as follows:
  • The SWUpdate supports signing with RSA keys and with certificates using your own PKI infrastructure to validate authorized and trusted updates with signed and verified update packages.
  • The rollback mechanism detects whether the installed software is working properly and rolls back to the previously installed version in case of failure.
  • SWUpdate supports zero-copy, which can be installed directly on the storage without creating temporary files.
  • SWUpdate supports two ways to update your system. One is an offline update, such as USB, SD, and various other local interfaces. The other is the OTA update, which has an integrated webserver to upgrade the device.
The SWUpdate has been widely used to provide a secure and reliable way to update products, and due to its high flexibility, we do not need any special requirements and it can be integrated into any embedded system project. That is the reason we chose this open source project to improve security by supporting TrustZone.

1.2. Contributions

This paper utilizes the TrustZone extensions and integrates OP-TEE designed primarily to rely on ARM Trust- Zone technology into STBEAT to develop a better and more secure way to update software [14]. The SWUpdate is an open-source project aimed to provide a full-scale solution to upgrade embedded systems and their files. Nevertheless, SWUpdate runs on Linux under the normal world of the ARM core, and we made practical improvements to SWUpdate to isolate the crypto operations and added them to trusted applications.
When SWUpdate is triggered, it will create a channel between the normal and secure sides, and then SWUpdate communicates with the trusted application and uses the pre-defined commands to execute further installation. More details are provided in [9,15,16]. To sum up, our contributions are as follows:
  • We implement the prototype of the software update mechanism through ARM TrustZone, and also modify the SWUpdate client of the open source software update project to meet our requirements.
  • We regard security as the default option of enterprise products.
  • We integrate OP-TEE and SWUpdate to make the embedded ecosystem more secure because we directly modified the upstream project, so developers can use the project without modification.
We summarize the concept of TEE, which is based on ARM TrustZone technology, and TrustZone architecture, which is the system design solution from ARM. In addition, there are several projects of TEE, for example, Linux is based on OP-TEE, Android is based on Trusty, a specific vendor such as Samsung is based on TZ-RKP, and Qualcomm is based on QSEE, to name a few. Currently, the system software threat is no longer merely hijacking the root privileges because the critical data has been placed in the TEE environment to separate resources and provide secure services including user authentication, usage of secure resources, and trusted isolation and processing.
Due to the above-mentioned restricted access mechanisms, we can put critical calculations into the secure world to protect data effectively, even if the normal world has the highest privilege to take control. If we want to obtain the kinds of output such as calculation results or private data from the secure world while in the normal world, one way to achieve our goal is to trigger the TEE driver to make a secure monitor call and switch the control to the secure world. We built the software update application into the secure world, making every transaction of the update procedure secure. We improved security and made them the default option for commercial products.
In the following sections of this paper, we will introduce the required background knowledge of this paper. Section 2 introduces the SDK from STM32, TEE implementation, SWUpdate project and reviews the system architecture and related works. Section 3 and Section 4 present experiments to demonstrate the integration, and evaluate whether the result is successful and meaningful. Finally, Section 5 and Section 6 summarize the fundamental framework contribution and give directions for future work.

2. Related Works

2.1. STM32MP15 Microprocessor

As the specification of STM32MP15 [17] microprocessors, they are based on the Arm Cortex-A7 [13] dual core. Furthermore, there are many product lines to meet the different requirements of customers, such as the following:
  • STM32MP151: Single Cortex-A7 with Cortex-M4, without GPU.
  • STM32MP153: Dual Cortex-A7 with Cortex-M4, without GPU.
  • STM32MP157: Dual Cortex-A7 with Cortex-M4, with GPU.
Additionally, different types have different security functions and CPU clock frequencies.
  • STM32MP15xA: only have basic security functions, with clock rate of 650 MHz.
  • STM32MP15xC: have secure boot and cryptography module, with clock rate of 650 MHz.
  • STM32MP15xD: only have basic security functions, with clock rate of 800 MHz.
  • STM32MP15xF: have secure boot and cryptography module, with clock rate 800 MHz.
All in all, as shown in Figure 2, the STM32MP15F block diagram describes that it supports more security extensions. Including TrustZone, we focused on, in this paper, the AES/DES hardware module, secure ROM and RAM, and peripherals.

2.2. Scratch Block Mechanism to Prevent System Damage

Since various update strategies have been proposed, the relevant distinguishing points among them are the encryption key and the update methods. This approach develops a reliable mechanism to divide the flash memory into the current boot area and the storage area, which is ready to be updated [18]. The agent on the normal world side is responsible for communicating with the remote server and downloading the new software and then installing it in the local storage. After that, the client sends the notification to the device for a reboot. During the update process, the trusted application will check the metadata of the software and verify the hash value or signature of the entire image.
Further, when beginning the new software update, there are three regions allocated for the new image block, old image block, and scratch block. The new image block is the place where we want to flash with a new software package; the old image block is the system currently running; the scratch block is the temporary buffer employed to swap in and swap out. This mechanism is designed to prevent system corruption caused by power loss or software update errors during updates.
We begin by copying the new image block to the scratch area first, then copying the old image block to the new image block, and finally copying the scratch block to the old image block; we just keep cycling through these steps. After the exchange of each block, the relevant information is recorded in a reserved memory area.
If there is a power failure or an aborted update during the update process, the bootloader will obtain the recorded information from the previous update and continue the update process. Therefore, this mechanism can ensure the integrity of software updates.
Moreover, there are many encryption and decryption processing operations in a secure system, including encrypted data storage or secure connections to remote servers. A secure and isolated system offers the most significant improvement in key management, and we can place critical keys into the secure world. At this moment, the non-secure world has to request the encryption or decryption operation and the specific encryption or decryption handlers to perform it.

2.3. Secure Transmission and Multiple Encryption Support

Since the solution mentioned above is not comprehensive enough, this research proposes a novel and more secure update process to compensate for the shortcomings [19]. When the host application starts to update the system, it will securely download firmware using an HTTPS connection from a remote server. After downloading system images, the host application will divide the firmware into several blocks and send each block to a trusted application to calculate the SHA256 checksum.
This approach also defines the signature generated by the computational checksum using firmware and the RSA public key. Hence, the trusted application compares the checksum with the signature, which is passed by the host application. If all verification processes are passed, the trusted application will write the firmware to the MMC interface or NAND flash memory through their driver in the secure world.

2.4. Boot Chain Overview [20]

As shown in Figure 3, the first startup program is ROM code, also known as the ROM stage. The ROM code is a piece of software that is stored in the read-only memory (ROM). The ROM code is the first executed by the processor, and it will select the boot device as the first-stage boot loader (FSBL) to load into embedded RAM. In addition, it will perform the basic clock tree initialization and FSBL loading from the boot device and FSBL launch in the ROM stage.
The next stage is FSBL, which will complete the initialization of the clock tree and the external RAM controller. After initialization, the FSBL will load the second-stage boot loader (SSBL) into the external RAM and jump to it.
The next stage is SSBL, which runs in wide RAM. It can support complicated features, such as USB, Ethernet, and display. The U-Boot is commonly used for the Linux bootloader in this stage.

2.5. Secure Boot [21]

The STM32 MPU also supports the secure boot mechanism to ensure the integrity of the platform at runtime. The STM32 trusted boot chain is outlined below:
  • Configuration of execution rules of the platform, the rules are the essential elements for a safe execution on the platform.
  • The integrity and authentication, which uses hash algorithms and asymmetric cryptography algorithms to verify boot software components.
The OpenSTLinux is a platform for the STM32 MPU that uses TF-A for trusted boot and peripheral access control.
As we know, there are two solutions to provide services in terms of security. One of the runtime services is TF-A SP_MIN, which is a minimal secure service provider, provided by TF-A, including PSCI controls, SCMI resources, and other services for power states transition or platform facilities. Another secure service provider is the OP-TEE operating system, recommended by STMicroelectronics. It is an open-source TEE solution that can run core secure services and trusted applications, respectively. The trusted applications are used as secure components, exposing generic services to the non-secure side, such as random number generation or other cryptographic operations.
The mandatory step to ensure a secure boot is to load the TF-A BL2 firmware into RAM via ROM, so BL2 firmware needs to be encapsulated in a binary file that starts with an STM32 header that is able to authenticate and boot the firmware.
The further boot process will go to BL32, which can be either SP-MIN or OP-TEE, and the next stage is BL33, which boots the normal operating system via U-Boot.
In summary, as shown in Figure 4, the boot chain of STM32MP15 uses TF-A as the first-stage bootloader, and it uses U-Boot as the second-stage bootloader. In addition, we can enable or disable the secure boot mechanism so that we can run a secure variant on any STM32MP15 device to accommodate.

3. Methodology

3.1. Architecture

As the architecture overview in Figure 5 shows, we use a typical operating system such as Linux in the normal world. Moreover, we use the OP-TEE operating system as a server to serve the normal world. We propose this strategy and conducted experiments on the STM32MP1 family of platforms with two ARM cores, Cortex A7 and Cortex M4. Our experiments do not use the Cortex M4 subsystem instead using Cortex A7, which is a 32-bit ARMv7-A architecture microprocessor with TrustZone support. We use the arm trusted firmware (TF-A) to plan resource allocation and assign resource access control policies to boot up the platform. After booting TF-A, the secure OS OP-TEE will be loaded into memory and then controlled to U-Boot, which is used as the bootloader for the normal world operating system.
Once all startup processes are complete, the SWUpdate client is in standby mode as a daemon process and waits for update events. If the client application is called by an event, it will trigger a system call to trap into kernel mode. After the soft interrupt is processed, the next step is to find out the tee driver to make a secure monitor call instruction to change the world state.
All in all, the SWUpdate client and trusted application are located in the normal world and the secure world, respectively. The update process relies on the above two components, the TEE driver within the Linux kernel and the OP-TEE operating system, which is responsible for handling requests from the TEE driver and trusted applications.

3.2. Tee-Supplicant

The tee-supplicant is one handler of trusted application requests, as shown in Figure 6. TA can send the remote procedure call to the tee-supplicant, which is constructed by an infinite loop to process requests from TA. As shown in Figure 5, we use the method to load TA dynamically; thus, when the SWUpdate initializes the context, TA will be loaded with universal unique identification (UUID) passed by the SWUpdate client and put into the secure world by the tee-supplicant. When TA is initialized, a channel is established between the normal and the secure world to exchange information.

3.3. SWUpdate

SWUpdate is an open-source project based on the GPLv2 license and a Linux-based update agent, which supports multiple update strategies on both local and over-the-air (OTA). Moreover, SWUpdate has many features, such as the ability to update the roots and kernel of the device, the ability to install the system files into embedded media (eMMC/SD/NAND/NOR), and some of the embedded media requiring the memory technology device (MTD) library for bridging. This paper relies on the single copy mechanism to update the system and files, but we still plan to provide a comprehensive solution by the dual-copy mechanism to reduce the impact on system corruption or critical file leakage.

3.4. OP-TEE Architecture

The OP-TEE project includes many secure and non-secure components to support trusted applications. As shown in Figure 7, the main components of OP-TEE are the OP-TEE core and shared libraries of trusted applications on the secure side, and the client API library, which is constructed by the OP-TEE supplicant and the OP-TEE Linux kernel driver on the non-secure side.
As mentioned above, the OP-TEE core executes in secure privileged mode, while trusted applications are executed in secure user mode. OP-TEE can load trusted applications stored in the file system of the Linux operating system or the OP-TEE core boot image. Trusted libraries include the TEE internal core API libraries provided by OP-TEE for trusted application development, and OP-TEE also supports the loading of static and dynamic libraries in the TEE.
The OP-TEE core can use non-secure userland supplicant, which can be invoked through the OP-TEE Linux kernel driver. A scenario for this service is that we need to access a non-volatile device that is controlled on the non-secure side, so we need the suppliant to handle this request from a trusted application.
OP-TEE is initialized and ready to serve when the Linux kernel is booted. As shown in Figure 8, the TEE driver in the Linux kernel is a generic API, which is exposed from the “libtee” library and is the interface among the SWUpdate client, the trusted OS, and the tee-supplicant.
There are several scenarios that meet our proposal:
  • For a non-secure application, services are invoked from a trusted application. The non-secure application first calls the TEE Client API library and then invokes the OP-TEE driver of the Linux kernel. The OP-TEE driver performs the secure monitor call, switches the context to the secure world, and reaches the OP-TEE core. In the last stage, the OP-TEE core transfers the request to the target trusted application. After the trusted application completes the request, the system branches back to the calling application. In addition, if the invoked trusted application is not yet loaded into the TEE, the OP-TEE core will make a remote procedure call through a non-secure TEE supplicant to load the trusted application. In this scenario, we send the command for the secret key parameters to the TEE driver and then forward it to the secure side to generate a new symmetric key for decrypting the encrypted image. When all images are decrypted, we use the original function of SWUpdate to install the decrypted images to the eMMC via the dual copy mechanism. If the upgrade process fails, we can reverse the operation by restoring the original partition or logical block.
  • For the OP-TEE core to call a non-secure remote service, the OP-TEE core invokes the Linux kernel OP-TEE driver and forwards the request to the TEE supplicant daemon, and the system returns the request status to the OP-TEE core.
  • For a trusted application to invoke an OP-TEE core service, most services must be executed in the privileged mode of the OP-TEE core. The trusted application issues a system call to invoke the corresponding service from the TEE internal core API.

3.5. OpenSTLinux Distribution

While functioning as a mainlined open-source Linux distribution, OpenSTLinux distribution is also a key element of the STM32 Embedded Software solution for STM32 multi-market multi-core microprocessors (MPU) embedding a single or dual Arm® Cortex®-A7 core. OpenSTLinux Distribution contains the required packages listed below:
  • Linux board support package (BSP);
  • Linux kernel;
  • Secure boot chain based on ARM trusted firmware (TF-A) and universal bootloader (U-Boot);
  • Secure OS, open portable trusted execution environment (OP-TEE).

3.6. Implementation

We deployed the SWUpdate client application on a customized Linux Kernel and developed a stand-alone trusted application above the customized OP-TEE OS.
We isolated the cryptographic operations as a service to the trusted application. We spent more time determining which part has the most significant impact on security during the progress of developing SWUpdate. Finally, we found the relevant function symbols, install_raw_image and install_from_file included. Most of them will be redirected to the functions that write the image to each block of storage space. Here, we obtained the critical point of writing binary image files to storage and identified whether the image is encrypted and whether it has a SHA256 hash value to compare the decrypted image.
In a nutshell, our proposed update strategy begins with the SWUpdate client, as shown in Figure 9. Then, when the update event arrives, it triggers the SWUpdate daemon to perform further initialization:
  • The client takes the package from a local external interface or remote server and parses the package description.
  • The client-side searches for the encrypted image inside the package and initializes TA to obtain the Keyfile and decrypt it. During initialization, the random seed is required to regenerate the parameter Initialization vector (IVT). As Figure 10 shows, the symmetric key generator obtains the new IVT to generate a new AES key.
  • The next process is to use the AES key to decrypt the packaged image binary file.
  • It will check whether the hash value is valid.
If valid, it will write directly to the defined partition; if not, it will reject the upgrade event and abort the entire process.

4. Experimental Result

4.1. Demonstrates and Monitors the Transmission between the Server and Client

This section demonstrates our experiments with the STBEAT solution in several steps based on STM32MP157C-DK2 as shown in Table 1. We use the STM32 board for two reasons. First, the CPU family is ARM-based dual Cortex A7, which is the ARMv7 architecture and TrustZone security extensions supported. Second, STM32 has a comprehensive board support package to build and construct applications. The STM32MP157 board also has true random number generators (TRNG), hardware cryptographics, and hash processors. With the support of these functions, it is believed that one can generate a random seed from the TRNG and use the symmetric key to conduct operations based on hardware-based encryption engines. The last component is RAM, in which we need to allocate memory space for key generation and image decryption. By default, the OP-TEE operating system has limited memory for each process so we recompiled OP-TEE to adjust the memory space to utilize more RAM resources.
The ARM TrustZone is an isolation mechanism to separate an ARM CPU into two logical partitions. Since the original SWUpdate client runs in the normal world, we chose ARM TrustZone as our security solution to deploy. We designed the custom command to be event triggered and to follow the invocation conventions in the GP specification. Moreover, SWUpdate has many supported extension packages, including (a) compressed images using Zlib library and structured language to describe the image using the libconfig library, and (b) support for setting U-Boot variables, GRUB environments, and EFI Boot Guard to give flexibility to the boot process. To sum up, SWUpdate has the feature to update software remotely in an OTA fashion. Our experiment set up the Hawkbit server, an open-source project, and a back-end solution for rolling out software updates to constrained edge devices. After setting up the server, we deploy the update image to the STM32 device as shown in Figure 11, and then SWUpdate will start the upgrade process.

4.2. Build an Upgrade Package

In the first step, we build a new package with an upgrade image and a description file describing the type of image, including whether it is encrypted and the dynamic IVT value. From this, we need the libconfig library as Figure 12 to parse the description file, and use sysroot from buildroot to make it work.

4.3. Comparison

The upgrade image is encrypted by the symmetric key with the AES algorithm, which is standard and supported by SWUpdate [22]. We use the OpenSSL to generate the AES key and utilize it to encrypt the image. The comparison between the non-encrypted image and encrypted one is presented in Figure 13 and Figure 14.

4.4. Trusted Application Steps

In the second step, we check whether the device is ready and in standby mode, then send this new package to the SWUpdate client, whereby it will start the upgrade process as shown in Figure 15. At this moment, it will run the InitializeContext and bring up the trusted application via tee-supplicant by dynamical loading. After the trusted application has been initialized, the SWUpdate client will send our predefined command “TA_SWUPDATE_GET_AES_KEY” to the trusted application.
When the trusted application receives this command, it will calculate the IVT value based on the random seed of the downloaded package. By the way, since we need to output logs from OP-TEE, we use the onboard ST-LINK/V2-1 debugger: Virtual COM port and debug port connected to the host and connected to the board via Putty software. The image shows that the SWUpdate created a session with the trusted application and exchanged random seeds to generate new key parameters.
Eventually, the trusted application moves the generated binary of the key file to the shared memory so the SWUpdate client can retrieve the data from the shared memory to decrypt the image. Then, SWUpdate begins the upgrade progress and writes directly to the partition we specified.

4.5. Risk and Improvement

All in all, the image will be decrypted and installed to a predefined partition. Here, we use the single copy mechanism, which works by directly overwriting the original partition. However, there is a risk of power failure occurrence while updating, and there is also a risk that a direct overwrite could damage the currently running system and may cause the system to hang, as shown in Figure 16. Nevertheless, SWUpdate supports a dual copy mechanism to improve the installation process to make it safe and reliable, and we see this implementation as a future improvement.

5. Conclusions

The STBEAT solution is a comprehensive approach to securely update systems and can be applied to resource-limited embedded systems or slightly higher-performance MPU systems. Our scenario uses ARM-based Cortex A7, which is the ARMv7-A architecture. Therefore, it can also run this integrated and complete software system.
To sum up, our STBEAT solution has the following features: (1) Key protection: We place critical security keys in the secure side, accessible only to the secure world. This feature prevents unauthorized or unwanted requests from the normal world. Further, this feature makes key generation more secure than the original method of SWUpdate. (2) System image protection: We encrypt system images with the supported random seed, including kernel or file system or application binaries. In this way, if an attacker performs traffic sniffing, they will not know the file type and the original image file. More importantly, they will not know the decryption algorithm of the random seeds. This can improve security against certain kinds of rainbow table attacks.

Evaluation

Our STBEAT system resolves security issues through a novel software update method. System evaluation is also important because the user or any endpoint experience is the impact vector of this solution.
The measurement process is to download the binary file, set the decryption key, and install it on the interface after decryption. The difference between the normal world and the secure world is the TrustZone function. The client sends the command to the trusted application, which receives the command and processes the request. The time spent here is very costly because we have performed a lot of calculations here, including starting TA or generating new decryption keys or decoding parameters for use by the obfuscator. As shown in Figure 17, the average value of the solution with TrustZone disabled was 0.000046 s, and the average value of the solution with TrustZone enabled SWUpdate trusted applications was 0.27 s.
The increase is as high as 5000%, but we think this situation is acceptable because updates are not frequent in the real world, and the total time spent on user experience is not long.

6. Recommendations for Future Work

We can further improve security by generating more random seeds to prevent the cryptographic algorithm from being broken and using more sophisticated algorithms to protect the symmetric key, such as RSA. In addition, we can implement installation checking for storage security. This will verify the address written to the memory is valid and the range belongs to the secure world with the support of the TrustZone protection controller [23].
This paper only implements the integration based on ARM TrustZone and the open-source project SWUpdate. However, we can make improvements as described above to make the STBEAT more complete and comprehensive and submit it to the Yocto or Buildroot projects for integration into the embedded ecosystem whenever possible. Further, we know there are significant architectural differences between ARMv7 and ARMv8. The ARMv8 architecture has more improvements and integrations for TF-A and OP- TEE. We can apply these features to ARMv8 in the future to fit the world’s coming product lines.

6.1. Discussion

Since the trusted application method we proposed dynamically loaded, the binary file is located in the REE file system. This means that binary files may be vulnerable to attackers.
We simply decompile the trusted application signed by the TEE tool chain, and we can extract some relevant information inside the trusted application. As shown in Figure 18, we use the reverse engineering tool IDA Pro to search for secret strings or any key parameters. We can find the secret string stored in the last part of the binary file. To prevent this, we encode the secret string. As shown in Figure 19, we use IDA Pro to search this again; even though we can extract the string, we cannot know the original state. As shown in Figure 20, we first use the STM32MP1 kernel for our entry point of STBEAT and will grab the binary file to be upgraded from the local storage. Then the SWUpdate client initializes the context and creates a session between the normal world and the secure world. The SWUpdate client triggers the trusted application by sending a predefined command, while the trusted application starts to decode the key string and returns to the CA to decrypt the image. When installing the upgrade image, STBEAT uses a single copy mechanism to install the image to eMMC. At this time, due to the risk of single copy, the currently running file system is damaged. This, however, means that the upgrade image has been successfully written to memory.
We force the system to restart, and the machine will check the status of the entire device when it starts, because the newly upgraded operating system does not know this information. After starting, we can see that the buildroot shell has started as shown in Figure 21, and we print out the file system information of the operating system that is built by the buildroot project.

6.2. Security Analysis

To conclude, we analyze the important defensive aspects for STBEAT framework:
Firstly, for the critical point, we have to protect the upgraded image, which was modified. With the support of SWUpdate, we encrypt our software image by utilizing the single key algorithm and implementing in trusted application to ensure that the image file encrypted, as shown in Figure 14, which means that there is no leakage of any relevant information in non-secure world.
Secondly, the trusted applications contain many pieces of critical information based on our development board, and do not have secure storage hardware. Therefore, we use the dynamic loading approach to execute our trusted applications at runtime, but the trusted applications still present some risks in the Linux file system. In other words, the potential problem remains that the trusted application binaries are in a path that anyone can access. We also reverse the engineering to these binaries from the attacker’s perspective. We find that we can extract some secret strings from them; see Figure 18.
Since the leakage of the binary string could be harmful to the system, we try to generate another set of unrecognizable strings by obfuscating the secret. The results are in line with our requirements, although it is still necessary to convert the obfuscated string back to the original secret in the trusted application and cost some overhead. Figure 19 expresses the flow chart.
Lastly, due to the current methods and hardware limitations, we use a single copy mechanism, which causes the file system to be corrupted after the entire system is updated and completed, as shown in Figure 16. This even leads to system crash. The availability of the CIA model from the security aspect might be invalidated. In the future, we will utilize the dual-copy method for the system update, and invoke the system image with the other partition to boot after a reboot.

Author Contributions

Methodology, Q.-X.H., M.-Y.C. and C.-S.Y.; software, Huang, Q.-X.H., M.-Y.C. and C.-S.Y.; writing—review and editing, H.-M.S. All authors have read and agreed to the published version of the manuscript.

Funding

This research received no external funding.

Institutional Review Board Statement

Not applicable.

Informed Consent Statement

Not applicable.

Data Availability Statement

Not applicable.

Acknowledgments

This research was supported in part by the Ministry of Science and Technology, Taiwan, under Project MOST 110-2221-E-007-040-MY3 and MOST 111-2221-E-007-078-MY3.

Conflicts of Interest

The authors declare no conflict of interest.

References

  1. Developer.arm.com. Documentation—Arm Developer. 2021. Available online: https://developer.arm.com/documentation/dui0471/m/key-features-of-arm-architecture-versions/arm-architecture-profiles (accessed on 29 April 2021).
  2. Trustkernel.com. 2021. Available online: https://www.trustkernel.com/uploads/pubs/TZResearch\_GetMobile2018.pdf (accessed on 9 September 2021).
  3. Globalplatform.org. 2021. Available online: https://globalplatform.org/wp-content/uploads/2018/05/Introduction-to-Trusted-Execution-Environment-15May2018.pdf (accessed on 4 September 2021).
  4. Srivastava, A.K.; Kirana, C.S.; Lilaramani, D.; Rakshitha, R.; Sree, K. An open-source SWUpdate and Hawkbit framework for OTA Updates of RISC-V based resource constrained devices. In Proceedings of the 2021 2nd International Conference on Communication, Computing and Industry 4.0 (C2I4), Bangalore, India, 16–17 December 2021; pp. 1–6. [Google Scholar] [CrossRef]
  5. Nehal, A.; Ahlawat, P. Securing IoT applications with OP-TEE from hardware level OS. In Proceedings of the 2019 3rd International Conference on Electronics, Communication and Aerospace Technology (ICECA), Coimbatore, India, 12–14 June 2019; pp. 1441–1444. [Google Scholar] [CrossRef]
  6. Zhang, Q.; Chen, H.; Shi, W.; Zhang, W. Design and Implementation of Trustzone-Based Blockchain Chip Wallet. In Proceedings of the 2021 IEEE 6th International Conference on Signal and Image Processing (ICSIP), Nanjing, China, 22–24 October 2021; pp. 1029–1034. [Google Scholar] [CrossRef]
  7. Chaber, P.; Ławryńczuk, M. Fast Analytical Model Predictive Controllers and Their Implementation for STM32 ARM Microcontroller. IEEE Trans. Ind. Inform. 2019, 15, 4580–4590. [Google Scholar] [CrossRef]
  8. Ravelo, B.; Guerin, M.; Rahajandraibe, W.; Gies, V.; Rajaoarisoa, L.; Lalléchère, S. Low-Pass NGD Numerical Function and STM32 MCU Emulation Test. IEEE Trans. Ind. Electron. 2022, 69, 8346–8355. [Google Scholar] [CrossRef]
  9. Wiki.st.com. 2021. Security Overview—stm32mpu. Available online: https://wiki.st.com/stm32mpu/wiki/Trustzone_environment (accessed on 14 October 2022).
  10. Jang, J.; Choi, C.; Lee, J.; Kwak, N.; Lee, S.; Choi, Y.; Kang, B.B. PrivateZone: Providing a Private Execution Environment Using ARM TrustZone. IEEE Trans. Dependable Secur. Comput. 2018, 15, 797–810. [Google Scholar] [CrossRef]
  11. Luo, L.; Zhang, Y.; White, C.; Keating, B.; Pearson, B.; Shao, X.; Ling, Z.; Yu, H.; Zou, C.; Fu, X. On Security of TrustZone-M-Based IoT Systems. IEEE Internet Things J. 2022, 9, 9683–9699. [Google Scholar] [CrossRef]
  12. Sun, H.; Lei, H. A Design and Verification Methodology for a TrustZone Trusted Execution Environment. IEEE Access 2020, 8, 33870–33883. [Google Scholar] [CrossRef]
  13. Kratov, S.; Sokolova, O. On popularization of scientific developments and use of free and open source software. In Proceedings of the 2021 International Conference Engineering Technologies and Computer Science (EnT), Moscow, Russia, 18–19 August 2021; pp. 45–48. [Google Scholar] [CrossRef]
  14. Optee.readthedocs.io. 2021. About OP-TEE—OP-TEE Documentation. Available online: https://optee.readthedocs.io/en/latest/general/about.html (accessed on 22 May 2021).
  15. Wiki.st.com. 2021. Security Overview—stm32mpu. Available online: https://wiki.st.com/stm32mpu/wiki/OP-TEE_overview (accessed on 14 October 2022).
  16. Sebastian, D.J.; Agrawal, U.; Tamimi, A.; Hahn, A. DER-TEE: Secure Distributed Energy Resource Operations through Trusted Execution Environments. IEEE Internet Things J. 2019, 6, 6476–6486. [Google Scholar] [CrossRef]
  17. Wiki.st.com. 2021. STM32MP15 Microprocessor. Available online: https://wiki.st.com/stm32mpu/wiki/Security_overview (accessed on 16 May 2021).
  18. Liu, L.; Ma, J.; Zhang, C.; Chong, T.; Zhang, H.; Dong, Y. Security software system design and implementation for microcontrollers based on trustzone. DEStech Trans. Comput. Sci. Eng. 2019. [Google Scholar] [CrossRef]
  19. Dhobi, R.; Gajjar, S.; Parmar, D.; Vaghela, T. Secure Firmware Update over the Air using TrustZone. In Proceedings of the 2019 Innovations in Power and Advanced Computing Technologies (i-PACT), Vellore, India, 22–23 March 2019; Volume 1, pp. 1–4. [Google Scholar]
  20. Wiki.st.com. U-Boot Overview. 2021. Available online: https://wiki.st.com/stm32mpu/wiki/U-Boot_overview (accessed on 16 May 2021).
  21. Wiki.st.com. STM32 MPU ROM Code Secure Boot. 2021. Available online: https://wiki.st.com/stm32mpu/wiki/STM32_MPU_ROM_code_secure_boot (accessed on 16 May 2021).
  22. Sbabic.github.io. Symmetrically Encrypted Update Images—Embedded Software Update Documentation 2021.04 Documentation. 2021. Available online: https://sbabic.github.io/swupdate/encrypted_images.html (accessed on 2 May 2021).
  23. Jung, J.; Cho, J.; Lee, B. A secure platform for iot devices based on arm platform security architecture. In Proceedings of the 2020 14th International Conference on Ubiquitous Information Management and Communication (IMCOM), Taichung, Taiwan, 3–5 January 2020; pp. 1–4. [Google Scholar]
Figure 1. Definition of the ARMv8-A exception level [9].
Figure 1. Definition of the ARMv8-A exception level [9].
Sustainability 14 13660 g001
Figure 2. STM32MP157F block diagram.
Figure 2. STM32MP157F block diagram.
Sustainability 14 13660 g002
Figure 3. The boot chain of STM32MP15.
Figure 3. The boot chain of STM32MP15.
Sustainability 14 13660 g003
Figure 4. The components for secure boot of STM32MP15.
Figure 4. The components for secure boot of STM32MP15.
Sustainability 14 13660 g004
Figure 5. Software update process architecture, which has the SWUpdate client inside the normal world and trusted application inside the secure world.
Figure 5. Software update process architecture, which has the SWUpdate client inside the normal world and trusted application inside the secure world.
Sustainability 14 13660 g005
Figure 6. The communication process of tee-supplicant.
Figure 6. The communication process of tee-supplicant.
Sustainability 14 13660 g006
Figure 7. The OP-TEE architecture of STM32MP15 [15].
Figure 7. The OP-TEE architecture of STM32MP15 [15].
Sustainability 14 13660 g007
Figure 8. The location of the TEE drive and its control flow [15].
Figure 8. The location of the TEE drive and its control flow [15].
Sustainability 14 13660 g008
Figure 9. The calling convention between the SWUpdate client and trusted application.
Figure 9. The calling convention between the SWUpdate client and trusted application.
Sustainability 14 13660 g009
Figure 10. New key generated by trusted application and used to decrypt the image.
Figure 10. New key generated by trusted application and used to decrypt the image.
Sustainability 14 13660 g010
Figure 11. The network traffic between Hawkbit server and STM32 board.
Figure 11. The network traffic between Hawkbit server and STM32 board.
Sustainability 14 13660 g011
Figure 12. Enable libconfig support from menuconfig in buildroot.
Figure 12. Enable libconfig support from menuconfig in buildroot.
Sustainability 14 13660 g012
Figure 13. The non-encrypted image file with the file signature GZ identified by HxD. In the comparison chart in Figure 14, we cannot see the signature of the document to be recognized.
Figure 13. The non-encrypted image file with the file signature GZ identified by HxD. In the comparison chart in Figure 14, we cannot see the signature of the document to be recognized.
Sustainability 14 13660 g013
Figure 14. The image is encrypted by the AES key and we cannot identify the file signature by hexdump.
Figure 14. The image is encrypted by the AES key and we cannot identify the file signature by hexdump.
Sustainability 14 13660 g014
Figure 15. SWUpdate obtains the key from the trusted application and decrypts the image to be installed later.
Figure 15. SWUpdate obtains the key from the trusted application and decrypts the image to be installed later.
Sustainability 14 13660 g015
Figure 16. System hang when updating using single-copy mechanism.
Figure 16. System hang when updating using single-copy mechanism.
Sustainability 14 13660 g016
Figure 17. The evaluation of STBEAT performance with normal update and secure update.
Figure 17. The evaluation of STBEAT performance with normal update and secure update.
Sustainability 14 13660 g017
Figure 18. Use IDA Pro to reverse the trusted application to find the secret string in the last part of the binary file.
Figure 18. Use IDA Pro to reverse the trusted application to find the secret string in the last part of the binary file.
Sustainability 14 13660 g018
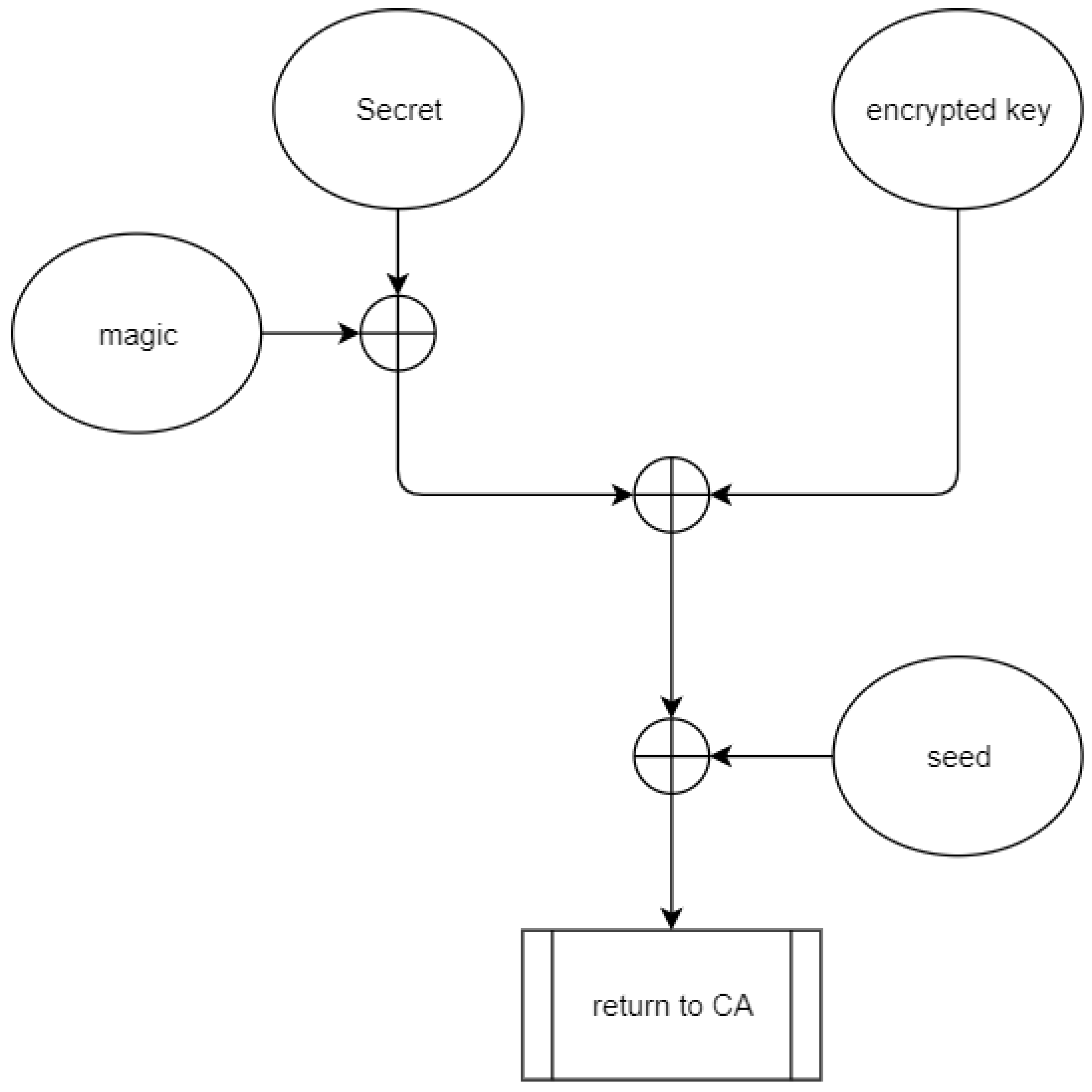
Figure 19. Flow chart of magic and secret and encrypted key decoding and seed generation. The secret and magic will perform XOR first, the result will perform XOR with the encrypted key, and then the key is generated by random seed calculation and returned to the CA.
Figure 19. Flow chart of magic and secret and encrypted key decoding and seed generation. The secret and magic will perform XOR first, the result will perform XOR with the encrypted key, and then the key is generated by random seed calculation and returned to the CA.
Sustainability 14 13660 g019
Figure 20. STBEAT starts the upgrade process under the STM32MP1 kernel version.
Figure 20. STBEAT starts the upgrade process under the STM32MP1 kernel version.
Sustainability 14 13660 g020
Figure 21. Kernel upgrade successfully and start buildroot shell.
Figure 21. Kernel upgrade successfully and start buildroot shell.
Sustainability 14 13660 g021
Table 1. Hardware specification.
Table 1. Hardware specification.
PlatformSTM32MP157C-DK2
ProcessorARM Dual Cortex-A7 + Cortex-M4
RAM4 Gbit DDR3L (16 bits, 533 MHz)
StorageFlash, eMMC/SDC (16 GB)
Normal world OSOpenST-Linux
Secure world OSOP-TEE OS
Symmetric key length256 bits
Publisher’s Note: MDPI stays neutral with regard to jurisdictional claims in published maps and institutional affiliations.

Share and Cite

MDPI and ACS Style

Huang, Q.-X.; Chiu, M.-Y.; Yeh, C.-S.; Sun, H.-M. STBEAT: Software Update on Trusted Environment Based on ARM TrustZone. Sustainability 2022, 14, 13660. https://doi.org/10.3390/su142013660

AMA Style

Huang Q-X, Chiu M-Y, Yeh C-S, Sun H-M. STBEAT: Software Update on Trusted Environment Based on ARM TrustZone. Sustainability. 2022; 14(20):13660. https://doi.org/10.3390/su142013660

Chicago/Turabian Style

Huang, Qi-Xian, Min-Yi Chiu, Chi-Shen Yeh, and Hung-Min Sun. 2022. "STBEAT: Software Update on Trusted Environment Based on ARM TrustZone" Sustainability 14, no. 20: 13660. https://doi.org/10.3390/su142013660

APA Style

Huang, Q.-X., Chiu, M.-Y., Yeh, C.-S., & Sun, H.-M. (2022). STBEAT: Software Update on Trusted Environment Based on ARM TrustZone. Sustainability, 14(20), 13660. https://doi.org/10.3390/su142013660

Note that from the first issue of 2016, this journal uses article numbers instead of page numbers. See further details here.

Article Metrics

Back to TopTop