Metal Resistant Enterobacter cloacae ZA14 Enhanced Seedling Vigor and Metal Tolerance through Improved Growth, Physiology and Antioxidants in Tomato (Solanum lycopersicum) Irrigated with Textile Effluents
Abstract
1. Introduction
2. Materials and Methods
2.1. Bacterium Isolation and Identification
2.2. Preparation of Levels of Textile Effluents
2.3. Seed Inoculation
2.4. Treatment Plan and Experimental Layout
2.5. Seedling Vigor Measurements
2.5.1. Germination Percentage (G %)
2.5.2. Seed Vigor Index (SVI)
2.5.3. Germination Rate (G.R)
2.5.4. Germination Index (G.I)
2.5.5. Promptness Index (P.I)
2.5.6. Relative Seed Germination (RSG) and Relative Root Growth (RRG)
2.5.7. Root Toxicity (R.T %) and Shoot Toxicity (S.T %)
2.5.8. Percent (%) Inhibition of Germination
2.6. Measurement of Agronomic and Physiological Traits
2.7. Determination of Oxidative Stress Markers
2.8. Determination of Antioxidant Activities
2.9. Metal Chelating Compounds
2.10. Metal Concentration in Plant Tissue
2.11. Data Analysis
3. Results
3.1. Identification of Bacterium
3.2. Seedling Vigor
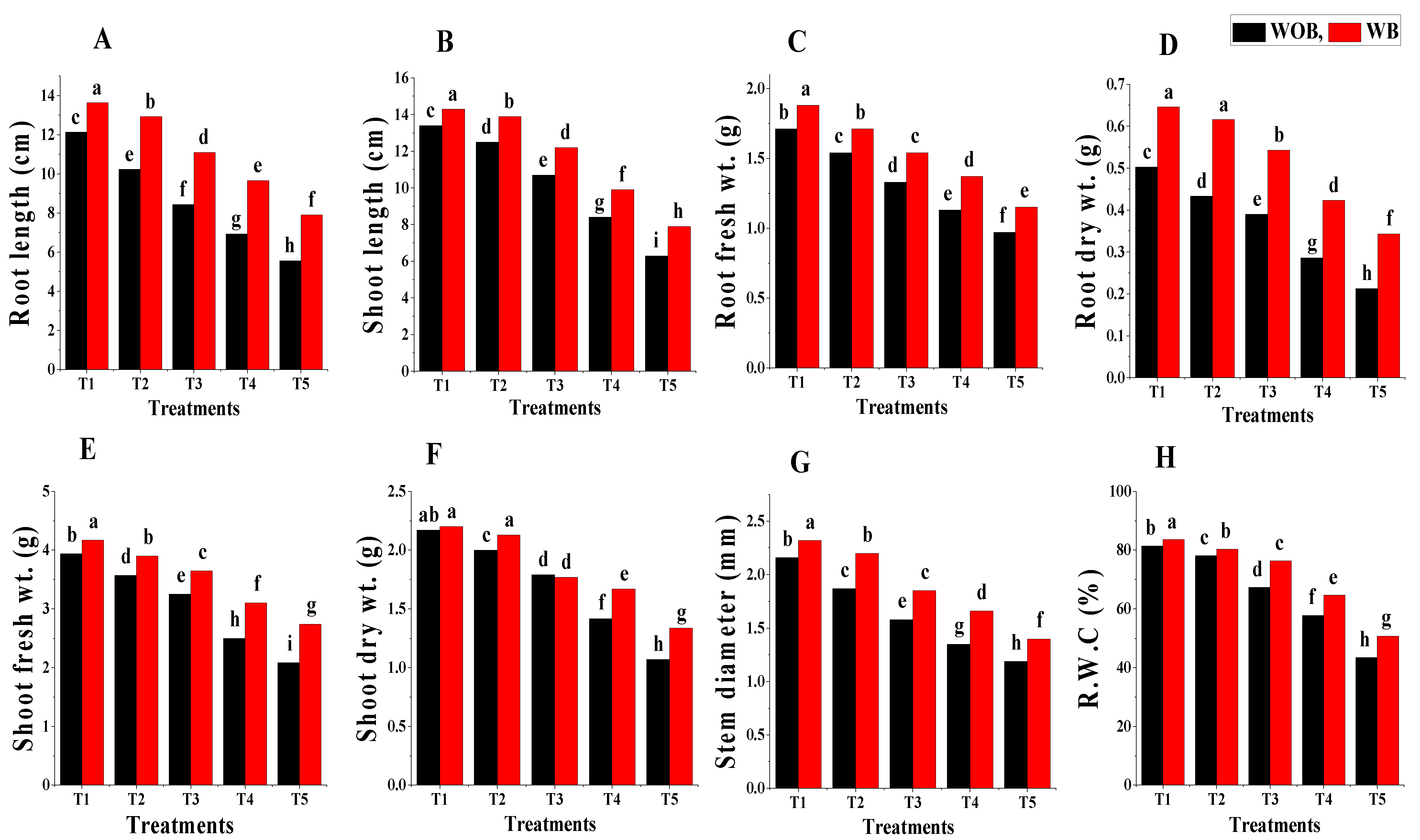
3.3. Growth and Physiology of Tomato Plants
3.4. Oxidative Stress Markers in Tomato
3.5. Antioxidant Activity in Tomato
3.6. Metal Chelating Agents
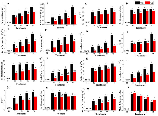
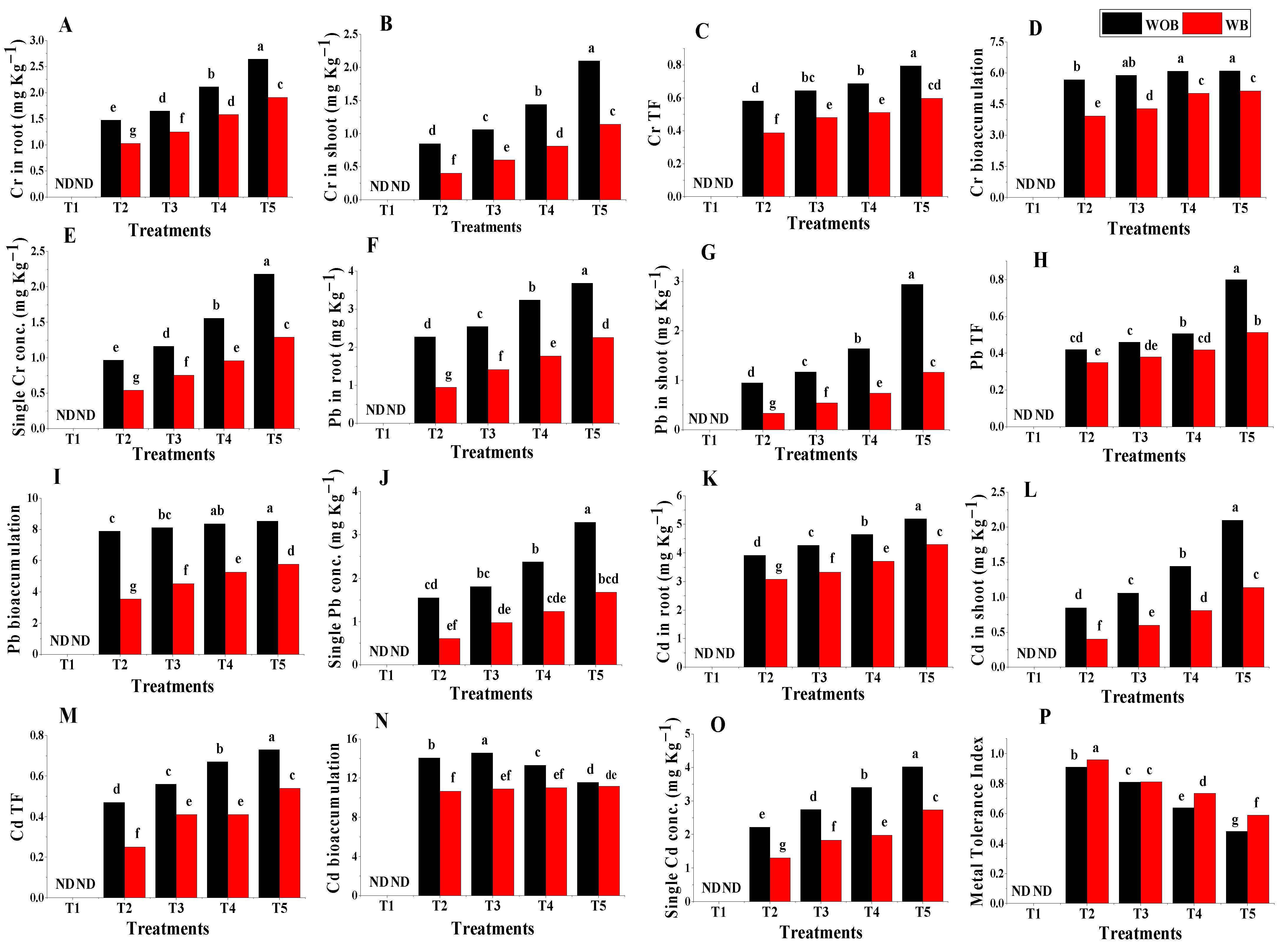
3.7. Heavy Metal Accumulation and Tolerance Index
4. Discussion
5. Conclusions
Author Contributions
Funding
Institutional Review Board Statement
Informed Consent Statement
Data Availability Statement
Acknowledgments
Conflicts of Interest
References
- Chen, G.; An, X.; Li, H.; Lai, F.; Yuan, E.; Xia, X.; Zhang, Q. Detoxification of azo dye Direct Black G by thermophilic Anoxybacillus sp. PDR2 and its application potential in bioremediation. Ecotoxicol. Environ. Saf. 2021, 214, 112084. [Google Scholar] [CrossRef] [PubMed]
- Chen, Y.G.; Huang, J.H.; Luo, R.; Ge, H.Z.; Wołowicz, A.; Wawrzkiewicz, M.; GładyszPłaska, A.; Li, B.; Yu, Q.X.; Kołodynska, D.; et al. Impacts of heavy metals and medicinal crops on ecological systems, environmental pollution, cultivation, and production processes in China. Ecotoxicol. Environ. Saf. 2021, 219, 112336. [Google Scholar] [CrossRef] [PubMed]
- Soni, V.; Keswani, K.; Bhatt, U.; Kumar, D.; Singh, H. In vitro propagation and analysis of mixotrophic potential to improve survival rate of Dolichandra unguiscati under ex vitro conditions. Heliyon 2021, 7, e06101. [Google Scholar] [CrossRef] [PubMed]
- Benkhaya, S.; M’rabet, S.; El Harfi, A. Classifications, properties, recent synthesis and applications of azo dyes. Heliyon 2020, 6, e03271. [Google Scholar] [CrossRef]
- Luo, X.; Liang, C.; Hu, Y. Comparison of different enhanced coagulation methods for Azo Dye removal from wastewater. Sustainability 2019, 11, 4760. [Google Scholar] [CrossRef]
- Younas, F.; Mustafa, A.; Farooqi, Z.U.R.; Wang, X.; Younas, S.; Mohy-Ud-Din, W.; Hameed, M.A.; Mohsin, M.A.; Maitlo, A.A.; Noreen, S.; et al. Current and emerging adsorbent technologies for wastewater treatment: Trends, limitations, and environmental implications. Water 2021, 13, 215. [Google Scholar] [CrossRef]
- Markandeya; Mohan, D.; Shukla, S.P. Hazardous consequences of textile mill effluents on soil and their remediation approaches. Clean. Eng. Technol. 2022, 7, 100434. [Google Scholar] [CrossRef]
- Joseph, L.; Jun, B.M.; Jang, M.; Park, C.H.; Munoz-Senmache, J.C.; Hernandez-Maldonado, A.J.; Heyden, A.; Yu, M.; Yoon, Y. Removal of contaminants of emerging concern by metal-organic framework nanoadsorbents: A review. Chem. Eng. J. 2019, 369, 928–946. [Google Scholar] [CrossRef]
- Bind, A.; Kushwaha, A.; Devi, G.; Goswami, S.; Sen, B.; Prakash, V. Biosorption valorization of floating and submerged macrophytes for heavy-metal removal in a multi-component system. Appl. Water Sci. 2019, 9, 95. [Google Scholar] [CrossRef]
- Kumar, M.; Kushwaha, A.; Goswami, L.; Singh, A.K.; Sikandar, M. A review on advances and mechanism for the phycoremediation of cadmium contaminated wastewater. Clean. Eng. Technol. 2021, 5, 100288. [Google Scholar] [CrossRef]
- Rasool, B.; Zubair, M.; Khan, M.A.; Ramzani, P.M.A.; Dradrach, A.; Turan, V.; Iqbal, M.; Khan, S.A.; Tauqeer, H.M.; Farhad, M. Synergetic efficacy of amending Pb-polluted soil with P-loaded jujube (Ziziphus mauritiana) twigs biochar and foliar chitosan application for reducing Pb distribution in moringa leaf extract and improving its anti-cancer potential. Water Air Soil Pollut. 2022, 233, 344. [Google Scholar] [CrossRef]
- Liang, J.; Ning, X.A.; Kong, M.; Liu, D.; Wang, G.; Cai, H.; Sun, J.; Zhang, Y.; Lu, X.; Yuan, Y. Elimination and ecotoxicity evaluation of phthalic acid esters from textile-dyeing wastewater. Environ. Pollut. 2017, 231, 115–122. [Google Scholar] [CrossRef]
- Ghaedi, M.; Hajjati, S.; Mahmudi, Z.; Tyagi, I.; Agarwal, S.; Maity, A.; Gupta, V.K. Modeling of competitive ultrasonic assisted removal of the dyes–Methylene blue and Safranin-O using Fe3O4 nanoparticles. Chem. Eng. J. 2015, 268, 28–37. [Google Scholar] [CrossRef]
- Rawat, D.; Sharma, R.S.; Karmakar, S.; Arora, L.S.; Mishra, V. Ecotoxic potential of a presumably non-toxic azo dye. Ecotoxicol. Environ. Saf. 2018, 148, 528–537. [Google Scholar] [CrossRef]
- Arshad, H.; Imran, M.; Ashraf, M. Toxic effects of Red-S3B dye on soil microbial activities, wheat yield, and their alleviation by pressmud application. Ecotoxicol. Environ. Saf. 2020, 204, 111030. [Google Scholar] [CrossRef]
- Turan, V. Calcite in combination with olive pulp biochar reduces Ni mobility in soil and its distribution in chili plant. Int. J. Phytoremed. 2022, 24, 166–176. [Google Scholar] [CrossRef]
- Zou, H.; Ning, X.A.; Wang, Y.; Zhou, F. The agricultural use potential of the detoxified textile dyeing sludge by integrated Ultrasound/Fenton-like process: A comparative study. Ecotoxicol. Environ. Saf. 2019, 172, 26–32. [Google Scholar] [CrossRef]
- Ebency, C.I.L.; Rajan, S.; Murugesan, A.G.; Rajesh, R.; Elayarajah, B. Biodegradation of textile azo dyes and its bioremediation potential using seed germination efficiency. Int. J. Curr. Microbiol. Appl. Sci. 2013, 2, 496–505. [Google Scholar]
- Ogo, Y.; Kakei, Y.; Itai, R.N.; Kobayashi, T.; Nakanishi, H.; Takahashi, H.; Nakazono, M.; Nishizawa, N.K. Spatial transcriptomes of iron-defcient and cadmium-stressed rice. New Phytol. 2014, 201, 781–794. [Google Scholar] [CrossRef]
- Nazli, F.; Mustafa, A.; Ahmad, M.; Hussain, A.; Jamil, M.; Wang, X.; Shakeel, Q.; Imtiaz, M.; El-Esawi, M.A. A review on practical application and potentials of phytohormone-producing plant growth-promoting rhizobacteria for inducing heavy metal tolerance in crops. Sustainability 2020, 12, 9056. [Google Scholar] [CrossRef]
- Solovchenko, A.; Lukyanov, A.; Aswathanarayana, R.G.; Pleissner, D.; Ambati, R.R. Recent developments in microalgal conversion of organic-enriched waste streams. Curr. Opin. Green Sustain. Chem. 2020, 24, 61–66. [Google Scholar] [CrossRef]
- Rathi, B.S.; Senthil Kumar, P.S. Sustainable approach on the biodegradation of azo dyes: A short review. Curr. Opin. Green Sustain. Chem. 2022, 33, 100578. [Google Scholar] [CrossRef]
- Riva, V.; Mapelli, F.; Syranidou, E.; Crotti, E.; Choukrallah, R.; Kalogerakis, N.; Borin, S. Root Bacteria Recruited by Phragmites australis in Constructed Wetlands Have the Potential to Enhance Azo-Dye Phytodepuration. Microorganisms 2019, 7, 384. [Google Scholar] [CrossRef]
- Barathi, S.; Aruljothi, K.N.; Karthik, C.; Padikasan, I.A.; Ashokkumar, V. Biofilm mediated decolorization and degradation of reactive red 170 dye by the bacterial consortium isolated from the dyeing industry wastewater sediments. Chemosphere 2022, 286, 131914. [Google Scholar] [CrossRef]
- Chantarasiri, A. Klebsiella and Enterobacter Isolated from Mangrove Wetland Soils in Thailand and Their Application in Biological Decolorization of Textile Reactive Dyes. Int. J. Environ. Res. Public Health 2020, 17, 7531. [Google Scholar] [CrossRef]
- Subrahmanyam, G.; Sharma, R.K.; Kumar, G.N.; Archana, G. Vigna radiata var. GM4 Plant Growth Enhancement and Root Colonization by a Multi-Metal-Resistant Plant Growth Promoting Bacterium Enterobacter sp. C1D in Cr(VI)-Amended Soils. Pedosphere 2018, 28, 144–156. [Google Scholar] [CrossRef]
- Mahmood, F.; Shahid, M.; Hussain, S.; Shahzad, T.; Tahir, M.; Ijaz, M.; Hussain, A.; Mahmood, K.; Imran, M.; Babar, S.A.K. Potential plant growth-promoting strain Bacillus sp. SR-2-1/1 decolorized azo dyes through NADH-ubiquinone:oxidoreductase activity. Bioresour. Technol. 2017, 235, 176–184. [Google Scholar] [CrossRef] [PubMed]
- Roy, D.C.; Biswas, S.K.; Saha, A.K.; Sikdar, B.; Rahman, M.; Roy, A.K.; Prodhan, Z.H.; Tang, S. Biodegradation of Crystal Violet dye by bacteria isolated from textile industry effluents. PeerJ 2018, 6, e5015. [Google Scholar] [CrossRef] [PubMed]
- Rizvi, A.; Zaidi, A.; Ameen, F.; Ahmed, B.; AlKahtanic, M.D.F.; Saghir Khan, M.S. Heavy metal induced stress on wheat: Phytotoxicity and microbiological management. RSC Adv. 2020, 10, 38379–38403. [Google Scholar] [CrossRef] [PubMed]
- Igiri, B.E.; Okoduwa, S.L.; Idoko, G.O.; Akabuogu, E.P.; Adeyi, A.O.; Ejiogu, I.K. Toxicity and bioremediation of heavy metals contaminated ecosystem from tannery wastewater: A review. J. Toxicol. 2018, 2018, 2568038. [Google Scholar] [CrossRef]
- Naveed, M.; Mustafa, A.; Majeed, S.; Naseem, Z.; Saeed, Q.; Khan, A.; Nawaz, A.; Baig, K.S.; Jen-Tsung, C. Enhancing Cadmium Tolerance and Pea Plant Health through Enterobacter sp. MN17 Inoculation Together with Biochar and Gravel Sand. Plants 2020, 9, 530. [Google Scholar] [CrossRef]
- Han, H.; Sheng, X.; Hu, J.; He, L.; Wang, Q. Metal-immobilizing Serratia liquefaciens CL-1 and Bacillus thuringiensis X30 increase biomass and reduce heavy metal accumulation of radish under feld conditions. Ecotoxicol. Environ. Saf. 2018, 161, 526–533. [Google Scholar] [CrossRef] [PubMed]
- Mallick, I.; Bhattacharyya, C.; Mukherji, S.; Dey, D.; Sarkar, S.C.; Mukhopadhyay, U.K.; Ghosh, A. Efective rhizoinoculation and bioflm formation by arsenic immobilizing halophilic plant growth promoting bacteria (PGPB) isolated from mangrove rhizosphere: A step towards arsenic rhizoremediation. Sci. Total. Environ. 2018, 610, 1239–1250. [Google Scholar] [CrossRef]
- Wang, Q.; Zhang, W.J.; He, L.Y.; Sheng, X.F. Increased biomass and quality and reduced heavy metal accumulation of edible tissues of vegetables in the presence of Cd-tolerant and immobilizing Bacillus megaterium H3. Ecotoxicol. Environ. Saf. 2018, 148, 269–274. [Google Scholar] [CrossRef]
- Chandra, D.; Barh, A.; Sharma, I.P. Plant growth promoting bacteria: A gateway to sustainable agriculture. In Microbial Biotechnology in Environmental Monitoring and Cleanup; IGI Global: Hershey, PA, USA, 2018; pp. 318–338. [Google Scholar]
- Gupta, P.; Kumar, V.; Usmani, Z.; Rani, R.; Chandra, A. Phosphate solubilization and chromium (VI) remediation potential of Klebsiella sp. strain CPSB4 isolated from the chromium contaminated agricultural soil. Chemosphere 2018, 192, 318–327. [Google Scholar] [CrossRef]
- Saeed, Q.; Xiukang, W.; Haider, F.U.; Kučerik, J.; Mumtaz, M.Z.; Holatko, J.; Naseem, M.; Kintl, A.; Ejaz, M.; Naveed, M.; et al. Rhizosphere bacteria in plant growth promotion, biocontrol, and bioremediation of contaminated sites: A comprehensive review of effects and mechanisms. Int. J. Mol. Sci. 2021, 22, 10529. [Google Scholar] [CrossRef]
- Khanna, K.; Kohli, S.K.; Ohri, P.; Bhardwaj, R.; Al-Huqail, A.A.; Siddiqui, M.H.; Alosaimi, G.S.; Ahmad, P. Microbial Fortification Improved Photosynthetic Efficiency and Secondary Metabolism in Lycopersicon esculentum Plants under Cd Stress. Biomolecules 2019, 9, 581. [Google Scholar] [CrossRef]
- Badar, H.; Rasool, A.; Boye, M. Consumer segments and value preferences for tomatoes in Pakistan. J. Anim. Plant Sci. 2021, 31, 246–253. [Google Scholar]
- Al-Dairi, M.; Pathare, P.B.; Al-Mahdouri, A. Effect of storage conditions on postharvest quality of tomatoes: A case study at market-level. J. Agric. Marine Sci. 2021, 26, 13–20. [Google Scholar]
- Khanna, K.; Jamwal, V.L.; Gandhi, S.G.; Ohri, P.; Bhardwaj, R. Metal resistant PGPR lowered Cd uptake and expression of metal transporter genes with improved growth and photosynthetic pigments in Lycopersicon esculentum under metal toxicity. Sci. Rep. 2019, 9, 5855. [Google Scholar] [CrossRef]
- Ashraf, S.; Naveed, M.; Afzal, M.; Seleiman, M.F.; Al-Suhaibani, N.A.; Zahir, Z.A.; Mustafa, A.; Refay, Y.; Alhammad, B.A.; Ashraf, S.; et al. Unveiling the potential of novel macrophytes for the treatment of tannery effluent in vertical flow pilot constructed wetlands. Water 2020, 12, 549. [Google Scholar] [CrossRef]
- Hussain, S.; Devers-Lamrani, M.; El-Azhari, N.; Martin-Laurent, F. Isolation and characterization of an isoproturon mineralizing Sphingomonas sp. strain SH from a French agricultural soil. Biodegradation 2011, 22, 637–650. [Google Scholar] [CrossRef] [PubMed]
- Tamura, K.; Stecher, G.; Kumar, S. MEGA11: Molecular Evolutionary Genetics Analysis Version 11. Mol. Biol. Evol. 2021, 38, 3022–3027. [Google Scholar] [CrossRef] [PubMed]
- Naveed, M.; Mitter, B.; Yousaf, S.; Pastar, M.; Afzal, M.; Sessitsch, A. The endophyte Enterobacter sp. FD17: A maize growth enhancer selected based on rigorous testing of plant beneficial traits and colonization characteristics. Biol. Fertil. Soils 2014, 50, 249–262. [Google Scholar] [CrossRef]
- Arnold, R.L.B.; Fenner, M.; Edwards, P.J. Changes in germinability, ABA content and ABA embryonic sensitivity in developing seeds of Sorghum bicolor (L.) Moench induced by water stress during grain filling. New Phytol. 1991, 118, 339–347. [Google Scholar] [CrossRef]
- Abdul-Baki, A.A.; Anderson, J.D. Vigor determination in soybean seed by multiple criteria. Crop Sci. 1973, 13, 630–633. [Google Scholar] [CrossRef]
- Maguire, J.D. Speed of Germination-Aid in Selection and Evaluation for Seedling Emergence and Vigor. Crop Sci. 1962, 2, 176–177. [Google Scholar] [CrossRef]
- Baruah, N.; Subham, C.; Mondal; Farooq, M.; Gogoi, N. Influence of Heavy Metals on Seed Germination and Seedling Growth of Wheat, Pea, and Tomato. Water Air Soil Pollut. 2019, 230, 273. [Google Scholar] [CrossRef]
- Idrees, S.; Shabir, S.; Ilyas, N.; Batool, N.; Kanwal, S. Assessment of cadmium on wheat (Triticum aestivum L.) in hydroponics medium. Agrociencia 2015, 49, 917–929. [Google Scholar]
- Tiquia, S.M. Reduction of compost phytotoxicity during the process of decomposition. Chemosphere 2010, 79, 506–512. [Google Scholar] [CrossRef]
- Sarma, B.; Devi, P.; Gogoi, N.; Devi, Y.M. Effects of cobalt induced stress on Triticum aestivum L. crop. Asian J. Agric. Biol. 2014, 2, 137–147. [Google Scholar]
- Mayak, S.; Tirosh, T.; Glick, B.R. Plant growth-promoting bacteria that confer resistance to water stress in tomatoes and peppers. J. Plant Sci. 2004, 166, 525–530. [Google Scholar] [CrossRef]
- Arnon, D.I. Copper enzymes in isolated chloroplasts, polyphenoloxidase in Beta vulgaris. Plant Physiol. 1949, 24, 1–15. [Google Scholar] [CrossRef]
- Sairam, R.K.; Deshmukh, P.S.; Shukla, D.S. Tolerance of drought and temperature stress in relation to increased antioxidant enzyme activity in wheat. J. Agron. Crop Sci. 1997, 178, 171–178. [Google Scholar] [CrossRef]
- Almeselmani, M.; Abdullah, F.; Hareri, F.; Naaesan, M.; Ammar, M.A.; Kanbar, O.Z.; Saud, A.A. Effect of drought on different physiological characters and yield component in different varieties of Syrian durum wheat. Agric. Sci. 2011, 3, 127–133. [Google Scholar] [CrossRef]
- Gong, M.; Li, Y.J.; Chen, S.Z. Abscisic acid-induced thermotolerance in maize seedlings is mediated by calcium and associated with antioxidant systems. J. Plant Physiol. 1998, 153, 488–496. [Google Scholar] [CrossRef]
- Wu, G.L.; Cui, J.; Tao, L.; Yang, H. Fluroxypyr triggers oxidative damage by producing superoxide and hydrogen peroxide in rice (Oryza sativa). Ecotoxicology 2009, 19, 124–132. [Google Scholar] [CrossRef]
- Velikova, V.; Yordanov, I.; Edreva, A. Oxidative stress and some antioxidant systems in acid rain-treated bean plants. Plant Sci. 2000, 151, 59–66. [Google Scholar] [CrossRef]
- Chance, B.; Maehly, A.C. Assay of Catalase and Peroxidase. Methods Enzymol. 1955, 2, 764–775. [Google Scholar] [CrossRef]
- Giannopolitis, C.N.; Ries, S.K. Superoxide Dismutases: I. Occurrence in Higher Plants. Plant Physiol. 1977, 59, 309–314. [Google Scholar] [CrossRef]
- Kumar, K.; Khan, P. Peroxidase and polyphenol oxidase in excised ragi (Eleusine corocana cv PR 202) leaves during senescence. Indian J. Exp. Biol. 1982, 20, 412–416. [Google Scholar]
- Sedlak, J.; Lindsay, R.H. Estimation of total, protein bound, and nonprotein sulfydryl groups in tissue with Ellman’s reagent. Anal. Biochem. 1968, 25, 192–205. [Google Scholar] [CrossRef]
- Del Longo, O.T.; Gonzalez, C.A.; Pastori, G.M.; Trippi, V.S. Antioxidant defences under hyperoxygenic and hyperosmotic conditions in leaves of two lines of maize with diferential sensitivity to drought. Plant Cell Physiol. 1993, 34, 1023–1028. [Google Scholar]
- RStudio Team. RStudio: Integrated Development Environment for R; RStudio, PBC: Boston, MA, USA, 2021; Available online: http://www.rstudio.com/ (accessed on 19 July 2022).
- Singh, L.; Sharma, P.; Pavankumar, A.R. Chemical oxygen demand elimination and decolorization of textile industrial effluent by an indigenous fungal species Aspergillus foetidus. CLEAN–Soil Air Water 2015, 43, 456–461. [Google Scholar] [CrossRef]
- Singh, R.; Rathore, D. Oxidative stress defence responses of wheat (Triticum aestivum L.) and chilli (Capsicum annum L.) cultivars grown under textile effluent fertilization. Plant Physiol. Biochem. 2018, 123, 342–358. [Google Scholar] [CrossRef]
- Yaseen, M.; Aziz, M.Z.; Komal, A.; Naveed, M. Management of textile wastewater for improving growth and yield of field mustard (Brassica campestris L.). Int. J. Phytoremed. 2017, 19, 798–804. [Google Scholar] [CrossRef]
- Khan, T.I.; Marwari, R.; Singh, N. Impact of textile waste water on Solanum melongena var F1-Hybrid Kanhaiya in agricultural fields with special emphasis on analysis of heavy metals. J. Curr. Biosci. 2003, 1, 13–21. [Google Scholar]
- Zulfiqar, U.; Jiang, W.; Xiukang, W.; Hussain, S.; Ahmad, M.; Maqsood, M.F.; Ali, N.; Ishfaq, M.; Kaleem, M.; Haider, F.U.; et al. Cadmium Phytotoxicity, Tolerance, and Advanced Remediation Approaches in Agricultural Soils; A Comprehensive Review. Front. Plant Sci. 2022, 13, 773815. [Google Scholar] [CrossRef]
- Panda, D.; Bagh, S.; Palita, S.K. Impact of industrial effluents on seed germination, early seedling vigor of rice (Oryza sativa L.) its sustainable use in agriculture. Environ. Ecol. 2016, 34, 155–159. [Google Scholar]
- Kaushik, P.; Garg, V.K.; Singh, B. Effect of textile effluents on growth performance of wheat cultivars. Biores. Technol. 2005, 96, 1189–1193. [Google Scholar] [CrossRef]
- Haque, M.M.; Mosharaf, M.K.; Haque, M.A.; Tanvir, M.Z.H.; Alam, M.K. Biofilm Formation, Production of Matrix Compounds and Biosorption of Copper, Nickel and Lead by Different Bacterial Strains. Front. Microbiol. 2021, 12, 615113. [Google Scholar] [CrossRef]
- Ajouri, A.; Asgedom, H.; Becker, M. Seed priming enhances germination and seedling growth of barley under conditions of P and Zn deficiency. J. Plant Nutr. Soil Sci. 2004, 167, 630–636. [Google Scholar] [CrossRef]
- Singh, R.; Rathore, D. Effects of Fertilization with Textile Effluent on Germination, Growth and Metabolites of Chilli (Capsicum annum L.) Cultivars. Environ. Process. 2021, 8, 1249–1266. [Google Scholar] [CrossRef]
- Bhuiyan, M.R.; Rahman, M.M.; Shaid, A.; Bashar, M.M.; Khan, M.A. Scope of reusing and recycling the textile wastewater after treatment with gamma radiation. J. Clean. Prod. 2016, 112, 3063–3071. [Google Scholar] [CrossRef]
- Tripathi, P.; Singh, P.C.; Mishra, A.; Srivastava, S.; Chauhan, R.; Awasthi, S.; Mishra, S.; Vedi, S.W.; Tripathi, P.; Kalra, A.; et al. Arsenic tolerant Trichoderma sp. reduces arsenic induced stress in chickpea (Cicer arietinum). Environ. Pollut. 2017, 223, 137–145. [Google Scholar] [CrossRef]
- Aly, A.A.; Mohamed, A.A. The impact of copper ion on growth, thiol compounds and lipid peroxidation in two maize cultivars (Zea mays L.) grown in vitro. Aust. J. Crop Sci. 2012, 6, 541–549. [Google Scholar]
- Rascio, N.; Vecchia, F.D.; La Rocca, N.; Barbato, R.; Pagliano, C.; Raviolo, M.; Gonnelli, C.; Gabbrielli, R. Metal accumulation and damage in rice (cv. Vialone nano) seedlings exposed to cadmium. Environ. Exp. Bot. 2008, 62, 267–278. [Google Scholar] [CrossRef]
- Houri, T.; Khairallah, Y.; Zahab, A.A.; Osta, B.; Romanos, D.; Haddad, G. Heavy Metals Accumulation Effects on The Photosynthetic Performance of Geophytes in Mediterranean Reserve. J. King Saud Univ.-Sci. 2019, 32, 874–880. [Google Scholar] [CrossRef]
- Conti, M.E.; Cecchetti, G. Biological monitoring: Lichens as bioindicators of air pollution assessment—A review. Environ. Pollut. 2001, 114, 471–492. [Google Scholar] [CrossRef]
- Inanç, A.L. Chlorophyll: Structural Properties, Health Benefits and Its Occurrence in Virgin Olive Oils. Acad. Food J. Akad. Gida 2011, 9, 26–32. [Google Scholar]
- Govindaraju, M.; Ganeshkumar, R.S.; Suganthi, P.; Muthukumaran, V.R.; Visvanathan, P. Impact assessment of air pollution stress on plant species through biochemical estimations. Int. J. Environ. Ecol. Eng. 2010, 4, 696–699. [Google Scholar]
- Schelbert, S.; Aubry, S.; Burla, B.; Agne, B.; Kessler, F.; Krupinska, K.; Hörtensteiner, S. Pheophytin Pheophorbide Hydrolase (Pheophytinase) Is Involved in Chlorophyll Breakdown during Leaf Senescence in Arabidopsis. Plant Cell 2009, 21, 767–785. [Google Scholar] [CrossRef]
- Hashem, H.A. Cadmium toxicity induces lipid peroxidation and alters cytokinin content and antioxidant enzyme activities in soybean. Botany 2013, 92, 1–7. [Google Scholar] [CrossRef]
- Thiem, D.; Złoch, M.; Gadzała-Kopciuch, R.; Szymałska, S.; Baum, C.; Hrynkiewicz, K. Cadmium-induced changes in the production of siderophores by a plant growth promoting strain of Pseudomonas fulva. J. Basic Microbiol. 2018, 18, 1800034. [Google Scholar]
- Dutta, P.; Karmakar, A.; Majumdar, S.; Roy, S. Klebsiella pneumoniae (HR1) assisted alleviation of Cd (II) toxicity in Vigna mungo: A case study of biosorption of heavy metal by an endophytic bacterium coupled with plant growth promotion. Eur. Med. J. Environ. Integ. 2018, 3, 27. [Google Scholar] [CrossRef]
- Rizvi, A.; Khan, M.S. Heavy metal induced oxidative damage and root morphology alterations of maize (Zea mays L.) plants and stress mitigation by metal tolerant nitrogen fxing Azotobacter chroococcum. Ecotoxicol. Environ. Saf. 2018, 157, 9–20. [Google Scholar] [CrossRef]
- Behtash, F.; Abedini, F.; Ahmadi, H.; Mosavi, S.B.; Aghaee, A.; Morshedloo, M.R.; Lorenzo, J.M. Zinc Application Mitigates Copper Toxicity by Regulating Cu Uptake, Activity of Antioxidant Enzymes, and Improving Physiological Characteristics in Summer Squash. Antioxidants 2022, 11, 1688. [Google Scholar] [CrossRef]
- Sabir, M.; Naseem, Z.; Ahmad, W.; Usman, M.; Nadeem, F.; Saifullah; Ahmad, H.R. Alleviation of adverse effects of nickel on growth and concentration of copper and manganese in wheat through foliar application of ascorbic acid. Int. J. Phytoremed. 2021, 24, 695–703. [Google Scholar] [CrossRef]
- Kohli, S.K.; Khanna, K.; Bhardwaj, R.; Abd-Allah, E.F.; Ahmad, P.; Corpas, F.J. Assessment of subcellular ROS and NO metabolism in higher plants: Multifunctional signaling molecules. Antioxidants 2019, 8, 641. [Google Scholar] [CrossRef]
- Ahmad, P.; Alam, P.; Balawi, T.H.; Altalayan, F.H.; Ahanger, M.A.; Ashraf, M. Sodium nitroprusside (SNP) improves tolerance to arsenic (As) toxicity in Vicia faba through the modifications of biochemical attributes, antioxidants, ascorbate-glutathione cycle and glyoxalase cycle. Chemosphere 2020, 244, 125480. [Google Scholar] [CrossRef]
- Kaya, C.; Ashraf, M.; Alyemeni, M.N.; Corpas, F.J.; Ahmad, P. Salicylic acid-induced nitric oxide enhances arsenic toxicity tolerance in maize plants by upregulating the ascorbate-glutathione cycle and glyoxalase system. J. Hazard Mater. 2020, 399, 123020. [Google Scholar] [CrossRef] [PubMed]
- Yu, G.; Ma, J.; Jiang, P.; Li, J.; Gao, J.; Qiao, S.; Zhao, Z. The mechanism of plant resistance to heavy metal. Earth Environ. Sci. 2019, 310, 052004. [Google Scholar] [CrossRef]
- Hall, J.L. Cellular mechanisms for heavy metal detoxification and tolerance. J. Exp. Bot. 2002, 53, 1–11. [Google Scholar] [CrossRef] [PubMed]
- Vödgeli-Lange, R.; Wagner, G.J. Relationship between cadmium, glutathione and cadmium-binding peptides (phytochelatins) in leaves of intact tobacco seedlings. Plant Sci. 1996, 114, 11–18. [Google Scholar] [CrossRef]
- Metwally, A.; Finkemeier, I.; Georgi, M.; Dietz, K.J. Salicylic acid alleviates the cadmium toxicity in barley seedlings. Plant Physiol. 2003, 132, 272–281. [Google Scholar] [CrossRef]
- Ranieri, A.; Castagna, A.; Scebba, F.; Careri, M.; Zagnoni, I.; Predieri, G.; Pagliari, M.; Sanità di Toppi, L. Oxidative stress and phytochelatin characterisation in bread wheat exposed to cadmium excess. Plant Physiol. Biochem. 2005, 43, 45–54. [Google Scholar] [CrossRef]
- Lima, A.I.G.; Pereira, S.I.A.; Figueira, E.M.A.P.; Caldeira, G.C.N.; Caldeira, H.D.Q. Cadmium detoxification in roots of Pisum sativum seedlings: Relationship between toxicity levels, thiol pool alterations and growth. Environ. Exp. Bot. 2006, 55, 149–162. [Google Scholar] [CrossRef]
- Mishra, S.; Tripathi, R.D.; Srivastava, S.; Dwivedi, S.; Trivedi, P.K.; Dhankher, O.P. Thiol metabolism play significant role during Cd detoxification by Ceratophyllum demersum L. Biores. Tech. 2009, 100, 2155–2161. [Google Scholar] [CrossRef]
- Awasthi, S.; Chauhan, R.; Dwivedi, S.; Srivastava, S. A consortium of alga (Chlorella vulgaris) and bacterium (Pseudomonas putida) for amelioration of arsenic toxicity in rice: A promising and feasible approach. Environ. Exp. Bot. 2018, 150, 115–126. [Google Scholar] [CrossRef]
- Ghani, A.; Shah, A.U.; Akhtar, U. Effect of lead toxicity on growth, chlorophyll and lead (Pb). Pak. J. Nutr. 2010, 9, 887–891. [Google Scholar] [CrossRef]
- Madhaiyan, M.; Poonguzhali, S.; Sa, T. Metal tolerating methylotrophic bacteria reduces nickel and cadmium toxicity and promotes plant growth of tomato (Lycopersicon esculentum L.). Chemosphere 2007, 69, 220–228. [Google Scholar] [CrossRef]
- Rajkumar, M.; Ma, Y.; Freitas, H. Improvement of Ni phytostabilization by inoculation of Ni resistant Bacillus megaterium SR28C. J. Environ. Manag. 2013, 128, 973–980. [Google Scholar] [CrossRef]
- Pandey, N.; Bhatt, R. Role of soil associated Exiguobacterium in reducing arsenic toxicity and promoting plant growth in Vigna radiata. Eur. J. Soil Biol. 2016, 75, 142–150. [Google Scholar] [CrossRef]
- Das, J.; Sarkar, P. Remediation of arsenic in mung bean (Vigna radiata) with growth enhancement by unique arsenic-resistant bacterium Acinetobacter lwofi. Sci. Total Environ. 2018, 624, 1106–1118. [Google Scholar] [CrossRef]








Publisher’s Note: MDPI stays neutral with regard to jurisdictional claims in published maps and institutional affiliations. |
© 2022 by the authors. Licensee MDPI, Basel, Switzerland. This article is an open access article distributed under the terms and conditions of the Creative Commons Attribution (CC BY) license (https://creativecommons.org/licenses/by/4.0/).
Share and Cite
Naseem, Z.; Naveed, M.; Asghar, H.N.; Hameed, M. Metal Resistant Enterobacter cloacae ZA14 Enhanced Seedling Vigor and Metal Tolerance through Improved Growth, Physiology and Antioxidants in Tomato (Solanum lycopersicum) Irrigated with Textile Effluents. Sustainability 2022, 14, 13619. https://doi.org/10.3390/su142013619
Naseem Z, Naveed M, Asghar HN, Hameed M. Metal Resistant Enterobacter cloacae ZA14 Enhanced Seedling Vigor and Metal Tolerance through Improved Growth, Physiology and Antioxidants in Tomato (Solanum lycopersicum) Irrigated with Textile Effluents. Sustainability. 2022; 14(20):13619. https://doi.org/10.3390/su142013619
Chicago/Turabian StyleNaseem, Zainab, Muhammad Naveed, Hafiz Naeem Asghar, and Mansoor Hameed. 2022. "Metal Resistant Enterobacter cloacae ZA14 Enhanced Seedling Vigor and Metal Tolerance through Improved Growth, Physiology and Antioxidants in Tomato (Solanum lycopersicum) Irrigated with Textile Effluents" Sustainability 14, no. 20: 13619. https://doi.org/10.3390/su142013619
APA StyleNaseem, Z., Naveed, M., Asghar, H. N., & Hameed, M. (2022). Metal Resistant Enterobacter cloacae ZA14 Enhanced Seedling Vigor and Metal Tolerance through Improved Growth, Physiology and Antioxidants in Tomato (Solanum lycopersicum) Irrigated with Textile Effluents. Sustainability, 14(20), 13619. https://doi.org/10.3390/su142013619

