Next Article in Journal
Metal Resistant Enterobacter cloacae ZA14 Enhanced Seedling Vigor and Metal Tolerance through Improved Growth, Physiology and Antioxidants in Tomato (Solanum lycopersicum) Irrigated with Textile Effluents
Next Article in Special Issue
Coal Mine Safety Accidents, Environmental Regulation and Economic Development—An Empirical Study of PVAR Based on Ten Major Coal Provinces in China
Previous Article in Journal
Relationship between Physical Activity and Medicine Use in the Spanish Population
Previous Article in Special Issue
Safety Warning of Mine Conveyor Belt Based on Binocular Vision
 
 
Font Type:
Arial Georgia Verdana
Font Size:
Aa Aa Aa
Line Spacing:
Column Width:
Background:
Article

Could the Management System of Safety Partnership Change Miners’ Unsafe Behavior?

1
School of Economics and Management, China University of Mining and Technology, Xuzhou 221116, China
2
Safety Science and Emergency Management Research Institute, China University of Mining and Technology, Xuzhou 221116, China
3
Artificial Intelligence Research Institute, China University of Mining and Technology, Xuzhou 221116, China
4
Sun Yueqi Honors College, China University of Mining and Technology, Xuzhou 221116, China
*
Author to whom correspondence should be addressed.
Sustainability 2022, 14(20), 13618; https://doi.org/10.3390/su142013618
Submission received: 17 September 2022 / Revised: 11 October 2022 / Accepted: 18 October 2022 / Published: 20 October 2022
(This article belongs to the Special Issue Sustainable Risk Management and Safety in Coal Mine)

Abstract

This paper analyzes the management system of safety partnership in coal mining enterprises through the methods of evolutionary game and optimized behavioral propagation of SEIR, considering the miners’ benefits and losses, as well as the influencing factors from miners and enterprises. It is found that, under the influence of the management system of safety partnership within miners, after the evolutionary game between miner partners, the behavioral strategies and personal benefits of the two miners are both consistent. Moreover, the benefits of individual miner and overall benefits of two miner partners, will affect the miners’ choice of safe behavioral strategies, as a result of which, the coal mines could improve the miners’ benefits through the management system of safety partnership to stimulate the implementation of miners’ safe behavior. Additionally, under the incentive of the management system of the safety partnership, the number of miners implementing unsafe behavior is decreasing, while the number of miners who are not easily affected by unsafe behavior is increasing. When the rewards and punishments of miners are strengthened, the propagation of miners’ safe behavior is accelerated. Finally, the propagation of miners’ safe behavior has a certain spillover effect within a certain range. The results of this paper provide a theoretical basis for the implementation of the management system of safety partnership in coal mining enterprises, which helps enterprises in guiding miners to take up safe behavior, which is better for enterprises’ safe development.

1. Introduction

In 2014, President Xi Jinping put forward a new energy security strategy about the energy revolution and cooperation. As the most important energy supply in China at the present stage, the safe development of the coal industry always receives the attention of the government departments. However, due to the complex environmental uncertainty in the process of coal mining, the unsafe behavior of workers, the unsafe state of machines, and the defects of management all will lead to risks or hidden dangers, even safety accidents in the process of coal mine production [1,2,3], as a result of which, the problem of coal mine safety is not effectively solved. In 2020, 122 accidents occurred in coal mines in China with a death toll of 225, among which, many accidents were caused by weak safety awareness and miners’ unsafe behavior [4]. It is seen that workers’ unsafe behavior is the important influencing factor causing coal mine safety accidents [5,6]. In coal mining enterprises, the unsafe behavior more refers to the unsafe behavior of miners, specifically, any behavior with which a miner may negatively affect the safety of organizations and individual workers, which is manifested, as miners do not abide by the organizational rules and regulations, and is an important reference indicator to evaluate the safety performance of miners [7].
There are many studies on the unsafe behavior of workers, which can be divided into four categories. First, these studies are about the identification and prediction of unsafe behavior. In the case that the complex working environment has a negative impact on the identification of workers’ behavior, there are some problems to identify the workers’ unsafe behavior [8]. In order to improve the accuracy of behavior recognition, scholars adopted some methods for relevant research, such as convolutional neural network [8], long and short-term memory network [9], and the knowledge graph [10]. Second, these studies are about the relationship between regulators, managers, and workers. Particularly, in the process of safety management of coal mining enterprises in China, there are certain conflicts of interest between external government regulations, internal governance of enterprises, and miners’ personal behavior, which is commonly studied by the method of evolutionary game [11,12]. Third, these studies are about the influencing factors of unsafe behavior and the consequences of unsafe behavior. The influencing factors can be divided into two levels, personal factors and organizational factors [13,14]. The former includes work stress [15], education and training level [16], as well as physical and mental health [17], while the later includes site environment [18], safety culture, management system [19], performance awards [14], as well as the managers’ working skills and working style [20]. As to the consequences of unsafe behavior, workers’ unsafe behavior may create behavioral risks and spread widely among workers [21], which will affect other workers and the safety of the whole work [22]. Fourth, followed by the analysis of the influencing factors and the consequences of unsafe behavior, scholars may put forward the control intervention strategies [23,24]. Babette Bronkhorst (2015) proposed to increase the safe behavior of workers by strengthening the internal safety environment of the organization after analyzing the impact of the safety environment and other factors on safe behavior [25]. Some scholars focus directly on the control strategies for the unsafe behavior. Cao et al. (2012) proposed to classify the unsafe behaviors of coal miners, and to establish databases of unsafe behaviors and safety countermeasures, respectively, in order to manage the miners’ unsafe behaviors [26].
It is a fact that the perspective of scholars’ research on unsafe behavior is constantly deepened and the methods used in research are constantly updated, but the existing research still has two shortcomings. One of the shortcomings is that the existing research focuses more on the relationships in evolutionary game between regulators, managers, and miners, but few scholars pay more attention to the game of safe and unsafe behavior among miners. The other is that, although some scholars focused on the propagation of unsafe behavior [27,28], the relevant literature is still scarce. Therefore, this paper, taking the miners’ behavior as the research object, deeply analyzes the management system of safety partnership in the actual production of the coal mining enterprise, through the models of evolutionary game and behavioral propagation, to study the phenomenon about the game and the propagation of behavior among miners. Finally, a realistic simulation is carried out through Python in order to provide reference for better management to miners and safety work in coal mines.

2. The Construction of Evolutionary Game

2.1. Theoretical Analysis and Basic Propositions

There are two miners forming partners in the management system of safety partnership, where the one may have a stronger awareness of safe behavior while the other has a relatively weak awareness of safe behavior. Further, due to the information asymmetry between the two miners, and the changes in the personal working mood and physical state, the productive behavior of the two miners may be inconsistent. At this point, when one of them performs safe behavior, the other will consider the results of the behavior, and decide whether to choose to follow or resist the former’s behavior [29]. Therefore, we propose Proposition 1.
Proposition 1.
The individual strategic collection of the miner A or B within a safety partnership is ST = ( follow , resist ) , when one of them carries out safe behavior and the other need to choose his behavior strategy. The probability of A following the safe behavior of B is a , and the probability of A resisting the safe behavior of B is 1 a . In a similar manner, the probability of B following the safe behavior of A is b , and the probability of B resisting the safe behavior of A is 1 b .
In the management system of safety partnership, two partners, A and B, will be punished at the same time when one of them commits some safety error, and the degree of punishment will vary depending on the size of the problem, such as fine, shutdown, and training. In addition, once punished for the safety problems, they will be rejected by other miners when choosing safety partners the next year, but they will be rewarded simultaneously when there are no safety problems from them within the month. Further, a continuous and steady safety state helps two miners within a safety partnership to receive annual safety rewards, simultaneously. Therefore, under this regulation, two miners within a safety partnership will reach the same behavior choice and it is uncertain that the results of the choice may or may not bring safety problems. Based on this, Propositions 2–5 are proposed.
Proposition 2.
The first situation is that miner A follows safe behavior, and B also follows the safe behavior strategy. At this time, A and B will not have any loss, so the loss is 0. However, taking safe behavior is more time-consuming and laborious than taking unsafe behavior, so taking safe behavior will be accompanied by costs c . When both partners adopt safe behavior, both A and B will obtain safety benefits d . Moreover, they identify more with each other when they adopt a consistent strategy, thus receiving additional psychological benefits e from the partnership. As a result, the composite benefits of A and B are, respectively:
U A = d + e c
U B = d + e c
Proposition 3.
The second situation is that miner A follows the safe behavior strategy, but B resists the safe behavior strategy. There are some differences in opinions between A and B, but due to their partnership, they finally need to choose the consistent behavior, safe behavior, or unsafe behavior. When they choose the safe behavior, they may face the losses of f , with the probability of p . Similarly, the safe behavior will be accompanied by fixed costs c , as well as the safety benefits d . However, because A and B hold different opinions, they will not obtain the psychological benefits. However, the final decision adopts the strategy of A, so A will obtain the additional psychological benefits k compared to B. When they choose the unsafe behavior, they may face the losses of i with the probability of q . Moreover, they do not need to pay any cost and receive no benefits. Similarly, they will not obtain the psychological benefits because they hold different opinions. However, the final decision adopts the strategy of B, so B will receive additional psychological benefits k compared to A. Here, we assume that when A and B produce a disagreement, the final scheme is consistent with A or B with equal probability of 0.5, respectively. At this point, the benefits of A and B are, respectively:
U A = ( d + k c fp ) × 0.5 + ( iq ) × 0.5 = ( d + k c fp iq ) × 0.5
U B = ( d c fp ) × 0.5 + ( k iq ) × 0.5 = ( d c fp + k iq ) × 0.5 .
Proposition 4.
The third situation is that miner B follows the safe behavior strategy, but A resists the safe behavior strategy. Similarly to Proposition 3, the benefits of A and B are, respectively:
U A = ( d c fp ) × 0.5 + ( k iq ) × 0.5 = ( d c fp + k iq ) × 0.5
U B = ( d + k c fp ) × 0.5 + ( iq ) × 0.5 = ( d + k c fp iq ) × 0.5 .
Proposition 5.
The forth situation is that miner B resists safe behavior, and A also resists the safe behavior strategy. At this time, they may receive the losses of i with the probability of q . Since both of them adopt an unsafe behavior strategy, there are no additional costs nor safety benefits. Additionally, because they choose the same strategy, they will obtain psychological benefits e . At this point, the benefits of A and B are, respectively:
U A = e iq
U B = e iq
It is easy to see that in the above propositions, the losses i accompanied by unsafe behavior strategy are significantly higher than the losses f of the safe behavior strategy. Likewise, the probability q of the losses of unsafe behavior strategy is significantly higher than the probability p of the losses of the safe behavior strategy. From the above analysis, the matrix of the comprehensive benefits after the evolutionary game between miners A and B is shown in Table 1.
As can be seen from Table 1, whether the opinions of miner A and miner B are different or not, the final benefits of miners A and B are consistent under the unified strategy, which reflects the characteristics of the management system of safety partnership.

2.2. Model Construction

In order to better present the speed and direction of the evolutionary game of the behavior between A and B, the replication dynamic equations are used for analysis [30]. According to Table 1, the expected benefits of miners A and B under two strategies of following and resisting safe behavior, respectively:
E A F = b ( d + e c ) + ( 1 b ) ( d + k c fp iq ) × 0.5
E A R = b ( d c fp + k iq ) × 0.5 + ( 1 b ) ( e iq )
E B F = a ( d + e c ) + ( 1 a ) ( d + k c fp iq ) × 0.5
E B R = a ( d c fp + k iq ) × 0.5 + ( 1 a ) ( e iq ) .
The combined expected benefits of A and B are obtained, respectively, after averaging the expected benefits of the two strategies of following and resisting safe behavior:
E A = aE A F + ( 1 a ) E A R
E B = bE B F + ( 1 b ) E B R .
Further, according to the replication dynamic equation of Weibull, the replication dynamic equations of the strategy of following safe behavior of miners A and B can be obtained:
F ( a ) = d a d t = a ( E A F E A ) = a ( 1 a ) ( E A F E A R ) = a ( 1 a ) [ b ( 2 e + fp k ) + 0.5 ( d + k c fp + iq ) e ]
F ( b ) = d b d t = b ( E B F E B ) = b ( 1 b ) ( E B F E B R ) = b ( 1 b ) [ a ( 2 e + fp k ) + 0.5 ( d + k c fp + iq ) e ] .
Combining the replication dynamic equations of A and B under the strategy of following safe behavior, we can obtain the replication dynamic differential equation set.
When F ( a ) = F ( b ) = 0 , five local equilibrium stability points of the system of equations are as follows, respectively:
ESP 1 = ( 0 , 0 ) T ;   ESP 2 = ( 0 , 1 ) T ;   ESP 3 = ( 1 , 1 ) T ;   ESP 4 = ( 1 , 0 ) T ;   ESP 5 = ( a 0 , b 0 ) T
where a o = b 0 = [ e 0.5 ( d + k c fp + iq ) ] / ( 2 e + fp k ) .

2.3. Equilibrium Analysis of the Evolutionary Game

The stability analysis of the system at the local equilibrium stability points can be judged by analyzing the positive or negative properties of the determinant and the trace of the Jacobian matrix, which is an important method to determine the evolutionary stability strategy of the whole system [31]. The systematic Jacobian matrix can be obtained by finding the partial derivatives of a and b in the system of replica dynamic differential equations, separately,
Jac = [ ( 1 2 a ) φ a a ( 1 a ) ( 2 e + fp k ) b ( 1 b ) ( 2 e + fp k ) ( 1 2 b ) φ b ]
where φ a = b ( 2 e + fp k ) + 0.5 ( d + k c fp + iq ) e , φ b = a ( 2 e + fp k ) + 0.5 ( d + k c fp + iq ) e .
Further, the determinant det ( J ) and the trace tr ( J ) of the Jacobian matrix Jac can be obtained, respectively:
det ( J ) = ( 1 2 a ) ( 1 2 b ) φ a φ b ab ( 1 a ) ( 1 b ) ( 2 e + fp k ) 2
tr ( J ) = ( 1 2 a ) φ a + ( 1 2 b ) φ b
According to the determination criteria of the evolutionary stability strategy, bringing the local equilibrium stability point into the determinant and trace of the Jacobian matrix, if det ( J ) > 0 and tr ( J ) < 0 , this local equilibrium stabilization point is the evolutionary stabilization strategy of this game system, while if tr ( J ) = 0 , this local equilibrium stability point is the saddle point, which means that in the differential equation, it is stable in one direction, and in the other direction, it is an unstable singularity [32]. Taking the five local equilibrium stability points into the determinant and trace, respectively, we make ξ = 0.5 ( d + k c fp + iq ) e and δ = 2 e + fp k to facilitate intuitive analysis, then, the results of determinants and traces are shown in Table 2. Further, we judge the stability of the local equilibrium stability points by comparing the positive or negative properties of the determinants and traces in the different cases of ξ and δ , and the results obtained are shown in Table 3.
As obtained from Table 3, when ξ < 0 , whether δ < 0 or δ > 0 , only the condition for the system evolution stability strategy is met at the point ESP 1 = ( 0 , 0 ) T . This means that when the net benefits of the miner within the safety partnership from following safe behavior is less than the psychological benefits from performing the behavior consistent with the partner, the final convergence point is ESP1(0,0); In another word, the miners will resist to follow the other’s safe behavior.
When ξ > 0 and δ > 0 , there is a unique system evolution stabilization point, ESP 3 = ( 1 , 1 ) T . It means that when the miner within the safety partnership receives a smaller net personal benefit from adopting a strategy of following safe behavior than the psychological benefits of acting out behavior consistent with the partner, at the same time, the total psychological benefits they receive from the consistent strategy is higher than the net benefits obtain when they hold different opinions, but his opinion is chosen, and the final convergence point is ESP 3 = ( 1 , 1 ) T . At this point, both miners A and B will adopt the strategy of following safe behavior.
Regardless of how the ξ and δ change, ESP 5 = ( a 0 , b 0 ) T is always the saddle point. Further, the situation of “\” in Table 3 means that the determinants and traces are affected by the size of the absolute value of ξ and δ , and the results of the system evolution stability cannot be determined. It can be found form the deeper analysis that ξ and δ represent the benefits of the individual miner and the partners’ total benefits during the evolutionary game, respectively.
In the actual process of the coal mine production, the enterprise will reward the miners within the safety partnership when they carry out safe behavior. They will be given a certain degree of rewards, and as time goes by and the miner partners carry out more safe behaviors, the rewards will accumulate continually. However, if one of the miners within the partnership performs unsafe behavior, especially when his unsafe behavior causes safety risks, both of the miners within the partnership will be punished together to some extent. At the same time, miners who are being punished economically will be excluded later when looking for their safety partners. Therefore, in the actual production, the managers will improve the overall interests of the two miners through the management system of the safety partnership, so as to stimulate the improvement of personal benefits, making the ξ and δ in the model greater than 0, as a result of which, the miners will be promoted to implement the safe behavior.

3. The Propagation of Safe Behavior in Evolutionary Game

On the one hand, it can be found from the analysis of the evolutionary game that it is easy to analyze when the miners within the safety partnership hold the same opinion. When the partners hold different opinions, the analysis of the evolutionary game is relatively complicated. At this time, among miner partners, the non-decisive partner will be more likely to be infected by the other partner’s behavior than the will-determined miner, which will influence his choice of behavior strategy. On the other hand, within the management system of the safety partnership in the coal mining enterprise, the reward and punishment from the manager are also more likely to affect the safety partners, so that the miners with unsafe behavior are constantly infected by the safety partners with safe behavior and finally convert to the safe behavior. It is clear that there exists the phenomenon of the propagation of miners’ safe behavior in evolutionary game, which is the content this paper will further analyze in the following pages.
When studying the propagation of miners’ safe behavior, many scholars borrowed from the model of infectious disease: susceptible–exposed–infected–removed (SEIR) [33]. In this model, S refers to the sate in which people are safe but easily affected by the disease; E refers to the sate in which people touched the disease but are not affected by the disease now; I refers to the state in which people were affected by the disease and had the attributes to propagate the disease; R refers to the sate in which people experienced the disease but are cured and have the immune ability to the disease. Figure 1 shows the traditional model of SEIR , where x 1 x 3 represent the conversion rate between the anterior and posterior states, respectively.
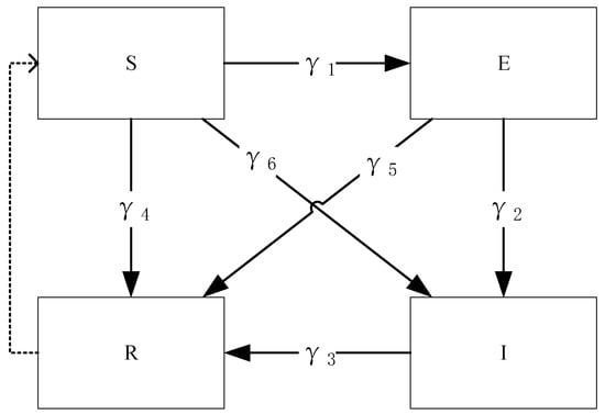
This paper draws lessons from the model of SEIR to study the propagation of safe behavior among coal miners. From a theoretical point of view, in an ideal state, both the starting point and the end point of miners’ behavior should be the implementation of safe behavior, and the emergence and existence of unsafe behavior should be a link in the process of behavior propagation and should be corrected in time. Therefore, it is defined that: S refers to miners that are carrying out safe behavior but are easily affected by the unsafe behavior; E refers to the miners who know the unsafe behavior but never carried out the unsafe behavior; I is the sum of miners who performed unsafe behavior at the present stage, including spontaneous unsafe behavior from individual miners and unsafe behavior affected by others’ unsafe behavior; and R refers to the miners who have the will to perform unsafe behavior or performed unsafe behavior but were corrected and continue to perform safe behavior. Further, considering the actual propagation of miners’ safe behavior, under the assumption that the state R is steady, means that miners who are immune to unsafe behavior will not perform the same unsafe behavior again, which is also an ideal state. We optimized the traditional model of SEIR to present the propagation of miners’ safe behavior between different states more clearly and completely. The optimized model is shown in Figure 2.
In Figure 2, γ 1 γ 6 are the conversion rates between the different states. It should be explained that when the start and end points are both safe behavior and R is the stable state referring to the immune status for unsafe behavior, the propagation between the four nodes in the optimized model of SEIR can only be one-way and cannot pass in reverse. However, in the forward propagation process, the current node can pass directly across the neighboring nodes to the latter node or even the end node. In practice, although the miners in the node of S are carrying out the safe behavior, they are very susceptible to unsafe behavior. On the one hand, these miners may carry out unsafe behavior unconsciously. On the other hand, affected by other miners’ unsafe behavior, these miners may also choose to carry out unsafe behavior speculatively. Therefore, these miners may directly change from node S to node I . Under the influence of the incentives and punishment measures in the management system of the safety partnership, the miners in the state of nodes S and E may directly choose to resist and immunize unsafe behavior and implement the safe behavior strategy, going directly to the node of R .
Particularly, due to the variety of miners’ working behaviors, when the miners in the state of node R , who were immune to this unsafe behavior but do not know the requirement about the other behaviors, they may get into the node of S about the other behaviors. Moreover, each state will have a fixed change rate of γ 0 . Further, the realistic significance of γ 0 γ 6 is explained.
The fixed change rate of each state γ 0 is mainly related to the miner’s own safety literacy and safety consciousness ( SC ) [33]. Therefore, γ 0 is set to:
γ 0 = β 01 SC + β 0
γ 1 is the conversion rate of node S passing to node E. The most obvious change from node S to node E is that the miners at node S are exposed to, and even affected by, the unsafe behavior. Therefore, the most important factor affecting γ 1 is the rate of miners who carried out unsafe behavior at this stage ( UR ), and it is also related to the miner’s safety literacy and safety consciousness, so that the explanation of γ 1 is,
γ 1 = β 11 UR + β 12 SC + β 1 .
The conversion rate is γ 2 from node E passing to node I , which is affected more by the benefits that the miners can get from their safe behavior. It can be seen from the analysis of evolutionary game that the benefits the miners received from safe behavior was opposite to the losses incurred by unsafe behavior. Furthermore, implementing unsafe behavior saves the cost c of implementing safe behavior. For simple analysis, regardless of the psychological benefits of miners, γ 2 can be explained as:
γ 2 = β 21 iq + β 22 c + β 2
In the propagation from nodes S ,   E , and I to node R , the conversion rates are more determined by the miner’s benefits from the safe behavior. Similarly, from the analysis of evolutionary game, the net benefits of miners implementing safe behavior without considering the psychological benefits, mainly include the safety benefits d , the cost c of implementing safe behavior, and the possible losses fp of implementing safe behavior; thus, we can obtain the definitions of γ 3 γ 5 :
γ 3 = β 31 d β 32 c β 33 fp + β 3
γ 4 = β 41 d β 42 c β 43 fp + β 4
γ 5 = β 51 d β 52 c β 53 fp + β 5
γ 6 is the conversion rate of the miners changing directly from node S to node I over node E , so its influencing factors should be the combination of factors affecting γ 1 and γ 2 , including UR , SC , iq , and c , which is explained as follows;
γ 6 = β 61 UR + β 62 SC + β 63 iq + β 64 c + β 6 .
According to the above theoretical analysis, assuming that there are only S 0 miners in the initial state, the differential kinetic equations for the propagation of miners’ safe behavior can be established.
d S t d t = S 0 γ 1 S t γ 4 S t γ 6 S t γ 0 S t
d E t d t = γ 1 S t γ 2 E t γ 5 E t γ 0 E t
d I t d t = γ 2 E t + γ 6 S t γ 3 I t γ 0 I t
d R t d t = γ 3 I t + γ 4 S t + γ 5 E t γ 0 R t
Further, the corresponding Jacobin matrix is obtained.
Jac = [ γ 1 γ 4 γ 6 γ 0 0 0 0 γ 1 γ 2 γ 5 γ 0 0 0 γ 6 γ 2 γ 3 γ 0 0 γ 4 γ 5 γ 3 γ 0 ]

4. Numerical Analysis

4.1. Numerical Analysis of Evolutionary Game about Miners’ Behavior

According to the theoretical analysis and the interview results of experts, referring to previous studies [34,35], the questionnaire of evolutionary game and propagation of miners’ behavior was designed. The miners of a coal mine that implemented the management system of safety partnership were requested to do the questionnaire, with the obtained results collected in the interval of [1,5].
When c = 3.10 , d = 4.37 , e = 3.64 , fp = 0.94 , k = 4.29 , iq = 4.58 , then ξ = 0.5 ( d + k c fp + iq ) e = 0.96 and δ = 2 e + fp k = 3.93 , it is satisfied that ξ > 0 and δ > 0 ; here, the only stabilization point of the evolutionary system is ESP3 (1,1), which means that the final choice of miners A and B is to follow the safe behavior strategy. It shows that, under a certain condition, there is some costs about safe behavior, when the miners obtain the most benefits from safe behavior and the most losses from unsafe behavior, considering the psychological benefits of miners, if the total benefits of the miners within the safety partnership are more than 0 and higher than his own benefits, the two miners will eventually tend to choose the safe behavior strategy with consistent opinion. This result also shows that the implementation of the management system of safety partnership brought the effect of 1 + 1 > 2 to the miners’ safe behavior in the process of production.

4.2. Numerical Analysis of the Propagation about Miners’ Behavior

Based on the results of the interviews with the experts, as of 1 August, there are a total of 635 miners in this coal mine, with 39 new miners employed in 2022. Moreover, according to the results of the questionnaire, we measured that the number of miners who performed the unsafe behavior was 546, so we defined the rate of the new increase in miners as equal to 0.06 (the ratio of the number of new miners to the total number of miners).
Under the management system of safety partnership, miners will adopt the propagation strategy of safe behavior, driven by the policy of rewards and punishments, as a result of which, theoretically, the number of miners who perform unsafe behavior should decrease, while the number of miners who are not easily affected by unsafe behavior should increase. Figure 3a was obtained under a normal circumstance, when γ 0 = 0.06 , γ 1 = 0.2 , γ 2 = 0.3 , γ 3 = 0.3 , γ 4 = 0.2 , γ 5 = 0.2 , and γ 6 = 0.2 . Obviously, during the simulation time, the number of miners who performed unsafe behavior remained unchanged after declining to a certain extent. While the number of miners who performed safe behavior but were susceptible to unsafe behavior and those who were exposed to unsafe behavior but did not perform unsafe behavior remained stable after a small increase. In addition, the number of miners who are immune to and not susceptible to unsafe behavior is rising.
If the enterprise increases the implementation of the management system of safety partnership, which would mean that the miners are more affected by the incentive policy of rewards and punishments, the changing trend of the propagation of miners’ safe behavior will also change. The change in the number of miners was analyzed, as shown in Figure 3b, when γ 0 = 0.06 , γ 1 = 0.2 , γ 2 = 0.3 , γ 3 = 0.5 , γ 4 = 0.4 , γ 5 = 0.4 , and γ 6 = 0.2 . It can be found from Figure 3b that the trend of the number of miners in the four states is consistent with the trend in Figure 3a. However, it is different that, compared to Figure 3a, the number of miners who perform unsafe behavior decreased faster and the number of miners who are not susceptible to unsafe behavior increased faster in Figure 3b.
From Figure 3, we can also find that the total number of miners who are not susceptible to unsafe behavior is more than the total number in the coal mine, which means that under the management system of the safety partnership, there is a certain spillover effect of the propagation of miners’ safe behavior. The reasons for this result maybe that, on the one hand, from a data perspective, γ 0 is taken as the increasing rate of new miners, while if it is taken as the separation rate of miners, then the results will be changed. On the other hand, from a practical point of view, there is usually more than one coal mine under a coal mining enterprise, and the influence of the management system of safety partnership is usually not limited to only one coal mine, thus resulting in the spillover effect of the management system in the whole coal mining enterprise. Moreover, the long-term simulation results show that the total number of miners who are not susceptible to unsafe behavior will eventually convert to the steady state. In other words, the total number of miners in all four states will eventually convert to the steady state, which means that with the propagation of miners’ safe behavior exists a certain range of spread.

5. Discussion

In order to reduce the occurrence of miners’ unsafe behavior, which seriously restricts the safe development of a coal mine, coal mining enterprises explored the management system of safety partnerships to manage the miners’ work. This paper analyzed the theoretical basis and practical significance of this management system from a theoretical perspective.
Firstly, the theoretical model of the game between miner partners’ behaviors was constructed based on the evolutionary game. Then, it was found that in the evolutionary game of miners’ behavior, since the behavioral strategy choice of miner partners needs to maintain final consistency, the benefits they obtained as safety partners were also consistent. Compared with other studies, it is unique that the evolutionary game model in this paper is different from others, because the behavior strategies of both participants in the evolutionary game can be inconsistent eventually in other studies. Further, after the theoretical analysis, it can be found that, when the net individual benefits from safe behavioral strategy are less than the psychological benefits from consistent behavior with his partner, and when the psychological benefits from the consistent strategy are higher than the net benefits when the partners hold different opinions but his own opinion was adopted, the miners within the safety partnership will both take the strategy of following safe behavior. In another word, whether a miner conducts safe behavior or not is related to the miner’s individual benefits and the overall benefits of the miners within the safety partnership. Therefore, in the actual production, coal mining enterprises can carry out the management system of safety partnership widely by improving the overall benefits of miners within the safety partnership to further stimulate the improvement of the miner’s personal benefits, so as to encourage the miners to choose safe behavior in production.
Secondly, compared with the chain model of behavior propagation in tradition, this paper optimized the model and proposed the ring model of safe behavior propagation, integrating the factors affecting the evolutionary game of miners’ behavior under the management system of safety partnership, which is more consistent with the actual situation. The results show that, under the influence of the management system of safety partnership, in the propagation of miners’ behavior, the number of miners who performed unsafe behavior was gradually decreasing, while the number of those who were not susceptible to unsafe behavior was constantly increasing. Moreover, when increasing the rewards and punishments for miners’ behavior in the management system, the propagation of behavior could accelerate. Finally, the number of miners in the four states would stabilize. In addition, under the influence of the management system of safety partnership, the spread of miners’ safe behavior had a certain spillover effect within a certain range. So, in the actual production, coal mining enterprises can moderately increase the implementation of the management system of safety partnership, to accelerate the spread of miners’ safe behavior, so as to make more miners give up unsafe behavior and choose safe behavior.
In addition, according to the theoretical analysis and questionnaire results comprehensively, the miner’s safety literacy and safety consciousness have an important impact on the game and propagation of miners’ safe behavior. Therefore, coal mining enterprises should strengthen the publicity of safety production and carry out miners’ safety education and training actively, in order to lay a good foundation for the implementation of the management system of safety partnership.
This paper is based on the basic theory of safety and behavior management, and also draws on the basic theory model of evolutionary game and behavior propagation, and fully refers to previous studies in the variable selection. Meanwhile, there exist some unique innovations in this paper. First, the evolutionary game model used to analyze the management system of safety partnership was considered with the consistency of both miner partners’ behavior and income, which is more consistent with the actual situation. Second, the traditional model of behavior propagation was optimized to a circular propagation model, and considered the impact of factors influencing evolutionary game on the behavior propagation, which is more realistic.
In general, this paper considered the phenomenon of the game and propagation of behavior among miner partners, and combined traditional methods with real needs to improve and optimize these models, which complemented the related research, theoretically. Further, this paper took the management system of safety partnership in the actual coal mine production as the research object, which provided the theoretical basic analysis for the application of this management system, and also provided the relevant countermeasures and suggestions for the actual production of coal mining enterprises, contributing to the improvement of their production management.
There are also some shortcomings in this paper. First, in the theory analysis about behavior evolutionary game and behavior propagation, some propositions and assumptions were put forward to simplify the variables and factors in the models. In reality, the factors affecting the game and propagation of miners’ behavior are more complex, so we can explore the impact of different factors on the management system of safety partnership more comprehensively in the future. Second, in the analysis of the behavioral propagation, we proposed an ideal state of the model, especially with the stable state of R, but the ideal and stable state may not be realized due to the uncertainty of the miner’s behavior. So in the future, on the one hand, the propagation of miners’ behavior in the unstable state is worth our consideration, and on the other hand, coal mining enterprises also need to promote the stability of miners’ safe behavior through training and education. Finally, as more and more enterprises implement the management system of safety partnership, we can expand the scope of the questionnaire and conduct in-depth research to make our research results even more convincing.

6. Conclusions

In order to reduce the unsafe behavior of miners and help the safe development of coal mining enterprises, this paper analyzed the impact of the management system of safety partnerships on miners’ behavior game and propagation in the actual coal mine production through the evolutionary game model and the optimized behavioral propagation model. The results show that the management system of safety partnership could change the behavior of miners, which is specifically reflected in that it could help miners to choose safe behavior and conduct the wide propagation of safe behavior. The research provides a theoretical basis for coal mining enterprises to implement the management system of safety partnership, and also provides relevant suggestions for the development of coal mine safety.

Author Contributions

Conceptualization, J.L. and S.L.; methodology, J.L. and W.B.; investigation, K.X.; writing—review and editing, J.L. and S.L.; funding acquisition, S.L. All authors have read and agreed to the published version of the manuscript.

Funding

This study was supported by the National Natural Science Foundation of China (71972176) and Major projects of Jiangsu Social Science Foundation of China (21ZD006).

Institutional Review Board Statement

Not applicable.

Informed Consent Statement

Not applicable.

Data Availability Statement

The data presented in this study are available on request from the corresponding author.

Acknowledgments

The authors gratefully acknowledge the experts involved in the interview and the miners participated in the questionnaire, as well as the editors and reviewers.

Conflicts of Interest

The authors declare no conflict of interest.

References

  1. Lu, J.; Liu, W.; Yu, K.; Zhou, L. The Dynamic Evolution Law of Coal Mine Workers’ Behavior Risk Based on Game Theory. Sustainability 2022, 14, 4015. [Google Scholar] [CrossRef]
  2. Rai, S.S.; Murthy, V.M.S.R.; Sukesh, N.; Teja, A.S.; Raval, S. Operational efficiency of equipment system drives environmental and economic performance of surface coal mining-A sustainable development approach. Sustain. Dev. 2021, 29, 25–44. [Google Scholar] [CrossRef]
  3. Jonek, K.I. Long-term analysis of the effects of production management in coal mining in Poland. Energies 2019, 12, 314616. [Google Scholar]
  4. Analysis of the characteristics and causes of national coal mine accidents in 2020. Int. Coal Netw. 2021. (In Chinese). Available online: https://coal.in-en.com/html/coal-2590594.shtml (accessed on 26 January 2021).
  5. Peter, B.; Petrissa, E.; Stefan, H. Comparative assessment of severe accident risks in the coal, oil and natural gas chains. Reliab. Eng. Syst. Saf. 2012, 105, 97–103. [Google Scholar]
  6. Tong, R.P.; Yang, Y.Y.; Ma, X.F.; Zhang, Y.W.; Li, S.; Yang, H.Q. Risk Assessment of Miners’ Unsafe Behaviors: A Case Study of Gas Explosion Accidents in Coal Mine, China. Int. J. Environ. Res. Public Health 2019, 16, 1765. [Google Scholar] [CrossRef]
  7. Fam, I.M.; Nikoomaram, H.; Soltanian, A. Comparative analysis of creative and classic training methods in health, safety and environment (HSE) participation improvement. J. Loss Prev. Process Ind. 2012, 2, 250–253. [Google Scholar] [CrossRef]
  8. Ding, L.Y.; Fang, W.L.; Luo, H.B.; Love, P.E.; Zhong, B.T.; Ouyang, X. A deep hybrid learning model to detect unsafe behavior: Integrating convolution neural networks and long short-term memory. Autom. Constr. 2018, 86, 118–124. [Google Scholar] [CrossRef]
  9. Ting, K.; Fang, W.L.; Love, P.E.; Luo, H.B.; Xu, S.J.; Li, H. Computer vision and long short-term memory: Learning to predict unsafe behaviour in construction. Adv. Eng. Inform. 2021, 50, 101400. [Google Scholar]
  10. Fang, W.L.; Ma, L.; Love, P.E.; Luo, H.B.; Ding, L.Y.; Zhou, A. Knowledge graph for identifying hazards on construction sites: Integrating computer vision with ontology. Autom. Constr. 2020, 119, 103310. [Google Scholar] [CrossRef]
  11. Liu, Q.L.; Li, X.C.; Meng, X.F. Effectiveness research on the multi-player evolutionary game of coal-mine safety regulation in China based on system dynamics. Saf. Sci. 2019, 111, 224–233. [Google Scholar] [CrossRef]
  12. You, M.J.; Li, S.; Li, D.w.; Cao, Q.R.; Xu, F. Evolutionary game analysis of coal-mine enterprise internal safety inspection system in China based on system dynamics. Resour. Policy 2020, 67, 101673. [Google Scholar] [CrossRef]
  13. Yang, L.; Wang, X.; Zhu, J.Q.; Qin, Z.Y. Influencing factors, formation mechanism, and pre-control methods of coal miners’ unsafe behavior: A systematic literature review. Front. Public Health 2022, 10, 792015. [Google Scholar] [CrossRef] [PubMed]
  14. Chen, T.; Hu, W.; Liu, J.; Li, H. Effect of work values on miners’safety behavior: The mediating role of psychological empowerment and the moderating role of safety climate. Sustainability 2022, 14, 9553. [Google Scholar] [CrossRef]
  15. Kwesi, A.T.; Michael, A.A. Work Pressure and Safety Behaviors among Health Workers in Ghana: The Moderating Role of Management Commitment to Safety. Saf. Health Work. 2016, 7, 340–346. [Google Scholar]
  16. Qiao, W.G.; Liu, Q.L.; Li, X.C.; Luo, X.X.; Wan, Y.L. Using data mining techniques to analyze the influencing factor of unsafe behaviors in Chinese underground coal mines. Resour. Policy 2018, 59, 210–216. [Google Scholar] [CrossRef]
  17. Jason, L.S.; Carolyn, M. Youssef-Morgan.Can positivity promote safety? Psychological capital development combats cynicism and unsafe behavior. Saf. Sci. 2019, 116, 13–25. [Google Scholar]
  18. Iraj, M.; Fakhradin, G.; Omid, K.; Abbas, M. Constructing a Bayesian network model for improving safety behavior of employees at workplaces. Appl. Ergon. 2017, 58, 35–47. [Google Scholar]
  19. Wang, C.; Wang, J.K.; Wang, X.H.; Yu, H.; Bai, L.; Sun, Q. Exploring the impacts of factors contributing to unsafe behavior of coal miners. Saf. Sci. 2019, 115, 339–348. [Google Scholar] [CrossRef]
  20. Beatriz, F.M.; José, M.M.P.; Camilo, J.V.O. The role of safety leadership and working conditions in safety performance in process industries. J. Loss Prev. Proc. Ind. 2017, 50, 403–415. [Google Scholar]
  21. Tang, B.; Guo, S.Y.; Li, J.C.; Lu, W. Exploring the risk transmission characteristics among unsafe behaviors within urban railway construction accidents. J. Civ. Eng. Manag. 2022, 28, 443–456. [Google Scholar] [CrossRef]
  22. Heinrich, H.W.; Petersen, D.; Roos, N. Industrial Accident Prevention; McGraw-Hill Book Company: New York, NY, USA, 1980; pp. 30–52. [Google Scholar]
  23. Yu, K.; Cao, Q.G.; Xie, C.Z.; Qu, N.N.; Zhou, L.J. Analysis of intervention strategies for coal miners’ unsafe behaviors based on analytic network process and system dynamics. Saf. Sci. 2019, 118, 145–157. [Google Scholar] [CrossRef]
  24. Xue, N.; Zhang, J.; Zhang, W.; Zhao, T. Correlations of Construction Workers’ Unsafe Behaviors and the Influential Factors by Using Text Mining. Saf. Environ. Eng. 2021, 28, 59–65. (In Chinese) [Google Scholar]
  25. Babette, B. Behaving safely under pressure: The effects of job demands, resources, and safety climate on employee physical and psychosocial safety behavior. J. Saf. Res. 2015, 55, 63–72. [Google Scholar]
  26. Cao, Q.G.; Li, K.; Liu, Y.J.; Sun, Q.H.; Zhang, J. Risk management and workers’ safety behavior control in coal mine. Saf. Sci. 2012, 50, 909–913. [Google Scholar]
  27. Xu, Z.Q.; Zhang, N.; Wang, H.Q.; Cao, Q.R. Analysis of the propagation of miners’ unsafe behavior. Sci. Technol. Prog. Policy 2014, 31, 54–56. (In Chinese) [Google Scholar]
  28. Guo, S.Y.; Zhou, X.Y.; Tang, B.; Gong, P.S. Exploring the behavioral risk chains of accidents using complex network theory in the construction industry. Physica A-Stat. Mech. Appl. 2020, 560, 125012. [Google Scholar] [CrossRef]
  29. Chen, Y.; Li, S.; Zhang, Y.H.; Cao, Q.R. Research on Herding Effect in Unsafe Behavior Based on Evolutionary Game. J. Technol. Econ. 2020, 39, 144–155. (In Chinese) [Google Scholar]
  30. Li, S.; Yang, Q.F.; Zhang, Y.H.; Liu, J. Multi-agent evolutionary game analysis of the coal mine on-site regulatory mode. Resour. Policy 2022, 77, 102723. [Google Scholar] [CrossRef]
  31. Wang, Y.M.; Tian, Y.D.; Du, P.P.; Wei, F. Cooperative behavioral strategies of overseas farmland investment participants from the perspective of evolutionary game. Resour. Sci. 2021, 43, 1849–1862. (In Chinese) [Google Scholar] [CrossRef]
  32. Yang, N.D.; Wang, Y.; Wang, Y.; Zhang, Y.L. Evolutionary Game on Technological Innovation of Enterprises in Complex Product R&D Network. Chin. J. Manag. Sci. 2022, 4, 1–13. (In Chinese) [Google Scholar]
  33. Shi, J.; Zheng, P.; Chang, D.Y.; Xu, L.F. On the propagation manner of the miners’ reckless behaviors based on the so-called SEIMR model. J. Saf. Environ. 2021, 21, 1203–1211. (In Chinese) [Google Scholar]
  34. Chen, Y. Research on the Driving Mechanism and Controls of Unsafe Herd Behaviors of Coal Miners; China University of Mining and Technology: Beijing, China, 2020. (In Chinese) [Google Scholar]
  35. Jiang, Y.Q. Research on the Communication of Construction Workers’ Unsafe Behaviors from the Perspective of Groups; Dalian University of Technology: Dalian, China, 2021. (In Chinese) [Google Scholar]
Figure 1. The traditional model of SEIR.
Figure 1. The traditional model of SEIR.
Sustainability 14 13618 g001
Figure 2. The optimized model of SEIR for the propagation of miners’ safe behavior.
Figure 2. The optimized model of SEIR for the propagation of miners’ safe behavior.
Sustainability 14 13618 g002
Figure 3. Numerical results for the behavioral propagation. (a) Normal circumstance. (b) Increase management efforts.
Figure 3. Numerical results for the behavioral propagation. (a) Normal circumstance. (b) Increase management efforts.
Sustainability 14 13618 g003
Table 1. The comprehensive benefit matrix of the evolutionary game between A and B.
Table 1. The comprehensive benefit matrix of the evolutionary game between A and B.
Miner A
Miner B
Follow(F)Resist(R)
Follow(F)d + e − c, d + e − c(d + k – c – fp − iq) × 0.5,
(d – c – fp + k − iq) × 0.5
Resist(R)(d – c – fp + k − iq) × 0.5,
(d + k – c – fp − iq) × 0.5
e − iq, e − iq
Table 2. The determinants and traces corresponding to the local equilibrium points.
Table 2. The determinants and traces corresponding to the local equilibrium points.
Local Equilibrium PointDeterminantTrace
ESP 1 = ( 0 , 0 ) T ξ2
ESP 2 = ( 0 , 1 ) T −(δ + ξ)ξδ
ESP 3 = ( 1 , 1 ) T (δ + ξ)2−2(δ + ξ)
ESP 4 = ( 1 , 0 ) T −ξ(δ + ξ)δ
ESP 5 = ( a 0 , b 0 ) T −[ξ(δ + ξ)]220
Table 3. Stability judgment of local equilibrium stability points.
Table 3. Stability judgment of local equilibrium stability points.
ξ < 0, δ < 0ξ < 0, δ > 0ξ > 0, δ < 0ξ > 0, δ > 0
Local Equilibrium PointDeterminantTraceDeterminantTraceDeterminantTraceDeterminantTrace
ESP 1 = ( 0 , 0 ) T ++++++
ESP 2 = ( 0 , 1 ) T \+\+
ESP 3 = ( 1 , 1 ) T +++\+\+
ESP 4 = ( 1 , 0 ) T \+\+
ESP 5 = ( a 0 , b 0 ) T 0-000
Publisher’s Note: MDPI stays neutral with regard to jurisdictional claims in published maps and institutional affiliations.

Share and Cite

MDPI and ACS Style

Liu, J.; Li, S.; Bao, W.; Xu, K. Could the Management System of Safety Partnership Change Miners’ Unsafe Behavior? Sustainability 2022, 14, 13618. https://doi.org/10.3390/su142013618

AMA Style

Liu J, Li S, Bao W, Xu K. Could the Management System of Safety Partnership Change Miners’ Unsafe Behavior? Sustainability. 2022; 14(20):13618. https://doi.org/10.3390/su142013618

Chicago/Turabian Style

Liu, Jiao, Shuang Li, Weijun Bao, and Kun Xu. 2022. "Could the Management System of Safety Partnership Change Miners’ Unsafe Behavior?" Sustainability 14, no. 20: 13618. https://doi.org/10.3390/su142013618

APA Style

Liu, J., Li, S., Bao, W., & Xu, K. (2022). Could the Management System of Safety Partnership Change Miners’ Unsafe Behavior? Sustainability, 14(20), 13618. https://doi.org/10.3390/su142013618

Note that from the first issue of 2016, this journal uses article numbers instead of page numbers. See further details here.

Article Metrics

Back to TopTop