Next Article in Journal
Energy Analysis, Building Energy Index and Energy Management Strategies for Fast-Food Restaurants in Malaysia
Next Article in Special Issue
Robust Counterpart Models for Fresh Agricultural Product Routing Planning Considering Carbon Emissions and Uncertainty
Previous Article in Journal
Sustainability-Oriented Innovation Foresight in International New Technology Based Firms
Previous Article in Special Issue
Data-Driven Robust Data Envelopment Analysis for Evaluating the Carbon Emissions Efficiency of Provinces in China
 
 
Font Type:
Arial Georgia Verdana
Font Size:
Aa Aa Aa
Line Spacing:
Column Width:
Background:
Article

A Credit Risk Contagion Intensity Model of Supply Chain Enterprises under Different Credit Modes

1
School of Economics and Management, Nanjing Tech University, Nanjing 211816, China
2
Academy of Mathematics and Systems Science, Chinese Academy of Sciences, Beijing 100190, China
*
Author to whom correspondence should be addressed.
Sustainability 2022, 14(20), 13518; https://doi.org/10.3390/su142013518
Submission received: 12 September 2022 / Revised: 15 October 2022 / Accepted: 17 October 2022 / Published: 19 October 2022
(This article belongs to the Special Issue Sustainable Supply Chain Management and Optimization)

Abstract

The rapid development of theoretical and practical innovations in corporate finance driven by supply chain finance has exacerbated the complexity of credit default risk contagion among supply chain enterprises. Financial risks in the supply chain greatly hinder its sustainable development; thus, strengthening financial risk management is necessary to ensure the sustainability of the supply chain. Based on the single-channel and dual-channel credit financing models of retailers in the supply chain, the purpose of this paper was to construct a model of the intensity of credit default risk contagion among supply chain enterprises under different credit financing models, and investigate the influencing factors of credit risk contagion among supply chain enterprises and its mechanism of action through a computational simulation system. The results were as follows: (1) there was a positive relationship between the production cost of suppliers and the contagion intensity of the supply chain credit default risk, and the contagion effect of the supply chain credit default risk increased significantly when both retailers defaulted on trade credit to suppliers; (2) the market retail price of the product was negatively related to the contagion intensity of the supply chain credit default risk, and the contagion intensity of the supply chain credit default risk increased significantly when both retailers defaulted on trade credit to the supplier; (3) the intensity of credit default risk contagion in the supply chain was positively correlated with both the commercial bank risk-free rate and the trade credit rate, and retailers’ repayment priority on trade credit debt was negatively correlated with suppliers’ wholesale prices and positively correlated with retailers’ order volumes, with retailers’ repayment priority positively affecting retailers’ bank credit rates and negatively affecting suppliers’ bank credit rates; and (4) retailers’ repayment priority on trade credit debt was negatively correlated with the intensity of supply chain credit default risk contagion, and the lower the retailer’s bank credit limit, the higher the trade credit limit, and the stronger the credit default contagion effect in the supply chain.

1. Introduction

Supply chain finance is a product of the integration of supply chain operation and financial business due to their respective development needs, and is a financial service derived from supply chain management [1] (Lamoureux, 2007). With the rapid development of supply chain finance and its innovation, numerous complex financing models have been formed, among which bank credit and trade credit are the most frequently used and the most theoretically researched ways of financing supply chain enterprises. In reality, SMEs in the supply chain face strong financing constraints due to their low credit ratings, which make it difficult for them to obtain credit funds directly from banks [2]. To a certain extent, trade credit financing has solved the problem of financing difficulties for SMEs and has gradually replaced bank credit financing as the only financing channel for SMEs downstream of the supply chain [3,4]. Due to the special industrial transaction mode of supply chain enterprises, the enterprise association is more complex and close, and the relationship between upstream and downstream enterprises presents the characteristics of behavioral dependence, synergy and mutual benefit [5,6]. Upstream core enterprises will take the initiative to reduce production costs to ease the financing needs of downstream enterprises, in order to improve their own profitability and that of the supply chain as a whole [7,8,9]. However, the special interconnectedness between upstream and downstream enterprises in the supply chain often directly leads to credit risk contagion among supply chain enterprises. Once a credit crisis is triggered by certain enterprises, it can quickly spread to other related enterprises in the supply chain and even affect the stability of the entire supply chain and the economic system, thus triggering a crisis in the industry [10]. What are the credit financing models for upstream and downstream companies in the supply chain driven by supply chain finance? How does supply chain credit default risk develop and become contagious? What are the evolutionary characteristics of supply chain credit risk contagion? In light of the above considerations, this paper attempted to analyze the micromechanism of supply chain credit default risk based on the credit model of SMEs in the supply chain, and to portray the supply chain credit risk contagion mechanism triggered by retailers under different models of bank credit and trade credit. Commercial bank credit is the main and most common form of external financing in supply chain finance. SMEs in the supply chain can be guaranteed by core enterprises with sufficient capital and good credit and business conditions, thus reducing the credit risk assessment of commercial banks on SMEs and ultimately realizing the demand for bank credit financing [11]. The financing decisions of upstream and downstream supply chain enterprises for commercial bank credit are mainly determined by the operational characteristics of the supply chain [5,12,13]. For example, the financing of supply chain enterprises subject to financial constraints and applied to commercial banks for financial support in the form of inventory pledges and accounts receivable financing [14]. And, based on a game between commercial banks and supply chain operators, that in order to improve the overall operational efficiency of the supply chain, firms with capital problems must consider both the operational and financing decisions of supply chain firms [15]. Furthermore, suitable financing solutions can effectively stimulate retailers’ order volumes and achieve supply chain coordination [16]. In addition, retailers’ decisions are also influenced by the amount of their own capital in both bank credit and equity financing models, with retailers more likely to choose bank credit financing when the level of their own capital is high and to prefer equity financing when the level of capital is low [17,18].
The core of trade credit financing is designed to help SMEs in the supply chain to use their own commercial credit, to reach agreements with core companies. Short-term financing for SMEs is achieved through deferred payment, thereby alleviating the liquidity problems of SMEs [19]. The most typical type of supply chain trade credit finance is deferred payment between suppliers and downstream firms. Using the deferred payment covenant between supplier and retailer as a condition to construct a decision model under the trade credit model, changing the traditional financing model for the first time [20]. Comparing deferred payment financing with bank financing, we can discover that deferred payment financing is better than bank financing and that retailers are more likely to opt for multi-stage trade credit, ordering goods in small quantities and batches, in order to obtain higher trade credit facilities [21]. And, the duration of trade credit covenants between suppliers and retailers is positively related to order demand and increases the risk of retailer default, and there are optimal solutions for both suppliers’ and retailers’ financing decisions when the product is perishable [22]. Once trade credit is incorporated into an economic ordering model with a full backlog shortage (EOQ model), we can see that retailers’ order volumes increase when the allowable delay increases when they are unable to repay trade credit and have to pay additional interest when the credit term is exceeded [23]. This demonstrates how trade credit financing may help capital-constrained merchants solve their financing problems while also boosting the growth of supply chain businesses. With the rapid development and continuous innovation of trade credit financing, the advance financing strategy has become popular and is a common financing strategy adopted by capital-constrained suppliers, which eases the financial pressure of upstream companies through advance payment by downstream companies [24]. For example, prepayment financing plays a large role in alleviating suppliers’ financial constraints, and retailers’ optimal decisions vary widely with and without prepayment [25]. Advance payment mechanisms with risk compensation can alleviate suppliers’ financial difficulties in the face of productivity uncertainty, while revenue-sharing contracts can reduce double marginal effects to achieve supply chain coordination [26]. Existing research has found that APRCs are an effective way to address suppliers’ financial constraints. In addition, when deficits are large, an advance payment facility with risk compensation can be more profitable for both parties. When capital deficits are small, suppliers can also better manage bank loan financing.
Supply chain financing has largely solved the financial constraints and financing dilemmas of supply chain enterprises, but it has also deepened the degree of credit linkage among supply chain enterprises. Supply chain financing becomes a channel for credit risk contagion, which can be exacerbated when supply chain companies face unexpected circumstances or an unstable macroenvironment. Financial risks in the supply chain greatly hinder its sustainable development; thus, strengthening financial risk management is a necessary task to ensure the sustainability of the supply chain. The special interconnectedness of supply chain firms is a major factor in the creation of supply chain financial risk and an important channel for its transmission [27]. Credit risk arises from uncertainty changes in the transaction process due to external uncertainties, political policy changes and competitors. This requires supply chain companies to monitor and control the transaction process in advance to prevent the creation and contagion of supply chain finance credit risk. Besides, the trading partners of firms in the supply chain are a potential medium for credit risk contagion in supply chain finance. Trading partners with a poor credit standing tend to be more susceptible to supply chain financial credit risk contagion, which in severe cases may even cause a cluster default effect among supply chain firms [28]. In this regard, existing research has demonstrated that CVaR can be used to control default risk arising from trade credit [29]. In addition, the generation and contagion of credit risk in supply chain finance is affected by the characteristics of supply chain finance networks, and portrayed and measured the impact of supply chain finance network characteristics on the contagion effect of supply chain credit risk based on a Bayesian network model [30]. Furthermore, cascading failure models can accurately measure and validate the contagion of credit risk in supply chain finance networks [31]. And, trade credit insurance can help manufacturers expand sales and significantly reduce the risk of default for supply chain firms [32].
To sum up, the existing theoretical studies on supply chain finance mainly focus on the analysis of financing strategies and their influencing factors on various actors in the supply chain finance model, i.e., banks, suppliers, retailers and other participating actors. Few scholars have systematically studied supply chain credit risk contagion and its evolution mechanism from the perspective of the supply chain. According to the analysis above, this paper draws on the differences in supply chain credit risk contagion between single-channel and dual-channel credit financing models for retailers in the supply chain, and a model of the credit default risk contagion intensity of supply chain enterprises under different credit financing models was constructed. Moreover, with the help of MATLAB R2016b software, the evolutionary characteristics of retailer repayment priority on the decisions of various participants in supply chain credit financing, and on the intensity of supply chain credit default risk contagion, were analyzed. The contributions of this paper are as follows: (1) the association between the contagion effect of credit default risk in the supply chain and the influencing factors under the single-channel financing model of retailers was studied; (2) based on the retailer’s dual-channel financing model, a supply chain credit default risk contagion intensity model that considered the retailer’s repayment priorities was constructed; and (3) the impact of retailers’ repayment priority on supply chain credit financing decisions and the contagion effect of supply chain credit default risk was analyzed.
The second part of this paper portrays the contagion mechanism of the credit risk of supply chain enterprises under the single-channel credit model, proposes a theoretical model for the contagion of credit risk of supply chain enterprises under the single-channel credit model, and finally, simulates the contagion mechanism of supply chain credit risk and its evolution characteristics through computational simulation. In the third part, the contagion mechanism of credit risk of supply chain enterprises under the dual-channel credit model is reviewed, a theoretical model of the credit risk contagion of supply chain enterprises under the dual-channel credit model is proposed, and finally, the contagion mechanism of supply chain credit risk and its evolution characteristics are analyzed through computational simulation. The last part outlines the conclusions of this paper.

2. A Model of Supply Chain Credit Risk Contagion under a Single-Channel Credit Model

2.1. Model Assumptions and Notation

Assume a simple supply chain consisting of a supplier and multiple retailers, where the supplier is a core firm, the retailers are all SMEs, and multiple retailers order goods from the core firm at the same time. Assume that both the supplier and the retailer are financially constrained in their trading process, and are unable to produce and sell independently [33]. For suppliers located in the core enterprises with high profitability and corporate reputation, commercial banks can provide loans directly to them, while retailers who are SMEs cannot obtain financing directly from banks due to their own limitations, so they can consider applying for trade credit financing from the core enterprises in the supply chain to obtain financial support. At the beginning of the sales period, subject to funding constraints, retailer i applies for trade credit financing from a supplier at an interest rate of r S . After the supplier has determined the wholesale price w , retailer i determines the order quantity Q i and the financing amount T i = w Q i . Similarly, a financially constrained supplier receives an order from a retailer and signs a loan agreement to obtain financing through a commercial bank in the amount of M = i = 1 n c Q i where C represents the supplier’s marginal cost of production and r represents the bank loan rate. It is assumed that the supplier is sufficiently rational such that M ( 1 + r B ) i = 1 n T i ( 1 + r S ) . The supplier receives the funding, organizes production and dispatches the product, which the retailer sells in the retail market at market price M. At the end of the sales period, all of the funds owned by the retailers flow back and repay the trade credit facility debt to the suppliers, who repay the bank credit facility debt. If market conditions are good and all retailers have sufficient funds to repay the principal and interest on the trade credit facility provided by the supplier, then the supplier will also be able to repay the bank credit facility as promised and neither the retailer nor the supplier will be in default at that point. If market conditions are poor and a proportion of retailers is unable to repay their supplier debts on time, this will, to some extent, result in the supplier being unable to repay the commercial bank facility, at which point the credit risk of that proportion of retailers is transmitted to the supplier. If market conditions are adverse and the closing capital flows of all retailers are not sufficient to repay supplier debts, i.e., all retailers default on trade credit, the supplier suffers severe losses and its recoveries are highly unlikely to be sufficient to cover the bank credit, at which point the supplier defaults and there is credit default risk contagion in the supply chain. Therefore, the supply chain decision-making process under the single-channel credit model is shown in Figure 1.
Based on the analysis above, the following basic assumptions were made for the purpose of the subsequent discussion:
Assumption 1.
The product is perishable and the residual value of unsold units of product at the end of the sales period is 0.
Assumption 2.
The supplier and the retailer have limited liability, and both the retailer and the supplier will only repay their full revenue in the event of a default.
Assumption 3.
The marginal cost per unit of the product produced by the supplier’s organization is c . The wholesale price per unit of the product at the time the retailer makes an order for the product is w , the retail price of the product p remains constant throughout the sale of the product, and 0 < c < w < p . To avoid price discrimination by the supplier against different retailers, all retailers in this paper face the same wholesale and retail prices.
Assumption 4.
The market demand faced by the retailer i is x i , i = 1 , 2 , , n and the market demand of individual retailers x i are independent of each other, and the sum of the market demand of all retailers is X ( X = x i ).
Assumption 5.
The market demand for the product is random and the retail price of the product remains constant during the sales process. According to the newsboy model, f i ( x i ) and F i ( x i ) are the probability density function and distribution function of market demand x i , respectively, and F i ( x i ) has the characteristics of continuity, differentiability and incrementality, satisfying the incremental lapse rate (IFR) property F i ( x i ) = 1 F i ( x i ) . In addition, the sum of market demand X of all retailers obeys a distribution G ( X ) and has a probability density function g ( X ) .
The above variable symbols are defined in Table 1.

2.2. Mechanisms of Supply Chain Credit Risk Contagion in a Single-Channel Credit Model

The return of capital to all retailers at the end of the sales period, when there is an oversupply in the market, results in a loss of sales profit for the retailer and thus makes them vulnerable to trade credit default risk. At the same time, suppliers with whom trade credit facilities are contracted can also be exposed to risk contagion and default on credit, resulting in capital losses for commercial banks. The following definitions outline this:
Definition 1.
When a retailer is unable to repay its trade credit facility debt, as evidenced by the fact that the sales revenue of retailer i is less than its trade credit facility debt, retailer i is said to have defaulted on its trade credit facility.
Definition 2.
When the supplier is unable to repay the bank’s credit facility debt, which is expressed as the supplier’s capital receipts being less than the bank’s credit facility debt, the supplier is said to be in credit default with the bank.
Definition 3.
As a result of a trade credit default by retailer i , which leads to a credit default by the supplier to the bank, the conditional probability in this scenario is defined as the intensity of credit default risk contagion in the supply chain, denoted as β .
Individual retailer defaults and supplier defaults are closely connected, and there are three possible cases for each retailer’s default status along the supply chain.
Case 1.
No retailer in the supply chain defaults on a trade credit.
When all retailers in the supply chain do not default on their trade credit, the supplier will be able to successfully recover all the retailers’ payment funds to repay the bank credit facility debt, and there is no credit risk contagion in the supply chain, so at this point, β 1 = 0 .
Case 2.
There are trade credit defaults by all retailers in the supply chain.
It is highly likely that suppliers will default on their trade credit facility debts to the banks when all of the retailer sales revenues are unable to repay them. At the end of the sales period, if retailer i defaults on its trade credit, sales revenue for retailer i is M ( x i ) = p min ( x i , Q ) , which is less than its trade credit principal and interest ( 1 + r S ) T i . Therefore, x i < ( 1 + r S ) T i p = k r i . If all retailers in the supply chain default on their trade credit, the necessary condition becomes x i < ( 1 + r S ) T i p = k r 1 , which means X < k r 1 . In this case, the full revenue recovered by the supplier is N ( x ) = p min ( x i , Q ) . If a supplier defaults on a credit facility to a bank, N ( x ) < ( 1 + r B ) M , the necessary condition becomes x i < ( 1 + r B ) M p = k s 1 , which means X < k s 1 . At this point, credit risk contagion occurs in the supply chain, the intensity of which can be defined as β 2 = p ( X < k s 1 X < k r 1 ) .
Case 3.
Some retailers in the supply chain default on trade credit while some other retailers do not.
For the sake of discussion, assume that there are two retailers in the supply chain, with Retailer 1 in default and Retailer 2 not in default. At the end of the sales period, Retailer 1’s inflow of funds M ( x 1 ) = p min ( x 1 , Q 1 ) is less than the principal and interest on the debt ( 1 + r S ) T 1 . At the end of the sales period, when the inflow of funds to Retailer 1 is less than the principal and interest on the debt, given that x 1 < ( 1 + r S ) T 1 p = k r 1 , then Retailer 1 has defaulted on its trade credit. For Retailer 2, its inflows M ( x 2 ) = p min ( x 2 , Q 2 ) are more than the principal and interest on the debt ( 1 + r S ) T 2 . Given that x 2 ( 1 + r S ) T 2 p = k r 2 , Retailer 2 will not default. In this case, the funds that the supplier is able to recover at the end of the sales period are N ( x ) = M ( x 1 ) + ( 1 + r S ) T 2 . Given that N ( x ) < ( 1 + r B ) M , which means x 1 < ( 1 + r B ) M ( 1 + r S ) T 2 p = k s 1 k r 2 , the supplier defaults on bank credit. At this point, there is a contagion of credit default risk in the supply chain, the intensity of which can be defined as β 3 = p ( x 1 < k s 1 k r 2 x 1 < k r 1 , x 2 k r 2 ) .
According to the aforementioned investigation, we discovered that there are market demand levels for suppliers and retailers when they default on credit, which are k r 1 , k r 1 , k r 2 and k s 1 . When market demand surpasses specific thresholds, supply chain credit risk develops. Hence, these market demand thresholds are also known as default thresholds. Among them, are k r 1 = ( 1 + r S ) T i p , k r 1 = ( 1 + r S ) T 1 p , k r 2 = ( 1 + r S ) T 2 p and k s 1 = ( 1 + r B ) M p . In the case of trade credit defaults by all retailers, given that X < k r 1 and X < k s 1 , these defaults can lead to credit defaults by suppliers to banks. For situations where some retailers are in default on trade credit, i.e., where only Retailer 1 is in default and Retailer 2 is not, given that x 1 < k r 1 , x 2 k r 2 and x 1 < k s 1 k r 2 , trade credit defaults by retailers can still lead to credit defaults by suppliers to banks. Therefore, this paper focused on the generation of trade credit default risk and bank credit default risk when market demand was uncertain, and on their contagion effects.

2.3. A Model of Supply Chain Credit Risk Contagion under a Single-Channel Credit Model

Based on the Stackelberg game theory, the supply chain financing problem is solved by the inverse solution method according to the decision order of the suppliers and each retailer. Firstly, we solved for the optimal purchase quantity of each retailer given the wholesale price of the supplier, then we solved for the optimal wholesale price of the supplier of the core enterprise, and finally we determined the intensity of supply chain credit risk contagion.

2.3.1. Optimal Decision-Making for Retailers

According to the analysis of the supply chain credit risk contagion mechanism under the single-channel credit financing model, when the inflow of funds from retailer i is insufficient to repay the trade credit, then x i < ( 1 + r S ) T i p = k r i . Retailer i defaults on its trade credit when the market demand x i faced by retailer i is less than the critical demand k r i . Assuming that the retailers are rational, then w ( 1 + r S ) < p and k r i < Q i . Thus, the return to the retailer i can be expressed as follows:
π R i = p x i T i ( 1 + r S )             k r i x i Q i p Q i T i ( 1 + r S )         Q i < x i
Therefore, the expected profit for Retailer i can be expressed as:
E ( π R i ) = k r i Q i ( p x i T i ( 1 + r S ) ) f i ( x i ) d x i + Q i ( p Q i T i ( 1 + r S ) ) f i ( x i ) d x i
The optimization problem of retailer i , which maximizes the desired profit through the decision to order quantity Q i , can be expressed as:
max E ( π R i ) = k r i Q i ( p x i T i ( 1 + r S ) ) f i ( x i ) d x i + Q i ( p Q i T i ( 1 + r S ) ) f i ( x i ) d x i s . t .       k r i < Q i
Solving the above optimization problem yields the equilibrium result when the retailer i is financed through trade credit. Solving the first-order partial derivative of Equation (3) with respect to Q i yields: E ( π R i ) Q i = p F i ( Q i * ) ( 1 + r S ) w F i ( k r i ) . Since 2 E ( π R i ) Q i 2 < 0 , the optimal purchase quantity Q i * for retailer i exists, is unique and satisfies the following equation:
F i ( Q i * ) F i ( k r i ) = ( 1 + r S ) w p
Among them, k r i = ( 1 + r S ) T i p .

2.3.2. Optimal Decision-Making for Suppliers

Based on the market sales and actual earnings of retailer i , the supplier’s earnings are:
π S i = p x i                                         x i < k r i ( 1 + r S ) T i                 k r i x i
At the end of the sales period, the bank’s return needs to be determined based on whether the supplier is insolvent, and the supplier’s repayment status is directly related to whether the individual retailers are in default. Based on the analysis above, we know that there are two main scenarios for the default status of all retailers in the supply chain: the first, in which all retailers are in default on their trade credit, and the second scenario, in which some of the retailers in the supply chain default on their trade credit and the remaining retailers repay as promised.
① All retailers are in trade credit default.
In this case, the revenue generated by retailer i can be expressed as:
π S i = p x i
According to the analysis of the supply chain credit risk contagion mechanism under the single-channel credit financing model, it can be seen that the supplier will experience credit default to the bank when the total market demand of all retailers i meets X < k s 1 < k r 1 , x i < k r i , and when all retailers i default on trade credit. Therefore, the supplier’s revenue at the end of the sales period can be expressed as:
π S 1 = π S i 1 + r B M + = 0                                                                     x i < k r i , X < k s 1 < k r 1 p X 1 + r B M                   x i < k r i , k s 1 X < k r 1
Among them, a + = max ( a , 0 ) . Therefore, the expected profit of the supplier at the end of the sales period can be expressed as:
E π S 1 = k s 1 k r 1 p X 1 + r B M d G ( X )
At this point, the bank’s income at the end of the sales period can be expressed as:
π B 1 = p X     x i < k r i , X < k s 1 < k r 1 1 + r B M x i < k r i , k s 1 X < k r 1
The expected profit of the bank at the end of the sales period can be expressed as:
E ( π B 1 ) = 0 k s 1 p X   d G X + k s 1 k r 1 1 + r B M   d G X
The loan interest rate r B meets the concept of risk compensation ( 1 + r f ) M = E ( π B 1 ) , where r f is the risk-free interest rate, because the bank operates in a competitive equilibrium market.
Combined with Formulas (8) and (10), the optimization problem of the supplier decision can be expressed as:
max E ( π S 1 ) = 0 k r 1 p X   d G X ( 1 + r f ) M = p k r 1 G k r 1 p 0 k r 1 G X   d X ( 1 + r f ) M s . t .       0 < k s 1 < k r 1 , x i < k r i
② In numerous supply chains, there exist retailers with trade credit defaults and non-defaults.
For the convenience of discussion, assume that there is only one supplier and two retailers in the supply chain, namely Retailer 1 and Retailer 2, in which Retailer 1 defaults and Retailer 2 does not default.
In this case, the revenues of Retailer 1 and Retailer 2 are expressed as follows:
π S 1 = p x 1     x 1 < k r 1 π S 2 = ( 1 + r S ) w Q 2 x 2 k r 2
Analysis of the supply chain credit risk contagion mechanism under the single-channel credit financing model shows that when the market demand for Retailer 1 and Retailer 2 satisfies x 1 < k s 1 k r 2 < k r 1 and k r 2 x 2 , the supplier will default on the commercial bank if only Retailer 1 defaults on trade credit and Retailer 2 does not default on trade credit. Therefore, the supplier’s revenue at the end of the sales period can be expressed as:
π S 2 = π S 1 + π S 2 1 + r B M + = 0 x 1 < k s 1 k r 2 < k r 1 , x 2 k r 2 p x 1 + T 2 1 + r S M 1 + r B     k s 1 k r 2 x 1 < k r 1 , x 2 k r 2
Therefore, the expected profit of the supplier at the end of the sales period can be expressed as:
E π S 2 = k r 2 k s 1 k r 2 k r 1 p x 1 + T 2 1 + r S M 1 + r B d F x 1 d F x 2
At this point, the bank’s earnings at the end of the sales period can be expressed as:
π B 2 = p x 1 + T 2 1 + r S x 1 < k s 1 k r 2 < k r 1 , x 2 k r 2 M 1 + r B     k s 1 k r 2 x 1 < k r 1 , x 2 k r 2
Hence, the bank’s expected profit at the end of the sales period can be expressed as:
E ( π B 2 ) = k r 2 0 k s 1 k r 2 p x 1 + T 2 1 + r S d F ( x 1 ) d F ( x 2 ) + k r 2 k s 1 k r 2 k r 1 M 1 + r B d F ( x 1 ) d F ( x 2 )
Similarly, the loan rate r B satisfies the risk compensation principle B ( 1 + r f ) M = E ( π B 2 ) . Combining Equations (14) and (16), when only some retailers in the supply chain default on trade credit, the optimization problem for the supplier decision can be expressed as:
max E ( π S 2 ) = k r 2 0 k r 1 p x 1 + T 2 1 + r S   d F x 1 d F x 2 M ( 1 + r f ) = F ( k r 2 ) ( T 1 + T 2 ) ( 1 + r S ) F k r 1 p 0 k r 1 F ( x 1 ) d x 1 M ( 1 + r f ) s . t .       0 < k s 1 k r 2 < k r 1 , k r 2 x 2
The analysis above shows that the wholesale price w takes on a range of values c ( 1 + r B ) , p 1 + r S . Combining Equations (11) and (17), it is found that the supplier’s expected profit function in both cases is a continuous function, and there must be a maximum value of the continuous function on the closed interval. Therefore, the optimal wholesale price for the retailer in both cases exists and w * c 1 + r B , p 1 + r S .

2.3.3. Contagion Intensity of Supply Chain Credit Default Risk

Based on the analysis above of the mechanism of supply chain credit default risk contagion under the single-channel credit model and the definition of supply chain credit default risk contagion intensity, the supply chain credit default risk contagion intensity model is constructed as:
β = 0 Case   1 p ( X < k s 1 X < k r 1 ) Case   2 p ( x 1 < k s 1 k r 2 x 1 < k r 1 , x 2 k r 2 ) Case   3
Based on the calculated Q * and w * , the default thresholds for retailers and suppliers can be obtained as k r 1 = ( 1 + r S ) T i p = ( 1 + r S ) w Q i p , k r 1 = ( 1 + r S ) T 1 p = ( 1 + r S ) w Q 1 p , k r 2 = ( 1 + r S ) T 2 p = ( 1 + r S ) w Q 2 p and k s 1 = ( 1 + r B ) M p = ( 1 + r B ) c Q i p . Substituting k r 1 , k r 1 , k r 2 and k s 1 into Equation (18), the contagion intensity of credit default risk in the supply chain can be modeled as:
β = 0 Case   1 p ( X < k s 1 ) p ( X < k r 1 ) = G ( k s 1 ) G ( k r 1 ) Case   2 p ( x 1 < k s 1 k r 2 , x 2 k r 2 ) p ( x 1 < k r 1 , x 2 k r 2 ) = F ( k s 1 k r 2 ) F ( k r 1 ) Case   3
Denoting the intensity of infection under scenarios I, II and III as β 1 , β 2 and β 3 , respectively, we obtain β 1 = 0 , β 2 = G ( k s 1 ) G ( k r 1 ) and β 3 = F ( k s 1 k r 2 ) F ( k r 1 ) .
Hence, there is a strong correlation between the intensity of supply chain credit default risk contagion in the single-channel financing model β and parameters, such as supplier production costs c , market retail prices p , trade credit rates r S and risk-free rates r f .

2.4. Simulation Analysis

In the previous paper, the influencing factors of supply chain credit risk contagion and its mechanism were analyzed through theoretical derivation. In order to visually portray the supply chain credit risk contagion mechanism and its evolutionary characteristics, based on the assumptions in the previous paper, a computational simulation analysis was conducted by considering that the supply chain system is composed of a core enterprise supplier and two SME retailers. To facilitate the analysis of the influence mechanism of supplier production cost on the supply chain credit default risk contagion, it was assumed that the market demand of both Retailer 1 and Retailer 2 obeyed an exponential distribution with the parameter of 1/700.

2.4.1. Characteristics of the Impact of Suppliers’ Marginal Cost of Production Per Unit of Product on the Contagion Intensity of Supply Chain Credit Default Risk

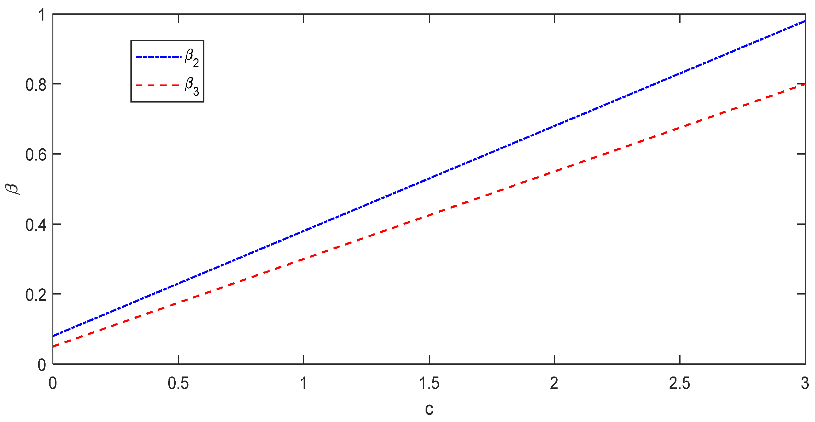
Assuming that the retail price of the product p = 8 , the retailer trade credit rate r S = 0.07 and the risk-free rate r f = 0.04 , the mechanism of the impact of the marginal cost of production of the supplier’s product on the contagion intensity of supply chain credit default risk is shown in Figure 2.
According to Figure 2, there is a positive relationship between the intensity of supply chain credit default risk contagion and supplier production cost. The supply chain credit default risk contagion effect is more significant when both retailers default on trade credit to their suppliers. Moreover, the increase in supplier production cost increases the supply chain credit default risk contagion intensity. This is because as the supplier production cost increases, the supplier will correspondingly increase the wholesale price of the product. In the case that the product market retail price remains unchanged, the profit of the retailer at the end of the sales period decreases, and the risk of trade credit default of the retailer increases. This leads to a greater possibility of credit default by the suppliers to banks, and once a credit default event occurs, it will inevitably cause an increase in the contagion intensity of supply chain credit default risk, which is not conducive to the sustainable development of the supply chain.

2.4.2. Characteristics of the Impact of the Retail Product Price on the Contagion Intensity of Credit Default Risk in the Supply Chain

Assume that the supplier’s marginal cost of production per unit of product c = 3 , the retailer’s trade credit rate r S = 0.07 and the risk-free rate r f = 0.04 . Therefore, the mechanism of the effect of the retail price of the product on the contagion intensity of the supply chain credit default risk is shown in Figure 3.
From Figure 3, it can be seen that there is a negative relationship between the intensity of supply chain credit default risk contagion and the retail price of products, and the supply chain credit default contagion effect is more significant when both retailers default on trade credit to their suppliers. This is because when the retailer faces a certain market demand for the product, the profit margin of the retailer at the end of the sales period will become larger with the positive fluctuation of the retail price of the product. At this point, retailers are less likely to default on trade credit, suppliers become less exposed to bank credit defaults, and the contagion effect of supply chain credit defaults diminishes and sustainability is enhanced.

2.4.3. Characteristics of the Impact of the Bank’s Risk-Free Rates on the Intensity of Credit Default Risk Contagion in the Supply Chain

Assume that the marginal cost of production per unit of the supplier’s product c = 3 , the retail price of the product p = 8 and the retailer’s trade credit rate r S = 0.07 . Therefore, the mechanism of the bank’s risk-free rate on the contagion intensity of the supply chain credit default risk is shown in Figure 4.
According to Figure 4, it can be seen that there is a positive relationship between supply chain credit default risk contagion intensity and the commercial bank’s risk-free rate, and the supply chain credit default contagion effect is more significant when both retailers default on trade credit to suppliers. This is because as the risk-free rate of commercial banks increases, the cost of the bank credit for suppliers also increases. As a result, suppliers will increase the wholesale price of their products to ensure their own revenue, which will lead to an increase in the cost of trade credit for retailers and a greater likelihood of trade credit default for them. As a result, suppliers are more likely to default on their credit to banks, which increases the contagion effect of supply chain credit default risk and ultimately affects the sustainability of the supply chain.

2.4.4. Characteristics of the Impact of Retailer Trade Credit Rates on the Intensity of Credit Default Risk Contagion along the Supply Chain

Assume that the supplier’s production cost c = 3 , the retail price of the product p = 8 and the bank’s risk-free rate r f = 0.04 . Therefore, the mechanism of the retailer’s trade credit interest rate on the contagion intensity of the supply chain credit default risk is shown in Figure 5.
From Figure 5, it can be seen that the intensity of supply chain credit default risk contagion is positively related to the retailer’s trade credit interest rate, and the supply chain credit default contagion effect is more significant when both retailers default on trade credit to their suppliers. The reason for this is that when the retail price of a product is certain, the cost of trade credit for retailers will increase with the increase in trade credit interest rates, resulting in a reduction in retailers’ profit margins. At this time, the possibility of trade credit default by retailers increases, and the probability of credit default risk contagion in the supply chain likewise increases, which is not conducive to the sustainability of the supply chain.

3. A Model of Supply Chain Credit Default Risk Contagion under a Dual-Channel Credit Model

3.1. Model Assumptions and Notation

Assume a simple supply chain consisting of a core firm supplier and an SME retailer, where both the supplier and the retailer have a shortage of funds and are unable to carry out their production and sales activities independently. The supplier, as a core enterprise, can provide loans directly from commercial banks due to its high profitability and corporate reputation. Meanwhile, the retailer, as an SME, cannot obtain financing directly from banks due to its limitations, but can obtain partial loans through the repurchase guarantee of the core enterprise. The retailer can also apply for trade credit directly from the core enterprise upstream of the supply chain to obtain financial support. Therefore, retailers are considered to be financed under the dual-channel credit model, adopting a combination of trade credit and bank credit based on the repurchase mechanism of core enterprises. Thus, the decision process of supply chain financing is as follows:
① At the beginning of the sales period, the supplier makes a guarantee to the commercial bank through a repurchase deed, and at the end of the sales season, will acquire the retailer’s surplus products at a repurchase price of m .
② The retailer determines the order quantity as Q , obtains financing from a commercial bank as M = α w Q at an interest rate of r B , for the retailer’s bank credit ratio α , then pays the supplier an advance payment as M , and the remaining purchase price as N = ( 1 α ) w Q is financed by the supplier’s trade credit at an interest rate of r S , 1 α for the trade credit ratio.
③ The supplier receives an advance that does not cover the production activity and is financed through bank credit with R = c Q α w Q where c is the unit cost of the product produced by the supplier at an interest rate r b . There is an infinitive R < N .
④ After the supplier organizes production for shipment, the retailer sells the product at a fixed market retail price p . If there is a surplus of product at the retailer, the supplier buys it back at a buyback price m . The residual value of the surplus product is 0.
⑤ At the end of the sales period, the retailer realizes all the funds back and repays the bank credit and trade credit to the commercial bank and the supplier, respectively, and the supplier repays the commercial bank debt after funds are returned. The whole supply chain credit financing decision process outlined above is shown in Figure 6.
In the production and sales activities of supply chain enterprises, if the market sales are good, the capital flow of the retailer is sufficient to repay all the principal and interest of the bank credit and trade credit. The supplier repays the bank credit debt as promised and neither the retailer nor the supplier will default. If the market sales are bad, the retailer cannot repay all debts and there is a risk of default, which will lead to the supplier defaulting to a certain extent as well. In this case, there is a contagion of credit default risk in the supply chain. Since the retailer applies for credit from both commercial banks and suppliers, when the retailer’s sales revenue cannot meet the repayment of both debts, the retailer needs to decide whether to prioritize the repayment of bank credit debts or trade credit debts. Based on this, the probability of a retailer’s priority in repaying trade credit debt is defined as the retailer’s repayment priority, denoted as θ , θ 0 , 1 , where θ is a continuous variable. Based on the analysis above, the following basic assumptions were made in this section:
Assumption 6.
Suppliers and retailers are perfectly rational and only repay their full revenues in the event of a credit default that prevents them from settling their debts.
Assumption 7.
Both the supplier and the retailer are financially constrained and do not have sufficient initial capital, the supplier’s marginal cost of production per unit of product is c , the wholesale price per unit of product is w , the retail price of product is p and the buyback price per unit of product at the end of the sales period is m . The relationship between the magnitude of these price parameters satisfies m < c < w < p .
Assumption 8.
The market demand for the product during the sales process is random and the retail price of the product remains constant during the sales process. According to the characteristics of the newsboy model, f ( x ) and F ( x ) are the probability density function and distribution function of market demand x , respectively, and F ( x ) has the characteristics of continuity, differentiability and incrementality, satisfying the incremental failure rate (IFR), where F ( x ) = 1 F ( x ) .
Based on the assumptions above, the symbols and definitions of the variables involved in this section are shown in Table 2.

3.2. Mechanisms of Supply Chain Credit Default Risk Contagion under a Dual-Channel Credit Model

At the end of the sales period, the retailer realizes a return of funds and then settles the debt. When actual sales market conditions are poor and market demand is significantly lower than the retailer’s order quantity, the retailer is at risk of credit default. At this point, the credit risk is to some extent transmitted to the supplier through the trade credit financing contract between the supplier and the retailer, resulting in the supplier also defaulting on its obligations. In a dual-channel credit model for retailers, the priority of the retailer’s repayment of bank credit debt and trade credit debt will directly affect the supplier’s repayment to the commercial bank. Therefore, the repayment priority of the retailer under a dual-channel credit model will be a key factor in the contagion of supply chain credit default risk. To provide a clearer picture of supply chain credit default risk contagion, the following definitions were made:
Definition 4.
At the end of the sales period, if a retailer’s sales revenue is less than its bank credit obligations or trade credit obligations, the retailer is in credit default. If a supplier’s capital receipts are less than its bank credit obligations, the supplier is also in credit default.
Definition 5.
Due to the unpredictability of the market, default risk for retailers is mostly caused by bank credit failures and trade credit defaults to suppliers. In contrast, the risk arising from the contagion of risk to suppliers is the risk of default on suppliers’ credit to banks.
Definition 6.
As a result of a trade credit default by a retailer, a bank credit default by a supplier also occurs. The conditional probability in this case is defined as the intensity of contagion of credit default risk in the supply chain and is denoted as β .
In light of the analysis above, in the event of a credit default by a retailer, the repayment of its credit debt can be divided into two scenarios: priority repayment of trade credit debt and priority repayment of bank credit debt.
Case 4.
Retailers prioritize repayment of supplier trade credit debt.
① If the retailer does not default on the trade credit, then there is no default to the supplier. If the supplier is able to recover all of the remaining balance N from the retailer, the remaining balance N is greater than the supplier’s financing R and the supplier is able to repay its bank loan, then the supplier is not in default. Therefore, there is no contagion of credit default risk in the supply chain and the intensity of contagion is β I 1 = 0 .
② If a retailer defaults on a trade credit facility to a supplier, then the retailer is unable to repay the trade credit facility at the end of the sales period, and its inflow of funds p x + m Q x is less than the principal and interest sum N 1 + r S of the trade credit facility. When x < N 1 + r S m Q p m = k r 1 and the total funds p x + m Q x recovered by the supplier are less than the principal and interest sum of its bank credit R 1 + r b , that is, in the case of x < R 1 + r b m Q p m = k s 1 , the supplier defaults. Therefore, the contagion intensity of credit default risk in the supply chain is β I 2 = P x < k s 1 x < k r 1 .
Based on the analysis above and the previous assumptions, the probability that a retailer will repay its suppliers first is θ , in which case the contagion intensity of credit default risk in the supply chain is β I = θ P x < k s 1 x < k r 1 .
Case 5.
Retailers prioritize repayment of bank credit debt.
① If the retailer defaults on its credit to the bank at the end of the sales period, in a situation where repayment of bank credit is a priority, the retailer will also be unable to repay the supplier’s trade credit facility, resulting in the supplier defaulting on the bank. Therefore, the contagion intensity of credit default risk in the supply chain is β II 1 = 1 .
② If the retailer does not default on its credit facility to the bank at the end of the sales period, the retailer repays the bank credit facility as promised and its funds flow p x + m Q x is greater than the sum of the principal and interest of the bank credit facility M 1 + r B ; that is, x > M 1 + r B m Q p m = k r 2 . If the retailer’s remaining funds p x + m Q x M 1 + r B are less than the sum of the principal and interest on the trade credit facility N 1 + r S , that is, x < N 1 + r S + M 1 + r B m Q p m = k r 3 , then the retailer is in default with the supplier. At this point, if the supplier’s recovery of funds p x + m Q x M 1 + r B is less than the sum of the principal and interest of its bank credit R 1 + r b , that is, x < R 1 + r b + M 1 + r B m Q p m = k s 2 , the supplier defaults on the bank. Therefore, the contagion intensity of the credit default risk in the supply chain is β II 2 = P x < k s 2 k r 2 < x < k r 3 .
Based on the analysis above and the previous assumptions, the probability that the retailer will repay the bank first is 1 θ . In this case, the contagion intensity of credit default risk in the supply chain is β II = 1 θ P x < k s 2 k r 2 < x < k r 3 + 1 θ . The analysis shows that there are market demand thresholds for both retailers and suppliers when they default on credit, which are k r 1 , k r 2 , k r 3 , k s 1 and k s 2 . Among them, are k r 1 = N 1 + r S m Q p m , k r 2 = M 1 + r B m Q p m , k r 3 = N 1 + r S + M 1 + r B m Q p m , k s 1 = R 1 + r b m Q p m and k s 2 = R 1 + r b + M 1 + r B m Q p m . Supply chain credit risk arises when market demand exceeds the default threshold, and the supply chain may be subject to credit default risk contagion. When a retailer gives priority to repaying its suppliers, if x < k r 1 and x < k s 1 , then a retailer’s trade credit default will lead to a supplier’s default on bank credit. When the retailer has priority in repaying the bank’s debt, if k r 2 < x < k r 3 and x < k s 2 , then the retailer’s default risk is contagious to the supplier.

3.3. A Model of Supply Chain Credit Default Risk Contagion under a Dual-Channel Credit Model

Throughout the supply chain operation and financing process, the commercial bank plays a Stackelberg game with the suppliers and retailers in the supply chain, respectively, as shown in Figure 7. In the whole credit financing process, firstly, the commercial bank decides the bank credit rate r B for the retailer and the bank credit rate r b for the supplier. Secondly, the supplier determines the wholesale price of the product w . Finally, the retailer decides the order quantity of the product Q . According to the decision-making sequence of each subject in the game process, the optimal solution of each subject is obtained by the reverse solution method, and the contagion intensity of the credit default risk in the supply chain under a dual-channel credit model is determined.

3.3.1. Optimal Decision-Making for Retailers

The retailer obtains its financial support through a dual-channel credit model, where the retailer must repay its bank credit debt and trade credit debt at the end of the sales period. The retailer is at risk of default when the inflow of funds to the retailer, p x + m Q x , is less than the principal and interest on all debt, M 1 + r B + N 1 + r S , when market demand x is less than the critical demand k r 3 = N 1 + r S + M 1 + r B m Q p m . Since the retailer is rational, for the supply chain to operate properly and for the retailer to make a normal profit, there is a condition N 1 + r S + M 1 + r B < p x , which means that k r 3 < Q holds. Therefore, at the end of the sales period, the retailer’s earnings can be expressed as:
Π R = 0 x < k r 3 p x + m Q x M 1 + r B N 1 + r S k r 3 < x < Q p Q M 1 + r B N 1 + r S Q < x
Therefore, the retailer’s expected profit is:
E Π R = k r 3 Q p x + m Q x M 1 + r B N 1 + r S f x d x + Q p Q M 1 + r B N 1 + r S f x d x
The retailer maximizes its expected profit by deciding on the optimal order quantity Q :
max Q E Π R = k r 3 Q p x + m Q x M 1 + r B N 1 + r S f x d x   + Q p Q M 1 + r B N 1 + r S f x d x s . t .       k r 3 < Q
The simplification of Equation (22) yields:
max Q E Π R = p m Q k r 3 p m k r 3 Q F x d x s . t .       k r 3 < Q
The first-order derivative of Equation (23) with respect to the order quantity Q is:
E Π R Q = p m F ( Q ) p m k r 3 F ( k r 3 )
Since 2 E Π R Q 2 < 0 , the optimal solution for the retailer’s order quantity is calculated to satisfy:
F ( Q * ) F ( k r 3 ) = α w ( 1 + r B ) + ( 1 α ) w ( 1 + r S ) m p m
Among them, is k r 3 = N 1 + r S + M 1 + r B m Q p m .

3.3.2. Optimal Decision-Making for Suppliers

The retailer takes dual-channel credit financing, so the retailer’s repayment priority directly affects the supplier’s revenue profile. When the retailer is not at risk of credit default, x > k r 3 , the supplier recovers all of its funds N 1 + r S . When the retailer is at risk of credit default, x < k r 3 , if the retailer chooses to consider the trade credit debt first, the supplier’s revenue is θ min p x , N 1 + r S m Q x . If the retailer chooses to consider the bank credit debt first, the supplier’s revenue is 1 θ p x M 1 + r B + . Therefore, based on the retailer’s market sales and earnings, the revenue generated by the supplier’s transaction with the retailer can be expressed as:
Π S = θ min p x , N 1 + r S m Q x + 1 θ p x M 1 + r B + 0 < x < k r 3 N 1 + r S m Q x k r 3 < x < Q     N 1 + r S Q < x
Therefore, the supplier’s expected profit can be expressed as:
E Π S = 0 k r 3 θ min p x , N 1 + r S m Q x   + 1 θ p x M 1 + r B + f ( x ) d x + k r 3 Q N 1 + r S m Q x f ( x ) d x + Q N 1 + r S f ( x ) d x R ( 1 + r b )
The supplier maximizes its own expected revenue by choosing the optimal wholesale price, and solving for the first-order partial derivative of Equation (27) with respect to w yields:
E Π S w = ( p m ) ( 1 θ F ( k r 1 ) ) + ( 1 θ ) p F ( k r 1 ) k r 1 ( 1 θ ) ( p m ) F ( k r 3 ) k r 3 + ( 1 θ ) m ( Q k r 2 ) F ( k r 2 ) + ( Q k r 2 ) f ( k r 2 ) k r 2 + m Q F ( Q ) + α θ ( 1 + r b ) ( c α w ) ( 1 + r b ) Q
The combined calculation gives 2 E Π S w 2 < 0 , such that the supplier’s optimal wholesale price w * exists and satisfies:
( p m ) ( 1 θ F ( k r 1 ) ) + ( 1 θ ) p F ( k r 1 ) k r 1 ( 1 θ ) ( p m ) F ( k r 3 ) k r 3 + ( 1 θ ) m ( Q k r 2 ) F ( k r 2 ) + ( Q k r 2 ) f ( k r 2 ) k r 2 + m Q F ( Q ) + α θ ( 1 + r b ) ( c α w ) ( 1 + r b ) Q = 0
Therefore, the supplier’s maximized expected profit is:
max w E Π S = 0 k r 3 θ min p x , N 1 + r S m Q x   + 1 θ p x M 1 + r B + f ( x ) d x + k r 3 Q N 1 + r S m Q x f ( x ) d x + Q N 1 + r S f ( x ) d x       R ( 1 + r b )

3.3.3. Optimal Decision-Making for Commercial Banks

① Credit financing decisions between banks and retailers
The retailer applies to a commercial bank for a bank credit facility with funding M and a loan rate of r B . Because of the retailer’s dual-channel credit model, the retailer’s repayment priority directly affects the bank’s return at the end of the sales period. When the retailer is not at risk of default, x > k r 3 , the bank recovers the sum of the retailer’s bank credit principal and interest M 1 + r B . When there is a risk of default by the retailer, x < k r 3 , the bank’s return at this point is θ p x + m Q x N 1 + r S + if the retailer has priority in repaying the trade credit debt. If the retailer has priority in repaying the bank credit debt, the bank’s return at this point is ( 1 θ ) min p x + m Q x , M 1 + r B . Based on the retailer’s market sales and actual profitability, the return arising from the bank’s transaction with the retailer can be expressed as:
Π B 1 = θ p x + m Q x N 1 + r S + + ( 1 θ ) min p x + m Q x , M 1 + r B 0 < x < k r 3 M 1 + r B k r 3 < x
As banks are in a competitive equilibrium market, the retailer bank credit rate r B satisfies the risk compensation principle ( 1 + r f ) M = E ( Π B 1 ) , where r f is the risk-free rate.
( 1 + r f ) M = 0 k r 3 θ p x + m Q x N 1 + r S +   + ( 1 θ ) min p x + m Q x , M 1 + r B f ( x ) d x + k r 3 M 1 + r B f ( x ) d x
Equation (32) indicates that the principle of competitive equilibrium in the credit market makes the bank’s demand for credit principal and interest income equal to the bank’s expected return in the retailer’s bank credit facility. Simplifying Equation (32) yields:
M ( r B r f ) = ( p m ) θ k r 1 k r 3 F ( x ) d x + ( 1 θ ) 0 k r 2 F ( x ) d x + ( 1 θ ) m Q F ( k r 2 )
② Credit financing decisions between banks and suppliers
The supplier applies to the commercial bank for a bank credit facility with funding R at an interest rate of r b . In a bank credit transaction between a commercial bank and a supplier, the commercial bank’s return is directly related to the supplier’s default, while the supplier’s return is influenced by the retailer’s profitability at the end of the sales period and the retailer’s repayment priority. When there is no risk of default by the retailer, x > k r 3 , at which point there is no default by the retailer to either the supplier or the bank, the supplier recovers the principal and interest on the trade credit and repays the bank credit debt as promised. Therefore, the bank recovers the principal and interest on the supplier’s bank credit R 1 + r b . When there is a risk of default by the retailer, x < k r 3 , if the retailer repays the trade credit debt first, the bank’s proceeds are then θ min p x + m Q x , R ( 1 + r b ) . If the retailer has priority in repaying the bank credit debt, the bank’s return at this point is ( 1 θ ) min p x + m Q x M 1 + r B , R ( 1 + r b ) . At the end of the sales period, over the course of a bank credit transaction between a commercial bank and a supplier, the specific gain to the commercial bank can be expressed as:
Π B 2 = θ min p x + m Q x , R ( 1 + r b ) + ( 1 θ ) min p x + m Q x M 1 + r B , R ( 1 + r b ) 0 < x < k r 3 R 1 + r b k r 3 < x    
As mentioned above, the supplier bank credit rate r b satisfies the risk compensation principle: ( 1 + r f ) R = E ( Π B 2 ) .
( 1 + r f ) R = 0 k r 3 θ min p x + m Q x , R ( 1 + r b )   + ( 1 θ ) min p x + m Q x M 1 + r B , R ( 1 + r b ) f ( x ) d x + k r 3 R 1 + r b f ( x ) d x
Equation (35) indicates that the principle of competitive equilibrium in the credit market makes the bank’s demand for credit principal and interest income equal to the bank’s expected return in the supplier’s bank credit facility.
Simplifying Equation (35) yields:
R ( r b r f ) = ( p m ) θ 0 k s 1 F ( x ) d x + ( 1 θ ) k r 2 k s 2 F ( x ) d x
Therefore, the credit rates r B and r b offered by commercial banks to retailers and suppliers should satisfy Equations (33) and (36), respectively.

3.3.4. The Intensity of Contagion of Credit Default Risk in the Supply Chain

Based on the analysis of the contagion mechanism of credit default risk in the supply chain under the dual-channel credit model in Section 3.2, and the definition of contagion intensity, the contagion model of credit default risk in the supply chain under the dual-channel credit model is:
β = θ P x < k s 1 x < k r 1 Case   I 1 θ P x < k s 2 k r 2 < x < k r 3 + 1 θ Case   II
From the above derived Q * and w * , the lending rates r B and r b for commercial banks and the default thresholds k r 1 , k r 2 , k r 3 , k s 1 and k s 2 for retailers, the suppliers can be derived by bringing their values into Equation (37) to obtain the intensity of contagion as:
β = θ F ( k s 1 ) F ( k r 1 ) + ( 1 θ ) F ( k s 2 ) F ( k r 2 ) F ( k r 3 ) F ( k r 2 ) + ( 1 θ )
Therefore, the first-order partial derivative of contagion intensity β with respect to retailer repayment priority θ is:
β θ = F ( k s 2 ) F ( k r 2 ) F ( k r 3 ) F ( k r 2 ) + F ( k s 1 ) F ( k r 1 ) 1 < 0
Therefore, contagion intensity β and retailer repayment priority θ are negatively correlated. When the repayment priority is higher, the intensity of credit risk contagion in the supply chain is lower.

3.4. Simulation Analysis

Based on the setup by existing research for the newsboy model, where market demand obeys a distribution, this section assumes that the market demand x faced by the retailer obeys a uniform distribution [21,29]. The retailer’s repayment priority θ is set as a variable and all other parameters are fixed. The remaining parameters are set as follows: product market retail price p = 8 , production cost c = 3 , repurchase price m = 1 , retailer trade credit ratio r S = 0.07 , commercial bank risk-free rate r f = 0.04 , market demand distribution x U 0 , 3000 , and retailer bank credit ratio α = 0.3 , α = 0.5 and α = 0.7 . Among them, α = 0.3 denotes a low level of bank credit for retailers, α = 0.5 denotes a medium level and α = 0.7 denotes a high level. Based on the parameters above, numerical simulations were conducted to explore the impact of retailer repayment priority on the decision of each participant in supply chain credit financing and the contagion intensity of supply chain credit default risk.

3.4.1. The Impact of Retailer Repayment Priorities on Supplier Decisions

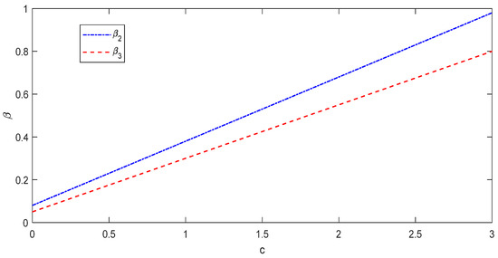
The relationship between retailer repayment priority and supplier wholesale prices is shown in Figure 8.
Figure 8 shows that there is a negative relationship between the retailer’s repayment priority θ to the supplier and the supplier’s wholesale price w ; i.e., as the retailer’s repayment priority θ to the supplier increases, the supplier’s wholesale price w decreases. In addition, when the retailer’s repayment priority θ to the supplier is certain, the supplier’s wholesale price w decreases as the retailer’s bank credit ratio α increases. This suggests that when α is larger, that is, the retailer applies for a greater proportion of bank credit, the retailer applies for relatively less trade credit from the supplier and the supplier’s expected loss is correspondingly reduced, when the supplier will be more willing to offer wholesale price concessions to the retailer. In addition, the supplier’s expected loss continues to decrease to some extent when the retailer has a higher probability of repaying the supplier’s trade credit debt on a priority basis. In this case, suppliers will choose greater wholesale price incentives to promote the volume of transactions with retailers, ultimately achieving their own profits and supply chain sustainability.

3.4.2. The Impact of Retailer Repayment Priorities on Retailer Decisions

As shown in Figure 9, the retailer’s repayment priority θ to suppliers positively affects the retailer’s order quantity Q . As the retailer’s repayment priority θ to suppliers gradually becomes larger, the retailer’s order quantity Q also becomes larger. In addition, when a retailer has a certain probability of repaying its supplier’s debt first, the greater the retailer’s bank credit ratio α , the greater the retailer’s order quantity Q . When the retailer’s bank credit ratio is smaller, the retailer’s order quantity Q is also relatively smaller. This suggests that when retailers apply for more bank credit, they will apply for less trade credit from their suppliers, when the risk of loss to the supplier will be correspondingly reduced, facilitating the implementation of wholesale price preferences between suppliers and retailers even more. In addition, as retailers become more likely to repay their suppliers’ trade credit facilities on a priority basis, suppliers and retailers gradually form a good partnership, with retailers increasing their order volumes on the basis of price concessions offered by suppliers, thereby increasing the sales profitability of both retailers and suppliers, and ensuring the sustainability of the supply chain.

3.4.3. The Impact of Retailer Repayment Priorities on Bank Lending Rates

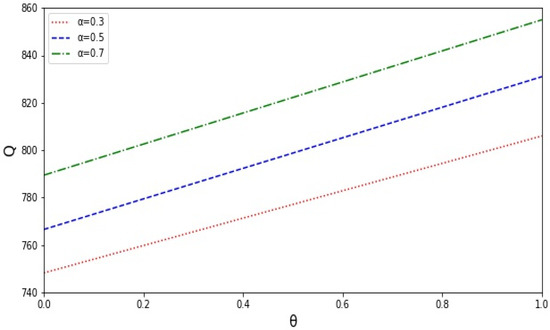
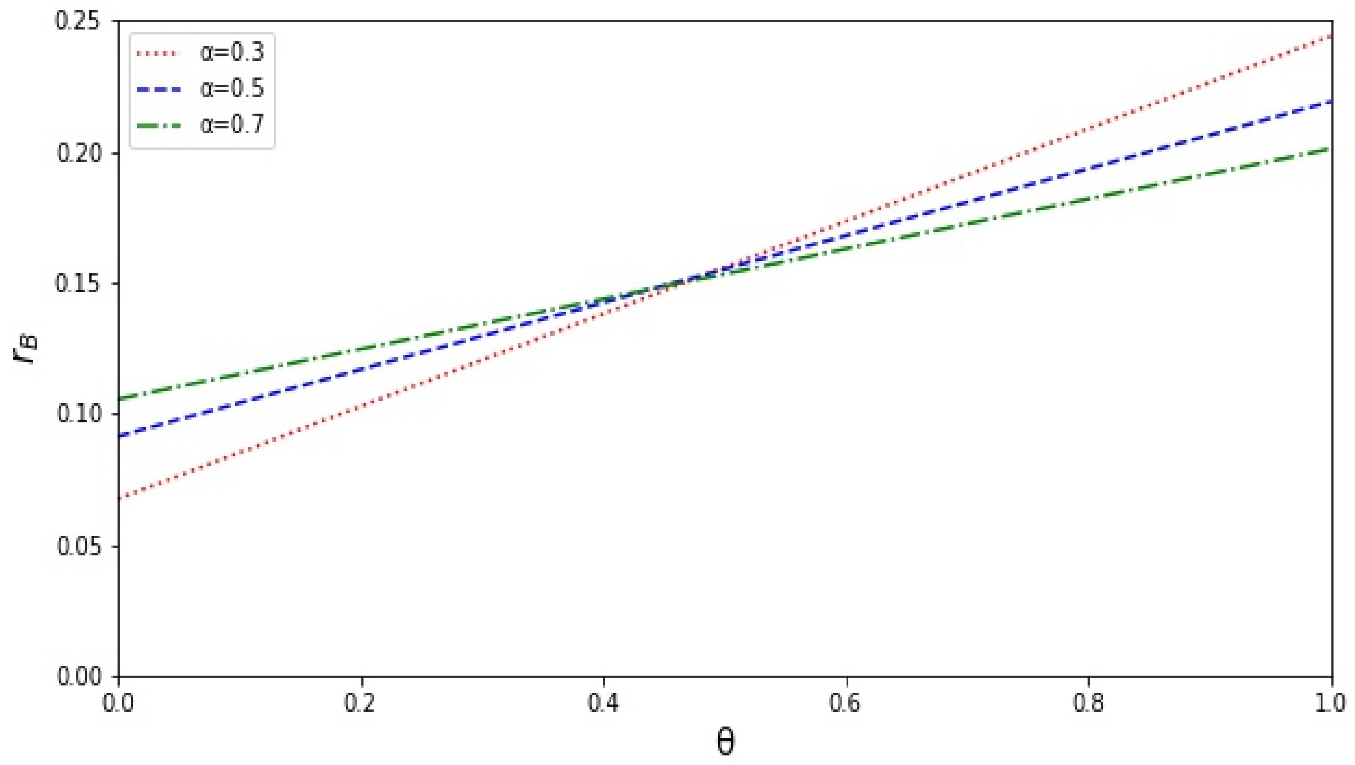
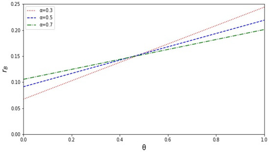
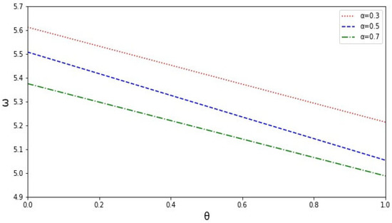
The relationships between the retailer’s repayment priority and the retailer’s bank credit rate, and the retailer’s repayment priority and the supplier’s bank credit rate, are shown in Figure 10 and Figure 11, respectively.
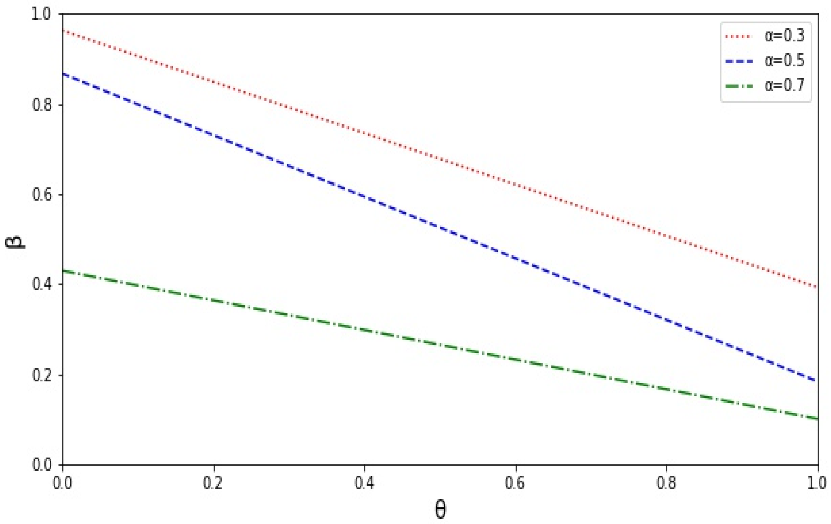
Figure 10 shows that there is a positive relationship between a retailer’s repayment priority θ on its trade credit debt to suppliers and the retailer’s bank credit rate r B . As the retailer’s repayment priority θ gradually increases, the retailer’s bank credit rate increases. This indicates that when retailers have a lower probability of repaying their suppliers’ trade credit debts and a higher probability of repaying their bank credit, retailers are less likely to default on their credit to commercial banks and commercial banks will then consider offering lower bank credit rates to retailers. Conversely, when a retailer is more likely to repay its supplier debt and less likely to repay its commercial bank debt, the commercial bank is more likely to suffer a default loss at the end of the selling season, leading it to increase its bank credit rate to the retailer. The change in the interest rate of retailer bank credit was analyzed for the retailer bank credit ratios of α = 0.3 , α = 0.5 and α = 0.7 . We found that as the retailer’s repayment priority θ increases, the bank credit rate rises more slowly when the retailer’s bank credit ratio α is higher, when the retailer’s bank credit limit is larger, and when the retailer’s bank credit limit is relatively small. When the retailer’s repayment priority θ is low, the retailer is less likely to repay its supplier debt and more likely to repay its commercial bank debt. The higher the retailer’s bank credit ratio, the higher the retailer’s bank credit limit, and the higher its bank loan interest rate. In contrast, when the retailer’s repayment priority θ is higher, the retailer has a lower probability of repaying its commercial bank debt on a priority basis, and the higher the retailer’s bank credit, the lower its bank credit rate. This suggests that although retailers consider repaying commercial bank debt on a priority basis, due to the lower credit rating and smaller asset size of SMEs such as retailers, banks are exposed to a greater risk of default by retailers when they are granted larger bank credit lines. It was difficult to determine the supply chain’s sustainability for this study. As a result, commercial banks will increase their interest rates on bank credit to retailers to control the risk of default by retailers during the transaction. In addition, as the retailer’s bank credit line becomes larger, the bank credit rate becomes larger, and the retailer’s risk of default becomes greater. Therefore, commercial banks will strictly control the increase in their bank credit rate in order to balance the retailer’s risk of default, mainly by controlling the slow increase in the bank credit rate when the retailer applies for a higher bank credit line.
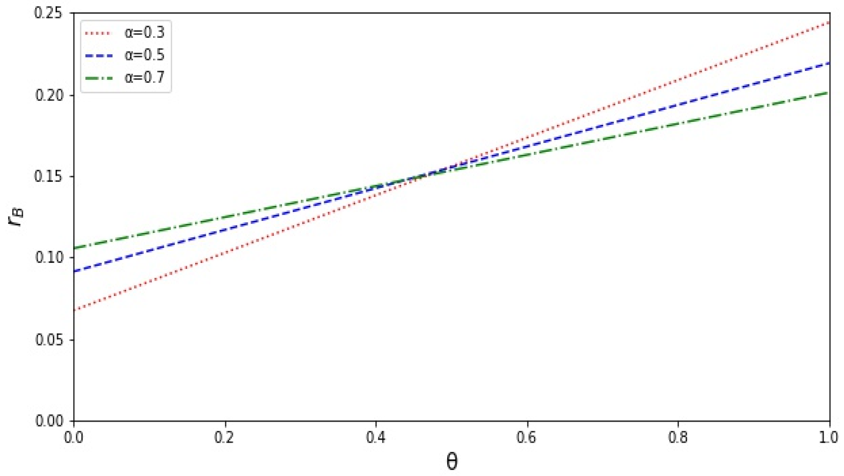
Figure 11 shows that there is a negative correlation between the retailer’s repayment priority θ on the supplier’s trade credit debt and the supplier’s bank credit rate r b . As the retailer’s repayment priority θ on trade credit debt gradually increases, the supplier’s bank credit rate decreases. This suggests that the greater the probability that a retailer will prioritize repayment of the supplier’s trade credit debt, the lower the probability that the supplier will be exposed to the retailer’s trade credit default risk at the end of the sales period. Commercial banks are less likely to face a loss of funds and in turn consider reducing the cost of supplier bank credit by lowering the supplier’s credit rate. Conversely, where the probability of the retailer repaying the supplier’s trade credit debt on a priority basis is low, the retailer considers repaying the commercial bank’s debt on a priority basis, when the supplier faces a higher risk of the retailer defaulting on its trade credit. In this case, the commercial bank will consider increasing the supplier’s bank credit rate to reduce its own potential risk of loss. A comparative analysis was conducted of the change in the supplier’s bank credit rate when the retailer’s bank credit ratio was α = 0.3 , α = 0.5 and α = 0.7 , respectively. According to Figure 11, as the retailer’s repayment priority θ gradually increases, the retailer’s bank credit ratio decreases. When the retailer’s bank credit limit is low, the supplier’s bank credit rate decreases more slowly. When the retailer’s bank credit is larger, the supplier’s bank credit rate decreases more quickly. At a lower repayment priority θ of the retailer, the higher the retailer’s bank credit ratio α , the higher the bank credit rate r b faced by the supplier, and the lower the retailer’s bank credit ratio α , the lower the bank credit rate r b faced by the supplier. When the retailer’s repayment priority θ is higher, the higher the retailer’s bank credit ratio α and the lower the supplier’s bank credit rate r b . This phenomenon is mainly due to the fact that commercial banks derive their revenue from the retailer’s bank credit and the supplier’s bank credit, respectively. When the retailer’s repayment priority θ is lower, the retailer has a higher probability of repaying the bank credit debt first, the commercial bank faces less risk of default on the retailer’s credit, and the commercial bank gains relatively less benefit from the retailer’s bank credit being smaller. Thus, the commercial bank offers a lower bank credit rate to the supplier to enhance its own benefit. When a retailer has a higher probability of repaying the supplier’s debt first, the commercial bank is exposed to the risk of default by the retailer, and when the retailer’s bank credit line is larger, the commercial bank is exposed to a higher risk of default. Therefore, in order to ensure the sustainability of the supply chain, the commercial bank mitigates its risk by offering a lower interest rate on the supplier’s loan.

3.4.4. Characteristics of the Impact of Retailer Repayment Priority on the Intensity of Credit Default Risk Contagion in the Supply Chain

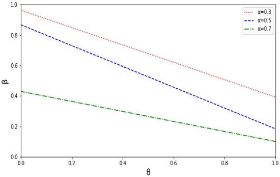
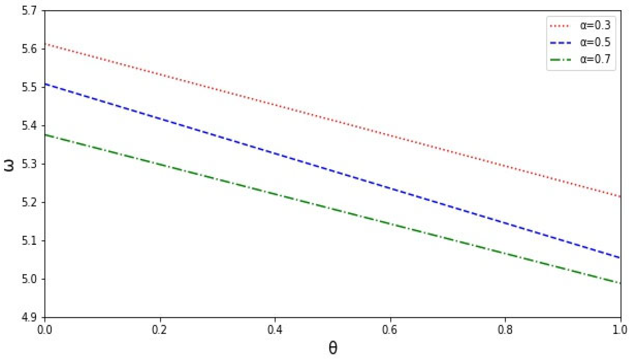
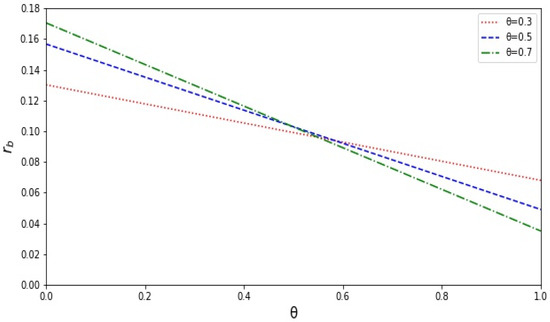
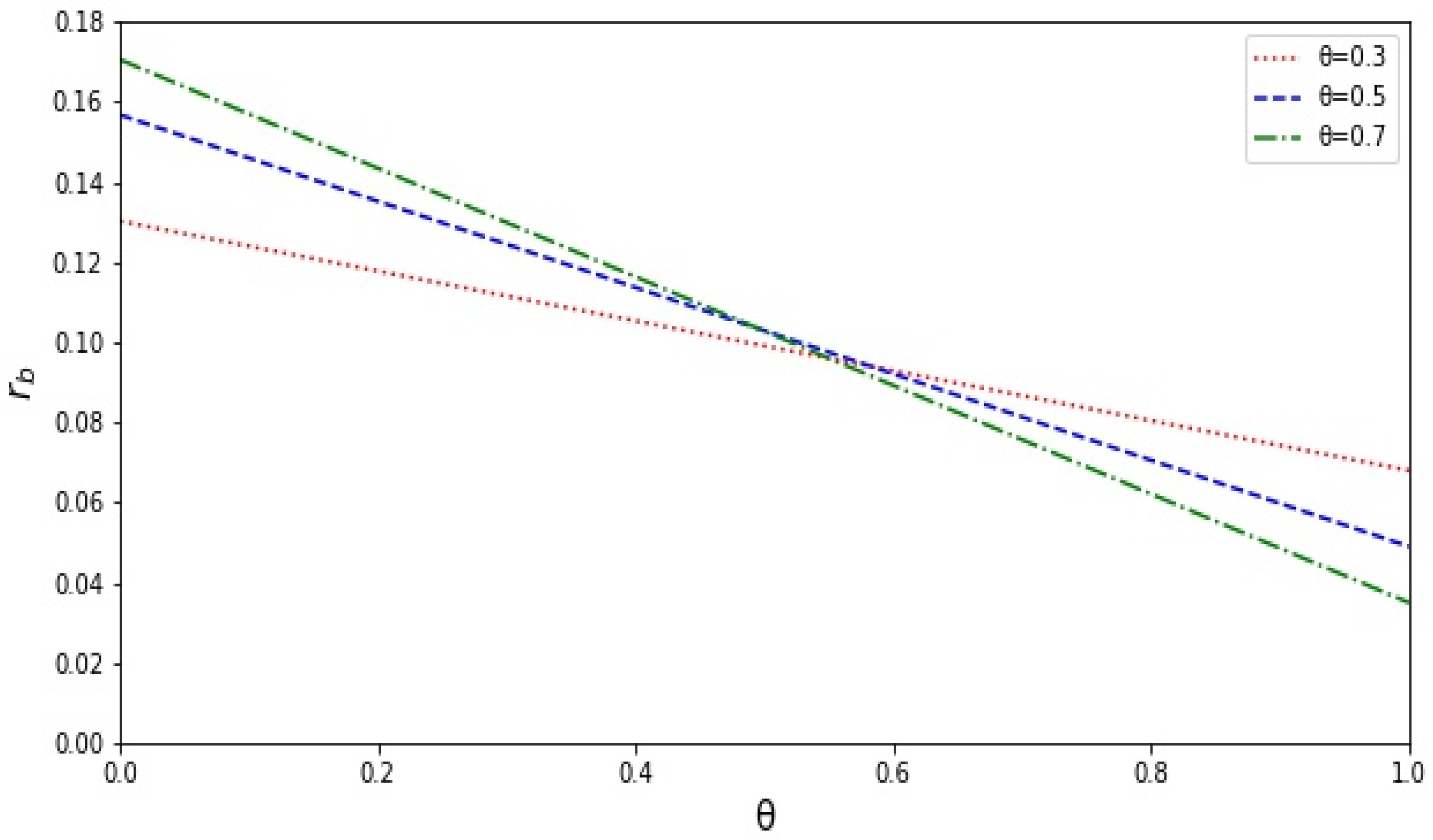
The relationship between retailer repayment priority and the intensity of credit default risk contagion in the supply chain is shown in Figure 12.
Figure 12 shows that there is a negative relationship between the retailer’s repayment priority θ to suppliers and the contagion intensity of credit default risk β in the supply chain. As the retailer’s repayment priority θ to suppliers increases, the intensity of credit default risk contagion in the supply chain decreases. This indicates that the more likely a retailer is to prioritize trade credit debt for repayment, the lower the retailer’s risk of defaulting on trade credit to its suppliers and the supplier’s ability to minimize its own losses, which in turn reduces the likelihood of default to the commercial bank. As a result, the contagion effect of credit default risk along the supply chain is reduced. In addition, the relatively higher intensity of credit default risk contagion in the supply chain is not conducive to the sustainability of the supply chain, when the retailer’s bank credit ratio α is lower and the retailer’s repayment priority θ is certain. This is due to the fact that a lower retailer bank credit ratio means that the retailer applies for a higher amount of trade credit from its suppliers. If the retailer defaults on its trade credit to the supplier, the supplier will suffer greater losses, which in turn leads to a greater likelihood of the supplier defaulting on its credit to the bank, thus increasing the contagion effect of credit default risk in the supply chain.

4. Conclusions

This paper focused on the contagion of supply chain credit default risk under the single-channel credit model of retailers and the dual-channel credit model from the perspective of credit financing for supply chain enterprises, in order to provide a reference to strengthen the risk management of supply chain finance and ensure the sustainable operation of the supply chain. Firstly, under the single-channel financing model of retailers, retailers only obtained trade credit financing from suppliers and suppliers only obtained bank credit financing from banks. After constructing a model of the contagion intensity of credit default risk between trade credit and bank credit in the supply chain, the analysis revealed the correlation characteristics between the contagion effect of credit default risk and the influencing factors in the supply chain. Then, based on the dual-channel financing model of retailers, i.e., retailers obtaining trade credit financing and bank credit financing from suppliers and banks, respectively, and suppliers obtaining bank credit financing from banks, a model of the contagion intensity of credit default risk in the supply chain was constructed by considering the repayment priority of retailers. The impact of the retailer’s repayment priority on the supply chain credit financing decision and the contagion effect of supply chain credit default risk were analyzed and obtained. The following research findings were obtained through theoretical deduction and numerical simulation:
(1)
The intensity of credit default risk contagion in the supply chain under the retailer’s single-channel credit model is positively related to the supplier’s production cost, the commercial bank’s risk-free interest rate and the trade credit interest rate. When both retailers default on trade credit to their suppliers, the contagion effect of credit default risk in the supply chain becomes more pronounced, which is detrimental to the sustainability of the supply chain. As the risk-free interest rate of commercial banks increases, the cost of bank credit to suppliers becomes larger, which will lead to an increase in the cost of trade credit to retailers. The likelihood of trade credit default by retailers then becomes larger, and the contagion effect of credit default risk in the supply chain increases. When the market retail price of a product is fixed, the higher the interest rate on trade credit, the higher the cost of trade credit to the retailer. Therefore, the retailer’s profit will be reduced, which will lead to a greater likelihood of trade credit default by the retailer to the supplier, increasing the likelihood of credit default risk contagion along the supply chain. In addition, the intensity of supply chain credit default risk contagion is negatively correlated with the market retail price of the product, and it is clear that the intensity of credit default risk contagion along the supply chain is greater when both retailers default on trade credit to their suppliers.
(2)
Under the retailer’s dual-channel credit model, there is a conflict between the retailer’s priority for paying back the supplier and the supplier’s wholesale price. The greater the probability that the retailer will prioritize the repayment of the supplier’s trade credit debt, the lower the supplier’s wholesale price will be. There is a positive relationship between the retailer’s repayment priority to suppliers and the retailer’s order quantity; i.e., the higher the probability that the retailer will repay the supplier’s trade credit debt on a priority basis, the higher the retailer’s order quantity will be. The retailer’s repayment priority positively affects the retailer’s bank credit rate, but inversely affects the supplier’s bank credit rate. A retailer’s repayment priority is negatively related to the intensity of credit default risk contagion in the supply chain. The lower the probability that a retailer has priority in repaying its suppliers’ trade credit debts, the stronger the contagion effect of credit default risk in the supply chain. In addition, the lower the retailer’s bank credit limit and the higher the trade credit limit, the stronger the contagion effect of credit default in the supply chain.
The findings of this paper can provide a theoretical reference for reducing the risk of credit default in supply chains under different credit models and utilizing the benign credit financing function of commercial banks. Moreover, the analysis of the correlation characteristics among the influencing factors in the process of credit default risk contagion in the supply chain can provide policymakers with ideas for policy formulation. Finally, as globalization continues to accelerate, the risk of supply chain credit default under different credit models may spread to many countries, and the findings of this paper have important implications for commercial banks and the state to strengthen supply chain financial risk management and maintain national financial security.

Author Contributions

Writing—original draft preparation, Y.W.; writing—review and editing, Y.W.; Model construction and mathematical simulation, J.S. and J.P.; model building design and guidance, T.C.; funding acquisition, T.C. All authors have read and agreed to the published version of the manuscript.

Funding

This work was supported by the National Natural Science Foundation of China (Nos. 71871115), the Key project of Jiangsu Social Science Foundation (No. 22WTA-019), the Major Project of Philosophy and Social Science Research in Colleges and Universities in Jiangsu Province (No. 2019SJZDA035), Young and Middle-aged Academic Leaders of Qinglan Project in Jiangsu Province.

Conflicts of Interest

The authors declare that they have no competing interests.

References

  1. Lamoureux, M. A supply chain finance prime. Supply Chain Financ. 2007, 4, 34–48. [Google Scholar]
  2. Xiao, S.; Sethi, S.P.; Liu, M.; Ma, S. Coordinating contracts for a financially constrained supply chain. Omega 2017, 72, 71–86. [Google Scholar] [CrossRef]
  3. Ouyang, L.Y.; Chang, C.T.; Teng, J.T. An EOQ model for deteriorating items under trade credits. J. Oper. Res. Soc. 2005, 56, 719–726. [Google Scholar] [CrossRef]
  4. Ge, Y.; Qiu, J. Financial development, bank discrimination and trade credit. J. Bank. Financ. 2007, 31, 513–530. [Google Scholar] [CrossRef]
  5. Yang, S.A.; Birge, J.R. Trade credit, risk sharing, and inventory financing portfolios. Manag. Sci. 2018, 64, 3667–3689. [Google Scholar] [CrossRef]
  6. Qu, S.; Xu, L.; Mangla, S.K.; Chan, F.T.; Zhu, J.; Arisian, S. Matchmaking in reward-based crowdfunding platforms: A hybrid machine learning approach. Int. J. Prod. Res. 2022, 1–21. [Google Scholar] [CrossRef]
  7. Hofmann, E. Supply chain finance: Some conceptual insights. In Beiträge zu Beschaff. Und Logist; Springer: Wiesbaden, Germany, 2005; Volume 16, pp. 203–214. [Google Scholar]
  8. Evans, J.; Koch, T. Surviving chapter 11: Why small firms prefer supplier financing. J. Econ. Financ. 2007, 31, 186–206. [Google Scholar] [CrossRef]
  9. Bates, T.W.; Kahle, K.M.; Stulz, R.M. Why Do U.S. Firms Hold so Much More Cash than They Used to? J. Financ. 2009, 64, 1985–2021. [Google Scholar] [CrossRef]
  10. Gao, G.X.; Fan, Z.P.; Fang, X.; Lim, Y.F. Optimal Stackelberg strategies for financing a supply chain through online peer-to-peer lending. Eur. J. Oper. Res. 2018, 267, 585–597. [Google Scholar] [CrossRef]
  11. Chen, P.; Wang, C.; Liu, Y. Real estate prices and firm borrowings: Micro evidence from China. China Econ. Rev. 2015, 36, 296–308. [Google Scholar] [CrossRef]
  12. Data, M.; Hu, Q. Financing newsvendor inventory. Oper. Res. Lett. 2008, 36, 569–573. [Google Scholar] [CrossRef]
  13. Lai, G.; Debo, L.G.; Sycara, K. Sharing inventory risk in supply chain: The implication of financial constraint. Omega 2009, 37, 811–825. [Google Scholar] [CrossRef]
  14. Albert, R.K. Economic aspects of inventory and financing. Law Contemorary Probl. 1948, 13, 556–578. [Google Scholar]
  15. Buzacott, J.A.; Zhang, R.Q. Inventory management with asset-based financing. Manag.Sci. 2004, 50, 1274–1292. [Google Scholar] [CrossRef]
  16. Yan, N.; Sun, B. Coordinating loan strategies for supply chain financing with limited credit. OR Spectr. 2013, 35, 1039–1058. [Google Scholar] [CrossRef]
  17. Jin, Y.; Wang, S.; Hu, Q. Contract type and decision right of sales promotion in supply chain management with a capital constrained retailer. Eur. J. Oper. Res. 2015, 240, 415–424. [Google Scholar] [CrossRef]
  18. Yan, N.; Sun, B.W.; Zhang, H.; Liu, C.Q. A partial credit guarantee contract in a capital-constrained supply chain: Financing equilibrium and coordinating strategy. Int. J. Prod. Econ. 2016, 173, 122–133. [Google Scholar] [CrossRef]
  19. Tang, C.S.; Yang, S.A.; Wu, J. Sourcing from suppliers with financial constraints and performance risk. Manuf. Serv. Oper. Manag. 2018, 20, 70–84. [Google Scholar] [CrossRef]
  20. Goyal, S.K. Economic order quantity under conditions of permissible delay in payments. J. Oper. Res. Soc. 1985, 36, 335–338. [Google Scholar] [CrossRef]
  21. Kouvelis, P.; Zhao, W. The Newsvendor Problem and Price-Only Contract When Bankruptcy Costs Exist. Prod. Oper. Manag. 2011, 20, 921–936. [Google Scholar] [CrossRef]
  22. Wang, W.C.; Teng, J.T.; Lou, K.R. Seller’s optimal credit period and cycle time in a supply chain for deteriorating items with maximum lifetime. Eur. J. Oper. Res. 2014, 232, 315–321. [Google Scholar] [CrossRef]
  23. Jaggi, C.K.; Yadavalli VS, S.; Verma, M.; Sharma, A. An eoq model with allowable shortage under trade credit in different scenario. Appl. Math. Comput. 2015, 252, 541–551. [Google Scholar] [CrossRef]
  24. Maiti, A.K.; Maiti, M.K.; Maiti, M. Inventory model with stochastic lead-time and price dependent demand incorporating advance payment. Appl. Math. Model. 2009, 33, 2433–2443. [Google Scholar] [CrossRef]
  25. Jiang, L.; Hao, Z. Alleviating supplier’s capital restriction by two-order arrangement. Oper. Res. Lett. 2014, 42, 444–449. [Google Scholar] [CrossRef]
  26. Peng, H.; Pang, T. Financing Strategies for a Capital-Constrained Supplier under Yield Uncertainty. J. Ind. Manag. Optim. 2020, 16, 887–909. [Google Scholar] [CrossRef]
  27. Martin, J. Suppliers’ participation in supply chain finance practices: Predictors and outcomes. Int. J. Integr. Supply Manag. 2017, 11, 193–216. [Google Scholar] [CrossRef]
  28. Jorion, P.; Zhang, G. Credit contagion from counterparty risk. J. Financ. 2009, 64, 2053–2087. [Google Scholar] [CrossRef]
  29. Chen, X.; Wang, A. Trade credit contract with limited liability in the supply chain with budge constraints. Ann. Oper. Res. 2012, 196, 153–165. [Google Scholar] [CrossRef]
  30. Garvey, M.D.; Carnovale, S.; Yeniyurt, S. An Analytical Framework for Supply Network Risk Propagation: A Bayesian Network Approach. Eur. J. Oper. Res. 2015, 243, 618–627. [Google Scholar] [CrossRef]
  31. Tang, L.; Jing, K.; He, J.; Stanley, H.E. Complex Interdependent Supply Chain Networks: Cascading Failure and Robustness. Phys. A Stat. Mech. Appl. 2016, 443, 58–69. [Google Scholar] [CrossRef]
  32. Li, Y.; Zhen, X.; Cai, X. Trade credit insurance, capital constraint, and the behavior of manufacturers and banks. Ann. Oper.Res. 2016, 240, 395–414. [Google Scholar] [CrossRef]
  33. Jing, B.; Seidmann, A. Finance sourcing in a supply chain. Decis. Support Syst. 2014, 58, 15–20. [Google Scholar] [CrossRef]
Figure 1. A decision model for supply chain credit financing under a single-channel credit model.
Figure 1. A decision model for supply chain credit financing under a single-channel credit model.
Sustainability 14 13518 g001
Figure 2. The effect of the marginal cost of production per unit of product for suppliers c on the contagion intensity of credit default risk β in the supply chain.
Figure 2. The effect of the marginal cost of production per unit of product for suppliers c on the contagion intensity of credit default risk β in the supply chain.
Sustainability 14 13518 g002
Figure 3. The effect of the product retail price p on the contagion intensity β of the supply chain credit default risk.
Figure 3. The effect of the product retail price p on the contagion intensity β of the supply chain credit default risk.
Sustainability 14 13518 g003
Figure 4. The relationship between the bank’s risk-free rate r f and the intensity β of credit default risk contagion in the supply chain.
Figure 4. The relationship between the bank’s risk-free rate r f and the intensity β of credit default risk contagion in the supply chain.
Sustainability 14 13518 g004
Figure 5. The relationship between the retailer trade credit rate r S and the intensity of credit default risk contagion in the supply chain β .
Figure 5. The relationship between the retailer trade credit rate r S and the intensity of credit default risk contagion in the supply chain β .
Sustainability 14 13518 g005
Figure 6. A decision model for supply chain credit financing under a dual-channel credit model.
Figure 6. A decision model for supply chain credit financing under a dual-channel credit model.
Sustainability 14 13518 g006
Figure 7. A double-game scheme between supply chain enterprises and banks.
Figure 7. A double-game scheme between supply chain enterprises and banks.
Sustainability 14 13518 g007
Figure 8. The relationship between retailer repayment priority and supplier wholesale prices.
Figure 8. The relationship between retailer repayment priority and supplier wholesale prices.
Sustainability 14 13518 g008
Figure 9. The relationship between retailer repayment priority and retailer order quantity.
Figure 9. The relationship between retailer repayment priority and retailer order quantity.
Sustainability 14 13518 g009
Figure 10. The relationship between retailer repayment priority and retailer bank credit rates.
Figure 10. The relationship between retailer repayment priority and retailer bank credit rates.
Sustainability 14 13518 g010
Figure 11. The relationship between retailer repayment priority and supplier bank credit rates.
Figure 11. The relationship between retailer repayment priority and supplier bank credit rates.
Sustainability 14 13518 g011
Figure 12. The relationship between retailer repayment priority and the intensity of credit default risk contagion in the supply chain.
Figure 12. The relationship between retailer repayment priority and the intensity of credit default risk contagion in the supply chain.
Sustainability 14 13518 g012
Table 1. A description of symbols.
Table 1. A description of symbols.
SymbolDescription
c Marginal cost of production per unit of product
w Wholesale price per unit of product
p Product retail price
Q i Order quantity for retailer i
x i Market demand for retailer i
T i Trade credit facility amount for retailer i
r S Trade credit rate for retailer i
M Amount of bank credit facilities for suppliers
r B Bank credit rates for suppliers
r f Bank risk-free rate
k s Supplier default thresholds
k r Retailer default thresholds
β The intensity of contagion of credit default risk
Table 2. A description of symbols.
Table 2. A description of symbols.
SymbolImplication
m Repurchase price per unit of product
c Marginal cost of production per unit of product
w Wholesale price per unit of product
p Product retail price
Q Retailer order quantity
x Demand in the market
M Retail merchant bank credit facilities
r B Retail merchant bank credit rates
N Retailers’ trade credit facility quantity
r S Retailers’ trade credit rates
R Amount of bank credit facilities for suppliers
r b Supplier bank credit rates
r f Bank risk-free rates
α Retail merchant bank credit ratio
θ Retailer repayment priorities
k s Supplier default thresholds
k r Retailer default thresholds
β The intensity of contagion of credit default risk in the supply chain
Publisher’s Note: MDPI stays neutral with regard to jurisdictional claims in published maps and institutional affiliations.

Share and Cite

MDPI and ACS Style

Wang, Y.; Shen, J.; Pan, J.; Chen, T. A Credit Risk Contagion Intensity Model of Supply Chain Enterprises under Different Credit Modes. Sustainability 2022, 14, 13518. https://doi.org/10.3390/su142013518

AMA Style

Wang Y, Shen J, Pan J, Chen T. A Credit Risk Contagion Intensity Model of Supply Chain Enterprises under Different Credit Modes. Sustainability. 2022; 14(20):13518. https://doi.org/10.3390/su142013518

Chicago/Turabian Style

Wang, Yuhao, Jiaxian Shen, Jinnan Pan, and Tingqiang Chen. 2022. "A Credit Risk Contagion Intensity Model of Supply Chain Enterprises under Different Credit Modes" Sustainability 14, no. 20: 13518. https://doi.org/10.3390/su142013518

APA Style

Wang, Y., Shen, J., Pan, J., & Chen, T. (2022). A Credit Risk Contagion Intensity Model of Supply Chain Enterprises under Different Credit Modes. Sustainability, 14(20), 13518. https://doi.org/10.3390/su142013518

Note that from the first issue of 2016, this journal uses article numbers instead of page numbers. See further details here.

Article Metrics

Back to TopTop