Quantitative Inversion Method of Surface Suspended Sand Concentration in Yangtze Estuary Based on Selected Hyperspectral Remote Sensing Bands
Abstract
1. Introduction
2. Materials
2.1. Quantitative Experimental Data and Preprocessing
2.2. Airborne Hyperspectral Experiment Data and Preprocessing
3. Methods
3.1. Spectral Transformation Methods
3.2. Feature Band Extraction Methods
3.2.1. Successive Projections Algorithm
3.2.2. Competitive Adaptive Reweighted Sampling Algorithm
- (1)
- Random selection of n samples using a Monte Carlo algorithm and the development of a partial least squares regression (PLSR) model.
- (2)
- Selecting the variables by exponentially decreasing function (EDP) and adaptive weighted sampling algorithm (ARS), retaining those with high regression coefficients and removing those with low regression coefficients.
- (3)
- Create a PLSR model with the retained variables as a new subset of variables and calculate the root mean square error of cross-validation (RMSECV).
- (4)
- Repeat steps (1)–(3), and select N subsets of variables after N Monte Carlo sampling to obtain N RMSECVs, and select the subset of variables with the smallest RMSECV as the optimal band combination.
3.3. BP Neural Network
3.4. Model Evaluation Indices
4. Results
4.1. Quantitative Experimental Spectral Characteristic Curve
4.2. Feature Band Extraction Results
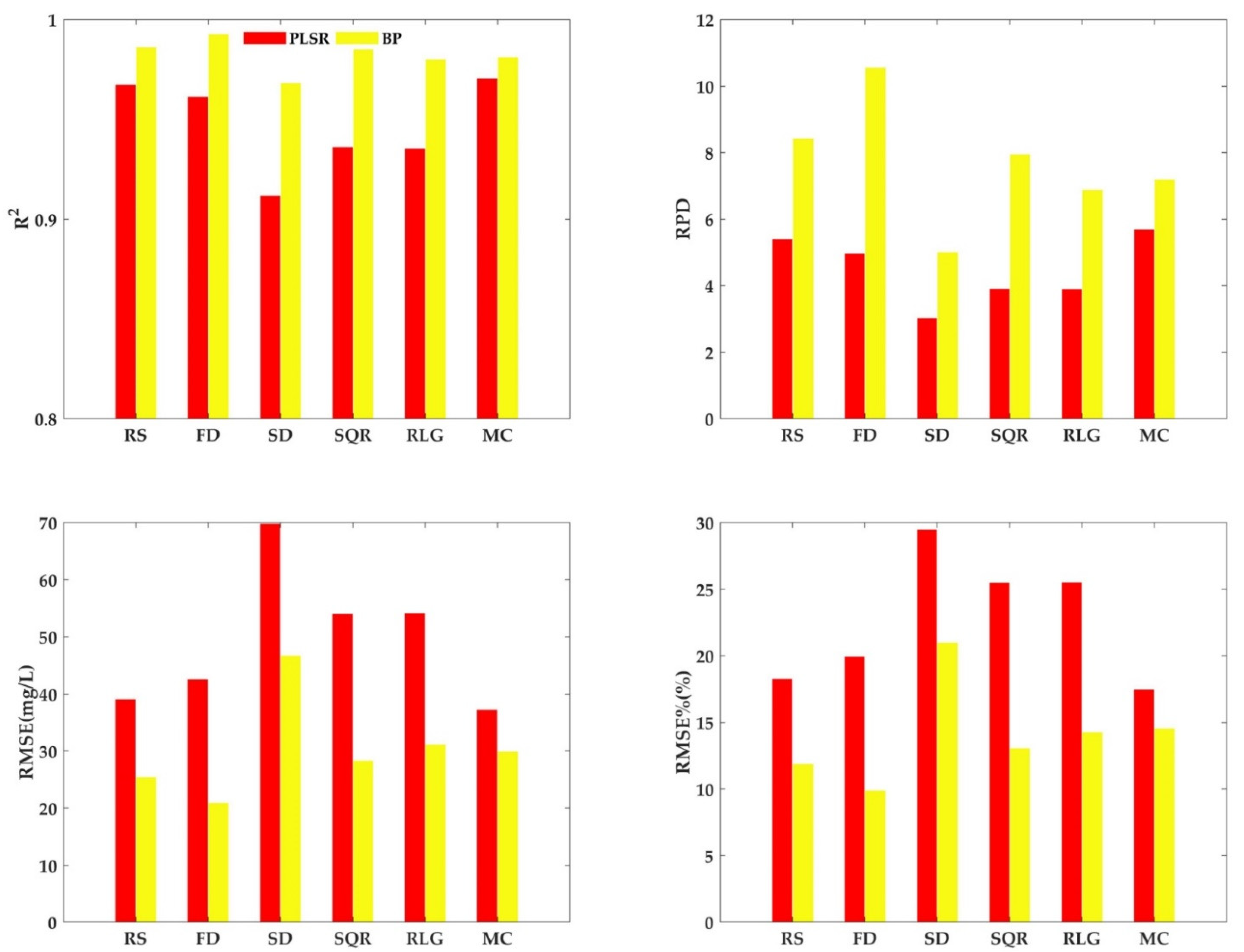
4.3. Construction of Inverse Model Results Based on Feature Bands
4.4. Validation of the Model Framework
5. Discussion
5.1. Construction of Inversion Model
5.2. The Validation of the Model Framework
5.3. The Limitations of the Model Framework
6. Conclusions
Author Contributions
Funding
Data Availability Statement
Acknowledgments
Conflicts of Interest
References
- Hu, R. Analysis of Sediment Transport and Dynamic Mechanism in Zhoushan Islands. Ph.D. Thesis, Ocean University of China, Qingdao, China, 2009. [Google Scholar]
- Du, Y. Remote Sensing Inversion and Spatial and Temporal Dynamics of Total Suspended Solids in Lakes and Reservoirs in Northeast China. Ph.D. Thesis, University of Chinese Academy of Sciences (Institute of Northeast Geography and Agroecology, Chinese Academy of Sciences), Harbin, China, 2021. [Google Scholar]
- Ramaswamy, V.; Rao, P.S.; Rao, K.H.; Thwin, S.; Rao, N.S.; Raiker, V. Tidal influence on suspended sediment distribution and dispersal in the northern Andaman Sea and Gulf of Martaban. Mar. Geol. 2004, 208, 33–42. [Google Scholar] [CrossRef]
- Zhang, L.; Chen, S.; Yi, L. The sediment source and transport trends around the abandoned Yellow River delta, China. Mar. Georesour. Geotechnol. 2016, 34, 440–449. [Google Scholar] [CrossRef]
- Qiao, S.; Shi, X.; Zhu, A.; Liu, Y.; Bi, N.; Fang, X.; Yang, G. Distribution and transport of suspended sediments off the Yellow River (Huanghe) mouth and the nearby Bohai Sea. Estuar. Coast. Shelf S. 2010, 86, 337–344. [Google Scholar] [CrossRef]
- Ni, W.; Wang, Y.; Zou, X.; Zhang, J.; Gao, J. Sediment Dynamics in an Offshore Tidal Channel in the Southern Yellow Sea. Int. J. Sediment Res. 2014, 29, 246–259. [Google Scholar] [CrossRef]
- Yao, H. Recent Transport of Suspended Sand and Its Exchange Process with Bottom Sand in a Typical River Channel of the Yangtze Estuary. Ph.D. Thesis, East China Normal University, Shanghai, China, 2018. [Google Scholar]
- Yang, Y.; ZHANG, M.; Deng, J.; LI, Y.; FAN, Y. The synchronicity and difference in the change of suspended sediment concentration in the Yangtze River Estuary. J. Geogr. Sci. 2015, 25, 399–416. [Google Scholar] [CrossRef]
- Zhang, Y.; Pulliainen, J.; Koponen, S.; Hallikainen, M. Application of an empirical neural network to surface water quality estimation in the Gulf of Finland using combined optical data and microwave data. Remote Sens. Environ. 2002, 81, 327–336. [Google Scholar] [CrossRef]
- Cai, L.; Tang, D.; Li, C. An investigation of spatial variation of suspended sediment concentration induced by a bay bridge based on Landsat TM and OLI data. Adv. Space Res. 2015, 56, 293–303. [Google Scholar] [CrossRef]
- Larson, M.D.; Milas, A.S.; Vincent, R.K.; Evans, J.E. Landsat 8 monitoring of multi-depth suspended sediment concentrations in Lake Erie’s Maumee River using machine learning. Int. J. Remote Sens. 2021, 42, 4064–4086. [Google Scholar] [CrossRef]
- Li, Y.; Huang, W.; Fang, M. An algorithm for the retrieval of suspended sediment in coastal waters of China from AVHRR data. Cont. Shelf Res. 1998, 18, 487–500. [Google Scholar] [CrossRef]
- Cobaner, M.; Unal, B.; Kisi, O. Suspended sediment concentration estimation by an adaptive neuro-fuzzy and neural network approaches using hydro-meteorological data. J. Hydrol. 2009, 367, 52–61. [Google Scholar] [CrossRef]
- Tassan, S. Local algorithms using SeaWiFS data for the retrieval of phytoplankton, pigments, suspended sediment, and yellow substance in coastal waters. Appl. Opt. 1994, 33, 2369–2378. [Google Scholar] [CrossRef] [PubMed]
- Wang, W.; Jiang, W. Study on the Seasonal Variation of the Suspended Sediment Distribution and Transportation in the East China Seas Based on SeaWiFS Data. J. Ocean. Univ. China 2008, 7, 385–392. [Google Scholar] [CrossRef]
- Shen, F.; Verhoef, W.; Zhou, Y.; Salama, M.D.; Liu, X. Satellite Estimates of Wide Range Suspended Sediment Concentrations in Changjiang (Yangtze) Estuary Using MERIS Data. Estuar. Coasts 2010, 33, 1420–1429. [Google Scholar] [CrossRef]
- Shen, F.; Zhou, Y.; Li, J.; He, Q.; Verhoef, W. Remotely sensed variability of the suspended sediment concentration and its response to decreased river discharge in the Yangtze Estuary and adjacent coast. Cont. Shelf Res. 2013, 69, 52–61. [Google Scholar] [CrossRef]
- Olmanson, L.G.; Brezonik, P.L.; Bauer, M.E. Airborne hyperspectral remote sensing to assess spatial distribution of water quality characteristics in large rivers: The Mississippi River and its tributaries in Minnesota. Remote Sens. Environ. 2013, 130, 254–265. [Google Scholar] [CrossRef]
- Dingtian, Y.; Delu, P.; Xiaoyu, Z.; Xiaofeng, Z.; Xianqiang, H.; Shujing, L. Retrieval of chlorophyll a and suspended solid concentrations by hyperspectral remote sensing in Taihu Lake, China. Chin. J. Oceanol. Limnol. 2006, 24, 428–434. [Google Scholar] [CrossRef]
- Wang, J.; Tian, Q. Total suspended solids concentration retrieval by hyperspectral remote sensing in Liaodong Bay[C], Bel-lingham, Wash. SPIE 2007, 6790, 522–528. [Google Scholar]
- Gao, Z.; Shen, Q.; Wang, X.; Peng, H.; Yao, Y.; Wang, M.; Liang, W. Spatiotemporal Distribution of Total Suspended Matter Concentration in Changdang Lake Based on In Situ Hyperspectral Data and Sentinel-2 Images. Remote Sens. 2021, 13, 4230. [Google Scholar] [CrossRef]
- Kwon, S.; Shin, J.; Seo, I.W.; Noh, H.; Jung, S.H.; You, H. Measurement of suspended sediment concentration in open channel flows based on hyper-spectral imagery from UAVs. Adv. Water Resour. 2022, 159, 104076. [Google Scholar] [CrossRef]
- Wang, S.; Chen, Y.; Wang, M.; Zhao, Y.; Li, J. SPA-Based Methods for the Quantitative Estimation of the Soil Salt Content in Saline-Alkali Land from Field Spectroscopy Data: A Case Study from the Yellow River Irrigation Regions. Remote Sens. 2019, 11, 967. [Google Scholar] [CrossRef]
- Wei, L.; Yuan, Z.; Zhong, Y.; Yang, L.; Hu, X.; Zhang, Y. An Improved Gradient Boosting Regression Tree Estimation Model for Soil Heavy Metal (Arsenic) Pollution Monitoring Using Hyperspectral Remote Sensing. Appl. Sci. 2019, 9, 1943. [Google Scholar] [CrossRef]
- Kong, J.; Sun, X.; Wang, W.; Du, D.; Chen, Y.; Yang, J. An optimal model for estimating suspended sediment concentration from Landsat TM images in the Caofeidian coastal waters. Int. J. Remote Sens. 2015, 36, 5257–5272. [Google Scholar] [CrossRef]
- Womber, Z.R.; Zimale, F.A.; Kebedew, M.G.; Asers, B.W.; DeLuca, N.M.; Guzman, C.D.; Zaitchik, B.F. Estimation of Suspended Sediment Concentration from Remote Sensing and In Situ Measurement over Lake Tana, Ethiopia. Adv. Civ. Eng. 2021, 2021, 9948780. [Google Scholar] [CrossRef]
- Goudarzi, N.; Goodarzi, M. Application of successive projections algorithm (SPA) as a variable selection in a QSPR study to predict the octanol/water partition coefficients (Kow) of some halogenated organic compounds. Anal. Methods 2010, 2, 758–764. [Google Scholar] [CrossRef]
- Liu, F.; He, Y. Application of successive projections algorithm for variable selection to determine organic acids of plum vinegar. Food Chem. 2009, 115, 1430–1436. [Google Scholar] [CrossRef]
- Wei, L.; Zhang, Y.; Lu, Q.; Yuan, Z.; Li, H.; Huang, Q. Estimating the spatial distribution of soil total arsenic in the suspected contaminated area using UAV-Borne hyperspectral imagery and deep learning. Ecol. Indic. 2021, 133, 108384. [Google Scholar] [CrossRef]
- Wu, T.; Yu, J.; Lu, J.; Zou, X.; Zhang, W. Research on Inversion Model of Cultivated Soil Moisture Content Based on Hyperspectral Imaging Analysis. Agriculture 2020, 10, 292. [Google Scholar] [CrossRef]
- Liu, C.; He, B.; Li, M.; Ren, X. Quantitative modeling of suspended sediment in middle Changjiang River from MODIS. Chin. Geogr. Sci. 2006, 16, 79–82. [Google Scholar] [CrossRef]
- Meng, Q.; Mao, Z.; Huang, H.; Shen, Y. Inversion of suspended sediment concentration at the Hangzhou Bay based on the high-resolution satellite HJ-1A/B imagery. SPIE 2013, 8869, 129–136. [Google Scholar]
- Gupta, M. Contribution of Raman Scattering in Remote Sensing Retrieval of Suspended Sediment Concentration by Empirical Modeling. IEEE J. Stars 2015, 8, 398–405. [Google Scholar] [CrossRef]
- Zhan, C.; Yu, J.; Wang, Q.; Li, Y.; Zhou, D.; Xing, Q.; Chu, X. Remote sensing retrieval of surface suspended sediment concentration in the Yellow River Estuary. Chin. Geogr. Sci. 2017, 27, 934–947. [Google Scholar] [CrossRef]
- Chen, J.; Cui, T.; Qiu, Z.; Lin, C. A three-band semi-analytical model for deriving total suspended sediment concentration from HJ-1A/CCD data in turbid coastal waters. ISPRS J. Photogramm. 2014, 93, 1–13. [Google Scholar] [CrossRef]
- Jiang, D.; Matsushita, B.; Pahlevan, N.; Gurlin, D.; Lehmann, M.K.; Fichot, C.G.; O’Donnell, D. Remotely estimating total suspended solids concentration in clear to extremely turbid waters using a novel semi-analytical method. Remote Sens. Environ. 2021, 258, 112386. [Google Scholar] [CrossRef]
- Axelsson, C.; Skidmore, A.K.; Schlerf, M.; Fauzi, A.; Verhoef, W. Hyperspectral analysis of mangrove foliar chemistry using PLSR and support vector regression. Int. J. Remote Sens. 2013, 34, 1724–1743. [Google Scholar] [CrossRef]
- Wang, F.; Huai, W.; Guo, Y. Analytical model for the suspended sediment concentration in the ice-covered alluvial channels. J. Hydrol. 2021, 597, 126338. [Google Scholar] [CrossRef]
- Wold, S.; Sjöström, M.; Eriksson, L. PLS-regression: A basic tool of chemometrics. Chemometr. Intell. Lab. 2001, 58, 109–130. [Google Scholar] [CrossRef]
- Pandit, C.M.; Filippelli, G.M.; Li, L. Estimation of heavy-metal contamination in soil using reflectance spectroscopy and partial least-squares regression. Int. J. Remote Sens. 2010, 31, 4111–4123. [Google Scholar] [CrossRef]
- Lu, D.M.; Song, K.S.; Li, L.; Liu, D.W.; Li, S.H.; Wang, Y.D.; Jia, M.M. Training a GA-PLS Model for Chl-a Concentration Estimation over Inland Lake in Northeast China. Procedia Environ. Sci. 2010, 2, 842–851. [Google Scholar] [CrossRef]
- Song, K.; Lu, D.; Li, L.; Li, S.; Wang, Z.; Du, J. Remote sensing of chlorophyll-a concentration for drinking water source using genetic algorithms (GA)-partial least square (PLS) modeling. Ecol. Inform. 2012, 10, 25–36. [Google Scholar] [CrossRef]
- Wu, M.; Zhang, W.; Wang, X.; Luo, D. Application of MODIS satellite data in monitoring water quality parameters of Chaohu Lake in China. Environ. Monit. Assess. 2009, 148, 255–264. [Google Scholar] [CrossRef]
- Bahaa, M.K.; Ayman, G.A.; Hussein, K.; Ashraf, E.S. Application of Artificial Neural Networks for the Prediction of Water Quality Variables in the Nile Delta. J. Water Resour. Prot. 2012, 2012, 19900. [Google Scholar]
- Samli, R.; Sivri, N.; Sevgen, S.; Kiremitci, V.Z. Applying Artificial Neural Networks for the Estimation of Chlorophyll-α Concentrations along the Istanbul Coast. Pol. J. Environ. Stud. 2014, 23, 1281–1287. [Google Scholar]
- Fu, X.; Liu, W.; Hu, H. Remote sensing inversion modeling of chlorophyll-a concentration in Wuliangsuhai Lake based on BP neural network. J. Phys. Conf. Ser. 2021, 1955, 12103. [Google Scholar] [CrossRef]
- Chen, S.; Zhang, G.; Yang, S. Spatial and temporal variation of suspended sand concentration and sediment resuspension in the Yangtze estuary. J. Geogr. 2004, 260–266. [Google Scholar]
- Tang, J.; Tian, G.; Wang, X.; Wang, X.; Song, Q. The Methods of Water Spectra Measurement and Analysis Ⅰ:Above-Water Method. J. Remote Sens. 2004, 8, 37–44. [Google Scholar]
- Zhang, M.; Tang, J.; Dong, Q.; Song, Q.; Ding, J. Retrieval of total suspended matter concentration in the Yellow and East China Seas from MODIS imagery. Remote Sens. Environ. 2010, 114, 392–403. [Google Scholar] [CrossRef]
- Lai, J. Phytoplankton Pigments and Eutrophication in the Yangtze River Estuary and Adjacent Waters. Ph.D. Thesis, Graduate School of Chinese Academy of Sciences (Institute of Oceanography), Qingdao, China, 2011. [Google Scholar]
- Gu, J.; Chen, W.; Kuang, C.; Qin, X.; Ma, D.; Huang, H. Analysis on river regime of the North Branch in the Changjiang River estuary. In Proceedings of the 2011 Second International Conference on Mechanic Automation and Control Engineering, Hohhot, China, 15–17 July 2011; pp. 1964–1968. [Google Scholar]
- Araújo, M.C.U.; Saldanha, T.C.B.; Galvão, R.K.H.; Yoneyama, T.; Chame, H.C.; Visani, V. The successive projections algorithm for variable selection in spectro-scopic multicomponent analysis. Chemometr. Intell. Lab. 2001, 57, 65–73. [Google Scholar] [CrossRef]
- Zhang, D.; Guo, Q.; Cao, L.; Zhou, G.; Zhang, G.; Zhan, J. A Multiband Model with Successive Projections Algorithm for Bathymetry Estimation Based on Remotely Sensed Hyperspectral Data in Qinghai Lake. IEEE J. Stars 2021, 14, 6871–6881. [Google Scholar] [CrossRef]
- Bao, Y.; Meng, X.; Ustin, S.; Wang, X.; Zhang, X.; Liu, H.; Tang, H. Vis-SWIR spectral prediction model for soil organic matter with different grouping strategies. Catena 2020, 195, 104703. [Google Scholar] [CrossRef]
- Hong, Y.; Chen, S.; Zhang, Y.; Chen, Y.; Yu, L.; Liu, Y.; Liu, Y. Rapid identification of soil organic matter level via visible and near-infrared spectroscopy: Effects of two-dimensional correlation coefficient and extreme learning machine. Sci. Total Environ. 2018, 644, 1232–1243. [Google Scholar] [CrossRef]
- Jin, W.; Li, Z.J.; Wei, L.S.; Zhen, H. The improvements of BP neural network learning algorithm. Proceedings of WCC 2000-ICSP 2000. 2000 5th International Conference on Signal Processing Proceedings. 16th World Computer Congress 2000, Beijing, China, 21–25 August 2000; pp. 1647–1649. [Google Scholar]
- Rossel, R.A.V. Robust Modelling of Soil Diffuse Reflectance Spectra by “Bagging-Partial Least Squares Regression”. J. Near Infrared SPEC 2007, 15, 39–47. [Google Scholar] [CrossRef]
- Doxaran, D.; Froidefond, J.M.; Castaing, P. A reflectance band ratio used to estimate suspended matter concentrations in sediment-dominated coastal waters. Int. J. Remote Sens. 2002, 23, 5079–5085. [Google Scholar] [CrossRef]













| Parameters | Value |
|---|---|
| Wavelength Range | 325–1075 nm |
| Sampling Interval | 1 nm |
| Spectral Resolution | 3 nm |
| Integration time | ≥8.5 ms |
| Field of view | 25° |
| Parameters | Value |
|---|---|
| Wavelength Range | 300–1000 nm |
| Number of Channels | 270 |
| Spectral Resolution | 2.6 nm |
| Flight altitude | 1000 m |
| Spatial resolution | 1.2 m |
| ID | SSSC (mg/L) | ID | SSSC (mg/L) |
|---|---|---|---|
| 1 | 554.5 | 10 | 197.6 |
| 2 | 451.5 | 11 | 259.6 |
| 3 | 809.8 | 12 | 420.3 |
| 4 | 843.6 | 13 | 476.6 |
| 5 | 968.8 | 14 | 439.5 |
| 6 | 729.5 | Max | 968.8 |
| 7 | 357.8 | Min | 197.6 |
| 8 | 345.3 | Mean | 511.8 |
| 9 | 310.9 | SD | 288.3 |
| Name | Method or Formula | Abbreviation |
|---|---|---|
| First Derivative | Savitzky–Golay method | FD |
| Second Derivative | Savitzky–Golay method | SD |
| Square Root | SQR | |
| Mean Centering | MC | |
| Reciprocal of Logarithmic | ) | RLG |
| Datasets | No. | Minimum (mg/L) | Maximum (mg/L) | Average (mg/L) |
|---|---|---|---|---|
| training | 30 | 3.64 | 654.39 | 200.39 |
| validation | 11 | 3.62 | 682.06 | 210.40 |
| Variable | Model | R2 | RPD | RMSE (mg/L) | RMSE% | |
|---|---|---|---|---|---|---|
| 655 nm | y = 10093x − 115.67 | 0.7930 | 1.9634 | 96.6928 | 47.71% | |
| y = 8.8443e78.31x | 0.9821 | 3.4376 | 81.8898 | 33.37% | ||
| y = 126.13ln(x) + 677.1 | 0.3965 | 0.9219 | 169.7026 | 98.12% | ||
| y = 280010x2 − 6409.2x + 43.773 | 0.9665 | 5.3117 | 39.9233 | 18.21% | ||
| 660 nm | y = 10173x − 113.17 | 0.7969 | 1.9876 | 95.7472 | 47.14% | |
| y = 9.1108e78.596x | 0.9828 | 3.3746 | 84.1994 | 34.16% | ||
| y = 124.38ln(x) + 673.57 | 0.3937 | 0.9883 | 170.6553 | 93.01% | ||
| y = 279307x2 − 6112.1x + 41.65 | 0.9682 | 5.4470 | 38.9028 | 17.74% | ||
| 840 nm | y = 22336x − 28.066 | 0.9703 | 5.3603 | 37.8763 | 17.35% | |
| y = 24.442e140.37x | 0.8748 | 1.7822 | 232.9018 | 84.36% | ||
| y = 160.08ln(x) + 1004.9 | 0.7059 | 1.5699 | 115.0457 | 56.19% | ||
| y = 202027x2 + 16921x−8.335 | 0.9870 | 7.8004 | 26.3551 | 12.01% | ||
| 860 nm | y = 25350x − 13.708 | 0.9836 | 6.84 | 29.4738 | 13.55% | |
| y = 27.664e155.33x | 0.8621 | 1.7759 | 232.1537 | 86.01% | ||
| y = 153.96ln(x) + 1011.2 | 0.7574 | 1.6222 | 105.2444 | 49.97% | ||
| y = 105858x2 + 22906x − 6.5177 | 0.9885 | 8.0156 | 25.3042 | 11.61% | ||
| 870 nm | y = 27158x − 7.3402 | 0.9776 | 6.1185 | 33.267 | 15.25% | |
| y = 32.182e158.01x | 0.8496 | 1.735 | 242.3157 | 89.10% | ||
| y = 162.45ln(x) + 1071.2 | 0.6016 | 1.5411 | 161.5067 | 92.94% | ||
| y = 91181x2 + 25205x − 2.011 | 0.9823 | 6.8874 | 29.7421 | 13.64% | ||
| 859 nm | y = 24537x − 12.381 | 0.9792 | 6.1074 | 34.7046 | 16.16% | |
| y = 26.63e160.09x | 0.8569 | 0.8011 | 264.5516 | 92.54% | ||
| y = 146.04ln(x) + 957.7 | 0.7286 | 1.8937 | 111.9162 | 56.06% | ||
| y = 30674x2 + 23845x − 10.34 | 0.9812 | 6.3617 | 33.3162 | 15.50% | ||
| 689 nm/737 nm | y = − 312.32x + 909.04 | 0.6771 | 1.7564 | 120.6730 | 55.11% | |
| y = 15515e−2.181x | 0.9811 | 6.3245 | 33.5115 | 15.42% | ||
| y = − 740.5ln(x) + 785.62 | 0.7872 | 2.1519 | 98.4939 | 44.54% | ||
| y = 189.27x2 − 1213.6x + 1923.7 | 0.9091 | 3.1233 | 67.8582 | 30.19% | ||
| 717 nm − 400 nm | y = 19738x − 31.298 | 0.9453 | 4.2041 | 50.4119 | 23.78% | |
| y = 24.99e120.42x | 0.9650 | 2.3001 | 92.1450 | 39.64% | ||
| y = 195.92ln(x) + 1144.6 | 0.7858 | 2.1578 | 98.2221 | 47.83% | ||
| y = 291334x2 + 10938x + 5.2895 | 0.9727 | 5.7809 | 36.6645 | 17.19% | ||
| 859 nm + 859 nm | y = 12795x − 17.05 | 0.9792 | 6.1712 | 32.8574 | 14.95% | |
| y = 26.932e78.775x | 0.8610 | 1.7498 | 240.0633 | 87.32% | ||
| y = 156.48ln(x) + 912.48 | 0.7286 | 1.6072 | 110.4144 | 52.91% | ||
| y = 35185x2 + 11178x−7.4145 | 0.9868 | 7.5416 | 27.1006 | 12.30% | ||
| y = − 1758.5x + 847.52 | 0.8232 | 2.0634 | 89.6017 | 41.44% | ||
| y = 6866e−11.42x | 0.9740 | 5.4736 | 42.9276 | 19.95% | ||
| y = − 601ln(x) − 426.44 | 0.9192 | 3.0110 | 62.5053 | 28.79% | ||
| y = 4534.4x2 − 4988.2x + 1375.2 | 0.9647 | 4.0573 | 46.0922 | 21.07% | ||
| MLR | 0.9788 | 6.8815 | 30.8272 | 15.12% | ||
| PLSR | 0.9697 | 5.6096 | 37.7826 | 17.71% | ||
| FD−CARS−BP | 0.9947 | 12.5453 | 16.5801 | 8.08% | ||
Publisher’s Note: MDPI stays neutral with regard to jurisdictional claims in published maps and institutional affiliations. |
© 2022 by the authors. Licensee MDPI, Basel, Switzerland. This article is an open access article distributed under the terms and conditions of the Creative Commons Attribution (CC BY) license (https://creativecommons.org/licenses/by/4.0/).
Share and Cite
Luan, K.; Li, H.; Wang, J.; Gao, C.; Pan, Y.; Zhu, W.; Xu, H.; Qiu, Z.; Qiu, C. Quantitative Inversion Method of Surface Suspended Sand Concentration in Yangtze Estuary Based on Selected Hyperspectral Remote Sensing Bands. Sustainability 2022, 14, 13076. https://doi.org/10.3390/su142013076
Luan K, Li H, Wang J, Gao C, Pan Y, Zhu W, Xu H, Qiu Z, Qiu C. Quantitative Inversion Method of Surface Suspended Sand Concentration in Yangtze Estuary Based on Selected Hyperspectral Remote Sensing Bands. Sustainability. 2022; 14(20):13076. https://doi.org/10.3390/su142013076
Chicago/Turabian StyleLuan, Kuifeng, Hui Li, Jie Wang, Chunmei Gao, Yujia Pan, Weidong Zhu, Hang Xu, Zhenge Qiu, and Cheng Qiu. 2022. "Quantitative Inversion Method of Surface Suspended Sand Concentration in Yangtze Estuary Based on Selected Hyperspectral Remote Sensing Bands" Sustainability 14, no. 20: 13076. https://doi.org/10.3390/su142013076
APA StyleLuan, K., Li, H., Wang, J., Gao, C., Pan, Y., Zhu, W., Xu, H., Qiu, Z., & Qiu, C. (2022). Quantitative Inversion Method of Surface Suspended Sand Concentration in Yangtze Estuary Based on Selected Hyperspectral Remote Sensing Bands. Sustainability, 14(20), 13076. https://doi.org/10.3390/su142013076
