Online Learning Management for Primary and Secondary Students during the COVID-19 Epidemic: An Evolutionary Game Theory Approach
Abstract
1. Introduction
- Reward or punishment, which method is more effective for students’ online learning management?
- Does parental involvement positively impact students’ online learning management compared to a scenario where parents are not involved? Are there participation boundaries for parent involvement in student online learning management?
- Parents or schools? Whose strategy is more effective in facilitating the management of students’ online learning?
2. Literature Review
2.1. Online Learning
2.2. Online Learning Management
2.3. The Application of Evolutionary Game Theory
3. Methodology
3.1. Model Hypotheses
3.2. Model Establishment
3.2.1. Construction of “School-Student” Game Model
3.2.2. Construction of “School-Student-Parent” Game Model
3.3. Model Solution
3.3.1. “School-Student” Game Equilibrium Solution
3.3.2. “School-Student-Parent” Tripartite Game Equilibrium Solution
4. Strategy Stability Analysis
5. Numerical Experiments
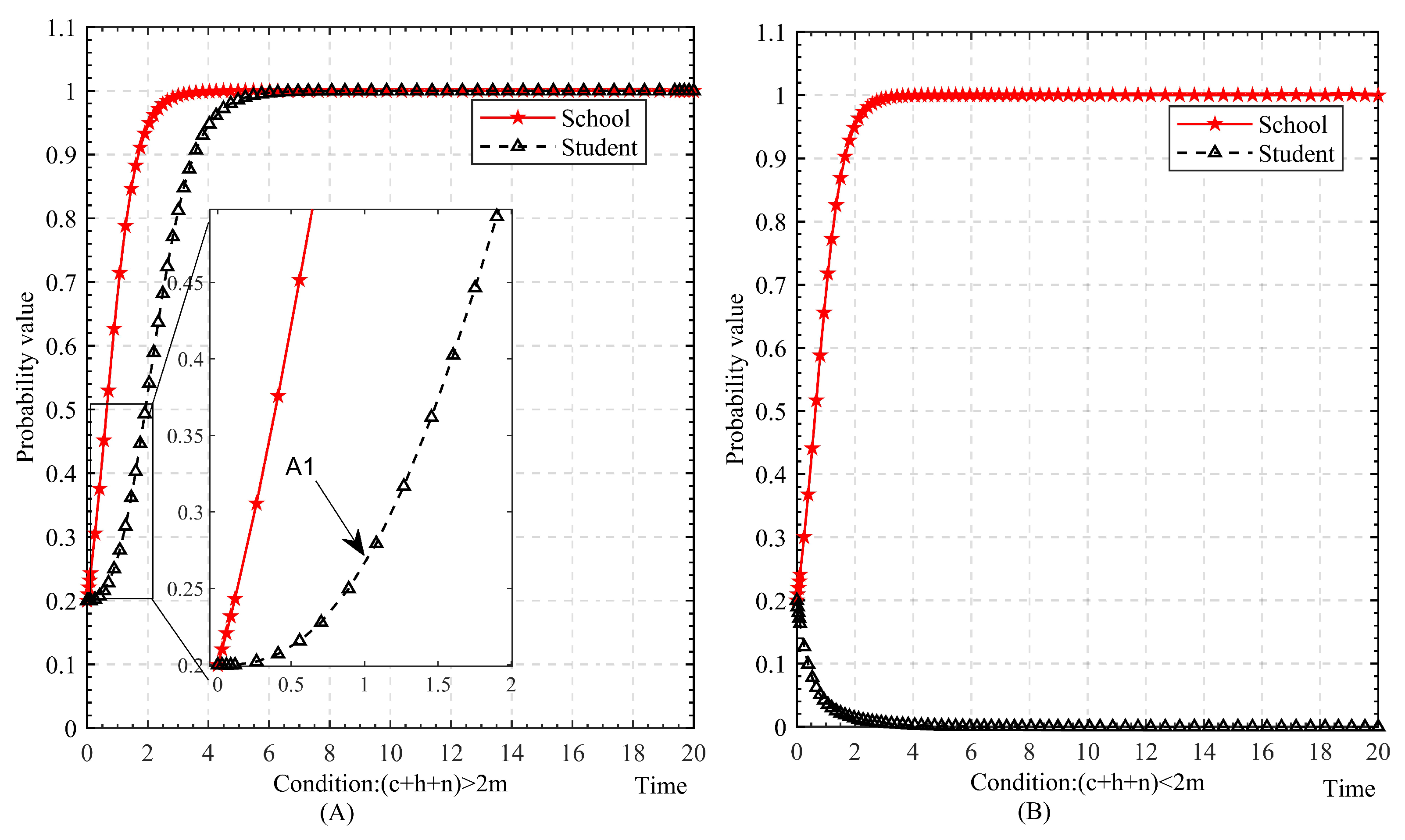
5.1. Simulation of the “School-Student” Game
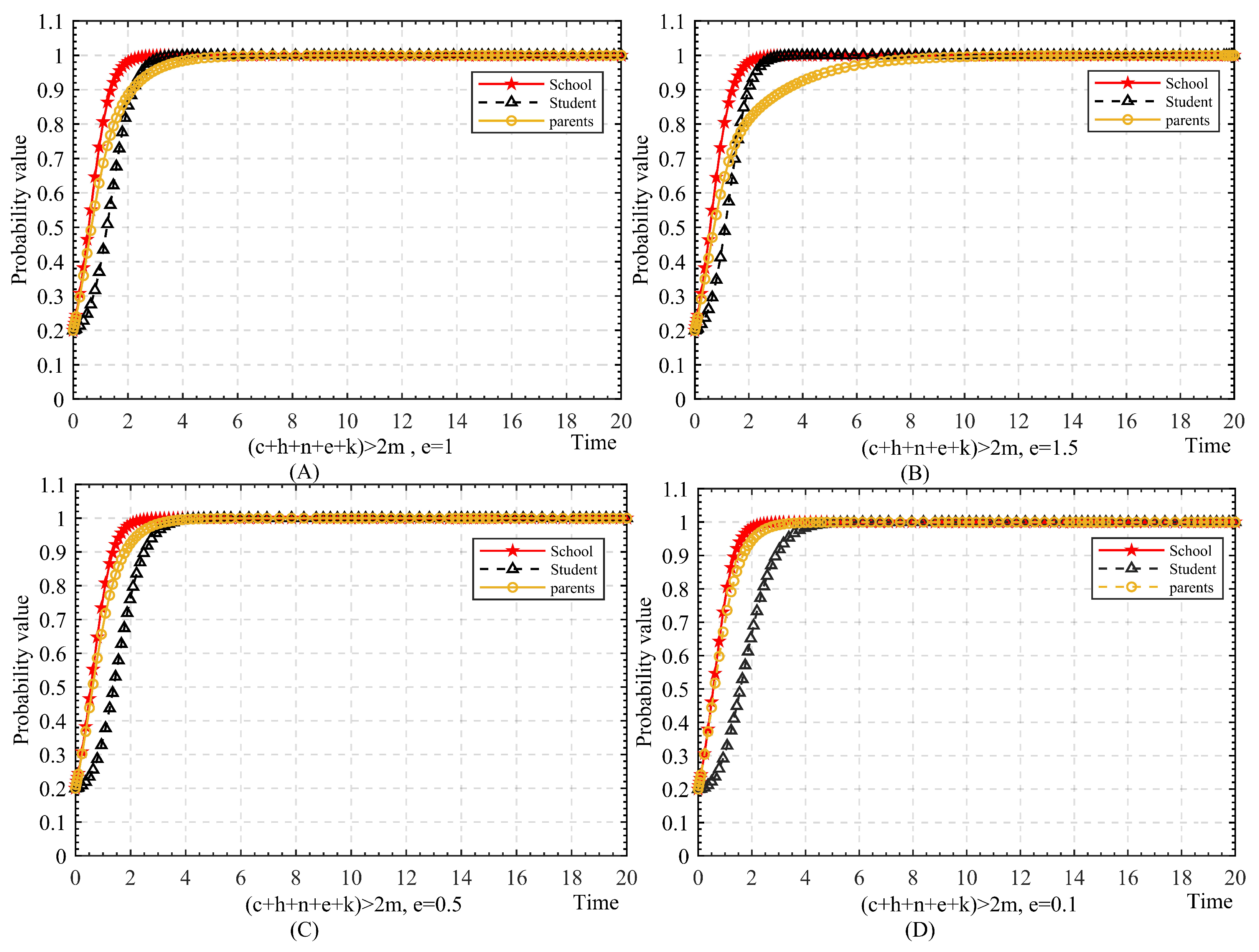
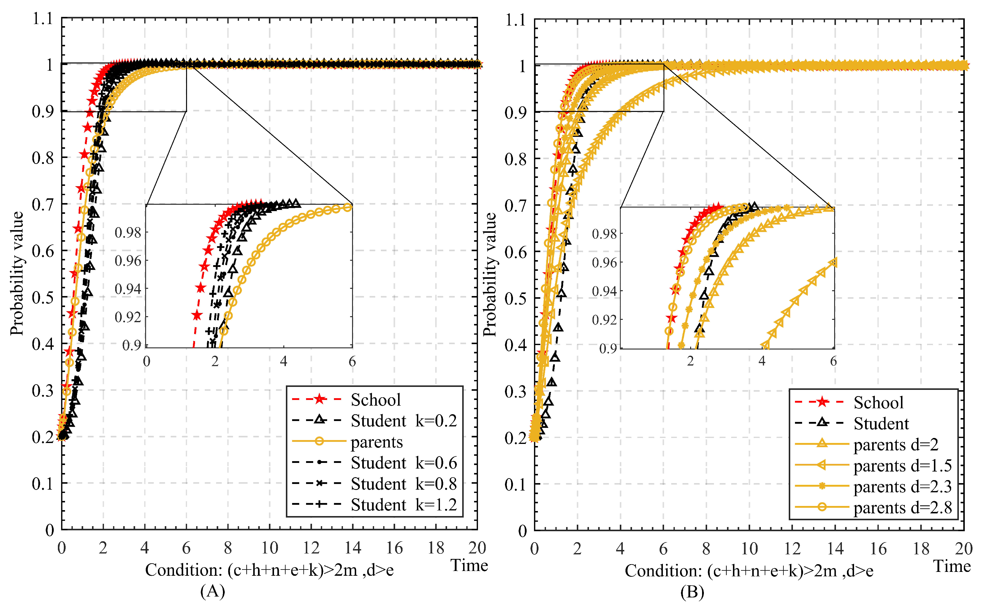
5.2. Simulation of the “School-Student-Parent” Game
6. Discussion
6.1. Limitations and Future Directions
6.2. Theoretical and Practical Implications
7. Conclusions
Author Contributions
Funding
Institutional Review Board Statement
Informed Consent Statement
Data Availability Statement
Conflicts of Interest
References
- Hasan, N.; Bao, Y. Impact of “e-Learning crack-up” perception on psychological distress among college students during COVID-19 pandemic: A mediating role of“fear of academic year loss”. Child. Youth Serv. Rev. 2020, 118, 105–355. [Google Scholar] [CrossRef]
- UNESCO. Global Education Coalition. COVID-19 Education Response. 2020. Available online: https://en.unesco.org/covid19/educationresponse/globalcoalition (accessed on 18 April 2022).
- Golberstein, E.; Wen, H.F.; Miller, B.F. Coronavirus disease 2019 (COVID-19) and mental health for children and adolescents. JAMA Pediatr. 2020, 174, 819–820. [Google Scholar] [CrossRef]
- Viner, R.M.; Russell, S.J.; Croker, H.; Packer, J.; Ward, J.; Stansfield, C.; Mytton, O.; Bonell, C.; Booy, R. School closure and management practices during coronavirus outbreaks including COVID-19: A rapid systematic review. Lancet Child Adolesc. Health 2020, 4, 397–404. [Google Scholar] [CrossRef]
- Cyberspace Administration of China. The 46th China Statistical Report on Internet Development. 2020. Available online: http://www.cac.gov.cn/2020-09/29/c-1602939918747816.htm (accessed on 15 December 2021).
- Zhang, Q.; Zhou, L.J.; Xia, J.P. Impact of COVID-19 on emotional resilience and learning management of middle school students. Med. Sci. Monit. 2020, 26, 8. [Google Scholar] [CrossRef]
- Chen, G.M.; Jin, Y.W.; Liang, W.; Liu, Y. Study on the influence of middle school students’ self-efficacy on the willingness to use online learning platform. Int. J. Electr. Eng. Educ. 2021, 23. [Google Scholar] [CrossRef]
- Ministry of Education of the people’s Republic of China. 2019 National Educational Development Statistical Bulletin. 2020. Available online: http://www.moe.gov.cn/jyb-sjzl/sjzl-fztjgb/202005/t20200520-456751.htm (accessed on 3 June 2021).
- Zhang, Y.; Bao, X.; Yan, J.; Miao, H.; Guo, C. Anxiety and depression in chinese students during the COVID-19 pandemic: A meta-analysis. Front. Public Health 2021, 9, 13. [Google Scholar] [CrossRef]
- Zhang, X.; Yang, H.; Zhang, J.; Yang, M.; Yuan, N.; Liu, J. Prevalence of and risk factors for depressive and anxiety symptoms in a large sample of chinese adolescents in the post-COVID-19 era. Child Adolesc. Psychiatry Ment. Health 2021, 15, 80. [Google Scholar] [CrossRef]
- Ravens-Sieberer, U.; Kaman, A.; Erhart, M.; Devine, J.; Schlack, R.; Otto, C. Impact of the covid-19 pandemic on quality of life and mental health in children and adolescents in germany. Eur. Child Adolesc. Psychiatry 2021, 6, 879–889. [Google Scholar] [CrossRef]
- Masonbrink, A.R.; Hurley, E. Advocating for children during the covid-19 school closures. Pediatrics 2020, 146, e20201440. [Google Scholar] [CrossRef]
- Van Lancker, W.; Parolin, Z. COVID-19, school closures, and child poverty: A social crisis in the making. Lancet Public Health 2020, 5, E243–E244. [Google Scholar] [CrossRef]
- Efthymiou, L.; Zarifis, A. Modeling students’ voice for enhanced quality in online management education. Int. J. Manag. Educ. 2021, 19, 16. [Google Scholar] [CrossRef]
- Apak, J.; Taat, M.S.; Suki, N.M. Measuring teacher creativity-nurturing behavior and readiness for 21st century classroom management. Int. J. Inf. Commun. Technol. Educ. 2021, 17, 52–67. [Google Scholar] [CrossRef]
- Ferri, F.; Grifoni, P.; Guzzo, T. Online learning and emergency remote teaching: Opportunities and challenges in emergency situations. Societies 2020, 10, 86. [Google Scholar] [CrossRef]
- Moore, J.L.; Dickson-Deane, C.; Galyen, K. E-learning, online learning, and distance learning environments: Are they the same? Internet High. Educ. 2011, 14, 129–135. [Google Scholar] [CrossRef]
- Willett, J.; Brown, C.; Danzy-Bussell, L.A. An exploratory study: Faculty perceptions of online learning in undergraduate sport management programs. J. Hosp. Leis. Sport Tour. Educ. 2019, 25, 10. [Google Scholar] [CrossRef]
- Zimmerman, J. Coronavirus and the gReat Online-Learning Experiment: Let’s Determine what our Students Actually Learn Online. Available online: https://www.chronicle.com/article/Coronavirusthe-Great/248216 (accessed on 13 August 2022).
- Perna, L.W.; Ruby, A.; Boruch, R.F.; Wang, N.; Scull, J.; Ahmad, S.; Evans, C. Moving through moocs: Understanding the progression of users in massive open online courses. Educ. Res. 2014, 43, 21–432. [Google Scholar] [CrossRef]
- Xu, J.Z.; Du, J.X.; Fan, X.T. Emotion management in online groupwork reported by chinese students. Educ. Technol. Res. Dev. 2014, 62, 795–819. [Google Scholar] [CrossRef]
- Heo, H.; Bonk, C.J.; Doo, M.Y. Enhancing learning engagement during COVID-19 pandemic: Self-efficacy in time management, technology use, and online learning environments. J. Comput. Assist. Learn. 2021, 37, 1640–1652. [Google Scholar] [CrossRef]
- Watermeyer, R.; Crick, T.; Knight, C.; Goodall, J. COVID-19 and digital disruption in uk universities: Afflictions and affordances of emergency online migration. High Educ. 2020, 81, 623–641. [Google Scholar] [CrossRef]
- Copel, W.E.; McGinnis, E.; Bai, Y.; Adams, Z.; Nardone, H.; Devadanam, V.; Rettew, J.; Hudziak, J.J. Impact of COVID-19 pandemic on college student mental health and wellness. J. Am. Acad. Child Adolesc. Psychiatry 2021, 60, 134. [Google Scholar]
- Lopez-Noguero, F.; Garcia-Lazaro, I.; Gallardo-Lopez, J.A. Consequences of COVID-19 at schools according to their socioeconomic context and type. Rev. Publ. 2021, 51, 443–462. [Google Scholar]
- Grissom, J.A.; Condon, L. Leading schools and districts in times of crisis. Educ. Res. 2021, 50, 315–324. [Google Scholar] [CrossRef]
- Futra, D.; Primahardani, I. Online learning management in the era of COVID-19 pandemic at junior high schools inindonesia. J. Inf. Technol. Educ. Res. 2021, 20, 351–383. [Google Scholar]
- Barrot, J.S.; Llenares, I.I.; del Rosario, L.S. Students’ online learning challenges during the pandemic and how they cope with them: The case of the philippines. Educ. Inf. Technol. 2021, 26, 7321–7338. [Google Scholar] [CrossRef]
- Li, J.F.; Yang, Z.Y.; Qiu, H.; Wang, Y.; Jian, L.Y.; Ji, J.J.; Li, K.F. Anxiety and depression among general population in china at the peak of the COVID-19 epidemic. World Psychiatry 2020, 19, 249–250. [Google Scholar] [CrossRef]
- Henter, R.; Nastasa, L.E. Parents’ emotion management for personal well-being when challenged by their online work and their children’s online school. Front. Psychol. 2021, 12, 8. [Google Scholar] [CrossRef]
- Pozzoli, T.; Gini, G.; Scrimin, S. Distance learning during the COVID-19 lockdown in italy: The role of family, school, and individual factors. Sch. Psychol. 2021, 37, 183–189. [Google Scholar] [CrossRef]
- Smith, J.M.; Price, G.R. The logic of animal conflict. Nature 1996, 246, 15–18. [Google Scholar] [CrossRef]
- Taylor, P.D.; Jonker, L.B. Evolutionarily stable strategies and game dynamics. Math. Biosci. 1978, 40, 145–156. [Google Scholar] [CrossRef]
- Friedman, D. Evolutionary games in economics. Econometrica 1991, 59, 637–666. [Google Scholar] [CrossRef]
- Smith, J.R.M. The logic of animal conflict (Reprinted from: Nature 246:15-18,1973). In Foundations of Animal Behavior: Classic Papers with Commentaries; 1996; Available online: https://www.webofscience.com/wos/alldb/full-record/BCI:BCI199799389240 (accessed on 13 August 2022).
- Chen, D.S.; Yan, G.P. Evolutionary model and countermeasures of industry-university-research collaborative innovation in local engineering college from the perspective of game theory. J. Coast. Res. 2020, 104, 951–955. [Google Scholar] [CrossRef]
- Guo, F.; Wang, J.W.; Liu, D.H.; Song, Y.H. Evolutionary process of promoting construction safety education to avoid construction safety accidents in china. Int. J. Environ. Res. Public Health 2021, 18, 10392. [Google Scholar] [CrossRef] [PubMed]
- Lipowski, A.; Ferreira, A.L. A model of student’s dilemma. Phys. A Stat. Mech. Its Appl. 2005, 354, 539–546. [Google Scholar] [CrossRef]
- Perc, M. Phase transitions in models of human cooperation. Phys. Lett. A 2016, 380, 2803–2808. [Google Scholar] [CrossRef]
- Gates, J.M.; Weibull, J.W. Evolutionary game theory—weibull, jw. Am. J. Agric. Econ. 1996, 78, 850–853. [Google Scholar] [CrossRef]
- Szolnoki, A.; Perc, M. Reward and cooperation in the spatial public goods game. EPL 2010, 92, 6. [Google Scholar] [CrossRef]
- Hand, M. On the necessity of school punishment. Theory Res. Educ. 2020, 18, 10–22. [Google Scholar] [CrossRef]
- Quinteros, M.J.; Villena, M.J.; Villena, M.G. An evolutionary game theoretic model of whistleblowing behaviour in organizations. IMA J. Manag. Math. 2022, 33, 289–314. [Google Scholar] [CrossRef]
- Li, X.; Wang, C.; Alashwal, A.; Bora, S. Game analysis on prefabricated building evolution based on dynamic revenue risks in china. J. Clean. Prod. 2020, 267, 21. [Google Scholar] [CrossRef]
- Zhou, Y.; Zhao, D.J.; Li, B.; Wang, H.Y.; Tang, Q.Q.; Zhang, Z.Z. Fatigue damage mechanism and deformation behaviour of granite under ultrahigh-frequency cyclic loading conditions. Rock Mech. Rock Eng. 2021, 54, 4723–4739. [Google Scholar] [CrossRef]
- Chen, S.-H. An evolutionary game study of an ecological industry chain based on multi-agent simulation: A case study of the Poyang Lake eco-economic zone. Sustainability 2017, 9, 1165. [Google Scholar] [CrossRef]
- Kong, X.; Xu, Q.; Zhu, T. Dynamic evolution of knowledge sharing behavior among enterprises in the cluster innovation network based on evolutionary game theory. Sustainability 2020, 12, 75. [Google Scholar] [CrossRef]
- Liu, W.; Yang, J. The evolutionary game theoretic analysis for sustainable cooperation relationship of collaborative innovation network in strategic emerging industries. Sustainability 2018, 10, 4585. [Google Scholar] [CrossRef]
- Yan, H.; Wei, H.; Wei, M. Exploring tourism recovery in the post-COVID-19 period: An evolutionary game theory approach. Sustainability 2021, 13, 9162. [Google Scholar] [CrossRef]
- Kowalski, M.J.; Froil, J.M. Parent perceptions of elementary classroom management systems and their children’s motivational and emotional responses. Soc. Psychol. Educ. 2020, 23, 433–448. [Google Scholar] [CrossRef]
- Deslandes, R.; Cloutier, R. Adolescents’ perception of parental involvement in schooling. Sch. Psychol. Int. 2002, 23, 220–232. [Google Scholar] [CrossRef]







| Notations | Explanation |
|---|---|
| x, y, z | Probability of school, student, and parent strategy choice to be cooperative. |
| a | The management cost when the school game strategy is selected as cooperation. |
| R | The school game strategy chooses as the reward for cooperation. |
| b | The penalty cost when the school game strategy is chosen to be non-cooperative. |
| h | Learning benefits when students choose their game strategy as cooperation. |
| c | Students get the school’s reward when their game strategy chooses to cooperate. |
| n | Punishment cost of gaining school when student strategy chooses to cooperate. |
| m | Students sacrifice study time for gains. |
| d | Parents get benefits when they participate in the game. |
| g | Participation costs when parents participate in gaming. |
| k | Under the condition of parental participation, students are punished by parents when they choose not to cooperate strategically. |
| e | Under the condition of parental participation, students are rewarded by parents when they choose to cooperate strategically. |
| I’ | Under the condition of parental participation, the additional penalty cost is obtained when the school strategy chooses to be non-cooperative. |
| I | Under the condition of parental participation, parents supervise the school and do not carefully supervise the reward income obtained. |
| Schools | ||
| Students | Cooperation x | Non-Cooperation |
| Cooperation y | − c; | ; |
| Non-cooperation | ; | ; m |
| Schools | ||||
| Cooperation x | Non-cooperation | |||
| Students | Parents | Parents | ||
| Cooperation z | Non-cooperation | Cooperation z | Non-cooperation | |
| Cooperation y | ; ; | ; ; | ; ; | ; ; |
| Non-cooperation | ; ; | ; ; | ; ; | ; m; |
| Equilibrium | Symbol | Symbol | State | ||
|---|---|---|---|---|---|
| (0,0) | − | + b + c − 2m | N | Instability point | |
| (0,1) | N | + b + 2m − 2c | + | Instability point | |
| (1,0) | N | + (c + n + h − 2m) | N | Uncertain | |
| (1,1) | N | + (c + n + h − 2m) | N | Uncertain | |
| 0 | 0 | 0 | 0 | Instability point |
| Equilibrium | Symbol | Symbol | Symbol | State | |||
|---|---|---|---|---|---|---|---|
| − | N | N | Uncertain | ||||
| − | N | N | Uncertain | ||||
| − | N | d | + | Instability point | |||
| + | N | + | Instability point | ||||
| + | N | − | Instability point | ||||
| + | N | N | Instability point | ||||
| − | N | − | Uncertain | ||||
| + | N | + | Instability point |
| Parameters | Values | Parameters | Values |
|---|---|---|---|
| a | m | ||
| R | n | ||
| b | d | ||
| k | |||
| h | I | ||
| c | e |
Publisher’s Note: MDPI stays neutral with regard to jurisdictional claims in published maps and institutional affiliations. |
© 2022 by the authors. Licensee MDPI, Basel, Switzerland. This article is an open access article distributed under the terms and conditions of the Creative Commons Attribution (CC BY) license (https://creativecommons.org/licenses/by/4.0/).
Share and Cite
Li, D.; Wang, Y. Online Learning Management for Primary and Secondary Students during the COVID-19 Epidemic: An Evolutionary Game Theory Approach. Sustainability 2022, 14, 12416. https://doi.org/10.3390/su141912416
Li D, Wang Y. Online Learning Management for Primary and Secondary Students during the COVID-19 Epidemic: An Evolutionary Game Theory Approach. Sustainability. 2022; 14(19):12416. https://doi.org/10.3390/su141912416
Chicago/Turabian StyleLi, Dayin, and Yubiao Wang. 2022. "Online Learning Management for Primary and Secondary Students during the COVID-19 Epidemic: An Evolutionary Game Theory Approach" Sustainability 14, no. 19: 12416. https://doi.org/10.3390/su141912416
APA StyleLi, D., & Wang, Y. (2022). Online Learning Management for Primary and Secondary Students during the COVID-19 Epidemic: An Evolutionary Game Theory Approach. Sustainability, 14(19), 12416. https://doi.org/10.3390/su141912416

