Next Article in Journal
The Effects of Corporate Social Responsibility on Corporate Reputation: The Case of Incheon International Airport
Next Article in Special Issue
Employment Outcomes of Higher Education Graduates from during and after the 2007–2008 Financial Crisis: Evidence from a Romanian University
Previous Article in Journal
Effects of Biochar and Plant Growth-Promoting Rhizobacteria on Plant Performance and Soil Environmental Stability
Previous Article in Special Issue
Revisiting Education for Sustainable Development: Methods to Inspire Secondary School Students toward Renewable Energy
 
 
Font Type:
Arial Georgia Verdana
Font Size:
Aa Aa Aa
Line Spacing:
Column Width:
Background:
Article

Comparing Gender Diversity in the Process of Higher-Education Expansion in Japan, Korea, Taiwan, and the UK for SDG 5

1
Department of Education and Futures Design, Tamkang University, New Taipei City 251301, Taiwan
2
Doctoral Program in Foresight of Educational Leadership and Technology Management, Tamkang University, New Taipei City 251301, Taiwan
*
Author to whom correspondence should be addressed.
Sustainability 2022, 14(17), 10929; https://doi.org/10.3390/su141710929
Submission received: 12 July 2022 / Revised: 22 August 2022 / Accepted: 29 August 2022 / Published: 1 September 2022

Abstract

Ensuring equal access to affordable higher education for women and men has become a crucial target of the UN’s SDG 5, while gender disparity persists in various systems. This study employed per capita GDP, the gross enrollment ratio (GER), and the gender parity index (GPI) to demonstrate how higher-education systems have expanded, resulting in the transformation of gender parity. We selected Japan, Korea, Taiwan, and the UK as research targets, using both cross correlation functions and trend analyses to compare the progress of higher-education systems. Considering the economic factor impacting higher-education expansion, this study found that the series of per capita GDP impacted the GERs in emerging economies, for example, Korea and Taiwan. Both the growth of per capita GDP and the extension of the GERs changed the patterns of the GPIs. The gap in gender diversity was found to be diminishing in Japan, Korea, and Taiwan, while the UK could be a unique case, in that females have become a critical mass in higher education. The results of the comparison suggested that gender disparity is likely to continue in Japan, Korea, and the UK in the future. The framework for monitoring gender parity progress is not limited to high-participation higher-education systems, and it can be extended to tackle similar issues in middle- or lower-income regions.

1. Introduction

Higher-education expansion has become a significant global phenomenon. Worldwide, the gross enrolment ratio (GER) in tertiary education increased from 10% in 1972 to 32% in 2012, and in 54 national systems the GER reached 50%, compared with 5 systems 20 years before. Additionally, there are 14 countries with a GER of 75% or more in the world [1]. Currently, about a third of the world’s college-age population participate in higher education [2], but issues around gender parity persist. For example, the GER in tertiary education for males increased from 19% to 36%, while that for females rose from 19% to 41%. Regarding study levels, in 2019, women accounted for 46% of all doctoral-level students, up from 41% in 2001. However, this figure drops to 29% in low-income countries [3]. Higher-education systems may follow rational processes to extend their numbers, with varying outcomes. For example, the GER in Japan is 63.58% and 59.41% in the UK, whereas it is 93.78% in Korea [4]. Following the example of regions with high participation, the government of Taiwan has implemented an expansion policy. In Taiwan, the GER increased to 85.31% in 2007. In view of the expansion phenomenon, a question we need to ask is whether expansion is likely to continue in the future and be unlimited. What are the likely consequences for the system in the case of ongoing higher-education expansion?
UNESCO’s World Atlas of Gender Equality in Education indicates that there has been an enormous growth of student numbers, with an increase of up to 500% across the globe over the last 40 years, and that women have been less involved than men in higher education [5,6]. Gender disparity has become a persistent issue in various expanding higher-education systems. As gender equality is a key feature of SDG 4 and SDG 5, particular attention needs to be paid to gender-based discrimination as well as to vulnerable groups to ensure that no one is excluded [7]. We are interested in the topic of gender parity, as it has been determined that by 2030, men and women must have equal access to affordable and excellent technical, vocational, and tertiary education, including university. This study focuses on the equal-access issues in higher-education settings. The question is how to evaluate the progress of the taskforce for a specific education system following the target of UN’s SDG 4, to “ensure inclusive and equitable quality education and promote lifelong learning opportunities for all”, and SDG 5, “achieving gender equality and empowering all women and girls”. Therefore, searching for better ways to solve the gender diversity issue has become a pressing challenge.
When we reviewed gender-related studies on higher education, we found that previous studies have investigated this topic from widely different perspectives, generally using qualitative methods to do so. For example, Crabb and Ekberg explored the role of gender in the future career plans of postgraduate research students [8], while various studies have focused on the barriers to participation [9,10]. Even though previous studies provide useful essential knowledge to tackle gender issues, there are very few studies that explore gender diversity in expanding systems using fitted quantitative methods. While this may be due to a supposition that increased participation in higher-education systems could eliminate gender disparity, we are still not sure of the relationship between higher-education expansion and gender parity. Furthermore, the trend analyses for cross-country comparisons are still very limited. Previous descriptive studies have provided persuasive information on the growth of the GER and the gender parity index (GPI), while the design of this study can offer a diverse picture and future trends to interpret the phenomena. In this sense, we employed index data to explore gender-diversity patterns in the higher-education expansion process. Why did we select Japan, Korea, Taiwan, and the UK as high-participation higher-education systems to investigate their changing patterns in terms of gender diversity? Japan, Korea, and Taiwan belong to oriental culture, while the UK has become a core country of the world academic system, and it can be used to represent western culture. Both Japan and the UK are mature economies, while Korea and Taiwan are neo-economies. The GERs in Korea and Taiwan have reached 85% at a fast speed, while the GERs in Japan and the UK have remained at the level of 60% [11,12]. We also consider Japan, Korea, Taiwan, and the UK to belong to democratic regions, which is important, as the related data for gender diversity among these four regions are available. They are a little different from those of the USA and Australia. For these reasons, we selected these four regions as our research targets. This study employed an index format to highlight how gender diversity is transforming within a high-expansion system. With these purposes in mind, this study answered the following research questions:
RQ1: To what extent is higher education expanding in the four regions?
RQ2: Has higher-education expansion significantly transformed the patterns of gender diversity with these four regions?
RQ3: What patterns of gender diversity trends in Japan, Korea, Taiwan, and the UK are expected from a comparison?
This paper first addresses the context of higher-education expansion and gender parity issues. It then provides a brief description of the research design, data transformation, and trend analyses before presenting the results of per capita GDP, GER, and GPI, respectively. After a discussion of the findings, the conclusions are drawn.

2. Literature Review

The transformation of higher education might be due to the economic or higher education system itself, which might shape the pattern of gender diversity. Previous research on higher education expansion has focused on acceptable gender parity. “Expand out” reflects how the capacity of higher education has broadened, whereas “expand up” implies that graduate education has increased [13]. Within the expanded higher education systems, there are various theories addressing these phenomena. The socio-cultural barrier theory might provide another perspective to view the gender diversity phenomenon in higher education. This section focuses on the related theories on higher education expansion and gender diversity to support the arguments in this study.

2.1. Related Theories on Higher Education Expansion

Previous studies on participation in higher education have varied widely, as shown in Trow’s three-stage theory [14] and Marginson’s study on high participation higher education [1,2]. Both studies have addressed the phenomenon in global higher education settings. Following the expansion phenomenon, the World Academic System (WAS) perspective addressed the phenomenon of expansion spread [15,16]. The related studies show that the expansion phenomenon has extended from advanced countries to most middle-income and low-income countries [17,18,19,20]. While WAS did not provide a fully explanation for the higher education expansion phenomenon [21], for example, higher education in Korea and Taiwan could be an exception in this expansion cycle.
Neo-institutionalism, known as the sociological institutionalist approach or the world society theory, provides a view of organizational change in the global cultural context [22,23]. For example, Meyer and Bromley argued that expansion is supported by widespread cultural rationalization in a stateless and liberal global society [24]. According to neo-institutionalism, higher education expansion might reflect a global diffusion with social and economic ideals, such as democratization, human rights, scientific and scholarly knowledge, and economic growth. Neo-institutionalism addresses social and economic movements to drive the development of higher education institutions.
The technical-functionalism literature views the expansion as an effective policy response to the demands of the skilled labor force [21]. Previous studies have indicated that higher education plays a central role in training young people to meet the demand for more high-skilled labor [25,26]. Hence, economic development has become an indicator that suggests the perceived need for highly educated graduates. Numerous studies offer theoretical discussions about the issue: for example, Barakat and Shields argued the expansion is not supported by human capital and functionalism [27], while “the idea of credential inflation supporting the phenomenon has extended rapidly” [28]. Woodman and Wyn indicated higher education participation may be viewed as a lifestyle choice associated with personal growth and life experiences [29]. Therefore, societal expectations are accompanied by economic development, which may impact the participation of different genders.
From the perspective of “survivalism”, Beck’s descriptions of the “risk society” provided another interpretation [30,31]. The concept of risk in the society explains why young people decide to enter higher education to “survive” in uncertain labor markets. Higher education is, therefore, increasingly a “defensive necessity” [28,32]. Moreover, uncertainty and fast technological changes will also affect unemployment directly, for example, the 4th industrial revolution and AI replacing changing jobs [33]. The development of the high-tech economy has also been affected by educational credential inflation [34], which contributes to the participation in higher education.
Based on the discussion above, higher education expansion can be interpreted from economic, social, cultural and institutional viewpoints. Can these theories be used to interpret the expansion phenomenon in the selected target regions? More evidence is needed to answer this question.

2.2. Related Theories on Gender Participating in Higher Education

Traditionally, males and females have not been paid equally in the labor market. This could very well have an impact on the number of women enrolling in higher education. Their selection may impact the relationship between fields of study and labor market outcomes [35]. Moreover, when gender parity has been considered in higher education expansion, the critical mass [36,37,38] and socio-cultural barriers theories [39,40,41] can be used to address this issue. The central concept of the critical mass theory is the production function. According to the model, once the number of women reaches a critical mass, they will no longer be strangers [38]. Moreover, Ukpong provides supportive interpretations for this phenomenon [42]. For example, males have become a critical mass in STEM programs, while female participation in such programs could be an issue or a barrier. In practice, the related widening participation policy, which might impact the participation of disadvantaged and under-represented groups [43]. According to the theory of socio-cultural barriers, it is argued that women are confronted by these barriers when participating in STEMM (science, technology, engineering, mathematics, and medicine) programs in higher education [38]. The “social” and “cultural” are linked to each other in the process of higher education participation.

2.3. Contexts of Higher Education in the Target Systems

2.3.1. Higher Education Participation in Japan

In 2015, there were 779 universities and 346 junior colleges in Japan, comprising 86 national universities, 89 local public universities and 604 private universities. In addition, there were 328 private and 18 local public junior colleges [44]. In 2018 there were approximately 2.91 million students enrolled at Japanese universities, an increase from about 2.89 million students the previous year [45]. Before 1976, Japan’s GER was at stage one (below 25%); it moved to stage two (25–50%) between 1976 and 2002, and stage three (over 50%) developed after 2002. The subsequent Act on Subsides for Private Schools in 1976 facilitated the further rapid expansion of Japanese higher education [46]. Although Japan’s population is stable, the percentage of college-age children is declining, with the number of high school students decreasing from more than five million in 1985 to under four million in 2002 [47].
In Japan, especially in the early stages of the development of a modern education system, females were at a considerable disadvantage in terms of educational opportunities available. This was despite the constitution of Japan, enacted after World War II, clearly stipulating respect for the individual and equality under the law. Since the constitution was written, Japan has pressed forward with laws in an effort to ensure gender equality and has radically improved the legal status of women [48,49]. The Basic Law for a Gender-Equal Society, which came into effect in June 1999, was to promote measures at the level of the state and local governments, as well as among the citizens to develop a gender-equal society [50,51]. It is an influential Act that might impact gender participation in higher education.

2.3.2. Higher Education Participation in Korea

Higher education in Korea has experienced an explosive expansion in recent decades. Currently, there are 189 higher education institutes, at which 2,084,807 students are enrolled [52]. It took 10 years to move from the elite stage to the mass stage (1971 to 1981) in Korea. A stage two GER (15–50%) was reached between 1982 and 1996, and stage three (over 50%) in 1996. This rapid growth continued, and the GER reached 85% in 2003, showing an increase of 35% within eight years. In 2008, the GER exceeded 100% [11].
With the start of the expansion of higher education in 1975, women’s rights began to be questioned and the humanitarian attitude that physiological differences between males and females are no reason for social discrimination took root. During the 1970s, there was a shift in the public perception of women and society began to accept that women could be competent and could pursue careers [53,54]. At the end of the 1980s, the drafting of the education policy included female education [55]. In Korea, gender parity in higher education has been a slow process and the country has only gradually begun to stress gender parity as a key component of equal opportunities to access higher education.

2.3.3. Higher Education Participation in Taiwan

Higher education in Taiwan has also expanded dramatically during the last three decades. The number of students increased from 299,486 (1976) to 576,623 (1999) and the GER rose from 15% to 50% within 23 years [56]. However, the number of enrolments has levelled off in the last decade and higher education in Taiwan has gone from experiencing rapid expansion to facing serious oversupply issues [57]. To be noted, the number of births in the region has decreased from 328,461 in 1974 to 196,973 in 2016: a decrease of 40% [58]. Given this decline, the Ministry of Education has warned that the declining birth rate will result in serious challenges to undergraduate enrolment [59].
Previous studies have revealed significant changes in gender participation in Taiwan. For example, during the later GER stages, more female than male students enrolled [60]: 15–50% or over 50%, indicating that if student numbers increase in higher education, the system will favor female students. The Gender Parity Act has been implemented at all levels of education in Taiwan and creating gender friendly campuses has become a critical indicator to evaluate the effectiveness of institutional leadership to implement this policy.

2.3.4. Higher Education Participation in the UK

According to the Implementation Report, students in the five countries with the highest number of tertiary education students (Russia, Turkey, Germany, France, and the UK) amount to 56.3% of the global total [61]. Among these countries, the UK is unique in terms of its approach to higher education and it developed the 2003 Higher Education White Paper. The rate of enrolment in higher education for those aged 18–30 increased from 30% to 50% in 2013 [62]. In the UK, there are 164 higher education institutions in the system, of which 136 are universities [63]. Statistics show that between 2012 and 2018, the total number of students enrolled in all types of higher education fluctuated between 2.26 million and 2.34 million. In 2017/18, there were about 2.34 million students [64]. Even though the UK remains dedicated to encouraging the aspirations of its youth, promoting equality, and implementing substantive development in education [65,66], the country may experience a shift from expansion to a decrease in tertiary enrolment.
In the process of its higher education expansion, the UK showed gender disparities regarding the horizontal mismatch in professional degrees [67]. Even though the UK-based Athena Swan and Gender Equality Charter Mark agendas have prompted universities to address gender disparities, it has been shown that they still continue to exist [68]. GER development in the UK may provide a unique experience in global higher education settings, both the expanding and gender parity patterns may offer good examples for developing countries to realize the future directions of their higher education systems.

2.4. Related Indices for Detecting Gender Issues

Various indices have been presented in the current literature. The first is the Gender Gap Index (GGI), introduced by the World Economic Forum in 2006. It is a framework for capturing the magnitude and scope of gender-based disparities. The second is the Gender Inequality Index (GII), which examines gender inequality in three broad areas: reproductive health, empowerment, and economic activity. Specific categories are: (a) maternal mortality ratio; (b) adolescent fertility rate; (c) seats in the national parliament; (d) population with at least a secondary education (female and male); and (e) labor force participation rate (female and male) [51]. The third is Becker’s D index, which can be used to evaluate gender parity [69]. It can extend the notion to detect the gender diversity issue. The fourth is the Gender Equality Index (GEI_EU), which is used in EU member states. It measures gender gaps considered work, money, knowledge, time, power, health, violence, and intersecting inequalities [70]. Finally, the gender parity index (GPI) has been used to evaluate gender equality in higher education for a long time [71].

2.5. Research Hypotheses

This study assumed that the GDP per capita represents economic factors, GER represents higher education expansion, and the GPI represents gender diversity. Considering the various influential factors in the expanding higher education contexts, this study developed the following assumptions to test system expansion on gender diversity:
Hypothesis 1 (H1):
The growth of GDP per capita impacts the higher education expansion of the four regions.
Hypothesis 2 (H2):
Both GER and GPI have high cross relationships among these target regions.
Hypothesis 3 (H3):
The GPI has been changed in the different expansion stages of the target regions.
Hypothesis 4 (H4):
The development of GPI reflects the trend in 2030 regardless of the culture of the regions.

3. Method

In this section, the research framework is first presented, then our method of transferring the data is explained. Considering the series data sets, the GDP per capita, GER, and GPI are transformed to identify their cross relationships. Using the Minitab package, a trend analysis is undertaken to project the GPI’s future development in the four selected regions.

3.1. Research Framework

We shaped our research framework based on previous expansion theories (Figure 1). Higher education expansion can be addressed from social, economic, cultural and institutional perspectives. Therefore, technical-functional, neo-institutional, the world academic system, and credential phenomena can be used to interpret this phenomenon in higher education systems. Both the theory of critical mass and the theory regarding barriers in female participation may impact the patterns of gender diversity. The concurrent relationships of the series data can be used to interpret the effect of higher education on gender diversity. This study was conducted by comparing, synthesizing and projecting the different processes. This framework led us to consider the following processes: First, this study investigates the GDP per capita, GER, and GPI in the selected targets. Second, higher education in Japan, Korea, Taiwan, and the UK is reviewed according to its GER and GPI, respectively. Third, we conduct a trend analysis, transforming the data and projecting future trends. Finally, synthesis is carried out, related interpretations are drawn and comparisons are made of the mass, universal stages and future stages until 2030.

3.2. Data Transformation

We collected GER and GPI data from UNESCO (2018) and the Ministry of Education in Taiwan (2019) for our research. The GER and GPI in the UK, Japan, and Korea covers 46 periods from 1971 to 2016, while the data of the Ministry of Education in Taiwan only provides 41 periods from 1976 to 2016. The GDP per capita data were cited from the World Bank and the Taiwan government’s datasets fit the comparison purpose [72]. The definition of GER is as follows [73]:
GER = 100 × [Tertiary enrolment/five-year age cohort following theoretical age of secondary education completion]
According to the definition, it implies tertiary enrolment may include foreign mobile students. Among its research targets, the UK has a very high proportion of foreign mobile students, while Korea has the highest GER. The GPI is a socioeconomic or equal index, usually designed to measure the relative access of males and females to a specific education level. According to UNESCO, the definition for GPI is [74]:
100 × [GER in higher education for females]/[GER in higher education for males]
A GPI equal to 1 indicates parity between females and males, a value less than 1 indicates disparity in favor of males and a value greater than 1 indicates disparity in favor of females. The visualized data transformations are displayed in the Results section.

3.3. Checking the Cross Correlation Function

We conducted a cross correlation function (CCF) to verify the relationships of the series with their cross-correlation coefficients (rXY). The calculation of the CCF can be defined as follows [75,76]:
r X Y k = C X Y k C X X 0 C Y Y 0 ,
where
C X Y k = 1 n t = 1 n k x t x ¯ y t + k y ¯ , k = 0 ,   1 , , n 1 , 1 n t = 1 k n x t x ¯ ) ( y t + k y ¯ , k = 1 , 2 , , n 1 ,
C X X 0 and C Y Y 0 are the sample variances of {Xt} and {Yt}. The CCF calculates the linear correlation between the series, ranging from −1 to 1. In this study, the CCF is conducted using the Statistical Package for the Social Sciences (SPSS). Based on the attribution of series data sets, we employ natural log transformation and difference. The significant cross-correlation coefficients were judged by a 0.05 significant level. The rule can be used to judge the relationship of targeted series xt and yt, for example, when rxy is positive and significant, xt is possibly the independent variable, while yt is the dependent variable in the model.
This study performed a normalized cross correlation with time shift to detect if GDP, GER, and GPI lags or leads another. SPSS and Minitab will provide visualized results for justifying.

3.4. Trend Analyses

This study conducted trend analyses to identify the GPI patterns in specific higher education systems toward 2030. We selected a model to fit a general trend for time series indices and provided forecasts. In the Minitab time series section, linear, quadratic, exponential growth, and S-curve (Pearl-Reed logistic) models are available [77]. The form of the fitted trend equation depends on the type of model that we selected. The trend analysis model and its equation are displayed as follows [77]:
Linear model: Yt = b0 + (b1 × t);
Quadratic model: Yt = b0 + b1 × t + (b2 × t2);
Exponential growth model: Yt = b0 + (b1t);
S-curve (Pearl-Reed logistic) model: Yt = (10a)/(b0 + b1 × b2t).
Yt is the variable, b0 is the constant, b1 and b2 are the coefficients, t is the value of the time unit, a can be 1 or 2, etc. The fitted trend models depend on their mean absolute percentage error (MAPE). We selected the relatively smallest MAPE as possible. For example, an MAPE equal to 5 means the average predicted accuracy has only 5% of errors. Finally, the predicted values and future trend of GPI are presented.

4. Results

Based on the research questions, we address the following topics in this section. First, we demonstrate the trends of GDP per capita, GER, and GPI in Japan, Korea, Taiwan, and the UK. Second, we display the concurrent relationships among GDP per capita, GER, and GPI in the target regions. Third, we compare the gender diversity in these four regions. Finally, we present the results of forecasting their GPI in 2030 based on the trend analyses.

4.1. Comparison of the Patterns of GDP per Capita, GER, and GPI

4.1.1. The Growth of GDP per Capita

Figure 2 shows that the growth patterns of GDP per capita of the four regions are dissimilar. Both Japan and the UK can be classified into one similar group, while Korea and Taiwan can be categorized in another similar group. Basically, the GDP per capita of Japan and the UK is higher than that of Korea and Taiwan. It is unclear whether the series data of GDP per capita exert influential effects on GER and CPI. Further detection with CCF among the selected time series data sets is therefore required.

4.1.2. The Growth of GER

GER is classified into three stages: elite (stage one), mass (stage two), and universal (stage three), as per Trow’s definition. In the UK and Korea, the GER moved from the elite state to the universal stage (GER over 50%) in 1996. In Taiwan, this occurred in 1999, while in Japan it moved to the universal stage in 2002, much later than the other regions. Figure 3 shows that Korea and Taiwan experienced explosive expansion after their higher education moved to the universal stage. This result may reflect the demand of human capital in driving the expansion in both new economies. Taking into account specific social and economic factors, Korea has reached the uppermost GER in its higher education system. Figure 3 reveals that the UK’s GER dropped significantly in the early 21st century. Both Taiwan and Korea have also shown a minor drop in their GER in the last decade. This pattern provides meaningful information for interpreting the phenomenon regarding over-expanded higher education systems. Japan is the only country in which the GER is increasing steadily.

4.1.3. Changing the Patterns of GPI

According to the interpretation of GPI, a GPI of 1 indicates that males and females have equal access to education. Within the four higher education systems, we found the GPI varies during the expansion process, as shown in Figure 4. The GPI in the UK suggests that females benefitted from education expansion. Japan and Korea’s higher education systems are still male dominated, but the gender parity issue has diminished in both expanding systems. This result indicates that the GPI pattern in Taiwan is more acceptable than in the other three regions.

4.2. Detecting the Concurrent Relationships among GDP per Capita, GER, and GPI

4.2.1. Comparison of the Relationships between GDP Per Capita and GER

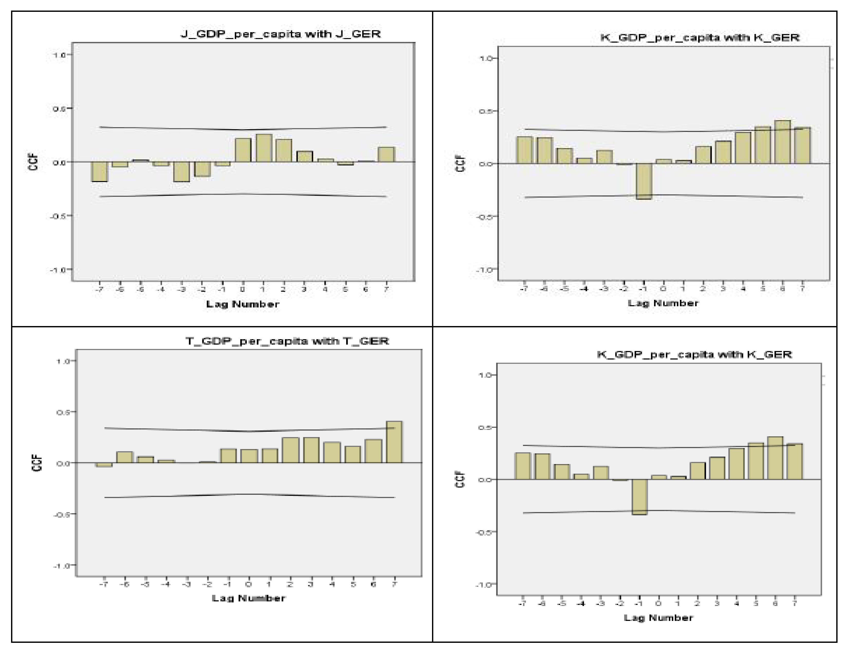
We assumed that the growth of GDP per capita might impact GER, while the result of the cross-correlation function revealed a significant influence only in Korea and Taiwan. Since the patterns of GDP per capita are similar in Japan and the UK, the result may reflect that the GDP per capita did not impact the expanded patterns of higher education in both mature economies. The results may suggest that the fast higher education expansion in Korea and Taiwan led to their growth of GDP per capita. The effects of growth of GDP per capita on GER are different from mature and new economies. The details of cross correlation with GDP per capita and GER are displayed in Figure 5.

4.2.2. Comparison of the Relationships between GDP per Capita and GPI

GDP per capita is one of the indicators that can be used to identify the changing pattern of GPI. Figure 6 shows the concurrent relationships between GDP per capita and GPI in Japan, Korea, Taiwan, and the UK. The result reveals that the series of GDP per capita will lead GPI, with a lag in Japan. Compared to the result of Japan, we found that Korea’s concurrent relationship between GDP per capita and GPI lagged. In Taiwan, the impact of GDP per capita may lead or lag GPI over a couple of years, while no concurrent relationship was found between GDP per capita and GPI in the UK.

4.2.3. Comparison of the Relationship between GER and GPI

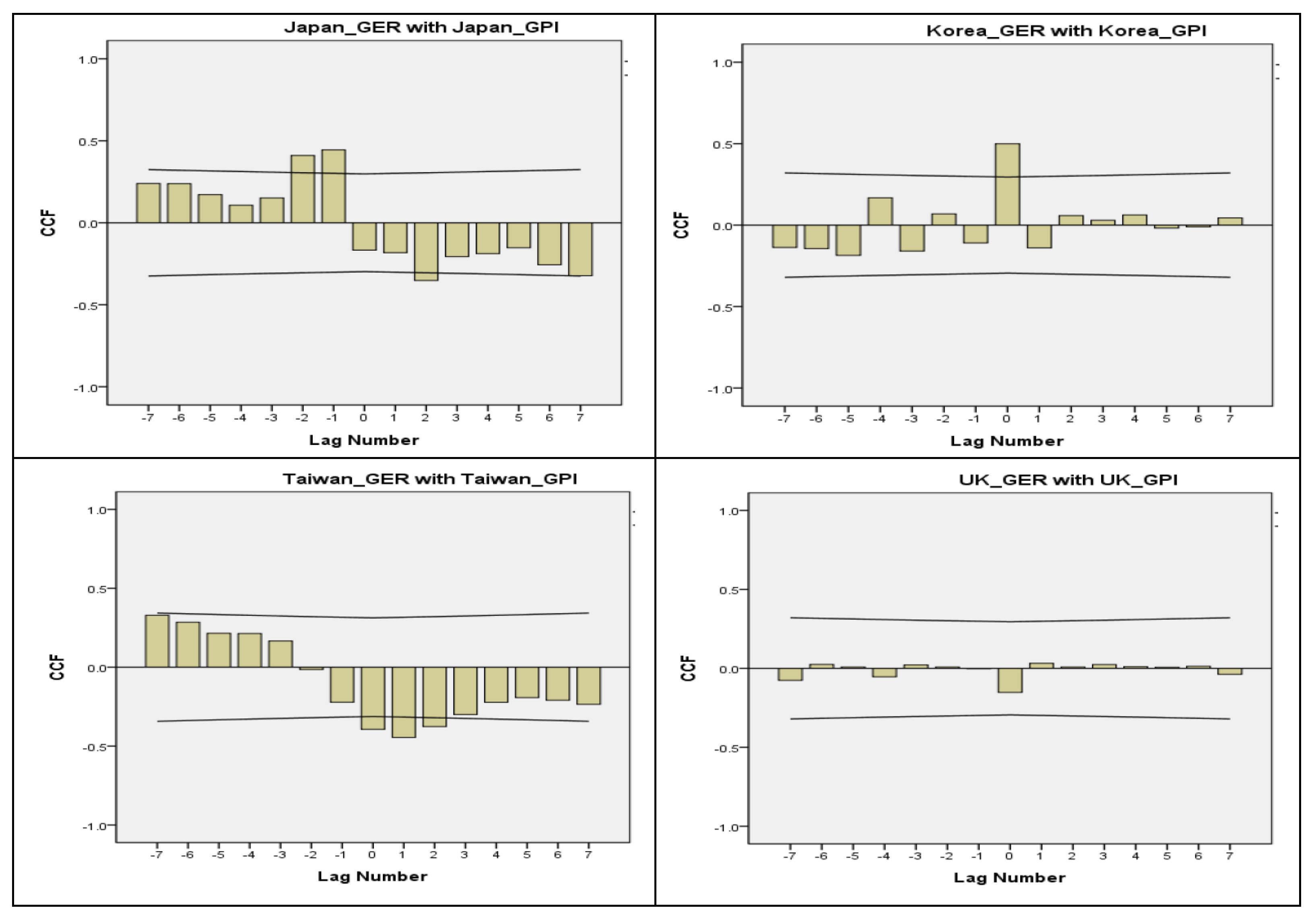
The result demonstrates the cross-correlations of GER and GPI among the four regions, as shown in Table 1. The trend of Japan’s GER and GPI shows no significant relationship: there was a lag of one or two in both series. Korea’s system shows a significant lag of 0, implying that the GER and GPI have concurrent relationships. Taiwan’s GER and GPI is significant in the 0–2 lags, with negative cross correlation, implying that the GER will lag GPI by two years. The UK’s system displays no concurrent relationship between GER and GPI. The details are presented in Figure 7. This study suggests the gender diversity of higher education in Korea, Japan, and Taiwan can be interpreted by the dependency of system expansion directly. In Korea and Taiwan, the function of higher education expansion may significantly shift the pattern of GPI, while Japan’s situation is more complicated, with the transformation of the gender diversity pattern.

4.3. Comparison of Male’s and Female’s GER

The results of the GER plots reveal that females in Japan and Korea are underrepresented in their higher education systems, whereas females in Taiwan and the UK were favored in the process of expansion, as shown in Figure 8. This reflects that female participation in higher education in Taiwan and the UK has experienced a structural change in both expanding systems. Female students in Taiwan and the UK have become critical mass in the higher education expansion process, while the gender gap in Japan and Korea still exists, regardless the higher education expansion. The findings suggest the gap of gender diversity is diminishing in Japan, while the UK provides a totally different pattern.

4.4. Forecasting GPI toward 2030

UNESCO has stated that gender parity is an integral part of its 2030 sustainable development goals (SDG 4) and has targeted this at all levels of higher education. The fitted trends were determined by their smaller MPAE (mean absolute percentage error) in different models. Table 2 displays the results of predicted GPI with fitted trend analysis for the four education systems under discussion. In the prediction of Japan’s GPI, we found both the quadratic trend and S-curve trend models fit well, although the S-curve model has a smaller MAPE (5.377). Regarding Korea’s GPI, we found the MAPE in the linear trend model is 6.498, while the MAPE in the S-curve trend model is only 5.952. In the prediction of Taiwan’s GPI, we found the S-curve trend is the model with the best fit (MAPE = 4.317). For the prediction of the UK’s GPI, it was found that the S-curve trend is the model with the best fit (MAPE = 5.034). When we reviewed the four higher education systems, we found that the GPI in Japan and Korea indicated a trend towards greater parity, while females in Taiwan will continue to be favored. In the UK, females will be dominant in the system in the near future.
The trend analysis for Japan’s GPI shows the fittest model is Yt = (101)/(9.96739 + 18.6023 × (0.929853t)). The trend forecast is that its GPI will remain even until 2030. The GPI in Korea will show a significant increase in the future, as shown by its fittest model of Yt = (101)/(8.55100 + 26.2260 × (0.961366t)). In Taiwan, there is gender parity with both males and females participating in higher education. The GPI trend is stationary. The fittest model for Taiwan is Yt = (101)/(9.22501 + 129712 × (0.829257t)). In the UK, our trend analysis of GPI shows a steady increase. The fittest model for the UK is Yt = (101)/(5.92346 + 16.9724 × (0.938881t)). The results of forecasts for the higher education systems are shown in Figure 9.

5. Discussion

SDG 4 focuses on “ensuring inclusive and equitable quality education and promoting lifelong learning opportunities for all”; While gender equality is a mission that is present across all 17 SDGs, it is explicitly addressed in SDG 5: “achieving gender equality and empowering all women and girls”. In achieving this goal, one critical element will be empowering women in and through education, including higher education [78]. This study provides an example of using an index to investigate higher education system expansion. From the perspective of GER, Japan and the UK became developed regions sooner than Korea and Taiwan (Figure 2), while there are differences in the higher education expansion patterns. It is apparent that Korea and Taiwan have experienced explosive expansion, whereas Japan has shown a steady expansion when the systems moved to the mass and universal stage, according to Trow’s classification [14]. The causes of the expansion phenomena were discussed in the earlier section of this paper. Given the declining birth rate, it is important to explore what will happen to the increased number of higher education systems that can accommodate a GER of over 75%. We suggest the new stage may provide a window to review the issues regarding high participation in expanded higher education systems: for example, unemployment, over supply, and the devaluation of the qualification. The phenomena demonstrated in the expanded higher education reveal that when the system moves to a post-universal stage (GER over 85%), expansion will diminish steadily. In this study, both Korea and Taiwan provide examples of this.
We found the expansion was shaped by government and/or market forces in response to the economic need for educated human resources. The related higher education policies may make significant progress in the GER of the four regions. We agree with Marginson’s argument that ongoing expansion from elite to mass higher education has created a set of social and psychological forces [1]. Previous studies have reviewed the phenomenon of expansion in higher education and have provided various perspectives on its causes. For example, perspectives of neo-institutionalism [22,23], world academic system [15,16,17], and credentialism [29]. From an economic perspective, higher education expansion responds to the demands of skilled workers [26]. Therefore, from a government’s, or individual’s perspective, higher education is increasingly a “defensive necessity” [28,33]. This is the main contribution of higher education expansion. In addition, Barakat and Shields assumed neither human capital theory nor functionalism adequately support the expansion policy [27]; Hirsch and Marginson addressed the credential inflation issues [2,28]. Various perspectives can offer interpretations of the expansion phenomenon at the macro level and supply relevant evidence. For example, both Korea and Taiwan have experienced fast speed expansion with these phenomena in their higher education systems.
Considering the economic factors impacting the higher education expansion phenomenon, we found the series of GDP per capita will impact GER in emerging economies, for example in Korea and Taiwan, while this impact is unclear in Japan and the UK. The GDP per capita will impact GPI; the results reveal this phenomenon is significantly in Japan, Korea, and Taiwan (Figure 5 and Figure 6). We may assume that the social and cultural context with the individual economic consideration will determine the young generation participating in higher education actively. Both the growth of GDP per capita and the extension of GER have changed the patterns of GPI. The gender diversity gap in Japan, Korea, and Taiwan has diminished, while in the UK, a unique case in which females have become a critical mass in higher education, regardless of the growth of GDP per capita and extension of GER, has emerged.
When considering gender parity within expanding systems, certain patterns can be observed in the universal stage of the higher education systems (see Figure 9). First, the GPI in both Japan and Korea is less 1, in the UK it is over 1, and in Taiwan it is near 1. This indicates that there is still gender disparity in Japan, Korea, and the UK; both Japan and Korea are male dominated, while the UK has become a female dominated system. The expansion of higher education in Taiwan has resulted in equal access to education for males and females. Second, it is of concern that even after higher education expansion, females are less able to participate in higher education in Japan and Korea. This phenomenon in Japan and Korea may be interpreted by the social-culture barriers. In the UK, access to higher education is less accessible for males than previously; this is a unique case. Third, Taiwan’s expanded higher education has become an equally accessible system for both males and females. However, the UK’s system shows different effects in the expansion process. Considering future development, the findings suggest that the UK might potentially experience problems when the growth of its GPI becomes unlimited. The acceptable level of GDP growth in the UK is not confirmed. Fourth, even though GPI shows that there is less gender disparity in Japan and Korea, the trend analysis shows that achieving gender parity toward 2030 in these regions will be difficult. Considering the contextual factors, Japan and Korea may demonstrate that social and cultural factors play crucial roles in the process of higher education expansion. According to Smith’s argument, the “social” and “cultural” are linked to each other in the process of higher education participation [38]. Japan and Korea are significant examples in the process of transforming gender diversity.

6. Limitation and Suggestion for Further Studies

Due to the limited data, this study did not conduct research regarding gender diversity in specific programs. We suggest that gender parity issues can be extended to review specific programs and deal with the issues regarding the higher education expansion process in further studies. For policy development reasons, it is necessary to create more accurate system-wide indices for detecting future trends regarding the issue of gender diversity. Although the theories presented the expansion of higher education from a macro-economic perspective, some of the differential aspects of the situation of men and women in higher education were not included in this study, such as the impact the relationship between fields of study and labor market outcomes.
Considering the current limitations, further studies may explore personal variables, such as expectations, interests, or motivations that could enrich the knowledge of this field. Moreover, high participation in higher education systems is limited in certain parts of the world; various middle or low-income regions need to be considered in further studies.

7. Conclusions

This study suggests GPI per capita, GER, and GPI with concurrent relationships can be detected if higher education with a friendly gender setting is in the process of expansion. There are two significant GER growth patterns among the four regions: the GER in Korea and Taiwan is over 80%, while in Japan and the UK it is only at a level of 60% (RQ1). Both the growth in GDP per capita and extension of GER have changed the patterns of GPI. This study found higher education expansion will transform gender diversity patterns (RQ2). For example, the gap in gender diversity has shown to have diminished in Japan, Korea, and Taiwan. This study demonstrated that the higher education expansion phenomenon and gender diversity in mass and universal systems can be detected by the trend analysis with GDP per capita, GER, and GPI in different settings (RQ3). The expanded higher education systems in Taiwan and the UK provide two different gender diversity patterns. Taiwan’s expanded higher education has become an equally accessible system for both males and females. However, the UK’s system shows the different impacts of the expansion process.
While expanding higher education to provide access opportunities is the target of SDG 4, the issue of gender parity persists in various regions. This study focused on the target of SGD 5 and its implementation issues in higher education and found that social and economic factors may contribute to higher education expansion in these four regions. Compared to how both the economy and society have expanded in the UK and Japan, higher education expansion has been relatively slow. The higher education expansion pattern is different from that of new economies, for instance, Korea and Taiwan. The GDP per capita will impact GER in new economies. The GDP per capita may impact GPI in Japan, Korea, and Taiwan. The GER will impact GPI in Japan, Korea, and Taiwan. This study found that cultural factors have become a crucial component of the society to shape the pattern of gender diversity. Japan and Korea have provided examples of this. For projecting future development, this study presents the trend analysis for four different higher education systems, transforming the data quickly and projecting future trends with different indices. The traditional autoregressive integrated moving average model (ARIMA) was also used to deal with the time series data, while trend analysis provides more flexible ways to tackle index data regardless of the shorter periods of the data.
This study demonstrated how to explore the gender diversity phenomenon, which may become an emerging issue in the mass and universal stages with fitted indices. The data sets are available and transformed by the various indices in higher education settings, for example, the GER and GPI are easy to access from the data set of UNESCO. With the UN’s “Targets for Education 2030”, we can carry the indices and monitor progress being made globally in higher education with the suggested methods. GPI is a good index to interpret the gender diversity in a comparative study. We demonstrated the issue of gender diversity, which can be explained by a fitted index. For further studies, we suggest considering the Blau index to identify gender diversity issues in various programs. The Blau index can be used to deal with multiple categories of data, which might fit further analyses for different program participations. For comparison, further studies can investigate universal provisions or specific systems for female access, for example, cases in the Middle East and Southeast Asia. This study provided a primer framework to monitor the progress of gender issues, which can be extended to tackle issues in middle or lower-income regions.

Author Contributions

Conceptualization, D.-F.C.; methodology, D.-F.C., W.-C.C. & T.-L.C.; software, validation, D.-F.C., W.-C.C. & T.-L.C.; formal analysis, D.-F.C., W.-C.C. & T.-L.C.; investigation, D.-F.C., W.-C.C. & T.-L.C.; resources, D.-F.C.; data curation, D.-F.C., W.-C.C. & T.-L.C.; writing—original draft preparation, D.-F.C., W.-C.C. & T.-L.C., writing—review and editing, D.-F.C.; visualization, D.-F.C., W.-C.C. & T.-L.C.; supervision, D.-F.C. All authors have read and agreed to the published version of the manuscript.

Funding

This research received external funding from MOST, Taiwan (MOST: 110-2410-H-032-030-).

Institutional Review Board Statement

Not applicable.

Informed Consent Statement

Not applicable.

Data Availability Statement

Most of data transformation is contained within the article. The data presented in this study are available on request from the corresponding author.

Acknowledgments

The authors thank the reviewers’ critical suggestions to polish this article. We also thank Taiwan’s government provided research funding to support this study.

Conflicts of Interest

The authors declare no conflict of interest.

References

  1. Marginson, S. High participation systems of higher education. J. High. Educ. 2016, 87, 243–271. [Google Scholar] [CrossRef]
  2. Marginson, S. The worldwide trend to high participation higher education: Dynamics of social stratification in inclusive systems. High. Educ. 2016, 72, 413–434. [Google Scholar] [CrossRef]
  3. Bothwell, E.; Roser Chinchilla, J.F.; Deraze, E.; Ellis, R.; Galán-Muros, V.; Gallegos, G.; Mutize, T. THE Report: Gender Equality: How Global Universities are Performing, Part 2; UNESCO: Paris, France, 2022; Available online: https://www.timeshighereducation.com/digital-editions/gender-equality-how-global-universities-are-performing-part-2 (accessed on 10 August 2022).
  4. UNESCO Institute for Statistics. UIS Statistics—Gross Enrolment Ratio by Level of Education. 2018. Available online: http://data.uis.unesco.org/ (accessed on 20 March 2022).
  5. UNESCO. World Atlas on Gender Equality in Education. 2012. Available online: http://www.unesco.org/new/typo3temp/pics/d7af2fe604.jpg (accessed on 10 January 2022).
  6. David, M.E. Women and gender equality in higher education? Educ. Sci. 2015, 5, 10–25. [Google Scholar] [CrossRef]
  7. UNESCO. Education 2030: Incheon Declaration and Framework for Action for the Implementation of Sustainable Development Goal 4. 2016. Available online: https://unesdoc.unesco.org/ark:/48223/pf0000245656 (accessed on 15 March 2022).
  8. Crabb, S.; Ekberg, S. Retaining female postgraduates in academia: The role of gender and prospective parenthood. High. Educ. Res. Dev. 2014, 33, 1099–1112. [Google Scholar] [CrossRef][Green Version]
  9. Johnsrud, L.K.; Wunsch, M.A. Barriers to success for women in academic life: Perceptions of participants in a colleague pairing program. High. Educ. Res. Dev. 1994, 13, 1–12. [Google Scholar] [CrossRef]
  10. Kandiko Howson, C.B.; Coate, K.; de St Croix, T. Mid-career academic women and the prestige economy. High. Educ. Res. Dev. 2018, 37, 533–548. [Google Scholar] [CrossRef]
  11. Chen, T.L.; Chang, D.-F. Predicting the concurrent relationships between GDP and GER expansion in Japan and Korea by using ARIMAX. ICIC Express Lett. Part B Appl. 2020, 11, 389–395. [Google Scholar]
  12. Chang, D.-F.; Kang, C.-Y. Trajectory gender parity in UK higher education by using ARIMA. ICIC Express Lett. Part B Appl. 2019, 10, 919–927. [Google Scholar]
  13. UNESCO Institute for Statistics. Higher Education in Asia: Expanding Out, Expanding Up; UNESCO-UIS: Montreal, QC, Canada, 2014. [Google Scholar]
  14. Trow, M. Problems in the Transition from Elite to Mass Higher Education. ERIC (ED 091983). 1973. Available online: http://files.eric.ed.gov/fulltext/ED091983.pdf (accessed on 5 February 2022).
  15. Altbach, P.G. Globalization and the university: Realities in an unequal world. In International Handbook of Higher Education, Volume 1; Forest, J.J., Altbach, P.G., Eds.; Springer: Dordrecht, The Netherlands, 2006; pp. 121–140. [Google Scholar]
  16. Alatas, S.F. Academic dependency and the global division of labor in the social sciences. Cur. Soc. 2003, 51, 599–613. [Google Scholar] [CrossRef]
  17. Chapman, D.W.; Chien, C.-L. Dilemmas of expansion: The growth of graduate education in Malaysia and Thailand. High. Educ. Stud. 2015, 5, 1–10. [Google Scholar] [CrossRef][Green Version]
  18. Ilie, S.; Rose, P. Is equal access to higher education in South Asia and sub-Saharan Africa achievable by 2030? High. Educ. 2016, 72, 435–455. [Google Scholar] [CrossRef]
  19. Msigwa, F.M. Widening participation in higher education: A social justice analysis of student loans in Tanzania. High. Educ. 2016, 72, 541–556. [Google Scholar] [CrossRef]
  20. Schendel, R.; McCowan, T. Expanding higher education systems in low- and middle income countries: The challenges of equity and quality. High. Educ. 2016, 72, 407–411. [Google Scholar] [CrossRef]
  21. Wright, E.; Horta, H. Higher education participation in “high-income” universal higher education systems: “Survivalism” in the risk society. Asian Educ. Dev. Stud. 2018, 7, 184–204. [Google Scholar] [CrossRef]
  22. Powell, W.W.; DiMaggio, P.J. The New Institutionalism in Organizational Analysis; University of Chicago Press: Chicago, IL, USA, 1991. [Google Scholar]
  23. Drori, G.S.; Meyer, J.W.; Hwang, H. Globalization and Organization: World Society and Organizational Change; Oxford University Press: Oxford, UK, 2006. [Google Scholar]
  24. Meyer, J.W.; Bromley, P. The worldwide expansion of organization. Soc. Theo. 2013, 31, 366–389. [Google Scholar] [CrossRef]
  25. Altbach, P.G. Advancing the national and global knowledge economy: The role of research universities in developing countries. Stud. High. Educ. 2013, 38, 316–330. [Google Scholar] [CrossRef]
  26. Wolff, E.N.; Baumol, W.J.; Saini, A.N. A comparative analysis of education costs and outcomes: The United States vs other OECD countries. Eco. Educ. Rev. 2014, 39, 1–21. [Google Scholar] [CrossRef]
  27. Barakat, B.; Shields, R. Just Another Level? Comparing Quantitative Patterns of Global School and Higher Education Expansion; Vienna Institute of Demography Working Papers No. 5/2016; Austrian Academy of Sciences (ÖAW), Vienna Institute of Demography (VID): Vienna, Austria, 2016. [Google Scholar]
  28. Hirsch, F. Social Limits to Growth; Harvard University Press: Boston, MI, USA, 1976. [Google Scholar]
  29. Woodman, D.; Wyn, J. Youth and Generation: Rethinking Change and Inequality in the Lives of Young People; Sage: London, UK, 2015. [Google Scholar]
  30. Beck, U. Risk Society: Towards a New Modernity; Sage: London, UK, 1992. [Google Scholar]
  31. Beck, U. World Risk Society; Polity: Cambridge, UK, 1999. [Google Scholar]
  32. Marginson, S. The Dream is Over: The Crisis of Clark Kerr’s California Idea of Higher Education; University of California Press: Oakland, CA, USA, 2016. [Google Scholar]
  33. Aoun, J.E. Robot-Proofs: Higher Education in the Age of Artificial Intelligence; MIT Press: Boston, MA, USA, 2017. [Google Scholar]
  34. Collins, R. Credential inflation and the future of universities. Ital. J. Soc. Educ. 2011, 2, 228–251. [Google Scholar]
  35. Yang, L. Higher education expansion and post-college unemployment: Understanding the roles of fields of study in China. Int. J. Educ. Dev. 2018, 62, 62–74. [Google Scholar] [CrossRef]
  36. Marwell, G.; Oliver, P. The Critical Mass in Collective Action: A Micro-Social Theory; Cambridge University Press: Cambridge, UK, 1993. [Google Scholar]
  37. Oliver, P. Critical Mass Theory. 2013. Available online: https://doi.org/10.1002/9780470674871.wbespm059 (accessed on 20 January 2022).
  38. Smith, E. Women into science and engineering? Gendered participation in higher education STEM subjects. Br. Educ. Res. J. 2011, 37, 993–1014. [Google Scholar] [CrossRef]
  39. Shastri, P.D. Fundamental Aspects of Translation; PH/Learning: New Delhi, India, 2012. [Google Scholar]
  40. Tinto, V. Dropout from higher education: A theoretical synthesis of recent research. Rev. Educ. Res. 1975, 45, 89–125. [Google Scholar] [CrossRef]
  41. Tinto, V. Colleges as communities: Taking research on student persistence seriously. Rev. High. Educ. 1997, 21, 167–177. [Google Scholar]
  42. Ukpong, D.E. Social and cultural barriers in translation. Hum. Soc. Stud. 2017, 6, 77–87. [Google Scholar] [CrossRef][Green Version]
  43. Harrison, N.; Waller, R. Success and impact in widening participation policy: What works and how do we know? High. Educ. Policy 2017, 30, 141–160. [Google Scholar] [CrossRef]
  44. Kuroda, C. Higher education systems and institutions, Japan. In Encyclopedia of International Higher Education Systems and Institutions; Shin, J.C., Teixeira, P., Eds.; Springer: Dordrecht, The Netherlands, 2018. [Google Scholar] [CrossRef]
  45. Statista Research Department. Total Number of University Students in Japan 2010–2018. 2019. Available online: https://www.statista.com/statistics/647929/japan-number-university-students/ (accessed on 20 December 2021).
  46. Huang, F.; Daizen, T.; Chen, L.; Horiuchi, K. Japan’s higher education and the public good. High. Educ. 2022, 83, 1297–1314. [Google Scholar] [CrossRef]
  47. Roach, E. Education in Japan. 2005. Available online: https://wenr.wes.org/2005/05/wenr-mayjune-2005-education-in-japan (accessed on 20 December 2021).
  48. Gender Equality Bureau Cabinet Office. Steps Towards Gender Equality in Japan. 2006. Available online: http://www.gender.go.jp/english_contents/pr_act/pub/pamphlet/pdf/gender-equality06.pdf (accessed on 20 December 2021).
  49. Kawana, S. Gender Equity Policies in Higher Education in Japan. 2010. Available online: https://eprints.qut.edu.au/43464/1/Sanae_Kawana_Thesis.pdf (accessed on 20 December 2021).
  50. Gelb, J. Gender Equity in Japan and the United States in the Post-War Period: The Relevance of Structure. 2011. Available online: https://www.semanticscholar.org/paper/GENDER-EQUITY-IN-JAPAN-AND-THE-UNITED-STATES-IN-THE-Gelb/31f876f5fb6fed048f2c25a9c6d98c9e7eb91634 (accessed on 10 January 2022).
  51. Assmann, S. Gender equality in Japan: The Equal Employment Opportunity Law revisited. Asia Pac. J. 2014, 12, 4211. [Google Scholar]
  52. Korean Ministry of Education and Korean Education Development Institute. Statistical Yearbook of Education; Korean Ministry of Education and Korean Education Development Institute: Seoul, Korea, 2016. [Google Scholar]
  53. Ahn, J.-H. Analysis of changes in female education in Korea from an education—labor market perspective. Asian Women 2011, 27, 114–139. [Google Scholar]
  54. Min, M.S. Reflection on gender issue in educational policy of Korea. Soc. Educ. 2002, 12, 81–97. [Google Scholar]
  55. Kim, J.I.; Yang, A.K.; Huh, H.R.; Yoo, H.O. The Women’s Education Transition Study of Korea; Korean Women’s Development Institute: Seoul, Korea, 2001. [Google Scholar]
  56. Chang, D.-F. Effects of higher education expansion on gender parity: A 65-year trajectory in Taiwan. High. Educ. 2018, 76, 449–466. [Google Scholar] [CrossRef]
  57. Wu, S.-J.; Chang, D.-F.; Hu, H. Detecting the issue of higher education over-expanded under declining enrollment times. High. Educ. Policy. 2021, 34, 747–770. [Google Scholar] [CrossRef]
  58. Ministry of Interior. The Main Directory of Dynamic Query Statistics, 2018. 2018. Available online: http://statis.moi.gov.tw/micst/stmain.jsp?sys=100 (accessed on 12 January 2022).
  59. Ministry of Education. Summary of Tertiary Education Institutes (2015–2016). 2016. Available online: http://stats.moe.gov.tw/files/main_statistics/u.xls (accessed on 12 January 2022).
  60. Chang, D.-F.; ChangTzeng, H.-C. Patterns of gender parity in the humanities and STEM programs: The trajectory under the expanded higher education system. Stud. High. Educ. 2020, 45, 1108–1120. [Google Scholar] [CrossRef]
  61. European Commission/EACEA/Eurydice. The European Higher Education Area in 2018: Bologna Process Implementation Report; Publications Office of the European Union: Belgium, Luxembourg, 2018. [Google Scholar]
  62. Hillman, N.A. Guide to the Removal of Student Number Control (HEPI Report 69); Higher Education Policy Institute: Oxford, UK, 2014. [Google Scholar]
  63. HESA, UK. Higher Education in Numbers. 2019. Available online: https://www.universitiesuk.ac.uk/facts-and-stats/Pages/higher-education-data.aspx (accessed on 12 January 2021).
  64. HESA, UK. Student Record 2017–18. 2019. Available online: https://www.statista.com/statistics/875015/students-enrolled-in-higher-education-in-the-uk/ (accessed on 12 January 2021).
  65. Gale, T.; Parker, S. Calculating student aspiration: Bourdieu, spatiality and the politics of recognition. Camb. J. Educ. 2015, 45, 81–96. [Google Scholar] [CrossRef]
  66. Konstanze, S.; Stahl, G.; Bowers-Brown, T. Constituting neoliberal subjects? Aspiration as technology of government in UK policy discourse. J. Educ. Policy 2018, 33, 327–342. [Google Scholar]
  67. Lalley, C.; Houston, J.; Gasteen, A. Gender disparities in horizontal mismatch penalties: An examination of professional degrees in the UK (2007–2015). Stud. High. Educ. 2019, 44, 2265–2280. [Google Scholar] [CrossRef]
  68. Maddrell, A.; Strauss, K.; Thomas, N.J.; Wyse, S. Mind the gap: Gender disparities still to be addressed in UK higher education geography. R. Geo. Soc. 2016, 48, 48–56. [Google Scholar] [CrossRef]
  69. Becker, G.S. The Economics of Discrimination, 2nd ed.; The University of Chicago Press: Chicago, IL, USA, 1971. [Google Scholar]
  70. European Institute for Gender Equality. Gender Equality Index 2015—Measuring Gender Equality in the European Union 2005–2012. 2015. Available online: http://eige.europa.eu/sites/default/files/documents/mh0215616enn.pdf (accessed on 15 January 2022).
  71. The World Bank. The Gross Enrolment Ratio, Tertiary, the Gender Parity Index (GPI). 2016. Available online: http://data.worldbank.org/indicator/SE.ENR.TERT.FM.ZS (accessed on 15 January 2022).
  72. UNESCO. Gender Parity Index (GPI). Available online: http://uis.unesco.org/en/glossary-term/gender-parity-index-gpi (accessed on 20 January 2021).
  73. UNESCO Institute for Statistics. Gross enrollment ratio. Available online: https://unterm.un.org/unterm/display/record/unesco/na?OriginalId=2641 (accessed on 28 August 2022).
  74. World Bank. World Development Indicators. 2021. Available online: https://data.worldbank.org/indicator/NY.GDP.PCAP.CD?locations=KR (accessed on 20 January 2022).
  75. Chatfield, C. The Analysis of Time Series: An Introduction; Chapman and Hall: London, UK, 1996. [Google Scholar]
  76. Souza, E.M.; Felix, V.B. Wavelet cross-correlation in bivariate time-series analysis. TEMA 2018, 19, 391–403. [Google Scholar] [CrossRef]
  77. Minitab. Overview for Trend Analysis. 2019. Available online: https://support.minitab.com/en-us/minitab/18/help-and-how-to/modeling-statistics/time-series/how-to/trend-analysis/before-you-start/overview/ (accessed on 10 January 2021).
  78. UN Sustainable Development Goals. Goal 5: Achieve Gender Equality and Empower All Women and Girls. Available online: https://www.un.org/sustainabledevelopment/gender-equality/ (accessed on 30 July 2022).
Figure 1. The research framework.
Figure 1. The research framework.
Sustainability 14 10929 g001
Figure 2. Comparison of GDP per capita in Japan, Korea, Taiwan, and the UK.
Figure 2. Comparison of GDP per capita in Japan, Korea, Taiwan, and the UK.
Sustainability 14 10929 g002
Figure 3. Comparison of GER among Japan, Korea, Taiwan, and the UK.
Figure 3. Comparison of GER among Japan, Korea, Taiwan, and the UK.
Sustainability 14 10929 g003
Figure 4. The transformation of GPI in higher education expansion process.
Figure 4. The transformation of GPI in higher education expansion process.
Sustainability 14 10929 g004
Figure 5. Comparison of the cross-correlation function with GDP per capita and GER among Japan, Korea, Taiwan, and the UK. 4.2.2. Comparison of the Relationships between GDP Per Capita and GPI.
Figure 5. Comparison of the cross-correlation function with GDP per capita and GER among Japan, Korea, Taiwan, and the UK. 4.2.2. Comparison of the Relationships between GDP Per Capita and GPI.
Sustainability 14 10929 g005
Figure 6. Comparison of the cross-correlation function with GDP per capita and GPI among Japan, Korea, Taiwan, and the UK.
Figure 6. Comparison of the cross-correlation function with GDP per capita and GPI among Japan, Korea, Taiwan, and the UK.
Sustainability 14 10929 g006
Figure 7. Cross correlation with GER and GPI for Japan, Korea, Taiwan, and the UK.
Figure 7. Cross correlation with GER and GPI for Japan, Korea, Taiwan, and the UK.
Sustainability 14 10929 g007
Figure 8. Comparing the GER of male and female in the four systems.
Figure 8. Comparing the GER of male and female in the four systems.
Sustainability 14 10929 g008
Figure 9. Comparison of the trend analyses of GPI in higher education systems.
Figure 9. Comparison of the trend analyses of GPI in higher education systems.
Sustainability 14 10929 g009
Table 1. Comparison of Cross correlation coefficients with GER and GPI.
Table 1. Comparison of Cross correlation coefficients with GER and GPI.
LagJapanKoreaTaiwanUK
−70.240−0.1370.329−0.076
−60.239−0.1440.2850.025
−50.172−0.1860.2150.008
−40.1070.1670.213−0.053
−30.151−0.1590.1660.022
−20.4110.069−0.0140.008
−10.444−0.109−0.222−0.003
0−0.1670.499−0.394−0.152
1−0.183−0.140−0.4450.032
2−0.3520.058−0.3770.008
3−0.2070.030−0.3000.025
4−0.1880.063−0.2230.010
5−0.152−0.018−0.1930.007
6−0.256−0.010−0.2100.013
7−0.3230.044−0.235−0.038
Table 2. Comparison of the forecasts of GPI from trend analysis until 2030.
Table 2. Comparison of the forecasts of GPI from trend analysis until 2030.
YearJapan (S-Curve)Korea(S-Curve)Taiwan (S-Curve)UK (S-Curve)
20170.9450.7891.08341.4707
20180.9500.7991.08351.4824
20190.9530.8091.08361.4935
20200.9560.8191.08371.5041
20210.9590.8291.08371.5142
20220.9620.8381.08381.5238
20230.9650.8471.08381.5329
20240.9680.8561.08391.5416
20250.9700.8651.08391.5498
20260.9720.8741.08391.5576
20270.9740.8831.08391.5650
20280.9760.8911.08391.5721
20290.9780.8991.08401.5787
20300.9800.9081.08401.5850
MAPE5.3775.9524.3175.030
Publisher’s Note: MDPI stays neutral with regard to jurisdictional claims in published maps and institutional affiliations.

Share and Cite

MDPI and ACS Style

Chang, D.-F.; Chou, W.-C.; Chen, T.-L. Comparing Gender Diversity in the Process of Higher-Education Expansion in Japan, Korea, Taiwan, and the UK for SDG 5. Sustainability 2022, 14, 10929. https://doi.org/10.3390/su141710929

AMA Style

Chang D-F, Chou W-C, Chen T-L. Comparing Gender Diversity in the Process of Higher-Education Expansion in Japan, Korea, Taiwan, and the UK for SDG 5. Sustainability. 2022; 14(17):10929. https://doi.org/10.3390/su141710929

Chicago/Turabian Style

Chang, Dian-Fu, Wen-Ching Chou, and Tien-Li Chen. 2022. "Comparing Gender Diversity in the Process of Higher-Education Expansion in Japan, Korea, Taiwan, and the UK for SDG 5" Sustainability 14, no. 17: 10929. https://doi.org/10.3390/su141710929

APA Style

Chang, D.-F., Chou, W.-C., & Chen, T.-L. (2022). Comparing Gender Diversity in the Process of Higher-Education Expansion in Japan, Korea, Taiwan, and the UK for SDG 5. Sustainability, 14(17), 10929. https://doi.org/10.3390/su141710929

Note that from the first issue of 2016, this journal uses article numbers instead of page numbers. See further details here.

Article Metrics

Back to TopTop