Automated Analysis of Australian Tropical Cyclones with Regression, Clustering and Convolutional Neural Network
Abstract
:1. Introduction
- This paper reports the most comprehensive study involving cyclone datasets from 17 January 1907 to 11 May 2022, including 1067 Australian cyclones and 28,713 records with almost 80 cyclone-related parameters. The proposed methodology provides AI-based insights on over 4.737 × 108234 scenarios.
- Using automated AI-driven regression analysis, we discovered and explained 33 factors or dimensions that directly influence decreases in central pressure.
- With automated k-means clustering, this is first study that answered strategic questions such as, “When is the central pressure of cyclones more likely to be low?” by discovering four clusters and ranking them (i.e., with respect to average central pressure).
- CNN-based deep learning automatically led to the discovery of 12 anomalies on Australian cyclone events with abnormally high wind speeds, at 70% sensitivity of the anomaly detection algorithm. Moreover, we reported detailed experimentation results on varying sensitivities of anomaly detection algorithms, which has never been reported in previous studies [8,9,15,16,17,18].
- Unlike previous studies in [8,9,15,16,17,18], this study generated a dashboard that would allow decision-makers to make strategic evidence-based policy decisions on Australian tropical cyclones. This dashboard was deployed on multiple platforms such as iOS, Android, and Windows, so that it could be easily adopted by disaster strategists, planners, and researchers.
- What factors influence a cyclone’s central pressure?
- How do these factors create a cyclone with lower central pressure?
- How can we identify the characteristics of cyclone events with the lowest central pressure?
- When did we witness the strongest cyclones with the highest damage potential?
- What characteristics generate strong cyclones with higher wind speeds?
2. Materials and Methods
2.1. Data Source
2.2. Study Area
2.3. Algorithms for Analysis
2.3.1. Regression
2.3.2. K-Means Clustering
2.3.3. CNN-Based Anomaly Detection
- Perform Fourier transform to obtain the log amplitude spectrum.
- Calculate the SR.
- Perform inverse Fourier transform, which transforms the sequence back to the spatial domain.
- Detect all the anomalies within the time series (i.e., any values that lie outside the threshold range).
- Identify the main drivers of these anomalies.
- Explain the results in a natural language (explanation of the root cause) using NLP [31].
3. Results
3.1. Results on Regression
- What factors influence a cyclone’s central pressure?
- How do these factors create a cyclone with lower central pressure?
- Explain why.
3.2. Results on Clustering
3.3. Results on Anomaly Detection
- When did we witness the strongest cyclones with the highest damage potential?
- What characteristics generate strong cyclones with higher wind speeds?
- Explain why.
4. Discussion
- {Low}
- {Medium}
- {Extreme}
- {Low, Medium}
- {Low, Extreme}
- {Medium, Extreme}
- {Low, Medium, Extreme}
5. Conclusions
Author Contributions
Funding
Institutional Review Board Statement
Informed Consent Statement
Data Availability Statement
Acknowledgments
Conflicts of Interest
References
- Australian Business Roundtable. Natural Disaster Costs to Reach $39 Billon Per Year by 2050. 2021. Available online: http://australianbusinessroundtable.com.au/assets/reports/media-release-nov-11.pdf (accessed on 6 June 2022).
- Australian Business Roundtable. Special Report: Update to the Economic Costs of Natural Disasters in Australia. 2021. Available online: http://australianbusinessroundtable.com.au/our-research (accessed on 6 June 2022).
- United Nations. Early Warning Systems. Available online: https://www.un-spider.org/risks-and-disasters/early-warning-systems#no-back (accessed on 30 November 2021).
- Alam, E.; Bhuiyan, R. Tornado hazard in Bangladesh: Nature, loss and coping. Chittagong Univeristy J. Sci. 2005, 29, 97–104. [Google Scholar]
- World Bank. Economics for Disaster Prevention and Preparedness in Europe. 4 June 2021. Available online: https://www.worldbank.org/en/news/feature/2021/06/04/economics-for-disaster-prevention-and-preparedness-in-europe (accessed on 2 December 2021).
- Sufi, F.K.; Alsulami, M. Knowledge Discovery of Global Landslides Using Automated Machine Learning Algorithms. IEEE Access 2021, 9, 131400–131419. [Google Scholar] [CrossRef]
- Sufi, F.K. AI-Landslide: Software for acquiring hidden insights from global landslide data using Artificial Intelligence. Softw. Impacts 2021, 10, 100177. [Google Scholar] [CrossRef]
- Sufi, F.; Alam, E.; Alsulami, M. A New Decision Support System for Analyzing Factors of Tornado Related Deaths in Bangladesh. Sustainability 2022, 14, 6303. [Google Scholar] [CrossRef]
- Sufi, F.K. AI-Tornado: An AI-based Software for analyzing Tornadoes from disaster event dataset. Softw. Impacts 2022, 11, 100357. [Google Scholar] [CrossRef]
- Sufi, F.; Alam, E.; Islam, A. A Scenario-based Case Study: AI to analyse casualties from landslides in Chittagong Metropolitan Area, Bangladesh. Nat. Hazards Earth Syst. Sci. Dis. 2022, preprint. [Google Scholar]
- Sufi, F.; Khalil, I. Automated Disaster Monitoring from Social Media Posts using AI based Location Intelligence and Sentiment Analysis. IEEE Transactions on Computational Social Systems, 2022; in press. [Google Scholar] [CrossRef]
- Sufi, F.K. AI-SocialDisaster: An AI-based software for identifying and analyzing natural disasters from social media. Softw. Impacts 2022, 11, 100319. [Google Scholar] [CrossRef]
- Australian Government, Bureau of Meteorology. Tropical Cyclone Databases. 2022. Available online: http://www.bom.gov.au/cyclone/tropical-cyclone-knowledge-centre/databases/ (accessed on 6 June 2022).
- Australian Government, Bureau of Meteorology. Tropical Cyclone Database: Structure Specification. 2022. Available online: http://www.bom.gov.au/cyclone/history/database/TC_Database_Structure_Oct2011.pdf (accessed on 6 June 2022).
- Nicholls, N.; Landsea, C.; Gill, J. Recent trends in Australian region tropical cyclone activity. Meteorol. Atmos. Phys. 1998, 65, 197–205. [Google Scholar] [CrossRef]
- Dare, R.A.; Davidson, N.E. Characteristics of Tropical Cyclones in the Australian Region. Mon. Weather Rev. 2004, 132, 3049–3065. [Google Scholar] [CrossRef]
- Aleskerov, F.; Demin, S.; Richman, M.B.; Shvydun, S.; Trafalis, T.B.; Yakuba, V. Constructing an Efficient Machine Learning Model for Tornado Prediction. Int. J. Inf. Technol. Decis. Mak. 2020, 19, 5. [Google Scholar] [CrossRef]
- Diaz, J.; Joseph, M.B. Predicting property damage from tornadoes with zero-inflated neural networks. Weather Clim. Extrem. 2019, 25, 100216. [Google Scholar] [CrossRef]
- Chen, Z.; Wagner, M.; Das, J.; Doe, R.K.; Cerveny, R.S. Data-Driven Approaches for Tornado Damage Estimation with Unpiloted Aerial Systems. Remote Sens. 2021, 13, 1669. [Google Scholar] [CrossRef]
- Ferrari, A. The Importance of Star Schemas in Power BI. Available online: https://www.sqlbi.com/articles/the-importance-of-star-schemas-in-power-bi/ (accessed on 2 June 2021).
- Microsoft Power, B.I. Download Power BI Desktop. 2021. Available online: https://app.powerbi.com/ (accessed on 1 August 2022).
- Sufi, F.K.; Alsulami, M. Automated Multidimensional Analysis of Global Events With Entity Detection, Sentiment Analysis and Anomaly Detection. IEEE Access 2021, 9, 152449–152460. [Google Scholar] [CrossRef]
- Sufi, F.K. AI-GlobalEvents: A Software for analyzing, identifying and explaining global events with Artificial Intelligence. Softw. Impacts 2021, 11, 100218. [Google Scholar] [CrossRef]
- Sufi, F.K. Identifying the drivers of negative news with sentiment, entity and regression analysis. Int. J. Inf. Manag. Data Insights 2022, 2, 100074. [Google Scholar] [CrossRef]
- Dube, K.; Chapungu, L.; Fitchett, J. Meteorological and Climatic Aspects of Cyclone Idai and Kenneth. In Cyclones in Southern Africa; Sustainable Development Goals Series; Springer: Cham, Switzerland, 2021. [Google Scholar]
- Yu, H.-F.; Hsieh, C.-J.; Chang, K.-W.; Lin, C.-J. Large Linear Classification When Data Cannot Fit in Memory. In Proceedings of the KDD’10: 16th ACM SIGKDD International Conference on Knowledge Discovery and Data Mining, Washington, DC, USA, 24–28 July 2010. [Google Scholar]
- Matthies, H.; Strang, G. The solution of non linear finite element equations. Int. J. Numer. Methods Eng. 1979, 14, 1613–1626. [Google Scholar] [CrossRef]
- Nocedal, J. Updating Quasi-Newton Matrices with Limited Storage. Math. Comput. 1980, 35, 773–782. [Google Scholar] [CrossRef]
- Ren, H.; Xu, B.; Wang, Y.; Yi, C.; Huang, C.; Kou, X.; Xing, T.; Yang, M.; Tong, J.; Zhang, Q. Time-Series Anomaly Detection Service at Microsoft. In Proceedings of the KDD’19: 25th ACM SIGKDD International Conference on Knowledge Discovery & Data Mining, Anchorage, AK, USA, 4–8 August 2019. [Google Scholar]
- Zhao, R.; Ouyang, W.; Li, H.; Wang, X. Saliency detection by multi-context deep learning. In Proceedings of the IEEE Conference on Computer Vision and Pattern Recognition, Boston, MA, USA, 7–12 June 2015. [Google Scholar]
- Microsoft Documentation. Choosing a Natural Language Processing Technology in Azure. 25 February 2020. Available online: https://docs.microsoft.com/en-us/azure/architecture/data-guide/technology-choices/natural-language-processing (accessed on 21 August 2021).
- Microsoft Documentation. What Is Language Detection in Azure Cognitive Service for Language? 30 July 2022. Available online: https://docs.microsoft.com/en-us/azure/cognitive-services/text-analytics/language-support?tabs=language-detection (accessed on 1 August 2022).
- Elsner, J.B.; Schroder, Z. Tornado Damage Ratings Estimated with Cumulative Logistic Regression. J. Appl. Meteorol. Climatol. 2019, 58, 2733–2741. [Google Scholar] [CrossRef] [Green Version]
- Sufi, F.; Alsulami, M. AI-based Automated Extraction of Location-Oriented COVID-19 Sentiments. Comput. Mater. Contin. CMC 2022, 72, 3631–3649. [Google Scholar]
- Sufi, F.; Alsulami, M. A Novel Method of Generating Geospatial Intelligence from Social Media Posts of Political Leaders. Information 2022, 13, 120. [Google Scholar] [CrossRef]
- Sufi, F.; Razzak, I.; Khalil, I. Tracking Anti-Vax Social Movement Using AI based Social Media Monitoring. IEEE Transactions on Technology and Society, 2022; in press. [Google Scholar] [CrossRef]
- Paliwal, M.; Patwardhan, A. Analysis of Cyclone Tracks of North Indian Ocean Using Cluster Analysis. In Monitoring and Prediction of Tropical Cyclones in the Indian Ocean and Climate Change; Springer: Dordrecht, The Netherlands, 2014; pp. 89–96. [Google Scholar]
- Richman, M.B.; Leslie, L.M.; Ramsay, H.A.; Klotzbach, P.J. Reducing Tropical Cyclone Prediction Errors Using Machine Learning Approaches. Procedia Comput. Sci. 2017, 114, 314–323. [Google Scholar] [CrossRef]
- European Commission Joint Research Centre. Tropical Cyclone IDAI: Analysis of the Wind, Rainfall and Storm Surge Impact. 9 April 2019. Available online: https://www.humanitarianresponse.info/sites/www.humanitarianresponse.info/files/documents/files/joint_research_centre_analysis_of_wind_rainfall_and_storm_surge_impact_09_april_2019.pdf (accessed on 1 August 2022).
- Wang, Z.; Zhao, J.; Huang, H.; Wang, X. A Review on the Application of Machine Learning Methods in Tropical Cyclone Forecasting. Front. Earth Sci. 2022, 10, 902596. [Google Scholar] [CrossRef]












1. When DVORAK_CL_NO is 7, the average of Central Pressure decreases by 70.33![]() | 2. When DVORAK_CL_NO is 6.5, the average of Central Pressure decreases by 64.28 |
3. When DVORAK_CL_NO is 6, the average of Central Pressure decreases by 52.06![]() | 4. When DVORAK_CL_NO is 5.5, the average of Central Pressure decreases by 41.09![]() |
5. When MN_EYE_RAD is 0–28, the average of Central Pressure decreases by 40.19![]() | 6. When MN_RADIUS_HF_WIND is more than 0, the average of Central Pressure decreases by 38.95![]() |
7. When POSITION_METHOD is 4, the average of Central Pressure decreases by 38.06![]() | 8. When CYC_TYPE is 40, the average of Central Pressure decreases by 38.03![]() |
9. When MN_EYE_RAD_METHOD is 1, the average of Central Pressure decreases by 34.46![]() | 10. When DVORAK_CL_NO is 5, the average of Central Pressure decreases by 30.16![]() |
11. When Name is GAIL, the average of Central Pressure decreases by 27.02![]() | 12. When MN_RADIUA_SF_SECNE is more than 0, the average of Central Pressure decreases by 26.95![]() |
13. When MN__RADIUS_SF_SECNW is more than 0, the average of Central Pressure decreases by 26.94![]() | 14. When MN_RADIUS_GF_WIND is more than 111, the average of Central Pressure decreases by 23.36![]() |
15. When MN_RADIUS_SECNE is more than 167, the average of Central Pressure decreases by 23.06![]() | 16. When MN_RADIUS_SECNW is more than 167, the average of Central Pressure decreases by 21.72![]() |
17. When POSITION_METHOD 6, the average of Central Pressure decreases by 20.78![]() | 18. When DVORAK_CL_NO is 4.5 is more than 167, the average of Central Pressure decreases by 20.17![]() |
19. When MN_RADIUS_OUTER_ISOB… is more than 450, the average of Central Pressure decreases by 15.08![]() | 20. When MAX_REP_WIND_SPD is more than 19, the average of Central Pressure decreases by 13.89![]() |
21. When Maximum wind speed goes up 11.71 is more than 167, the average of Central Pressure decreases by 11.48![]() | 22. When MAX_REP_WIND_LAT is between −25.3 and −16.9, the average of Central Pressure decreases by 9.74![]() |
23. When TYPE is T, the average of Central Pressure decreases by 9.5![]() | 24. When LON is less 87.3 or less, the average of Central Pressure decreases by 9.07![]() |
25. When LON is between 107.6 and 123.1, the average of Central Pressure decreases by 7.77![]() | 26. When LAT is between −26.2 and −17.3, the average of Central Pressure decreases by 7.53![]() |
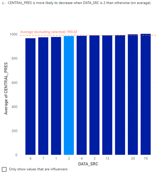
27. When MAX_WIND_SPD_METHOD is 13, the average of Central Pressure decreases by 7.4![]() | 28. When DATA_SRC is 2, the average of Central Pressure decreases by 5.89![]() |
29. When CENTRAL_PRES_METHOD is 5, the average of Central Pressure decreases by 5.28![]() | 30. When ENV_PRES is between 994 and 1004, the average of Central Pressure decreases by 4.9![]() |
31. When WIND_SPD_PER is 10, the average of Central Pressure decreases by 4.57![]() | 32. When DVORAK_CI_NO is 3.5, the average of Central Pressure decreases by 2.64![]() |
33. When MAX_WIND_GUST goes down 14.98, the average of Central Pressure decreases by 0.61![]() |
| Segment No. | Central Air Pressure (hPa) | Data Points Analyzed | Characteristics Discovered by Clustering |
|---|---|---|---|
| 1 | 939.5 | 1334 | 44 < Maximum wind speed |
| 2 | 964.9 | 2495 | 31 < Maximum wind speed ≤ 44 |
| 3 | 979.5 | 1789 | 25.7 < Maximum wind speed ≤ 31 |
| 4 | 986.7 | 2715 | 21.6 < Maximum wind speed ≤ 25.7 |
| Sensitivity of Anomaly Detction | Number of Detected Anomalies |
|---|---|
| 65% | 17 |
| 70% | 22 |
| 75% | 22 |
| 80% | 22 |
| 85% | 31 |
| 90% | 31 |
| 95% | 90 |
| 100% | 90 |
| Name of Algorithm | Applicability | Pre-Condition |
|---|---|---|
| Linear regression | Finding out the factors that drive the metric being analyzed. Analyzes the dataset, ranks the factors that matter, and displays them as key influencers. | Supports only numeric values |
| Logistic regression | Finding out the factors that drive the metric being analyzed. Analyzes the dataset, ranks the factors that matter, and displays them as key influencers. | Supports only categorical values |
| Clustering | Finding out similarities or dissimilarities among categorical values by grouping | Supports only 1 dimension/categorical value and up to 15 measures/numeric values |
| CNN-based anomaly detection | Automatically detects anomalies in time series data. Provides explanations for anomalies to help with root cause analysis. | Supports only time series data |
Publisher’s Note: MDPI stays neutral with regard to jurisdictional claims in published maps and institutional affiliations. |
© 2022 by the authors. Licensee MDPI, Basel, Switzerland. This article is an open access article distributed under the terms and conditions of the Creative Commons Attribution (CC BY) license (https://creativecommons.org/licenses/by/4.0/).
Share and Cite
Sufi, F.; Alam, E.; Alsulami, M. Automated Analysis of Australian Tropical Cyclones with Regression, Clustering and Convolutional Neural Network. Sustainability 2022, 14, 9830. https://doi.org/10.3390/su14169830
Sufi F, Alam E, Alsulami M. Automated Analysis of Australian Tropical Cyclones with Regression, Clustering and Convolutional Neural Network. Sustainability. 2022; 14(16):9830. https://doi.org/10.3390/su14169830
Chicago/Turabian StyleSufi, Fahim, Edris Alam, and Musleh Alsulami. 2022. "Automated Analysis of Australian Tropical Cyclones with Regression, Clustering and Convolutional Neural Network" Sustainability 14, no. 16: 9830. https://doi.org/10.3390/su14169830
APA StyleSufi, F., Alam, E., & Alsulami, M. (2022). Automated Analysis of Australian Tropical Cyclones with Regression, Clustering and Convolutional Neural Network. Sustainability, 14(16), 9830. https://doi.org/10.3390/su14169830


































