Efficient Production of Wild and Non-Edible Brassica juncea (L.) Czern. Seed Oil into High-Quality Biodiesel via Novel, Green and Recyclable NiSO4 Nano-Catalyst
Abstract
:Highlights
- Brassica juncea (L.) Czern. seeds contain 30% oil content and 0.43 mg KOH/g FFA content.
 - Ni-TG nano-catalyst was synthesized through a wet impregnation route.
 - The Ni-TG nano-catalyst has a crystalline size of 39.29 nm with a semispherical and ovoid shape.
 - 0.3 wt% catalyst concentration, 6:1 methanol to oil ratio at 90 °C for 120 min yielded 93% of Brassica juncea (L.) Czern. biodiesel.
 
Abstract
1. Introduction
2. Materials and Methods
2.1. Materials
2.2. Oil Extraction
2.3. Analysis of Free Fatty Acids Content of Extracted Oil
2.4. Catalyst Synthesis and Characterization
2.5. Reflux Transesterification Process for Biodiesel Synthesis
2.6. Biodiesel Characterization
2.7. Experiment Design and Statistical Analysis by Response Surface Methodology
2.8. Catalyst Reusability
2.9. Determination of Biodiesel Properties
2.10. Reaction Kinetics of Brassica juncea (L.) Czern. Seeds Oil into Biodiesel
3. Results and Discussion
3.1. Oil and Free Fatty Acids Content of B. juncea (L.) Czern. Seeds
3.2. Catalyst Characterization
3.3. Response Surface Methodology for Optimization of Synthesized Biodiesel
3.3.1. Collaborative Effect of Catalyst Concentration and Reaction Temperature
3.3.2. Collaborative Effect of Catalyst Concentration and Methanol to Oil Molar Ratio
3.3.3. Collaborative Effect of Catalyst Concentration and Reaction Time
3.3.4. Collaborative Effect of Reaction Temperature and Methanol to Oil Molar Ratio
3.3.5. Collaborative Effect of Reaction Temperature and Reaction Time
3.3.6. Collaborative Effect of Methanol to Oil Molar Ratio and Reaction Time
3.4. Biodiesel Characterization
3.4.1. Fourier Transform Infrared Spectroscopy Analysis of Brassica juncea (L.) Czern. Biodiesel
3.4.2. Gas Chromatography Mass Spectroscopic Analysis
3.4.3. Nuclear Magnetic Resonance Studies
1H NMR Analysis
13C NMR Analysis
3.5. Catalyst Reusability Test
3.6. Physicochemical Characterization of Synthesized Biodiesel
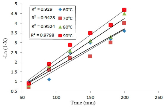
3.7. Reaction Kinetics of Brassica juncea (L.) Czern. Biodiesel
4. Conclusions
Supplementary Materials
Author Contributions
Funding
Institutional Review Board Statement
Informed Consent Statement
Data Availability Statement
Acknowledgments
Conflicts of Interest
Abbreviations
| Al2O3 | Aluminum Oxide | 
| ANN | Artificial Neural Networking | 
| ANOVA | Analysis of Variance | 
| ASTM | American Standards and Testing Materials | 
| BJBD | Brassica juncea Biodiesel | 
| BJSO | Brassica juncea seeds oil | 
| C.V | Coefficient of Variation | 
| CCD | Central Composite Design | 
| DEE | Diethyl ether | 
| DTA | Differential Thermal Analysis | 
| EDX | Energy Dispersive X-ray | 
| EI | Electron Impact | 
| FAME | Fatty Acid Methyl Esters | 
| FFA | Free Fatty Acid | 
| FT-IR | Fourier Transform Infrared Spectroscopy | 
| F-value | the Variance of group means | 
| GCMS | Gas Chromatography Mass Spectroscopy | 
| GHG | Green House Gas | 
| JCPDS | Joint Committee on Powder Diffraction Standards | 
| LPO | Lemon Peel Oil | 
| NiSO4 | Nickle Sulfate | 
| NMR | Nuclear Magnetic Resonance | 
| p-value | Probability of Obtaining the result | 
| Rf | Retention factor | 
| RSM | Response Surface Methodology | 
| RSM | Response Surface Methodology | 
| SEM | Scanning Electron Microscopy | 
| St.dev | Standard deviation | 
| TEM | Transmission Electron Microscopy | 
| TG | Tragacanth gum | 
| TGS | Tragacanth gum solution | 
| TLC | Thin Layer Chromatography | 
| XRD | X-ray Diffraction | 
References
- Singh, N.K.; Singh, Y.; Sharma, A. Optimization of biodiesel synthesis from Jojoba oil via supercritical methanol: A response surface methodology approach coupled with genetic algorithm. Biomass Bioenergy 2022, 156, 106332. [Google Scholar] [CrossRef]
 - Bakır, H.; Ağbulut, U.; Gürel, A.E.; Yıldız, G.; Güvenç, U.; Soudagar, M.E.M.; Hoang, A.T.; Deepanraj, B.; Saini, G.; Afzal, A. Forecasting of future greenhouse gas emission trajectory for India using energy and economic indexes with various metaheuristic algorithms. J. Clean. Prod. 2022, 360, 131946. [Google Scholar] [CrossRef]
 - Awang, M.S.N.; Zulkifli, N.W.M.; Abbas, M.M.; Zulkifli, S.A.; Kalam, M.A.; Yusoff, M.N.A.M.; Daud, W.M.A.W.; Ahmad, M.H. Effect of diesel-palm biodiesel fuel with plastic pyrolysis oil and waste cooking biodiesel on tribological characteristics of lubricating oil. Alex. Eng. J. 2022, 61, 7221–7231. [Google Scholar] [CrossRef]
 - Gurunathan, B.; Ravi, A. Process optimization and kinetics of biodiesel production from neem oil using copper doped zinc oxide heterogeneous nanocatalyst. Bioresour. Technol. 2015, 190, 424–428. [Google Scholar] [CrossRef] [PubMed]
 - Aghilinategh, M.; Barati, M.; Hamadanian, M. The modified supercritical media for one-pot biodiesel production from Chlorella vulgaris using photochemically-synthetized SrTiO3 nanocatalyst. Renew. Energy 2020, 160, 176–184. [Google Scholar] [CrossRef]
 - Khan, I.U.; Haleem, A. A seed of Albizzia julibrissin wild plant as an efficient source for biodiesel production. Biomass Bioenergy 2022, 158, 106381. [Google Scholar] [CrossRef]
 - Mahlia, T.M.I.; Syazmi, Z.A.H.S.; Mofijur, M.; Abas, A.P.; Bilad, M.R.; Ong, H.C.; Silitonga, A.S. Patent landscape review on biodiesel production: Technology updates. Renew. Sustain. Energy Rev. 2020, 118, 109526. [Google Scholar] [CrossRef]
 - Zhang, Y.; Duan, L.; Esmaeili, H. A review on biodiesel production using various heterogeneous nanocatalysts: Operation mechanisms and performances. Biomass Bioenergy 2022, 158, 106356. [Google Scholar] [CrossRef]
 - Yusuf, A.A.; Ampah, J.D.; Soudagar, M.E.M.; Veza, I.; Kingsley, U.; Afrane, S.; Jin, C.; Liu, H.; Elfasakhany, A.; Buyondo, K.A. Effects of hybrid nanoparticle additives in n-butanol/waste plastic oil/diesel blends on combustion, particulate and gaseous emissions from diesel engine evaluated with entropy-weighted PROMETHEE II and TOPSIS: Environmental and health risks of plastic waste. Energy Convers. Manag. 2022, 264, 115758. [Google Scholar] [CrossRef]
 - Soudagar, M.E.M.; Nik-Ghazali, N.N.; Kalam, M.A.; Badruddin, I.A.; Banapurmath, N.R.; Ali, M.A.B.; Kamangar, S.; Cho, H.M.; Akram, N. An investigation on the influence of aluminium oxide nano-additive and honge oil methyl ester on engine performance, combustion and emission characteristics. Renew. Energy 2020, 146, 2291–2307. [Google Scholar] [CrossRef]
 - Raju, V.D.; Soudagar, M.E.M.; Venu, H.; Nair, J.N.; Reddy, M.S.; Reddy, J.S.; Rao, T.S.; Khan, T.M.Y.; Ismail, K.A.; Elfasakhany, A. Experimental assessment of diverse diesel engine characteristics fueled with an oxygenated fuel added lemon peel biodiesel blends. Fuel 2022, 324, 124529. [Google Scholar] [CrossRef]
 - Fadhil, A.B.; Nayyef, A.W.; Al-Layla, N.M. Biodiesel production from nonedible feedstock, radish seed oil by cosolvent method at room temperature: Evaluation and analysis of biodiesel. Energy Sources Part A Recovery Util. Environ. Eff. 2020, 42, 1891–1901. [Google Scholar] [CrossRef]
 - Fizal, A.N.S.; Hossain, M.S.; Zulkifli, M.; Khalil, N.A.; Hamid, H.A.; Yahaya, A.N.A. Implementation of the supercritical CO2 technology for the extraction of candlenut oil as a promising feedstock for biodiesel production: Potential and limitations. Int. J. Green Energy 2021, 19, 72–83. [Google Scholar] [CrossRef]
 - Shaheen, A.; Sultana, S.; Lu, H.; Ahmad, M.; Asma, M.; Mahmood, T. Assessing the potential of different nanocomposite (MgO, Al2O3-CaO and TiO2) for efficient conversion of Silybum eburneum seed oil to liquid biodiesel. J. Mol. Liq. 2018, 249, 511–521. [Google Scholar] [CrossRef]
 - Akhtar, M.T.; Ahmad, M.; Shaheen, A.; Zafar, M.; Ullah, R.; Asma, M.; Sultana, S.; Munir, M.; Rashid, N.; Malik, K.; et al. Comparative study of liquid biodiesel from sterculia foetida (bottle tree) using CuO-CeO2 and Fe2O3 nano catalysts. Front. Energy Res. 2019, 7, 4. [Google Scholar] [CrossRef]
 - Munir, M.; Ahmad, M.; Saeed, M.; Waseem, A.; Nizami, A.S.; Sultana, S.; Zafar, M.; Rehan, M.; Srinivasan, G.R.; Ali, A.M.; et al. Biodiesel production from novel non-edible caper (Capparis spinosa L.) seeds oil employing Cu–Ni doped ZrO2 catalyst. Renew. Sustain. Energy Rev. 2020, 138, 110558. [Google Scholar] [CrossRef]
 - Ali, L.H.; Fadhil, A.B. Biodiesel production from spent frying oil of fish via alkali-catalyzed transesterification. Energy Sources Part A Recovery Util. Environ. Eff. 2013, 35, 564–573. [Google Scholar] [CrossRef]
 - Altikriti, E.T.; Fadhil, A.B.; Dheyab, M.M. Two-step base catalyzed transesterification of chicken fat: Optimization of parameters. Energy Sources Part A Recovery Util. Environ. Eff. 2015, 37, 1861–1866. [Google Scholar] [CrossRef]
 - Fadhil, A.B.; Saeed, L.I. Sulfonated tea waste: A low-cost adsorbent for purification of biodiesel. Int. J. Green Energy 2016, 13, 110–118. [Google Scholar] [CrossRef]
 - Fadhil, A.B.; Nayyef, A.W.; Sedeeq, S.H. Valorization of mixed radish seed oil and Prunus armeniaca L. oil as a promising feedstock for biodiesel production: Evaluation and analysis of biodiesels. Asia-Pac. J. Chem. Eng. 2020, 15, e2390. [Google Scholar] [CrossRef]
 - Szollosi, R. (Ed.) Indian Mustard (Brassica juncea L.) Seeds in Health. In Nuts and Seeds in Health and Disease Prevention; Academic Press: Cambridge, MA, USA, 2011; pp. 671–676. [Google Scholar] [CrossRef]
 - Sateesh, K.A.; Yaliwal, V.S.; Soudagar, M.E.M.; Banapurmath, N.R.; Fayaz, H.; Safaei, M.R.; Elfasakhany, A.; El-seesy, A. Utilization of biodiesel/Al2O3 nanoparticles for combustion behavior enhancement of a diesel engine operated on dual fuel mode. J. Therm. Anal. Calorim. 2022, 147, 5897–5911. [Google Scholar] [CrossRef]
 - Zulqarnain; Mohd Yusoff, M.H.; Ayoub, M.; Ramzan, N.; Nazir, M.H.; Zahid, I.; Abbas, N.; Elboughdiri, N.; Mirza, C.R.; Butt, T.A. Overview of Feedstocks for Sustainable Biodiesel Production and Implementation of the Biodiesel Program in Pakistan. ACS Omega 2021, 6, 19099–19114. [Google Scholar] [CrossRef] [PubMed]
 - Abbaszaadeh, A.; Ghobadian, B.; Omidkhah, M.R.; Najafi, G. Current biodiesel production technologies: A comparative review. Energy Convers. Manag. 2012, 63, 138–148. [Google Scholar] [CrossRef]
 - Ewunie, G.A.; Morken, J.; Lekang, O.I.; Yigezu, Z.D. Factors affecting the potential of Jatropha curcas for sustainable biodiesel production: A critical review. Renew. Sustain. Energy Rev. 2021, 137, 110500. [Google Scholar] [CrossRef]
 - Elnajjar, E.; Al-Omari, S.A.B.; Selim, M.Y.E.; Purayil, S.T.P. CI engine performance and emissions with waste cooking oil biodiesel boosted with hydrogen supplement under different load and engine parameters. Alex. Eng. J. 2022, 61, 4793–4805. [Google Scholar] [CrossRef]
 - Ullah, H.; Nafees, M.; Iqbal, F.; Awan, S.; Shah, A.; Waseem, A. Adsorption Kinetics of Malachite green and Methylene blue from aqueous solutions using surfactant modified Organoclays. Acta Chim. Slov. 2017, 64, 449–460. [Google Scholar] [CrossRef] [PubMed]
 - Saeed, T.; Miah, M.J.; Majed, N.; Hasan, M.; Khan, T. Pollutant removal from landfill leachate employing two-stage constructed wetland mesocosms: Co-treatment with municipal sewage. Environ. Sci. Pollut. Res. 2020, 27, 28316–28332. [Google Scholar] [CrossRef] [PubMed]
 - Naveenkumar, R.; Baskar, G. Optimization and techno-economic analysis of biodiesel production from Calophyllum inophyllum oil using heterogeneous nanocatalyst. Bioresour. Technol. 2020, 315, 123852. [Google Scholar] [CrossRef] [PubMed]
 - Harun, F.W.; Jihadi, N.I.M.; Ramli, S.; Hassan, N.R.A.; Zubir, N.A.M. Esterification of oleic acid with alcohols over Cu-MMT K10 and Fe-MMT K10 as acid catalysts. AIP Conf Proc. 2018, 1972, 030025. [Google Scholar] [CrossRef]
 - Ingle, A.P.; Chandel, A.K.; Philippini, R.; Martiniano, S.E.; da Silva, S.S. Advances in nanocatalysts mediated biodiesel production: A critical appraisal. Symmetry 2020, 12, 256. [Google Scholar] [CrossRef]
 - Mallakpour, S.; Ramezanzade, V. Tragacanth gum mediated green fabrication of mesoporous titania nanomaterials: Application in photocatalytic degradation of crystal violet. J. Environ. Manag. 2021, 291, 112680. [Google Scholar] [CrossRef]
 - Andrade, M.R.d.; Silva, C.B.; Costa, T.K.O.; Neto, E.L.d.; Lavoie, J.M. An experimental investigation on the effect of surfactant for the transesterification of soybean oil over eggshell-derived CaO catalysts. Energy Convers. Manag. X 2021, 11, 100094. [Google Scholar] [CrossRef]
 - Dawood, S.; Ahmad, M.; Ullah, K.; Zafar, M.; Khan, K. Synthesis and characterization of methyl esters from non-edible plant species yellow oleander oil, using magnesium oxide (MgO) nano-catalyst. Mater. Res. Bull. 2018, 101, 371–379. [Google Scholar] [CrossRef]
 - Nagaraja, K.; Rao, K.M.; Reddy, G.V.; Rao, K.K. Tragacanth gum-based multifunctional hydrogels and green synthesis of their silver nanocomposites for drug delivery and inactivation of multidrug resistant bacteria. Int. J. Biol. Macromol. 2021, 174, 502–511. [Google Scholar] [CrossRef] [PubMed]
 - Padil, V.V.; Wacławek, S.; Černík, M.; Varma, R.S. Tree gum-based renewable materials: Sustainable applications in nanotechnology, biomedical and environmental fields. Biotechnol. Adv. 2018, 36, 1984–2016. [Google Scholar] [CrossRef]
 - Munir, M.; Ahmad, M.; Saeed, M.; Waseem, A.; Rehan, M.; Nizami, A.S.; Zafar, M.; Arshad, M.; Sultana, S. Sustainable production of bioenergy from novel non-edible seed oil (Prunus cerasoides) using bimetallic impregnated montmorillonite clay catalyst. Renew. Sustain. Energy Rev. 2019, 109, 321–332. [Google Scholar] [CrossRef]
 - Souza, M.C.G.; de Oliveira, M.F.; Vieira, A.T.; de Faria, A.M.; Batista, A.C.F. Methylic and ethylic biodiesel production from crambe oil (Crambe abyssinica): New aspects for yield and oxidative stability. Renew. Energy 2021, 163, 368–374. [Google Scholar] [CrossRef]
 - Rozina; Ahmad, M.; Asif, S.; Klemeš, J.J.; Mubashir, M.; Bokhari, A.; Sultana, S.; Mukhtar, A.; Zafar, M.; Bazmi, A.A.; et al. Conversion of the toxic and hazardous Zanthoxylum armatum seed oil into methyl ester using green and recyclable silver oxide nanoparticles. Fuel 2022, 310, 122296. [Google Scholar] [CrossRef]
 - Yadav, M.; Sharma, Y.C. Process optimization and catalyst poisoning study of biodiesel production from kusum oil using potassium aluminum oxide as efficient and reusable heterogeneous catalyst. J. Clean. Prod. 2018, 199, 593–602. [Google Scholar] [CrossRef]
 - Sidik, S.M.; Triwahyono, S.; Jalil, A.A.; Majid, Z.A.; Salamun, N.; Talib, N.B.; Abdullah, T.A.T. CO2 reforming of CH4 over Ni–Co/MSN for syngas production: Role of Co as a binder and optimization using RSM. Chem. Eng. J. 2016, 295, 1–10. [Google Scholar] [CrossRef]
 - Marzouk, N.M.; el Naga, A.O.A.; Younis, S.A.; Shaban, S.A.; el Torgoman, A.M.; el Kady, F.Y. Process optimization of biodiesel production via esterification of oleic acid using sulfonated hierarchical mesoporous ZSM-5 as an efficient heterogeneous catalyst. J. Environ. Chem. Eng. 2021, 9, 105035. [Google Scholar] [CrossRef]
 - Chumuang, N.; Punsuvon, V. Response surface methodology for biodiesel production using calcium methoxide catalyst assisted with tetrahydrofuran as cosolvent. J. Chem. 2017, 2017, 4190818. [Google Scholar] [CrossRef]
 - Dantas, J.; Leal, E.; Cornejo, D.R.; Kiminami, R.H.G.A.; Costa, A.C.F.M. Biodiesel production evaluating the use and reuse of magnetic nanocatalysts Ni0.5Zn0.5Fe2O4 synthesized in pilot-scale. Arab. J. Chem. 2020, 13, 3026–3042. [Google Scholar] [CrossRef]
 - Khan, I.U.; Yan, Z.; Chen, J. Optimization, transesterification and analytical study of Rhus typhina non-edible seed oil as biodiesel production. Energies 2019, 12, 4290. [Google Scholar] [CrossRef]
 - Gousi, M.; Andriopoulou, C.; Bourikas, K.; Ladas, S.; Sotiriou, M.; Kordulis, C.; Lycourghiotis, A. Green diesel production over nickel-alumina coprecipitated catalysts. Appl. Catal. A Gen. 2017, 536, 45–56. [Google Scholar] [CrossRef]
 - Dawood, S.; Koyande, A.K.; Ahmad, M.; Mubashir, M.; Asif, S.; Klemeš, J.J.; Bokhari, A.; Saqib, S.; Lee, M.; Qyyum, M.A.; et al. Synthesis of biodiesel from non-edible (Brachychiton populneus) oil in the presence of nickel oxide nanocatalyst: Parametric and optimisation studies. Chemosphere 2021, 278, 130469. [Google Scholar] [CrossRef]
 - Sangeetha, G.; Rajeshwari, S.; Venckatesh, R. Green synthesis of zinc oxide nanoparticles by aloe barbadensis miller leaf extract: Structure and optical properties. Mater. Res. Bull. 2011, 46, 2560–2566. [Google Scholar] [CrossRef]
 - Booramurthy, V.K.; Kasimani, R.; Pandian, S. Biodiesel Production from Tannery Waste using a Nano Catalyst (Ferric-Manganese Doped Sulphated Zirconia). Energy Sources Part A Recovery Util. Environ. Eff. 2019, 44, 1092–1104. [Google Scholar] [CrossRef]
 - Kora, A.J.; Rastogi, L. Green synthesis of palladium nanoparticles using gum ghatti (Anogeissus latifolia) and its application as an antioxidant and catalyst. Arab. J. Chem. 2018, 11, 1097–1106. [Google Scholar] [CrossRef]
 - Tiwari, M.S.; Gawade, A.B.; Yadav, G.D. Magnetically separable sulfated zirconia as highly active acidic catalysts for selective synthesis of ethyl levulinate from furfuryl alcohol. Green Chem. 2017, 19, 963–976. [Google Scholar] [CrossRef]
 - Qu, T.; Niu, S.; Zhang, X.; Han, K.; Lu, C. Preparation of calcium modified Zn-Ce/Al2O3 heterogeneous catalyst for biodiesel production through transesterification of palm oil with methanol optimized by response surface methodology. Fuel 2021, 284, 118986. [Google Scholar] [CrossRef]
 - Garole, V.J.; Choudhary, B.C.; Tetgure, S.R.; Garole, D.J.; Borse, A.U. Palladium nanocatalyst: Green synthesis, characterization, and catalytic application. Int. J. Environ. Sci. Technol. 2019, 16, 7885–7892. [Google Scholar] [CrossRef]
 - Mansir, N.; Teo, S.H.; Rashid, U.; Taufiq-Yap, Y.H. Efficient waste Gallus domesticus shell derived calcium-based catalyst for biodiesel production. Fuel 2018, 211, 67–75. [Google Scholar] [CrossRef]
 - Loy, A.C.M.; Quitain, A.T.; Lam, M.K.; Yusup, S.; Sasaki, M.; Kida, T. Development of high microwave-absorptive bifunctional graphene oxide-based catalyst for biodiesel production. Energy Convers. Manag. 2019, 180, 1013–1025. [Google Scholar] [CrossRef]
 - Omar, W.N.N.W.; Amin, N.A.S. Optimization of heterogeneous biodiesel production from waste cooking palm oil via response surface methodology. Biomass Bioenergy 2011, 35, 1329–1338. [Google Scholar] [CrossRef]
 - Asif, S.; Ahmad, M.; Bokhari, A.; Chuah, L.F.; Klemes, J.J.; Akbar, M.M.; Sultana, S.; Yusup, S. Methyl ester synthesis of Pistacia khinjuk seed oil by ultrasonic-assisted cavitation system. Ind. Crop. Prod. 2017, 108, 336–347. [Google Scholar] [CrossRef]
 - Park, Y.M.; Lee, J.Y.; Chung, S.H.; Park, I.S.; Lee, S.Y.; Kim, D.K.; Lee, J.S.; Lee, K.Y. Esterification of used vegetable oils using the heterogeneous WO3/ZrO2 catalyst for production of biodiesel. Bioresour. Technol. 2010, 101, S59–S61. [Google Scholar] [CrossRef] [PubMed]
 - Elkelawy, M.; Bastawissi, H.A.E.; Esmaeil, K.K.; Radwan, A.M.; Panchal, H.; Sadasivuni, K.K.; Suresh, M.; Israr, M. Maximization of biodiesel production from sunflower and soybean oils and prediction of diesel engine performance and emission characteristics through response surface methodology. Fuel 2020, 266, 117072. [Google Scholar] [CrossRef]
 - Rozina; Ahmad, M.; Zafar, M. Conversion of waste seed oil of Citrus aurantium into methyl ester via green and recyclable nanoparticles of zirconium oxide in the context of circular bioeconomy approach. Waste Manag. 2021, 136, 310–320. [Google Scholar] [CrossRef] [PubMed]
 - Olutoye, M.A.; Lee, S.C.; Hameed, B.H. Synthesis of fatty acid methyl ester from palm oil (Elaeis guineensis) with Ky (MgCa) 2xO3 as heterogeneous catalyst. Bioresour. Technol. 2011, 102, 10777–10783. [Google Scholar] [CrossRef]
 - Maulidiyah; Nurdin, M.; Fatma, F.; Natsir, M.; Wibowo, D. Characterization of methyl ester compound of biodiesel from industrial liquid waste of crude palm oil processing. Anal. Chem. Res. 2017, 12, 1–9. [Google Scholar] [CrossRef]
 - Rahman, M.A. Valorization of harmful algae E. compressa for biodiesel production in presence of chicken waste derived catalyst. Renew. Energy 2018, 129, 132–140. [Google Scholar] [CrossRef]
 - Borah, M.J.; Devi, A.; Borah, R.; Deka, D. Synthesis and application of Co doped ZnO as heterogeneous nanocatalyst for biodiesel production from non-edible oil. Renew. Energy 2019, 133, 512–519. [Google Scholar] [CrossRef]
 - Sokoto, M.A.; Hassan, L.G.; Dangoggo, S.M.; Ahmad, H.G.; Uba, A. Influence of fatty acid methyl esters on fuel properties of biodiesel produced from the seeds oil of Curcubita pepo. Niger. J. Basic Appl. Sci. 2011, 19, 81–86. [Google Scholar] [CrossRef]
 - Tariq, M.; Ali, S.; Ahmad, F.; Ahmad, M.; Zafar, M.; Khalid, N.; Khan, M.A. Identification, FT-IR, NMR (1H and 13C) and GC/MS studies of fatty acid methyl esters in biodiesel from rocket seed oil. Fuel Process. Technol. 2011, 92, 336–341. [Google Scholar] [CrossRef]
 - Guzatto, R.; Defferrari, D.; Reiznautt, Q.B.; Cadore, I.R.; Samios, D. Transesterification double step process modification for ethyl ester biodiesel production from vegetable and waste oils. Fuel 2012, 92, 197–203. [Google Scholar] [CrossRef]
 - Maneerung, T.; Kawi, S.; Dai, Y.; Wang, C.H. Sustainable biodiesel production via transesterification of waste cooking oil by using CaO catalysts prepared from chicken manure. Energy Convers. Manag. 2016, 123, 487–497. [Google Scholar] [CrossRef]
 - Krishnamurthy, K.N.; Sridhara, S.N.; Kumar, C.A. Optimization and kinetic study of biodiesel production from Hydnocarpus wightiana oil and dairy waste scum using snail shell CaO nano catalyst. Renew. Energy 2020, 146, 280–296. [Google Scholar] [CrossRef]
 











| Runs | Catalyst Concentration (wt. %) | Reaction Temperature (°C) | Methanol to Oil Molar Ratio | Reaction Time (min) | Experimental Yield  (%)  | Predicted Yield  (%)  | 
|---|---|---|---|---|---|---|
| 1 | 0.2 | 120 | 4.1 | 135 | 51.55 | 50.45 | 
| 2 | 0.3 | 150 | 6.1 | 210 | 75.88 | 75.21 | 
| 3 | 0.4 | 120 | 8.1 | 135 | 80.65 | 81.74 | 
| 4 | 0.2 | 120 | 8.1 | 135 | 59.32 | 60.22 | 
| 5 | 0.3 | 90 | 6.1 | 60 | 46.21 | 45.49 | 
| 6 | 0.2 | 120 | 8.1 | 285 | 60.68 | 61.23 | 
| 7 | 0.1 | 90 | 6.1 | 210 | 58.37 | 58.30 | 
| 8 | 0.2 | 60 | 8.1 | 135 | 45.25 | 45.21 | 
| 9 | 0.4 | 60 | 4.1 | 285 | 54.37 | 53.58 | 
| 10 | 0.3 | 90 | 6.1 | 120 | 93.00 | 93.31 | 
| 11 | 0.2 | 60 | 8.1 | 285 | 49.88 | 48.67 | 
| 12 | 0.2 | 120 | 4.1 | 285 | 49.66 | 49.00 | 
| 13 | 0.4 | 120 | 4.1 | 135 | 61.29 | 60.98 | 
| 14 | 0.3 | 90 | 6.1 | 120 | 92.48 | 92.31 | 
| 15 | 0.2 | 60 | 4.1 | 360 | 45.11 | 46.65 | 
| 16 | 0.3 | 90 | 6.1 | 135 | 92.94 | 93.00 | 
| 17 | 0.3 | 90 | 2.1 | 120 | 41.97 | 42.79 | 
| 18 | 0.3 | 90 | 6.1 | 210 | 91.74 | 91.76 | 
| 19 | 0.4 | 120 | 8.1 | 120 | 88.31 | 88.71 | 
| 20 | 0.4 | 60 | 8.1 | 285 | 68.77 | 67.70 | 
| 21 | 0.2 | 60 | 4.1 | 285 | 50.48 | 51.00 | 
| 22 | 0.3 | 90 | 6.1 | 120 | 93.01 | 93.28 | 
| 23 | 0.1 | 120 | 4.1 | 360 | 65.31 | 66.18 | 
| 24 | 0.1 | 90 | 6.1 | 60 | 86.18 | 85.84 | 
| 25 | 0.3 | 90 | 6.1 | 120 | 59.63 | 58.67 | 
| 26 | 0.4 | 60 | 8.1 | 120 | 57.46 | 57.44 | 
| 27 | 0.3 | 90 | 6.1 | 210 | 93.00 | 92.81 | 
| 28 | 0.3 | 30 | 6.1 | 60 | 51.82 | 51.19 | 
| 29 | 0.3 | 90 | 10.1 | 60 | 66.11 | 65.17 | 
| 30 | 0.4 | 60 | 4.1 | 120 | 47.62 | 48.16 | 
| Source | Sum of Squares | Df | Mean Square | F-Value | p-Value | |
|---|---|---|---|---|---|---|
| Model | 9355.739078 | 14 | 668.267077 | 223.9565557 | 8.52948 × 10−15 | Significant | 
| A-Catalyst Concentration | 1168.591704 | 1 | 1168.59170 | 391.6305053 | 3.67734× 10−12 | |
| B-Reaction Temperature | 887.5584375 | 1 | 887.5584375 | 297.4477383 | 2.66636× 10−11 | |
| C-Oil to Methanol Ratio | 739.3710042 | 1 | 739.3710042 | 247.7856372 | 9.80758× 10−11 | |
| D-Reaction Time | 181.7751042 | 1 | 181.7751042 | 60.91834783 | 1.16531 × 10−6 | |
| AB | 84.87015625 | 1 | 84.87015625 | 28.44256216 | 8.36177× 10−5 | |
| AC | 145.6245563 | 1 | 145.6245563 | 48.80320333 | 4.3819 × 10−6 | |
| AD | 25.67955625 | 1 | 25.67955625 | 8.605997762 | 0.010270002 | |
| BC | 87.28230625 | 1 | 87.28230625 | 29.25094674 | 7.25258 × 10−5 | |
| BD | 17.87175625 | 1 | 17.87175625 | 5.989367293 | 0.027184179 | |
| CD | 7.16900625 | 1 | 7.16900625 | 2.40255131 | 0.141976017 | |
| A² | 2582.357295 | 1 | 2582.357295 | 865.4262123 | 1.1103 × 10−14 | |
| B² | 3505.566673 | 1 | 3505.566673 | 1174.821661 | 1.15787 × 10−15 | |
| C² | 4757.985331 | 1 | 4757.985331 | 1594.54512 | 1.19913 × 10−16 | |
| D² | 3153.558452 | 1 | 3153.558452 | 1056.85303 | 2.5353 × 10−15 | |
| Residual | 44.75870833 | 15 | 2.983913889 | |||
| Lack of Fit | 40.469175 | 10 | 4.0469175 | 4.7172002 | 0.050379608 | Not significant | 
| Pure Error | 4.289533333 | 5 | 0.857906667 | |||
| Cor Total | 9400.497787 | 29 | R2 | 0.995238687 | ||
| Std. Dev. | 1.727401 | Adjusted R² | 0.990794796 | |||
| C.V.% | 2.616376 | Predicted R² | 0.974546095 | |||
| Adeq Precision | 42.34321891 | 
| Properties | Methods | BJBD  ALM-B100  | HSD  ASTM D-951  | ASTM D-6751 | EN-14214 | 
|---|---|---|---|---|---|
| Color | Visual | 2 | 2.0 | 2 | - | 
| Flash point (°C) | ASTM D-93 | 97 | 60–80 | ≥93 | ≥120 | 
| Density (kg/m3 at 40 °C) | ASTM D-1298 | 0.825 | 0.8343 | ≤120 | ≤120 | 
| K. Viscosity (mm2/s at 40 °C) | ASTM D-445 | 4.66 | 4.223 | 1.9–6.0 | 3.4–5.0 | 
| Pour point (°C) | ASTM D-97 | −10 | - | −15–16 | - | 
| Cloud point (°C) | ASTM D-2500 | −14 | - | −3–12 | - | 
| Sulfur content (wt.%) | ASTM D-4294 | 0.00066 | 0.05 | ≤0.05 | 0.020 | 
| Total Acid No (mg KOH/gm) | ASTM D-974 | 0.182 | 0.8 | ≤0.5 | ≤0.5 | 
| Temperature (°C) | k min−1 | R2 | Ea kJ | 
|---|---|---|---|
| 60 | 0.066 | 0.929 | 381.48 | 
| 70 | 0.079 | 0.9428 | |
| 80 | 0.183 | 0.9524 | |
| 90 | 0.058 | 0.9798 | 
Publisher’s Note: MDPI stays neutral with regard to jurisdictional claims in published maps and institutional affiliations.  | 
© 2022 by the authors. Licensee MDPI, Basel, Switzerland. This article is an open access article distributed under the terms and conditions of the Creative Commons Attribution (CC BY) license (https://creativecommons.org/licenses/by/4.0/).
Share and Cite
Akhtar, M.T.; Ahmad, M.; Asma, M.; Munir, M.; Zafar, M.; Sultana, S.; Mujtaba, M.A.; Mohamed, A.; Kalam, M.A. Efficient Production of Wild and Non-Edible Brassica juncea (L.) Czern. Seed Oil into High-Quality Biodiesel via Novel, Green and Recyclable NiSO4 Nano-Catalyst. Sustainability 2022, 14, 10188. https://doi.org/10.3390/su141610188
Akhtar MT, Ahmad M, Asma M, Munir M, Zafar M, Sultana S, Mujtaba MA, Mohamed A, Kalam MA. Efficient Production of Wild and Non-Edible Brassica juncea (L.) Czern. Seed Oil into High-Quality Biodiesel via Novel, Green and Recyclable NiSO4 Nano-Catalyst. Sustainability. 2022; 14(16):10188. https://doi.org/10.3390/su141610188
Chicago/Turabian StyleAkhtar, Maryam Tanveer, Mushtaq Ahmad, Maliha Asma, Mamoona Munir, Muhammad Zafar, Shazia Sultana, M. A. Mujtaba, Abdullah Mohamed, and Md Abul Kalam. 2022. "Efficient Production of Wild and Non-Edible Brassica juncea (L.) Czern. Seed Oil into High-Quality Biodiesel via Novel, Green and Recyclable NiSO4 Nano-Catalyst" Sustainability 14, no. 16: 10188. https://doi.org/10.3390/su141610188
APA StyleAkhtar, M. T., Ahmad, M., Asma, M., Munir, M., Zafar, M., Sultana, S., Mujtaba, M. A., Mohamed, A., & Kalam, M. A. (2022). Efficient Production of Wild and Non-Edible Brassica juncea (L.) Czern. Seed Oil into High-Quality Biodiesel via Novel, Green and Recyclable NiSO4 Nano-Catalyst. Sustainability, 14(16), 10188. https://doi.org/10.3390/su141610188
        
                                                
