Prospects of Catalysis for Process Sustainability of Eco-Green Biodiesel Synthesis via Transesterification: A State-Of-The-Art Review
Abstract
:1. Introduction
- Chemical-based catalysts can be either homogeneous or heterogeneous depending on their solubility in reaction media;
- Recently, Nanotechnology has attracted researchers to synthesize nano-sized catalysts with large catalytic surface and meet the demands of industrial applications;
- Biological catalysts comprised of enzymatic systems such as free lipases [3].
Highlights
- Vital role of diverse catalytic systems for producing biodiesel has been discussed.
- Synthesis and application of potential catalysts during transesterification have been elaborated systematically.
- Advanced techniques for synthesizing cost effective and highly efficient catalyst synthesis have been reviewed critically.
- The development of an efficient, promising, cost-effective catalyst can resolve issues in erstwhile catalysis.
2. Biodiesel Synthesis Processes
- Pyrolysis or catalytic cracking is the breakdown of vegetable oil or animal fats in the absence of air using a catalyst. The required catalyst enhances the thermal decomposition of biodiesel feedstock, as a result long chain hydrocarbons are broken down into short chain hydrocarbons. The biofuel obtained from pyrolysis process is acidic in nature and encompass different hydrocarbons and moisture contents. Therefore, a pretreatment process is required to remove moisture content and use it as alternative fuel;
- In micro-emulsification, crude oil is mixed with emulsifying agent, this can be any type of alcohol to make emulsions. These emulsions cause accumulation of carbon in the engine and inappropriate burning;
- In the dilution process, a required amount of crude oil and diesel are mixed together. Dilution is achieved by enhancing the solvent and lowering the solute concentration resulting in decrement in viscosity and density. Conventionally, diesel and ethanol are used as solvents. The dilution process is easy, however, due to high FFA content, viscosity and acid value makes this fuel unsuitable to be used directly in diesel engine yet some problems associated to it, for example, incomplete burning and carbon deposition.
- Transesterification is the most utilized technology in biodiesel synthesis as it is favorable from economic point of view at industrial scale production. It involves the reaction between oil/fat obtained from a feedstock and alcohol in presence of suitable catalyst.
| Biodiesel Methods | Merits | Demerits |
|---|---|---|
| Direct use of oil and blends | Liquid based-portability, renewability, readily available, Heat content Retains total power without/little modification to diesel based engine No major operational difficulty | Low cetane, high viscosity, natural gum in oils, low flash point, low volatility Reaction of unsaturated chains Gumming and Plugging of, lines, filters and injectors Engine knocking and carbon deposits on engine, |
| Micro emulsion | Isotropic fluid, stable and clear with aqueous phase, an oil phase and surfactant. | Extensive deposits in exhaust valve of engine. Amass of carbon all over the orifice of injector outlet Partial combustion in 200 h lab screening endurance test. Irregular needle sticking of injector |
| Pyrolysis | Pyrolyzed oil has satisfactory sulphur amount, sediment, water and copper corrosion value. Undesirable carbon residue amounts, ash, pour point. Short term engine tests. | Equipment is expensive Low moisture is required Products are similar to petroleum diesel fuel. Deoxygenation during pyrolysis removes eco-friendly aspects. Production of low graded materials and less diesel as compared to gasoline. |
| Dilution | Low viscosity of oil makes it efficient for short term use. | Not recommended for long term usage Severe sticking and coking of injector nozzle Heavy carbon deposits on intake valve and appearance of top ring wear. |
| Transesterification | Fuel properties almost similar to petroleum diesel Low cost High conversion yield efficiency Suitable for large scale production of biodiesel | Low water and FFA content of oil is required (Base catalyzed transesterification) Washing of biodiesel is required that produces pollutants Accompanied by side products |
| Adequate reaction time Efficient conversion and easy to perform Inexpensive | Catalyst recovery not possible Saponification Low quality glycerol is produced |
| High biodiesel yield Eco-friendly as washing is not required No saponification and hydrolysis | Expensive as compared to Homogeneous catalyzed transesterification Longer reaction time |
| Tolerance to water content in oil No FFA saponification Low energy consumption/input | Very Expensive Enzymes Inhibition via MeOH Much Longer reaction time Enzymes absorb glycerol on its surface |
| No catalyst required Easier product purification Fast reaction time No effect of high FFA and Water | Need of High reaction temperature and pressure Large amount of methanol High energy consumption High capita cost |
- Supercritical fluids (SCF) are used for biodiesel synthesis in the absence of catalysts. It results in fast rate of reaction, high efficiency of conversion; there is no requirement of a catalyst but it requires energy and has a high installation cost. The supercritical transesterification involves single phase mixture, produced at 340 °C temperature and 43 MPa pressure with reduction in dielectric constant of alcohol. The reaction time is 2–4 min at supercritical stage. Though product purification is comparatively easy due to the absence of a catalyst, the production cost is high.
- Catalytic transesterification involves interchange of alkyl groups (R) of esters with alkyl groups of alcohols. It results in production of new ester (biodiesel) and alcohol (glycerol) [1].
- Alcohol and the catalyst react to form alkoxide ion;
- A reaction between an alkoxide ion and triglycerides in oil to produce fatty acid alkyl esters [9]
2.1. Criteria for Feedstock Selection
2.2. Criteria for Alcohol Selection
- Alcohol such as methanol, ethanol, propanol, butanol, pentanol and even isopropanol can be used. Higher alcohols are avoided because they are more sensitive to the contamination of water and the reaction is inhibited. Hence, methanol and ethanol are frequently; used.
- When compared, methanol is more effective than ethanol and it provides a high biodiesel yield in less time duration. It helps to purify the product efficiently by separating the glycerin, which is byproduct of a biodiesel process. A most relevant factor for choosing methanol is its low cost. It was found that 6:1 alcohol to oil ratio is the basic requirement for single step reaction completion. More than 1.6 times excess of alcohol is necessary to complete the transesterification [16]. Nevertheless, methanol usage is exposed to few drawbacks, for example it is produced from natural gas (CH4) that increases its toxicity. Therefore, the production of one of the reactants of non-renewable origin makes the perception of green fuel ambiguous. A pressure vessel is mandatory when methanol is used as solvent in order to tolerate the boiling temperature, especially at 65 °C temperature for 1–2 h of reaction time. Reaction temperature directly influences the rate of reaction, product viscosity, reaction equilibrium, kinetics and mass transfer limitations.
- c.
- In the case of high moisture content in alcohol, acids such as hydrochloric acid and sulfuric acids (0.87–2.5 M) are preferable for transesterification.
- d.
- Diglycerides, in reaction with alcohol, disperse in the oil phase and result in yield reduction. Therefore, a co-solvent can be used that limits this mass transfer. To enhance oil and alcohol miscibility, Tetrahydrofuran and Methyl tert-butyl ether have proven effective; tetrahydrofuran is best co-solvent as compared to Methyl tert-butyl ether. Various investigations have been conducted for methanol with co-solvent, for example, di-ethyl ether, acetone, di-isopropyl ether, dichlorobenzene with 1:0.5 to 1:2 mole/mole ratios.
- e.
- A vacuum-based heat exchanger is used at the last stage to remove excess water from biodiesel. Both biodiesel and glycerin are present in the reaction mixture in the form of layers and physical separation required to recover them. Glycerol, being the unwanted byproduct, is removed from the main product (biodiesel). The glycerol regeneration occurs when it is neutralized by the acid addition. It is further used for various purposes after purification [16,18].
2.3. Criteria for Catalyst Selection
- Homogeneous catalysts are required in less concentration to provide rapid results but are difficult to recover and reuse, for example, a high yield of biodiesel is produced in the presence of sodium alkoxide at low concentration in short reaction time but is difficult to be recovered;
- Conversely, heterogeneous catalysts are recoverable and reusable but less reactive due to leaching. A selection of highly efficient and active catalysts is the main focus of researchers for production of high yield of biodiesel. In most cases, base catalysts are in the form of sodium and potassium carbonates that form hydroxides and alkoxides and the rate of reaction is faster as compared to acid catalyzed reactions;
- A catalyst with large surface area of a catalyst can resolve different issues concerned with catalytic types and synthesis of nano-sized catalyst fulfils the above-mentioned criteria, hence, it can be the best option for producing high quality biodiesel with maximum yield in reasonable budget in less time;
- Enzyme or biocatalysts produce highly purified product, easily separable, mild reaction but highly expensive.
3. Types of Catalysis in Biodiesel Production
3.1. Esterification
3.2. Transesterification
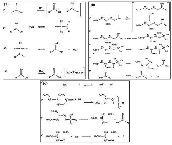
3.2.1. Acid Catalyzed Transesterification
3.2.2. Alkaline Transesterification
4. Types of Catalysts Used in Transesterification
4.1. Homogeneous Catalysts
4.1.1. Homogeneous Alkaline Catalysts
4.1.2. Homogeneous Acid Catalysts
4.2. Heterogeneous Catalysts
4.2.1. Heterogeneous Base Catalyst
Alkali and Alkaline Earth Metallic Catalysts
Mixed Metal-Based Catalysts
Transition Metal Catalyst
Boron Group Catalyst
Hydrotalcite-Based Catalyst
Waste Based Catalyst
4.2.2. Heterogeneous Acidic Catalysts
Cation-Exchange Resins
Heteropoly Acid (HPAs)
Sulfated Oxide Catalysts
Sulfonic Acid Catalyst
4.3. Acid-Base Catalyst
4.3.1. Zeolite-Based Catalysts
4.3.2. Zirconium-Based Catalysts
4.4. Homogeneous versus Heterogeneous Catalysts: A Comparison
4.5. Nano-Catalysts
- Quantities such as mean lattice constant, binding energy, and atomic density are directly related to bond length. Surface relaxation and densification are induced by lattice contraction in solids having nano-sized particles;
- Quantities such as thermal stability, activation energy, and critical temperature, coulomb blockade, self-organization growth are influenced by cohesive energy;
- Properties determining the complete band structure, for example Hamiltonian. Such characteristics change with binding energy density and other associated properties, for example photoemission, band gap and photoabsorption etc;
- Properties determined by combined effect of atomic cohesive energy and binding energy density, for example surface stress, magnetic performance (ferromagnets), extensibility, Young’s modulus, surface energy and compressibility.
- Nano-sized crystalline particles can be synthesized by gas condensation. This involves the utilization of metals and alloys and is regulated by process such as evaporation and condensation. This procedure includes the evaporation of particles and their collision under inert conditions with gaseous molecules that results in reduction in total kinetic energy producing nanoparticles in vacuum. These particles are collected in a collector attached to the evaporator that has been kept at low temperature via N (liq.) and for combination of power, a compaction part is also existing. The main limitation of the process is the choice of temperature, difference in evaporation rate, incompatibility between source and antecedent, long process duration;
- Another procedure for preparing nano-catalyst is vacuum deposition, that involves the application of temperature for evaporation of various constituents such as alloys. The pressure of less than 0.1 Pascal is adjusted, the substrate molecule is heated and the optimum deposition rate is attained at 1.3 Pascal [60];
- Chemical vapor deposition (CVD) is a technique that involves material deposition on substrate surface via chemical reaction either with plasma (300–700 °C) or high temperature (900 °C) in plasma activated CVD and temperature induced CVD, respectively. There are merits of this procedure such as utilization of suitable deposition coating deprived of high vacuum and range of precursors. Nevertheless, its by-products pose the health risk, it is very expensive and it is utilized in the electronic industry;
- Chemical precipitation is a method to synthesize the nano-catalysts in which a dopant is added to the main solution before precipitation and with the aid of surfactant, the nanoparticles are separated and cleaned via a covering surfactant for nanocluster surface polymerization under UV light. A biofuel catalyst has been prepared in a number of researches; for example, MgO was synthesized via chemical precipitation and applied for rapeseed biodiesel production [61];
- The colloidal particles are produced via sol gel method that involves hydrolysis reactions. It is a liquid phase technique in which a specific amount of substrate is used to achieve the precipitation of nanoparticles. The merit of this method includes the requirement of low temperature, and much less effort is needed for shaping and inserting, in turn making the process flexible. Sol-gel method has been successfully applied to synthesize nano-catalyst such as MgO and CaO [61];
- Impregnation method is the method for preparation of nano-catalyst in which solid and liquid (having component) comes in contact and suitable constituent adsorbed on solid and the adsorption of various components happens at various rates [62]. Hydrogen bonding and van der Waals. For instance, the impregnation method has been used to prepare KOH/CaAl2O3. A known amount of KOH (aq. soln.) was mixed with CaOAl2O3 and alumina then refluxed for 2 h. at 80 °C for conversion in to gel. Later on, this gel is oven dried overnight at 100 °C and calcined for 5 h. at 700 °C. The merits include it being cost effective method which is simple and well-studied; however, the particle size is difficult to control [63];
- An economical method to control particle size is electrochemical deposition that does not need a high concentration or temperature yet results in a one dimensional nanoparticle. Synthesis parameters, for example, reducing agent, conc. and calcination temperature are adjusted and in this way the characters of nano-catalysts can be improved.
4.5.1. Clay Derived Nano-Catalysts
4.5.2. Plant and Animal Origin Green Nanocatalysts
4.6. Biocatalysts
4.6.1. Immobilization of Lipases
Physical Adsorption
Entrapment
Covalent Bonding
Cross Linking
5. Benefits and Drawbacks of Different Catalysts: A Summary
6. Challenges, Future Perspectives and Recommendations
- Tremendous efforts should be made in order to exploit the ways to enhance kinetic rate of heterogeneous nano-catalysts, especially CaO because it has high catalytic activity, long life span and mild operating conditions;
- Biomass or waste derived catalysts should be synthesized in order to utilize and reuse the superfluous matter. Highly selective, promising and economic catalysts are needed to be developed at commercial scale;
- To improve the sustainability of catalysts, preparation and treatment methodologies (especially to deal with high FFA and water) should be upgraded;
- Further investigations are required to ensure the effective recovery of nano-catalysts via energy efficient and cost-effective routes for reusability;
- At a large scale, enzymatic biodiesel production can be a viable option in future (as an environmentally benign method), therefore the process should be potentially sound and low-cost that will also ensure the production of high-quality biodiesel in favorable competition with regular petroleum-based diesel.
7. Conclusions
Author Contributions
Funding
Institutional Review Board Statement
Informed Consent Statement
Conflicts of Interest
References
- Ameen, M.; Zafar, M.; Ahmad, M.; Shaheen, A.; Yaseen, G. Wild melon: A novel non-edible feedstock for bioenergy. Pet. Sci. 2018, 15, 405–411. [Google Scholar] [CrossRef]
- Ahmad, M.; Zafar, M. Conversion of waste seed oil of Citrus aurantium into methyl ester via green and recyclable nanoparticles of zirconium oxide in the context of circular bioeconomy approach. Waste Manag. 2021, 136, 310–320. [Google Scholar]
- Ahmad, M.; Zafar, M.; Yousaf, Z.; Ullah, S.A.; Sultana, S.; Bibi, F. Identification of novel, non-edible oil seeds via scanning electron microscopy as potential feedstock for green synthesis of biodiesel. Microsc. Res. Tech. 2021, 85, 708–720. [Google Scholar]
- Paryanto, I.; Prakoso, T.; Suyono, E.A.; Gozan, M. Determination of the upper limit of monoglyceride content in biodiesel for B30 implementation based on the measurement of the precipitate in a Biodiesel–Petrodiesel fuel blend (BXX). Fuel 2019, 258, 116104. [Google Scholar] [CrossRef]
- Guo, M. The global scenario of biofuel production and development. In Practices and Perspectives in Sustainable Bioenergy; Springer: New Delhi, India, 2020; pp. 29–56. [Google Scholar]
- Badday, A.S.; Abdullah, A.Z.; Lee, K.T.; Khayoon, M.S. Intensification of biodiesel production via ultrasonic-assisted process: A critical review on fundamentals and recent development. Renew. Sustain. Energy Rev. 2012, 16, 4574–4587. [Google Scholar] [CrossRef]
- Malek, M.N.F.A.; Hussin, N.M.; Embong, N.H.; Bhuyar, P.; Rahim, M.H.A.; Govindan, N.; Maniam, G.P. Ultrasonication: A process intensification tool for methyl ester synthesis: A mini review. Biomass Convers. Biorefinery 2020, 1–11. [Google Scholar] [CrossRef]
- Singh, D.; Sharma, D.; Soni, S.; Sharma, S.; Sharma, P.K.; Jhalani, A. A review on feedstocks, production processes, and yield for different generations of biodiesel. Fuel 2020, 262, 116553. [Google Scholar] [CrossRef]
- De Blasio, C. Biodiesel. In Fundamentals of Biofuels Engineering and Technology; Springer: Berlin/Heidelberg, Germany, 2019; pp. 253–265. [Google Scholar]
- Narasimhan, M.; Chandrasekaran, M.; Govindasamy, S.; Aravamudhan, A. Heterogeneous nanocatalysts for sustainable biodiesel production: A review. J. Environ. Chem. Eng. 2021, 9, 104876. [Google Scholar] [CrossRef]
- Ambat, I.; Srivastava, V.; Sillanpää, M. Recent advancement in biodiesel production methodologies using various feedstock: A review. Renew. Sustain. Energy Rev. 2018, 90, 356–369. [Google Scholar] [CrossRef]
- Atabani, A.E.; Silitonga, A.S.; Badruddin, I.A.; Mahlia, T.; Masjuki, H.; Mekhilef, S. A comprehensive review on biodiesel as an alternative energy resource and its characteristics. Renew. Sustain. Energy Rev. 2012, 16, 2070–2093. [Google Scholar] [CrossRef]
- Atabani, A.; Shobana, S.; Mohammed, M.; Uğuz, G.; Kumar, G.; Arvindnarayan, S.; Aslam, M.; Ala’a, H. Integrated valorization of waste cooking oil and spent coffee grounds for biodiesel production: Blending with higher alcohols, FT–IR, TGA, DSC and NMR characterizations. Fuel 2019, 244, 419–430. [Google Scholar] [CrossRef]
- Chai, M.; Tu, Q.; Lu, M.; Yang, Y.J. Esterification pretreatment of free fatty acid in biodiesel production, from laboratory to industry. Fuel Process. Technol. 2014, 125, 106–113. [Google Scholar] [CrossRef] [Green Version]
- Verma, P.; Sharma, M.; Dwivedi, G. Impact of alcohol on biodiesel production and properties. Renew. Sustain. Energy Rev. 2016, 56, 319–333. [Google Scholar] [CrossRef]
- Van Gerpen, J. Biodiesel processing and production. Fuel Process. Technol. 2005, 86, 1097–1107. [Google Scholar] [CrossRef]
- Anastopoulos, G.; Zannikou, Y.; Stournas, S.; Kalligeros, S. Transesterification of vegetable oils with ethanol and characterization of the key fuel properties of ethyl esters. Energies 2015, 2, 362–376. [Google Scholar] [CrossRef]
- Park, J.; Kim, B.; Lee, J.W. In-situ transesterification of wet spent coffee grounds for sustainable biodiesel production. Bioresour. Technol. 2016, 221, 55–60. [Google Scholar] [CrossRef] [PubMed]
- Thangaraj, B.; Solomon, P.R.; Muniyandi, B.; Ranganathan, S.; Lin, L. Catalysis in biodiesel production—A review. Clean Energy 2019, 3, 2–23. [Google Scholar] [CrossRef] [Green Version]
- Talha, N.S.; Sulaiman, S. Overview of catalysts in biodiesel production. ARPN J. Eng. Appl. Sci. 2016, 11, 439–442. [Google Scholar]
- Krope, J.; Olabi, A.G.; Goričanec, D.; Božičnik, S. Biodiesel Production. A Brief Review. In Proceedings of the 10th International Conference on Sustainable Energy and Environmental Protection Bioenergy and Biofuels, Bled, Slovenia, 27–30 June 2017. [Google Scholar]
- Ma, X.; Liu, F.; Helian, Y.; Li, C.; Wu, Z.; Li, H.; Chu, H.; Wang, Y.; Wang, Y.; Lu, W. Current application of MOFs based heterogeneous catalysts in catalyzing transesterification/esterification for biodiesel production: A review. Energy Convers. Manag. 2021, 229, 113760. [Google Scholar] [CrossRef]
- Bohlouli, A.; Mahdavian, L. Catalysts used in biodiesel production: A review. Biofuels 2021, 12, 885–898. [Google Scholar] [CrossRef]
- Bhoi, R.; Singh, D.; Mahajani, S. Investigation of mass transfer limitations in simultaneous esterification and transesterification of triglycerides using a heterogeneous catalyst. React. Chem. Eng. 2017, 2, 740–753. [Google Scholar] [CrossRef]
- Rizwanul Fattah, I.; Ong, H.; Mahlia, T.; Mofijur, M.; Silitonga, A.; Rahman, S.; Ahmad, A. State of the art of catalysts for biodiesel production. Front. Energy Res. 2020, 8, 101. [Google Scholar] [CrossRef]
- Gupta, A.R.; Rathod, V.K. Waste cooking oil and waste chicken eggshells derived solid base catalyst for the biodiesel production: Optimization and kinetics. Waste Manag. 2018, 79, 169–178. [Google Scholar] [CrossRef] [PubMed]
- Dai, Y.-M.; Wang, Y.-F.; Chen, C.-C. Synthesis and characterization of magnetic LiFe5O8-LiFeO2 as a solid basic catalyst for biodiesel production. Catal. Commun. 2018, 106, 20–24. [Google Scholar] [CrossRef]
- Salinas, D.; Sepúlveda, C.; Escalona, N.; Gfierro, J.; Pecchi, G. Sol–gel La2O3–ZrO2 mixed oxide catalysts for biodiesel production. J. Energy Chem. 2018, 27, 565–572. [Google Scholar] [CrossRef] [Green Version]
- Kandaramath Hari, T.; Yaakob, Z. Effect of calcination temperature on the application of sodium zirconate solid base catalyst for biodiesel production from Jatropha curcas oil. Int. J. Green Energy 2017, 14, 1163–1171. [Google Scholar] [CrossRef]
- Kaur, M.; Malhotra, R.; Ali, A. Tungsten supported Ti/SiO2 nanoflowers as reusable heterogeneous catalyst for biodiesel production. Renew. Energy 2018, 116, 109–119. [Google Scholar] [CrossRef]
- Mofijur, M.; Siddiki, S.Y.A.; Shuvho, M.B.A.; Djavanroodi, F.; Fattah, I.R.; Ong, H.C.; Mahlia, T.M.I. Effect of nanocatalysts on the transesterification reaction of first, second and third generation biodiesel sources-A mini-review. Chemosphere 2021, 270, 128642. [Google Scholar] [CrossRef]
- Yaqoob, I.; Rashid, U.; Nadeem, F. Alumina supported catalytic materials for biodiesel production-a detailed review. Int. J. Chem. Biochem. Sci. 2019, 16, 41–53. [Google Scholar]
- Benjapornkulaphong, S.; Ngamcharussrivichai, C.; Bunyakiat, K. Al2O3-supported alkali and alkali earth metal oxides for transesterification of palm kernel oil and coconut oil. Chem. Eng. J. 2009, 145, 468–474. [Google Scholar] [CrossRef]
- Navajas, A.; Campo, I.; Moral, A.; Echave, J.; Sanz, O.; Montes, M.; Odriozola, J.A.; Arzamendi, G.; Gandía, L. Outstanding performance of rehydrated Mg-Al hydrotalcites as heterogeneous methanolysis catalysts for the synthesis of biodiesel. Fuel 2018, 211, 173–181. [Google Scholar] [CrossRef]
- Marwaha, A.; Rosha, P.; Mohapatra, S.K.; Mahla, S.K.; Dhir, A. Waste materials as potential catalysts for biodiesel production: Current state and future scope. Fuel Process. Technol. 2018, 181, 175–186. [Google Scholar] [CrossRef]
- Bano, S.; Ganie, A.S.; Sultana, S.; Sabir, S.; Khan, M.Z. Fabrication and optimization of nanocatalyst for biodiesel production: An overview. Front. Energy Res. 2020, 350. [Google Scholar] [CrossRef]
- Erturk, K.M. Synthesis and Characterization of Sulfated Heterogeneous Catalyst for Biodiesel Transesterification. Ph.D. Thesis, University of South Florida, Tampa, FL, USA, 2021. [Google Scholar]
- Mansir, N.; Taufiq-Yap, Y.H.; Rashid, U.; Lokman, I.M. Investigation of heterogeneous solid acid catalyst performance on low grade feedstocks for biodiesel production: A review. Energy Convers. Manag. 2017, 141, 171–182. [Google Scholar] [CrossRef]
- Fu, J.; Chen, L.; Lv, P.; Yang, L.; Yuan, Z. Free fatty acids esterification for biodiesel production using self-synthesized macroporous cation exchange resin as solid acid catalyst. Fuel 2015, 154, 1–8. [Google Scholar] [CrossRef]
- Akkarawatkhoosith, N.; Kaewchada, A.; Ngamcharussrivichai, C.; Jaree, A. Biodiesel production via Interesterification of palm oil and ethyl acetate using ion-exchange resin in a packed-bed reactor. BioEnergy Res. 2020, 13, 542–551. [Google Scholar] [CrossRef]
- Kurhade, A.; Dalai, A.K. Physiochemical characterization and support interaction of alumina—Supported heteropolyacid catalyst for biodiesel production. Asia-Pac. J. Chem. Eng. 2018, 13, e2249. [Google Scholar] [CrossRef]
- Kaur, N.; Ali, A. Preparation and application of Ce/ZrO2−TiO2/SO42—As solid catalyst for the esterification of fatty acids. Renew. Energy 2015, 81, 421–431. [Google Scholar] [CrossRef]
- Andrijanto, E.; Dawson, E.; Brown, D. Hypercrosslinked polystyrene sulphonic acid catalysts for the esterification of free fatty acids in biodiesel synthesis. Appl. Catal. B Environ. 2012, 115, 261–268. [Google Scholar] [CrossRef] [Green Version]
- Munyentwali, A.; Li, H.; Yang, Q. Review of advances in bifunctional solid acid/base catalysts for sustainable biodiesel production. Appl. Catal. A Gen. 2022, 633, 118525. [Google Scholar] [CrossRef]
- Khan, Y.; Badruddin, I.A.; Ankalgi, R.; Badarudin, A.; Hungund, B.; Ankalgi, F.R. Biodiesel production by direct transesterification process via sequential use of Acid–Base catalysis. Arab. J. Sci. Eng. 2018, 43, 5929–5936. [Google Scholar] [CrossRef]
- Ullah, F.; Dong, L.; Bano, A.; Peng, Q.; Huang, J. Current advances in catalysis toward sustainable biodiesel production. J. Energy Inst. 2016, 89, 282–292. [Google Scholar] [CrossRef]
- Jitputti, J.; Kitiyanan, B.; Rangsunvigit, P.; Bunyakiat, K.; Attanatho, L.; Jenvanitpanjakul, P. Transesterification of crude palm kernel oil and crude coconut oil by different solid catalysts. Chem. Eng. J. 2006, 116, 61–66. [Google Scholar] [CrossRef]
- Macario, A.; Giordano, G.; Onida, B.; Cocina, D.; Tagarelli, A.; Giuffrè, A.M. Biodiesel production process by homogeneous/heterogeneous catalytic system using an acid—Base catalyst. Appl. Catal. A Gen. 2010, 378, 160–168. [Google Scholar] [CrossRef]
- Du, L.; Ding, S.; Li, Z.; Lv, E.; Lu, J.; Ding, J. Transesterification of castor oil to biodiesel using NaY zeolite-supported La2O3 catalysts. Energy Convers. Manag. 2018, 173, 728–734. [Google Scholar] [CrossRef]
- Guldhe, A.; Singh, P.; Ansari, F.A.; Singh, B.; Bux, F. Biodiesel synthesis from microalgal lipids using tungstated zirconia as a heterogeneous acid catalyst and its comparison with homogeneous acid and enzyme catalysts. Fuel 2017, 187, 180–188. [Google Scholar] [CrossRef]
- Ibrahim, M.M.; Mahmoud, H.R.; El-Molla, S.A. Influence of support on physicochemical properties of ZrO2 based solid acid heterogeneous catalysts for biodiesel production. Catal. Commun. 2019, 122, 10–15. [Google Scholar] [CrossRef]
- Baskar, G.; Aiswarya, R.; Soumiya, S.; Mohanapriya, N.; Nivetha, S.R. Recent Advances in Heterogeneous Catalysts for Biodiesel Production. J. Energy Environ. Sustain. 2017, 4, 1–5. [Google Scholar] [CrossRef]
- Ramos, M.; Dias, A.P.S.; Puna, J.F.; Gomes, J.; Bordado, J.C. Biodiesel production processes and sustainable raw materials. Energies 2019, 12, 4408. [Google Scholar] [CrossRef] [Green Version]
- Abdullah, R.F.; Rashid, U.; Hazmi, B.; Ibrahim, M.L.; Tsubota, T.; Alharthi, F.A. Potential heterogeneous nano-catalyst via integrating hydrothermal carbonization for biodiesel production using waste cooking oil. Chemosphere 2022, 286, 131913. [Google Scholar] [CrossRef]
- Singh, S.B.; Tandon, P.K. Catalysis: A brief review on nano-catalyst. J. Energy Chem. Eng. 2014, 2, 106–115. [Google Scholar]
- Zhu, Z.; Liu, Y.; Cong, W.; Zhao, X.; Janaun, J.; Wei, T.; Fang, Z. Soybean biodiesel production using synergistic CaO/Ag nano catalyst: Process optimization, kinetic study, and economic evaluation. Ind. Crops Prod. 2021, 166, 113479. [Google Scholar] [CrossRef]
- Hadadian, Y.; Ramos, A.P.; Pavan, T.Z. Role of zinc substitution in magnetic hyperthermia properties of magnetite nanoparticles: Interplay between intrinsic properties and dipolar interactions. Sci. Rep. 2019, 9, 18048. [Google Scholar] [CrossRef] [PubMed] [Green Version]
- Abusweireh, R.S.; Rajamohan, N.; Vasseghian, Y. Enhanced production of biodiesel using nanomaterials: A detailed review on the mechanism and influencing factors. Fuel 2022, 319, 123862. [Google Scholar] [CrossRef]
- Cuenya, B.R. Synthesis and catalytic properties of metal nanoparticles: Size, shape, support, composition, and oxidation state effects. Thin Solid Film. 2010, 518, 3127–3150. [Google Scholar] [CrossRef]
- Rajput, N. Methods of preparation of nanoparticles-a review. Int. J. Adv. Eng. Technol. 2015, 7, 1806. [Google Scholar]
- Charitidis, C.A.; Georgiou, P.; Koklioti, M.A.; Trompeta, A.-F.; Markakis, V. Manufacturing nanomaterials: From research to industry. Manuf. Rev. 2014, 1, 11. [Google Scholar] [CrossRef] [Green Version]
- Yao, D.; Yang, H.; Chen, H.; Williams, P.T. Co-precipitation, impregnation and so-gel preparation of Ni catalysts for pyrolysis-catalytic steam reforming of waste plastics. Appl. Catal. B Environ. 2018, 239, 565–577. [Google Scholar] [CrossRef]
- Nayebzadeh, H.; Haghighi, M.; Saghatoleslami, N.; Tabasizadeh, M. Influence of Fuel to Oxidizer Ratio on Microwave-Assisted Combustion Preparation of Nanostructured KOH/Ca12Al14O33 Catalyst Used in Efficient Biodiesel Production. Front. Energy Res. 2020, 8, 106. [Google Scholar] [CrossRef]
- Vahid, B.R.; Haghighi, M. Urea-nitrate combustion synthesis of MgO/MgAl2O4 nanocatalyst used in biodiesel production from sunflower oil: Influence of fuel ratio on catalytic properties and performance. Energy Convers. Manag. 2016, 126, 362–372. [Google Scholar] [CrossRef]
- Ashok, A.; Kennedy, L.J.; Vijaya, J.J.; Aruldoss, U. Optimization of biodiesel production from waste cooking oil by magnesium oxide nanocatalyst synthesized using coprecipitation method. Clean Technol. Environ. Policy 2018, 20, 1219–1231. [Google Scholar] [CrossRef]
- Rasouli, H.; Esmaeili, H. Characterization of MgO nanocatalyst to produce biodiesel from goat fat using transesterification process. 3 Biotech 2019, 9, 1–11. [Google Scholar] [CrossRef] [PubMed]
- Esmaeili, H.; Yeganeh, G.; Esmaeilzadeh, F. Optimization of biodiesel production from Moringa oleifera seeds oil in the presence of nano-MgO using Taguchi method. Int. Nano Lett. 2019, 9, 257–263. [Google Scholar] [CrossRef] [Green Version]
- Dehghani, S.; Haghighi, M. Sono-dispersed MgO over cerium-doped MCM-41 nanocatalyst for biodiesel production from acidic sunflower oil: Surface evolution by altering Si/Ce molar ratios. Waste Manag. 2019, 95, 584–592. [Google Scholar] [CrossRef] [PubMed]
- Feyzi, M.; Hosseini, N.; Yaghobi, N.; Ezzati, R. Preparation, characterization, kinetic and thermodynamic studies of MgO-La2O3 nanocatalysts for biodiesel production from sunflower oil. Chem. Phys. Lett. 2017, 677, 19–29. [Google Scholar] [CrossRef] [Green Version]
- Rafati, A.; Tahvildari, K.; Nozari, M. Production of biodiesel by electrolysis method from waste cooking oil using heterogeneous MgO-NaOH nano catalyst. Energy Sources Part A Recovery Util. Environ. Eff. 2019, 41, 1062–1074. [Google Scholar] [CrossRef]
- Niju, S.; Raj, F.R.; Anushya, C.; Balajii, M. Optimization of acid catalyzed esterification and mixed metal oxide catalyzed transesterification for biodiesel production from Moringa oleifera oil. Green Process. Synth. 2019, 8, 756–775. [Google Scholar] [CrossRef]
- Liu, Y.; Zhang, P.; Fan, M.; Jiang, P. Biodiesel production from soybean oil catalyzed by magnetic nanoparticle MgFe2O4@ CaO. Fuel 2016, 164, 314–321. [Google Scholar] [CrossRef]
- ANR, R.; Saleh, A.A.; Islam, M.S.; Hamdan, S.; Maleque, M.A. Biodiesel production from crude Jatropha oil using a highly active heterogeneous nanocatalyst by optimizing transesterification reaction parameters. Energy Fuels 2016, 30, 334–343. [Google Scholar] [CrossRef]
- Bet-Moushoul, E.; Farhadi, K.; Mansourpanah, Y.; Nikbakht, A.M.; Molaei, R.; Forough, M. Application of CaO-based/Au nanoparticles as heterogeneous nanocatalysts in biodiesel production. Fuel 2016, 164, 119–127. [Google Scholar] [CrossRef]
- Bharti, P.; Singh, B.; Dey, R. Process optimization of biodiesel production catalyzed by CaO nanocatalyst using response surface methodology. J. Nanostructure Chem. 2019, 9, 269–280. [Google Scholar] [CrossRef] [Green Version]
- Mihankhah, T.; Delnavaz, M.; Khaligh, N.G. Application of TiO2 nanoparticles for eco-friendly biodiesel production from waste olive oil. Int. J. Green Energy 2018, 15, 69–75. [Google Scholar] [CrossRef]
- Gardy, J.; Hassanpour, A.; Lai, X.; Ahmed, M.H.; Rehan, M. Biodiesel production from used cooking oil using a novel surface functionalised TiO2 nano-catalyst. Appl. Catal. B Environ. 2017, 207, 297–310. [Google Scholar] [CrossRef] [Green Version]
- Gardy, J.; Hassanpour, A.; Lai, X.; Ahmed, M.H. Synthesis of Ti(SO4)O solid acid nano-catalyst and its application for biodiesel production from used cooking oil. Appl. Catal. A Gen. 2016, 527, 81–95. [Google Scholar] [CrossRef]
- Baskar, G.; Gurugulladevi, A.; Nishanthini, T.; Aiswarya, R.; Tamilarasan, K. Optimization and kinetics of biodiesel production from Mahua oil using manganese doped zinc oxide nanocatalyst. Renew. Energy 2017, 103, 641–646. [Google Scholar] [CrossRef]
- Borah, M.J.; Devi, A.; Borah, R.; Deka, D. Synthesis and application of Co doped ZnO as heterogeneous nanocatalyst for biodiesel production from non-edible oil. Renew. Energy 2019, 133, 512–519. [Google Scholar] [CrossRef]
- Thangaraj, B.; Piraman, S. Heteropoly acid coated ZnO nanocatalyst for Madhuca indica biodiesel synthesis. Biofuels 2016, 7, 13–20. [Google Scholar] [CrossRef]
- Baskar, G.; Selvakumari, I.A.E.; Aiswarya, R. Biodiesel production from castor oil using heterogeneous Ni doped ZnO nanocatalyst. Bioresour. Technol. 2018, 250, 793–798. [Google Scholar] [CrossRef]
- Dantas, J.; Leal, E.; Mapossa, A.; Cornejo, D.; Costa, A. Magnetic nanocatalysts of Ni0.5Zn0.5Fe2O4 doped with Cu and performance evaluation in transesterification reaction for biodiesel production. Fuel 2017, 191, 463–471. [Google Scholar] [CrossRef]
- Nagaraju, G.; Prashanth, S.; Shastri, M.; Yathish, K.; Anupama, C.; Rangappa, D. Electrochemical heavy metal detection, photocatalytic, photoluminescence, biodiesel production and antibacterial activities of Ag–ZnO nanomaterial. Mater. Res. Bull. 2017, 94, 54–63. [Google Scholar] [CrossRef]
- Salimi, Z.; Hosseini, S.A. Study and optimization of conditions of biodiesel production from edible oils using ZnO/BiFeO3 nano magnetic catalyst. Fuel 2019, 239, 1204–1212. [Google Scholar] [CrossRef]
- Mahdavi, M.; Abedini, E.; hosein Darabi, A. Correction: Biodiesel synthesis from oleic acid by nano-catalyst (ZrO2/Al2O3) under high voltage conditions. RSC Adv. 2015, 5, 58566. [Google Scholar] [CrossRef] [Green Version]
- Saravanan, K.; Tyagi, B.; Shukla, R.S.; Bajaj, H.C. Solvent free synthesis of methyl palmitate over sulfated zirconia solid acid catalyst. Fuel 2016, 165, 298–305. [Google Scholar] [CrossRef]
- Takase, M.; Zhang, M.; Feng, W.; Chen, Y.; Zhao, T.; Cobbina, S.J.; Yang, L.; Wu, X. Application of zirconia modified with KOH as heterogeneous solid base catalyst to new non-edible oil for biodiesel. Energy Convers. Manag. 2014, 80, 117–125. [Google Scholar] [CrossRef]
- Munir, M.; Ahmad, M.; Saeed, M.; Waseem, A.; Nizami, A.-S.; Sultana, S.; Zafar, M.; Rehan, M.; Srinivasan, G.R.; Ali, A.M. Biodiesel production from novel non-edible caper (Capparis spinosa L.) seeds oil employing Cu–Ni doped ZrO2 catalyst. Renew. Sustain. Energy Rev. 2021, 138, 110558. [Google Scholar] [CrossRef]
- Nawaz, S.; Ahmad, M.; Asif, S.; Klemeš, J.J.; Mubashir, M.; Munir, M.; Zafar, M.; Bokhari, A.; Mukhtar, A.; Saqib, S. Phyllosilicate derived catalysts for efficient conversion of lignocellulosic derived biomass to biodiesel: A review. Bioresour. Technol. 2021, 343, 126068. [Google Scholar] [CrossRef]
- Munir, M.; Saeed, M.; Ahmad, M.; Waseem, A.; Sultana, S.; Zafar, M.; Srinivasan, G.R. Optimization of novel Lepidium perfoliatum Linn. Biodiesel using zirconium-modified montmorillonite clay catalyst. Energy Sources Part A Recovery Util. Environ. Eff. 2019, 1–16. [Google Scholar] [CrossRef]
- Munir, M.; Ahmad, M.; Saeed, M.; Waseem, A.; Rehan, M.; Nizami, A.-S.; Zafar, M.; Arshad, M.; Sultana, S. Sustainable production of bioenergy from novel non-edible seed oil (Prunus cerasoides) using bimetallic impregnated montmorillonite clay catalyst. Renew. Sustain. Energy Rev. 2019, 109, 321–332. [Google Scholar] [CrossRef]
- Munir, M.; Ahmad, M.; Mubashir, M.; Asif, S.; Waseem, A.; Mukhtar, A.; Saqib, S.; Munawaroh, H.S.H.; Lam, M.K.; Khoo, K.S. A practical approach for synthesis of biodiesel via non-edible seeds oils using trimetallic based montmorillonite nano-catalyst. Bioresour. Technol. 2021, 328, 124859. [Google Scholar] [CrossRef]
- Jia, L.; Li, Y.; Chen, J.; Guo, X.; Lou, S.; Duan, H. Montmorillonite-supported KF/CaO: A new solid base catalyst for biodiesel production. Res. Chem. Intermed. 2016, 42, 1791–1807. [Google Scholar] [CrossRef]
- Olutoye, M.; Wong, S.; Chin, L.; Amani, H.; Asif, M.; Hameed, B. Synthesis of fatty acid methyl esters via the transesterification of waste cooking oil by methanol with a barium-modified montmorillonite K10 catalyst. Renew. Energy 2016, 86, 392–398. [Google Scholar] [CrossRef]
- Negm, N.A.; Sayed, G.H.; Yehia, F.Z.; Habib, O.I.; Mohamed, E.A. Biodiesel production from one-step heterogeneous catalyzed process of Castor oil and Jatropha oil using novel sulphonated phenyl silane montmorillonite catalyst. J. Mol. Liq. 2017, 234, 157–163. [Google Scholar] [CrossRef]
- Ayoub, M.; Bhat, A.H.; Ullah, S.; Ahmad, M.; Uemura, Y. Optimization of biodiesel production over alkaline modified clay catalyst. J. Jpn. Inst. Energy 2017, 96, 456–462. [Google Scholar] [CrossRef] [Green Version]
- Yahya, S.; Wahab, S.K.M.; Harun, F.W. Optimization of biodiesel production from waste cooking oil using Fe-Montmorillonite K10 by response surface methodology. Renew. Energy 2020, 157, 164–172. [Google Scholar] [CrossRef]
- Aslan, S.; Aka, N.; Karaoglu, M.H. NaOH impregnated sepiolite based heterogeneous catalyst and its utilization for the production of biodiesel from canola oil. Energy Sources Part A Recovery Util. Environ. Eff. 2019, 41, 290–297. [Google Scholar] [CrossRef]
- Junior, E.G.S.; Barcelos, L.F.T.; Perez, V.H.; Justo, O.R.; Ramirez, L.C.; de Moraes Rêgo Filho, L.; de Castro, M.P.P. Biodiesel production from non-edible forage turnip oil by extruded catalyst. Ind. Crops Prod. 2019, 139, 111503. [Google Scholar]
- Silveira Junior, E.G.; Justo, O.R.; Perez, V.H.; Reyero, I.; Serrano-Lotina, A.; Campos Ramirez, L.; dos Santos Dias, D.F. Extruded catalysts with magnetic properties for biodiesel production. Adv. Mater. Sci. Eng. 2018, 2018, 3980967. [Google Scholar] [CrossRef] [Green Version]
- Shan, R.; Shi, J.; Yan, B.; Chen, G.; Yao, J.; Liu, C. Transesterification of palm oil to fatty acids methyl ester using K2CO3/palygorskite catalyst. Energy Convers. Manag. 2016, 116, 142–149. [Google Scholar] [CrossRef]
- Li, Y.; Jiang, Y. Preparation of a palygorskite supported KF/CaO catalyst and its application for biodiesel production via transesterification. RSC Adv. 2018, 8, 16013–16018. [Google Scholar] [CrossRef] [Green Version]
- Doyle, A.M.; Albayati, T.M.; Abbas, A.S.; Alismaeel, Z.T. Biodiesel production by esterification of oleic acid over zeolite Y prepared from kaolin. Renew. Energy 2016, 97, 19–23. [Google Scholar] [CrossRef] [Green Version]
- Đặng, T.-H.; Chen, B.-H.; Lee, D.-J. Optimization of biodiesel production from transesterification of triolein using zeolite LTA catalysts synthesized from kaolin clay. J. Taiwan Inst. Chem. Eng. 2017, 79, 14–22. [Google Scholar] [CrossRef]
- Onukwuli, O.D.; Ude, C.N. Kinetics of African pear seed oil (APO) methanolysis catalyzed by phosphoric acid-activated kaolin clay. Appl. Petrochem. Res. 2018, 8, 299–313. [Google Scholar] [CrossRef]
- Abukhadra, M.R.; Sayed, M.A. K+ trapped kaolinite (Kaol/K+) as low cost and eco-friendly basic heterogeneous catalyst in the transesterification of commercial waste cooking oil into biodiesel. Energy Convers. Manag. 2018, 177, 468–476. [Google Scholar] [CrossRef]
- Liu, J.; Yun, Z.; Gui, X. Ce/kaolin clay as an active catalyst for fatty acid methyl esters production from cottonseed oil in a new integrated apparatus. Braz. J. Chem. Eng. 2018, 35, 147–154. [Google Scholar] [CrossRef] [Green Version]
- Fatimah, I.; Rubiyanto, D. Effect of KF Modification to Kaolinite Catalytic Activity in Microwave-Assisted Biodiesel Conversion. Egypt. J. Chem. 2018, 61, 213–223. [Google Scholar] [CrossRef]
- Setiadji, S.; Sundari, C.; Munir, M.; Fitriyah, S. Synthesis of solid catalyst from egg shell waste and clay for biodiesel production. J. Phys. Conf. Ser. 2018, 103, 012199. [Google Scholar] [CrossRef] [Green Version]
- Ali, B.; Yusup, S.; Quitain, A.T.; Alnarabiji, M.S.; Kamil, R.N.M.; Kida, T. Synthesis of novel graphene oxide/bentonite bi-functional heterogeneous catalyst for one-pot esterification and transesterification reactions. Energy Convers. Manag. 2018, 171, 1801–1812. [Google Scholar] [CrossRef]
- Abukhadra, M.R.; Ibrahim, S.M.; Yakout, S.M.; El-Zaidy, M.E.; Abdeltawab, A.A. Synthesis of Na+ trapped bentonite/zeolite-P composite as a novel catalyst for effective production of biodiesel from palm oil; Effect of ultrasonic irradiation and mechanism. Energy Convers. Manag. 2019, 196, 739–750. [Google Scholar] [CrossRef]
- de Oliveira, A.d.N.; Barbosa de Lima, M.A.; de Oliveira Pires, L.H.; Rosas da Silva, M.; Souza da Luz, P.T.; Angélica, R.S.; da Rocha Filho, G.N.; F da Costa, C.E.; Luque, R.; Santos do Nascimento, L.A. Bentonites modified with phosphomolybdic heteropolyacid (HPMo) for biowaste to biofuel production. Materials 2019, 12, 1431. [Google Scholar] [CrossRef] [Green Version]
- Naik, B.D.; Meivelu, U. Experimental studies on sodium methoxide supported bentonite catalyst for biodiesel preparation from waste sunflower oil. Environ. Prog. Sustain. Energy 2020, 39, e13390. [Google Scholar] [CrossRef]
- Changmai, B.; Vanlalveni, C.; Ingle, A.P.; Bhagat, R.; Rokhum, L. Widely used catalysts in biodiesel production: A review. RSC Adv. 2020, 10, 41625–41679. [Google Scholar] [CrossRef] [PubMed]
- Gohain, M.; Devi, A.; Deka, D. Musa balbisiana Colla peel as highly effective renewable heterogeneous base catalyst for biodiesel production. Ind. Crops Prod. 2017, 109, 8–18. [Google Scholar] [CrossRef]
- Mendonça, I.M.; Paes, O.A.; Maia, P.J.; Souza, M.P.; Almeida, R.A.; Silva, C.C.; Duvoisin, S., Jr.; de Freitas, F.A. New heterogeneous catalyst for biodiesel production from waste tucumã peels (Astrocaryum aculeatum Meyer): Parameters optimization study. Renew. Energy 2019, 130, 103–110. [Google Scholar] [CrossRef]
- Barros, S.d.S.; Junior, W.A.P.; Sá, I.S.; Takeno, M.L.; Nobre, F.X.; Pinheiro, W.; Manzato, L.; Iglauer, S.; de Freitas, F.A. Pineapple (Ananás comosus) leaves ash as a solid base catalyst for biodiesel synthesis. Bioresour. Technol. 2020, 312, 123569. [Google Scholar] [CrossRef] [PubMed]
- Cao, M.; Peng, L.; Xie, Q.; Xing, K.; Lu, M.; Ji, J. Sulfonated Sargassum horneri carbon as solid acid catalyst to produce biodiesel via esterification. Bioresour. Technol. 2021, 324, 124614. [Google Scholar] [CrossRef] [PubMed]
- Malani, R.S.; Sardar, H.; Malviya, Y.; Goyal, A.; Moholkar, V.S. Ultrasound-intensified biodiesel production from mixed nonedible oil feedstock using heterogeneous acid catalyst supported on rubber de-oiled cake. Ind. Eng. Chem. Res. 2018, 57, 14926–14938. [Google Scholar] [CrossRef]
- Farooq, M.; Ramli, A.; Naeem, A. Biodiesel production from low FFA waste cooking oil using heterogeneous catalyst derived from chicken bones. Renew. Energy 2015, 76, 362–368. [Google Scholar] [CrossRef]
- Nisar, J.; Razaq, R.; Farooq, M.; Iqbal, M.; Khan, R.A.; Sayed, M.; Shah, A.; ur Rahman, I. Enhanced biodiesel production from Jatropha oil using calcined waste animal bones as catalyst. Renew. Energy 2017, 101, 111–119. [Google Scholar] [CrossRef]
- Hebbar, H.H.; Math, M.; Yatish, K. Optimization and kinetic study of CaO nano-particles catalyzed biodiesel production from Bombax ceiba oil. Energy 2018, 143, 25–34. [Google Scholar] [CrossRef]
- Ali, C.H.; Asif, A.H.; Iqbal, T.; Qureshi, A.S.; Kazmi, M.A.; Yasin, S.; Danish, M.; Mu, B.-Z. Improved transesterification of waste cooking oil into biodiesel using calcined goat bone as a catalyst. Energy Sources Part A Recovery Util. Environ. Eff. 2018, 40, 1076–1083. [Google Scholar] [CrossRef]
- Kara, K.; Ouanji, F.; El Mahi, M.; Kacimi, M.; Mahfoud, Z. Biodiesel synthesis from vegetable oil using eggshell waste as a heterogeneous catalyst. Biofuels 2019, 12, 1083–1089. [Google Scholar] [CrossRef]
- Guldhe, A.; Moura, C.V.; Singh, P.; Rawat, I.; Moura, E.M.; Sharma, Y.; Bux, F. Conversion of microalgal lipids to biodiesel using chromium-aluminum mixed oxide as a heterogeneous solid acid catalyst. Renew. Energy 2017, 105, 175–182. [Google Scholar] [CrossRef]
- Laskar, I.B.; Rajkumari, K.; Gupta, R.; Chatterjee, S.; Paul, B.; Rokhum, L. Waste snail shell derived heterogeneous catalyst for biodiesel production by the transesterification of soybean oil. RSC Adv. 2018, 8, 20131–20142. [Google Scholar] [CrossRef] [PubMed] [Green Version]
- Basumatary, S.; Nath, B.; Das, B.; Kalita, P.; Basumatary, B. Utilization of renewable and sustainable basic heterogeneous catalyst from Heteropanax fragrans (Kesseru) for effective synthesis of biodiesel from Jatropha curcas oil. Fuel 2021, 286, 119357. [Google Scholar] [CrossRef]
- Sahu, O. Characterisation and utilization of heterogeneous catalyst from waste rice-straw for biodiesel conversion. Fuel 2021, 287, 119543. [Google Scholar] [CrossRef]
- Aleman-Ramirez, J.; Moreira, J.; Torres-Arellano, S.; Longoria, A.; Okoye, P.U.; Sebastian, P. Preparation of a heterogeneous catalyst from moringa leaves as a sustainable precursor for biodiesel production. Fuel 2021, 284, 118983. [Google Scholar] [CrossRef]
- Ghanei, R.; Dermani, R.K.; Salehi, Y.; Mohammadi, M. Waste animal bone as support for CaO impregnation in catalytic biodiesel production from vegetable oil. Waste Biomass Valorization 2016, 7, 527–532. [Google Scholar] [CrossRef]
- Nath, B.; Kalita, P.; Das, B.; Basumatary, S. Highly efficient renewable heterogeneous base catalyst derived from waste Sesamum indicum plant for synthesis of biodiesel. Renew. Energy 2020, 151, 295–310. [Google Scholar] [CrossRef]
- Nath, B.; Das, B.; Kalita, P.; Basumatary, S. Waste to value addition: Utilization of waste Brassica nigra plant derived novel green heterogeneous base catalyst for effective synthesis of biodiesel. J. Clean. Prod. 2019, 239, 118112. [Google Scholar] [CrossRef]
- Sai, B.A.; Subramaniapillai, N.; Mohamed, M.S.B.K.; Narayanan, A. Optimization of continuous biodiesel production from rubber seed oil (RSO) using calcined eggshells as heterogeneous catalyst. J. Environ. Chem. Eng. 2020, 8, 103603. [Google Scholar]
- Vargas, M.; Niehus, X.; Casas-Godoy, L.; Sandoval, G. Lipases as biocatalyst for biodiesel production. Lipases Phospholipases 2018, 1835, 377–390. [Google Scholar]
- Santos, S.; Puna, J.; Gomes, J. A review on bio-based catalysts (immobilized enzymes) used for biodiesel production. Energies 2020, 13, 3013. [Google Scholar] [CrossRef]
- Puri, M.; Barrow, C.J.; Verma, M.L. Enzyme immobilization on nanomaterials for biofuel production. Trends Biotechnol. 2013, 31, 215–216. [Google Scholar] [CrossRef] [PubMed]
- Tan, Z.; Bilal, M.; Li, X.; Ju, F.; Teng, Y.; Iqbal, H.M. Nanomaterial-immobilized lipases for sustainable recovery of biodiesel—A review. Fuel 2022, 316, 123429. [Google Scholar] [CrossRef]
- Marín-Suárez, M.; Méndez-Mateos, D.; Guadix, A.; Guadix, E.M. Reuse of immobilized lipases in the transesterification of waste fish oil for the production of biodiesel. Renew. Energy 2019, 140, 1–8. [Google Scholar] [CrossRef]
- Aguieiras, E.C.; Cavalcanti-Oliveira, E.D.; Cammarota, M.C.; Freire, D.M. Solid-state fermentation for the production of lipases for environmental and biodiesel applications. Curr. Dev. Biotechnol. Bioeng. 2018, 123–168. [Google Scholar] [CrossRef]
- Zheng, J.; Wei, W.; Wang, S.; Li, X.; Zhang, Y.; Wang, Z. Immobilization of Lipozyme TL 100L for methyl esterification of soybean oil deodorizer distillate. 3 Biotech 2020, 10, 51. [Google Scholar] [CrossRef]
- Bhatia, S.K.; Bhatia, R.K.; Jeon, J.-M.; Pugazhendhi, A.; Awasthi, M.K.; Kumar, D.; Kumar, G.; Yoon, J.-J.; Yang, Y.-H. An overview on advancements in biobased transesterification methods for biodiesel production: Oil resources, extraction, biocatalysts, and process intensification technologies. Fuel 2021, 285, 119117. [Google Scholar] [CrossRef]
- Binhayeeding, N.; Klomklao, S.; Prasertsan, P.; Sangkharak, K. Improvement of biodiesel production using waste cooking oil and applying single and mixed immobilised lipases on polyhydroxyalkanoate. Renew. Energy 2020, 162, 1819–1827. [Google Scholar] [CrossRef]
- Sankaran, R.; Show, P.L.; Chang, J.S. Biodiesel production using immobilized lipase: Feasibility and challenges. Biofuels Bioprod. Biorefining 2016, 10, 896–916. [Google Scholar] [CrossRef]
- Tacias-Pascacio, V.G.; Torrestiana-Sánchez, B.; Dal Magro, L.; Virgen-Ortíz, J.J.; Suárez-Ruíz, F.J.; Rodrigues, R.C.; Fernandez-Lafuente, R. Comparison of acid, basic and enzymatic catalysis on the production of biodiesel after RSM optimization. Renew. Energy 2019, 135, 1–9. [Google Scholar] [CrossRef]
- Rodrigues, J.; Canet, A.; Rivera, I.; Osório, N.; Sandoval, G.; Valero, F.; Ferreira-Dias, S. Biodiesel production from crude Jatropha oil catalyzed by non-commercial immobilized heterologous Rhizopus oryzae and Carica papaya lipases. Bioresour. Technol. 2016, 213, 88–95. [Google Scholar] [CrossRef] [PubMed] [Green Version]
- Tang, A.; Zhang, Y.; Wei, T.; Wu, J.; Li, Q.; Liu, Y. Immobilization of candida cylindracea lipase by covalent attachment on glu-modified bentonite. Appl. Biochem. Biotechnol. 2019, 187, 870–883. [Google Scholar] [CrossRef] [PubMed]
- Safaryan, S.M.; Yakovlev, A.V.; Pidko, E.A.; Vinogradov, A.V.; Vinogradov, V.V. Reversible sol–gel–sol medium for enzymatic optical biosensors. J. Mater. Chem. B 2017, 5, 85–91. [Google Scholar] [CrossRef]
- Kumari, V.; Shah, S.; Gupta, M.N. Preparation of biodiesel by lipase-catalyzed transesterification of high free fatty acid containing oil from Madhuca indica. Energy Fuels 2007, 21, 368–372. [Google Scholar] [CrossRef]
- Sánchez, D.A.; Tonetto, G.M.; Ferreira, M.L. Burkholderia cepacia lipase: A versatile catalyst in synthesis reactions. Biotechnol. Bioeng. 2018, 115, 6–24. [Google Scholar] [CrossRef] [PubMed]








| Edible Oils | Non-Edible Seed Oils | Animal Fats/Oils | Other Oil Sources |
|---|---|---|---|
| Sorghum | Rice bran | Poultry/chicken | Fungi |
| Sunflower | Camelina | Beef tallow | Bacteria |
| Safflower | Jojoba | Fish | Algae |
| Barley | Tobacco | Pork lard | Switchgrass |
| Peanut | Rubber | Grease | Terpenes |
| Oat | Wild Melon | Latex | |
| Coconut | Waste cooking oil |
| Type of Catalyst | Examples | Features | |
|---|---|---|---|
| Acids | Homogeneous | Sulphuric acid, Sulphonic acid, Hydrochloric acid | Better catalysis but corrosive and slow reaction rate |
| Heterogeneous | Bronsted and Lewis acids, keggin heteropolyacids | Reusable and recoverable but severe reaction and costly | |
| Bases | Homogeneous | Potassium hydroxide, Sodium hydroxide and Sodium methylate | High reaction rate, non-corrosive, cheap and readily available but high FFA cause soap formation and cannot be reused |
| Heterogeneous | Carbonates and oxides of alkali metals and alkaline earth metals | Reusable, easy purification, minimum waste production but costly and leaching on recovery | |
| Biocatalysts | Enzymes | Lipases | Highly purified product, easily separable, mild reaction but highly expensive, deactivation of enzyme due to methanol |
| Catalyst | Raw Material | Methanol to Oil Molar Ratio | Catalyst Conc. (wt. %) | Time (min) | Temp. °C | Yield of Biodiesel (%) |
|---|---|---|---|---|---|---|
| NaOH | Frying oil | 7.5:1 | 0.5 | 30 | 50 | 96 |
| KOH | Vegetable oil | 6:1 | 1 | 25 | 40 | 51–87 |
| KOH | Tallow | 6:1 | 1 | 180 | 65 | ~83.6 |
| NaOH | Sunflower | 6:1 | 1 | 120 | 60 | ~97 |
| NaOCH3 | Waste edible oil | 6:1 | 0.75 | 90 | 65 | ~97 |
| NaOCH3 | Soybean oil | 6:1 | 1.35 | 240 | 23 | ~97 |
| KOH | Roselle oil | 8:1 | 1.5 | 60 | 60 | ~99 |
| Homogeneous Acid Catalysts | ||||||
| H2SO4 | Zanthoxylum bungeanum | 24:1 | 2 | 01:20 | 60 | 98 |
| C2HF3O2 | Soybean oil | 20:1 | 2M | 05:00 | 120 | 98 |
| H2SO4 | Beef Tallow | 30:1 | 2.5 | 24:00 | 60 | 98 |
| H2SO4 | Tobacco oil | 18:1 | 3 | 00:25 | 120 | 91 |
| Heterogeneous Basic Catalysts | ||||||
|---|---|---|---|---|---|---|
| Catalyst | Feedstock Oil | Catalyst Conc. (wt. %) | Oil to Methanol Molar Ratio | Time (h: min) | Temp. (°C) | Yield of Biodiesel (%) |
| CaO/Al2O3 | Palm | 6 | 1:12 | 5 h | 65 | 98.6 |
| MgZnAlO | Jatropha | 8 | 1:11 | 6 h | 182 | 94.0 |
| CaO/Kf | Tallow seed oil | 4 | 1:15 | 2.5h | 65 | >96 |
| ZnO/CaO | Ethyl butyrate | 1.3 | 1:12 | 2h | 60 | <90 |
| CaO | Jatropha | 1.5 | 1:9 | 2.5 h | 70 | 93 |
| Mg/Al-hydrotalcite | Soybean | 5 | 1:13 | 1 h | 230 | 90.7 |
| Fe3O4/CaO | Jatropha | 2 | 1:15 | 1.33 h | 70 | 95 |
| MgO/Li | Soybean | 9 | 1:12 | 2 h | 60 | ~94 |
| Mg/Al-hydrotalcite | Sunflower | 2 | 1:12 | 24 h | 60 | 75 |
| Al-Ca/K2CO3 | Soybean | 2 | 1:13 | 2 h | 65 | 95.1 |
| Na-SiO2 | Jatropha | - | 1:9 | 0.25 h | - | 98.5 |
| Sodium silicate | Soybean | - | 1:7.1 | 1 h | 60 | ~100 |
| Heterogeneous acidic catalysts | ||||||
| Zeolite X | Sunflower | 4.2 | 1:6 | 7:00 | 60 | ~95 |
| SO4/ZrO2 | Palm | 0.5 | 1:25 | 0:10 | 250 | 90 |
| WO3-ZrO2 | Sunflower | 3 | 1:20 | 5:00 | 200 | 97 |
| KSF clay amberlyst | Jatropha | 5 | 1:12 | 6:00 | 160 | 70 |
| SO42−/TiO2-SiO2 | Cottonseed | 3 | 1:9 | 6:00 | 180 | 92 |
| SO42−/ZrO2-SiO2 | Rocket seed | 5 | 1:8 | 24:00 | 65 | ~88 |
| Carbohydrate derived catalyst | Waste Edible Oil (WEO) | 10 | 1:30 | 8:00 | 80 | 92 |
| Zr0.7H0.2PW12O40 | Waste Cooking Oil | 2.1 | 1:20 | 8:00 | 65 | 99 |
| Ferric manganese doped Tungstated/molybdena | Waste Cooking Oil | 6 | 1:25 | 8:00 | 200 | ~92 |
| Carbon based solid acid catalysts | Waste Vegetable oil | 0.2 | 1:16.8 | 4:30 | 220 | ~95 |
| ZS/Si | Waste Cooking Oil | 3 | 1:18 | 10 | 200 | 98 |
| Homogeneous Catalyst | Heterogeneous Catalyst | ||||||
|---|---|---|---|---|---|---|---|
| Alkaline | Acidic | Alkaline | Acidic | ||||
| Merits | Demerits | Merits | Demerits | Merits | Demerits | Merits | Demerits |
| High catalytic activity | Non-recyclable | Perform both Esterification and transesterification | Weak catalytic activity | Recyclable | Slow reaction rate | Perform both Esterification and transesterification | Weak catalytic activity |
| Moderate reaction conditions | Soap formation | No soap formation | Slow reaction rate | Non-Corrosive | Soap Formation | Ecofriendly | Lengthy reaction time |
| Less reaction time | High sensitivity to H2O and FFA | Insensitive to FFA and H2O | Lengthy reaction time | Ecofriendly | Sensitive to FFA and H2O | Insensitivity to FFA and H2O in oil | High oil to methanol ratio, temperature and pressure |
| Cheap | High oil to methanol ratio, temperature and pressure | Longer durability | Expensive | Recyclable | Slow reaction rate | ||
| Desirable kinetics | Recyclability is difficult | Highly selective | Non-Corrosive | Expensive | |||
| Examples: KOH, NaOH | Examples: H2SO4, H3PO4 HF, HCl | Examples: MgO, SrO, CaO and mixed oxides | Examples: ZnO, ZrO, Sulfonated carbon based catalyst, ion exchange resins and zeolites | ||||
| Nano-Catalysts | Synthesis Technique | Size of Nanoparticles (nm) | Feedstock oil | Operating Parameters | Yield of Biodiesel (%) | Reference | |||
|---|---|---|---|---|---|---|---|---|---|
| Oil to Methanol Molar Ratio | Catalyst Conc. (%) | Temp. (°C) | Time (H.) | ||||||
| Magnesium Oxide Catalyst | |||||||||
| MgO/MgAl2O4 | Combustion | 15.9 | Sunflower | 1:12 | 3 | 110 | 3 | 95 | [64] |
| MgO | Co-precipitation | 7.86 | Waste cooking oil | 1:24 | 2 | 65 | 1 | 93.3 | [65] |
| - | 5.5 | Goat fat oil | 1:12 | 1 | 70 | 3 | 93.12 | [66] | |
| - | 25 | Moringa seed oil | 1:12 | 1 | 45 | 4 | 93.69 | [67] | |
| MgO over cerium doped MCM-41 nanocatalyst | Hydrothermal | 17.3 | Sunflower | 1:9 | 5 | 70 | 6 | 94.3 | [68] |
| MgO/La2O3 | Co-precipitation | 21.1 | Sunflower | 1:18 | 3 | 50–65 | 5 | 97.7 | [69] |
| MgO/NaOH | Co-precipitation | 66.7 | Waste cooking oil | 1:6 | 3 | 50 | 6 | 97 | [70] |
| Calcium Oxide Catalyst | |||||||||
| CuO-CaO | Co- Precipitation | 37.54 | Moringa | 1:0.3 | 4 | 65 | 2.5 | 95.24 | [71] |
| MgFe2O4/CaO | Calcination-Encapsulation | 0.296 | Soybean | 1:12 | 1 | 70 | 3 | 98.3 | [72] |
| CaO-Heterogeneous | Calcination & Hydration-Dehydration | 66 ± 3 | Jatropha | 1:5.15 | 0.02 | 60 | 1.885 | 98.54 | [73] |
| CaO-Au | impregnation | - | Sunflower | 1:9 | 3 | 65 | 3 | 97 | [74] |
| CaO | Sol-Gel | 5.68–8.33 | Soybean | 1:11 | 3.68 | 60 | 2 | 97.61 | [75] |
| Titanium dioxide nanoparticles | |||||||||
| TiO2 | - | 30 | Waste olive Oil | 1:30 | 200 mg | 120 | 4 | 91.2 | [76] |
| TiO2/PrSO3H | Synthesis & post synthetic grafting | 23.1 | Used cooking oil | 1:15 | 4.50 | 60 | 9 | 98.3 | [77] |
| Titanium oxysulphate [Ti(SO4)O] | - | - | Used cooking oil | 1:9 | 1.5 | 75 | 3 | 97.1 | [78] |
| Zinc Oxide Nanoparticles | |||||||||
| Mn/ZnO | Co-precipitation | 24.18 | Mahua | 1:7 | 8 | 50 | 0.833 | 97 | [79] |
| Co doped ZnO | Co-precipitation | 27.8 | Mesua ferra | 1:9 | 2.5 | 60 | 3 | 98.03 | [80] |
| Heteropolyacid coated ZnO | Co-precipitation and calcination | 5–29 | Madhuca | 1:6 | 0.6 | 55 | 5 | 95 | [81] |
| Ni doped ZnO | Co-precipitation | 35.1 | Castor | 1:8 | 11 | 55 | 1 | 95.2 | [82] |
| Cu-ZnO nanoferrites | Combustion | 28–32 | Soybean | 1:20 | 4 | 180 | 1 | 85 | [83] |
| Ag-ZnO | Combustion | 42 | Simarouba | 1:9 | 1.5 | 64 | 2 | 84.5 | [84] |
| ZnO/BiFeO3 | Co-precipitation | 20–60 | Canola | 1:15 | 4 | 65 | 6 | 95.43 | [85] |
| Zirconium Oxide Nanoparticles | |||||||||
| Zirconia coupled alumina | Impregnation | 20.6–29.9 | Oleic acid | 1:8 | 0.20 | 67 | 2 | 90.11 | [86] |
| Sulphated Zirconium | Precipitation | 11 | Palmitic acid | 1:20 | 6 | 60 | 7 | 90 | [87] |
| KOH modified Zirconium | Impregnation | 16.91 | Silybum marianum | 1:15 | 6 | 60 | 2 | 90.8 | [88] |
| Cu-Ni doped ZrO2 | Wet Impregnation | - | Capparis spinosa L. | 1:6 | 2.5 | 70 | 1.5 | 90.2 | [89] |
| Sr. No. | Type of Catalyst | Active Metal/Functional Group | Feedstock Oil | Biodiesel Yield (%) | Reusability of Catalyst | References |
|---|---|---|---|---|---|---|
| Montmorillonite clay catalyst and its derivatives | ||||||
| 1 | KF/CaO impregnated montmorillonite clay catalyst | KF/CaO | Soybean Oil | 98 | 98%, 91% and 78% in three consecutive rounds | [94] |
| 2 | Barium modified montmorillonite clay catalyst | Ba | Waste Cooking Oil | 83.38 | 83.78%, 78.30% and 21.50% in three successive runs | [95] |
| 3 | Sulphonated phenyl silane montmorillonite clay catalyst | Sulphonated phenyl silane | Jatropha oil, Castor oil | 98, 89.8 | 92%, 85% at seventh turn | [96] |
| 4 | KOH montmorillonite K10 | KOH | Palm oil | 98 | No reusability test | [97] |
| 5 | Zirconium modified clay catalyst | Zirconium oxychloride | Lepidium perfoliatum seed oil | 88 | Identical yield (88%) in three consecutive cycles then decrease | [91] |
| 6 | Cd-Mn montmorillonite clay catalyst | Cd-Mn | Prunus cerasoides seed oil | 85 | Approx. identical yields (88%) in three consecutive turns then lowered | [92] |
| 7 | Fe montmorillonite K-10 | FeCl3, Fe3+ | Waste cooking oil | 92.74 | No reusability test | [98] |
| Sepiolite clay catalyst and its derivatives | ||||||
| 8 | NaOH impregnated sepiolite | NaOH | Canola oil | 80.93 | No reusability test | [99] |
| 9 | Extruded catalyst (K2CO3 and sepiolite) | K2CO3 | Turnip oil | 99.9 | Yield decreased from 1, 2 cycles (99.9%) to 4th cycle (26%) | [100] |
| 10 | K2CO3/γ-Al2O3/sepiolite | Waste cooking oil | 88 | Recycled via external magnetic field, guaranteeing reusability to several turns | [101] | |
| 11 | K2CO3 palygorskite | Palm Oil | 97 | Up to 8 cycles (82%) | [102] | |
| 12 | KF/CaO supported palygorskite | KF/CaO | Soybean oil | 97.9 | Up to 10 cycles (91.5%) | [103] |
| Kaolinite clay catalyst and its derivatives | ||||||
| 13 | HY zeolite | - | Oleic acid | 85 | No reusability test | [104] |
| 14 | NaOH Kaolin | NaOH | Triolein | 92.8 | Three consecutive time | [105] |
| 15 | Phosphoric acid activated Kaolin catalyst | Phosphoric acid | African pear seed oil | 70–80 | No reusability test | [106] |
| 16 | K+ trapped kaolinite | K+ | Waste cooking oil | 94.76 | Reusability was checked with three solventsDistilled water 94.76% > 92.55 > 87.88% > 80.5% > 76.77%Methanol 94.76% > 94.34 > 91.66% > 87.77% > 83.33%Acetone 94.76% > 94.45% > 92.4% > 85.2% > 80.66% | [107] |
| 17 | Ce-Kaoline clay catalyst | Ce | Cotton seed oil | 91 | Upt0 4 cycles (74%) | [108] |
| 18 | KF modified Kaolinite clay catalyst | KF | Jatropha oil | - | No reusability test | [109] |
| 19 | CaO/Kaoline Catalyst | CaO | Coconut oil | - | No reusability test | [110] |
| Bentonite clay catalyst and its derivatives | ||||||
| 20 | Graphene oxide/Bentonite Bi-functional heterogeneous catalyst | NaOH GO graphene oxide | Oleic acid, Rapeseed | 98.5 | Significant decrease in yield after two cycles | [111] |
| 21 | Bentonite/Zeolite P-composite catalyst | Na+ | Palm oil | 98 | Reusable up to 8 cycles | [112] |
| 22 | Heteropoly phosphomolybidic impregnated bentonite | H3PMo12O40 (HPMo) | Palm oil waste | 93 | Reusable up to 3 cycles | [113] |
| 23 | Sodium methoxide supported bentonite | CH3ONa | Waste flower oil | 94.33 | After consecutive cycles (80%) | [114] |
| Catalyst | Feedstock Oil | Catalyst Conc. (wt. %) | Oil to Methanol Molar Ratio | Time (h: min) | Temp. (°C) | Yield of Biodiesel (%) | Reference |
|---|---|---|---|---|---|---|---|
| Palm Kernel shell/CaO based biochar | Sunflower | 3 | 1:9 | 4 h | 65 | 99.8 | [126] |
| Musa balbisiana | Waste Cooking Oil | 2 | 1:6 | 3 h | 60 | 100 | [116] |
| Snail shell | Soybean | 3 | 1:6 | 7 h | 28 | 98.0 | [127] |
| Heteropanax fragrans | Jatropha | 7 | 1:12 | 1.11.9 | 65 | 97.7 | [128] |
| Rice straw waste | Waste cooking oil | 3.5 | 1:15 | 2.5 h | 65 | 97.3 | [129] |
| Moringa leaves | Soybean | 6 | 1:6 | 2 h | 65 | 86.7 | [130] |
| Sheep bone | Canola | 5 | 1:12 | 5 h | 60 | 95.1 | [131] |
| Sesamum indicum waste | Sunflower | 7 | 1:12 | 0.67 h | 65 | 98.9 | [132] |
| Brassica nigra waste | Soybean | 7 | 1:12 | 0.42 h | 65 | 98.7 | [133] |
| Egg shell | Rubber Seed | 5 | 1:9 | 4 h | 65 | 97.8 | [134] |
| Immobilization Technique | Fat/Oil | Lipase | Reaction Conditions | Yield (%) |
|---|---|---|---|---|
| Entrapment | Palm | Candida rugosa | Immob. Lipase (1%), 15:1 EtOH/Oil molar ratio, 35 °C 1 h; Immob. Lipase (1%), 14:1 MeOH/Oil molar ratio, 37 °C, 1 h | 85/70 |
| Soybean | Pseudomonas cepacia | Immob. Lipase (4.75%), 15.2:1 EtOH/Oil molar ratio, 35 °C, 1 h; Immob. Lipase (4.75%), 7.5:1 MeOH/Oil molar ratio, 35 °C, 1 h | 65/67 | |
| Waste cooking oil a/soybean b | Immob. Lipase (1%), 5:1 MeOH/Oil molar ratio, 43.3 °C, 36 h | 67 a/68 b | ||
| Grease and tallow | 4:1 EtOH/Oil molar ratio, 50 °C, 24 h | 95 | ||
| Physical Adsorption | Waste edible oil | Lipozyme TLIM | Immob. Lipase (4%), 4:1 MeOH/Oil molar ratio, 24 °C, 105 h | 95 |
| Olive husk | Rhizomucor miehei | 2:1 EtOH/Oil molar ratio, 37 °C, 8 h | 90 | |
| Cotton seed | Candida rugosa | Immob. Lipase (4%), 12:1 MeOH/Oil molar ratio, 40 °C, 48 h | 98.3 | |
| Jatropha | Pseudomonas cepacia | Immob. Lipase (10%), 4:1 EtOH/Oil molar ratio, 40 °C, 8 h | 98 | |
| Covalent Bonding | Camellia | Candida cylindracea | Immob. Lipase (40%), MeOH, 40 °C, 48 h | 99 |
| Jatropha | Rhizopus oryzae | 30 °C, 4 h, MeOH | 51–65 | |
| Olive | Thermomyces lanuginosus | 6:1 MeOH/Oil molar ratio, 25 °C, 24 h | 93 | |
| Palm/Babassu | Pseudomonas florescens/Thermomynces lanuginosus | 18:1 EtOH/Oil molar ratio, 45 °C, 48 h/9:1 EtOH/Oil molar ratio, 45 °C, 48 h | >93 | |
| Cross linking | Jatropha | Burkholderia cepacia | Immob. Lipase (52.5%), 10:1 EtOH/Oil molar ratio, 35 °C, 24 h | 100 |
| Canola | Thermomynces lanuginosus | 6:1 MeOH/Oil molar ratio, 40 °C, 24 h | 90 | |
| Madhuca indica | Pseudomonas cepacian | Immob. Lipase (10%), 4:1 EtOH/Oil molar ratio, 40 °C, 2.5 h | 92 | |
| Olive | Photobacterium lipolyticum | 4:1 MeOH/Oil molar ratio, 40 s °C, 12 h | 64 |
Publisher’s Note: MDPI stays neutral with regard to jurisdictional claims in published maps and institutional affiliations. |
© 2022 by the authors. Licensee MDPI, Basel, Switzerland. This article is an open access article distributed under the terms and conditions of the Creative Commons Attribution (CC BY) license (https://creativecommons.org/licenses/by/4.0/).
Share and Cite
Ameen, M.; Ahmad, M.; Zafar, M.; Munir, M.; Mujtaba, M.M.; Sultana, S.; ., R.; El-Khatib, S.E.; Soudagar, M.E.M.; Kalam, M.A. Prospects of Catalysis for Process Sustainability of Eco-Green Biodiesel Synthesis via Transesterification: A State-Of-The-Art Review. Sustainability 2022, 14, 7032. https://doi.org/10.3390/su14127032
Ameen M, Ahmad M, Zafar M, Munir M, Mujtaba MM, Sultana S, . R, El-Khatib SE, Soudagar MEM, Kalam MA. Prospects of Catalysis for Process Sustainability of Eco-Green Biodiesel Synthesis via Transesterification: A State-Of-The-Art Review. Sustainability. 2022; 14(12):7032. https://doi.org/10.3390/su14127032
Chicago/Turabian StyleAmeen, Maria, Mushtaq Ahmad, Muhammad Zafar, Mamoona Munir, Muhammad Mujtaba Mujtaba, Shazia Sultana, Rozina ., Samah Elsayed El-Khatib, Manzoore Elahi M. Soudagar, and M. A. Kalam. 2022. "Prospects of Catalysis for Process Sustainability of Eco-Green Biodiesel Synthesis via Transesterification: A State-Of-The-Art Review" Sustainability 14, no. 12: 7032. https://doi.org/10.3390/su14127032
APA StyleAmeen, M., Ahmad, M., Zafar, M., Munir, M., Mujtaba, M. M., Sultana, S., ., R., El-Khatib, S. E., Soudagar, M. E. M., & Kalam, M. A. (2022). Prospects of Catalysis for Process Sustainability of Eco-Green Biodiesel Synthesis via Transesterification: A State-Of-The-Art Review. Sustainability, 14(12), 7032. https://doi.org/10.3390/su14127032

