Potential Sources of Heavy Metals in Sediments of an Urban‒Agricultural Watershed and Relationship with Land Use Using a Statistical Approach
Abstract
1. Introduction
2. Materials and Methods
2.1. Study Area
2.2. Sediment Sampling and Pretreatment
2.3. Sediment Analyses Methods
2.4. Quality Control
2.5. Pollution Assessment of Sediments
2.6. Statistical Analysis
3. Results and Discussion
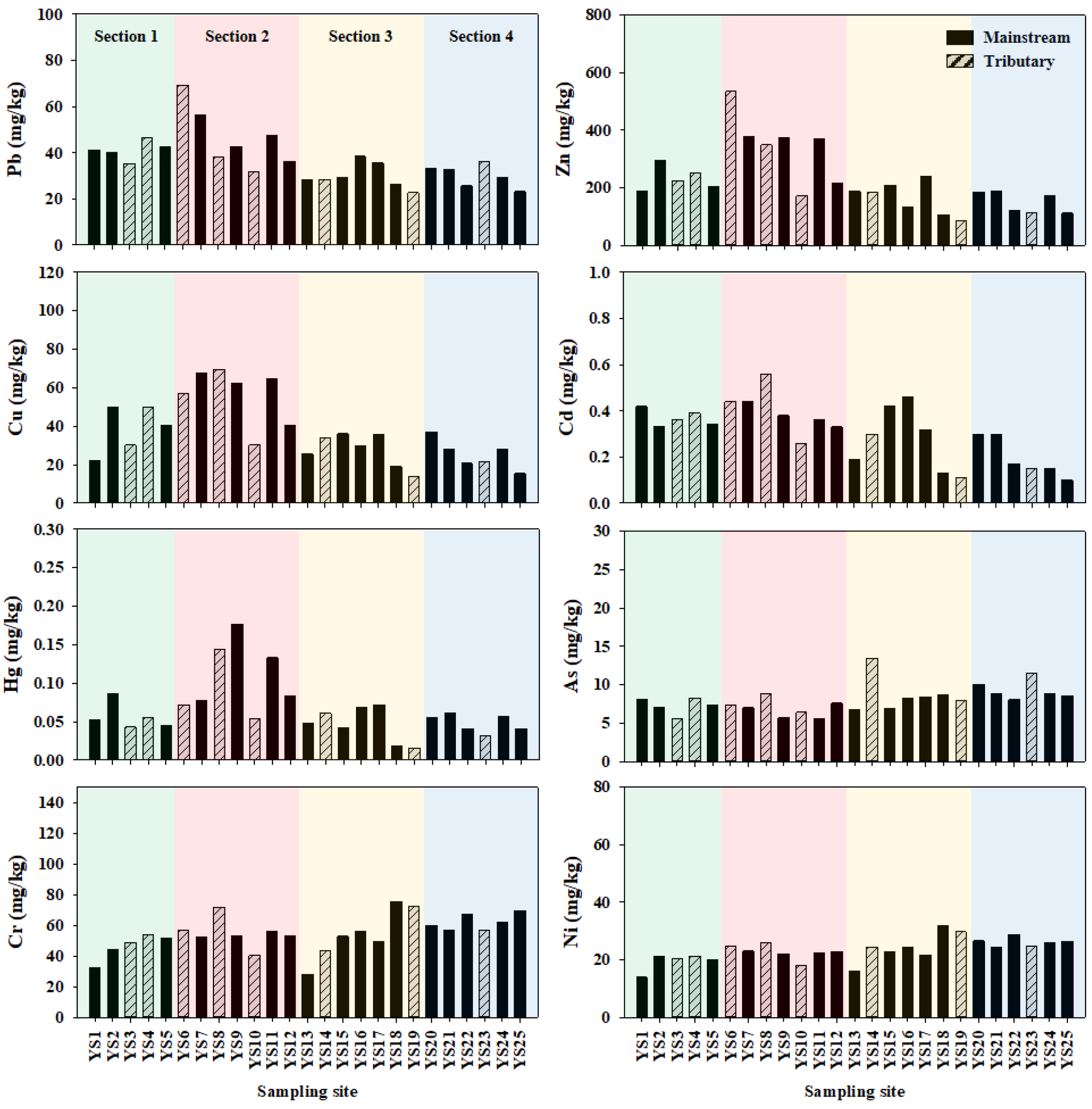
3.1. Distribution of Heavy Metal Concentrations
3.2. Spatial Distribution of Land Use and Pollution Assessment by SQGs, PLI, and PERI
3.3. Relationship between Land Use and Heavy Metals
4. Conclusions
Supplementary Materials
Author Contributions
Funding
Institutional Review Board Statement
Informed Consent Statement
Data Availability Statement
Acknowledgments
Conflicts of Interest
References
- Ouyang, W.; Wang, Y.; Lin, C.; He, M.; Hao, F.; Liu, H.; Zhu, W. Heavy metal loss from agricultural watershed to aquatic system: A scientometrics review. Sci. Total Environ. 2018, 637, 208–220. [Google Scholar] [CrossRef] [PubMed]
- Jain, C. Metal fractionation study on bed sediments of River Yamuna, India. Water Res. 2004, 38, 569–578. [Google Scholar] [CrossRef] [PubMed]
- Wang, G.; Yingla, A.; Jiang, H.; Fu, Q.; Zheng, B. Modeling the source contribution of heavy metals in surficial sediment and analysis of their historical changes in the vertical sediments of a drinking water reservoir. J. Hydrol. 2015, 520, 37–51. [Google Scholar] [CrossRef]
- Dawson, E.; Macklin, M. Speciation of Heavy Metals in Floodplain and Flood Sediments: A Reconnaissance Survey of the Aire Valley, West Yorkshire, Great Britain. Environ. Geochem. Health 1998, 20, 67–76. [Google Scholar] [CrossRef]
- Karaouzas, I.; Kapetanaki, N.; Mentzafou, A.; Kanellopoulos, T.D.; Skoulikidis, N. Heavy metal contamination status in Greek surface waters: A review with application and evaluation of pollution indices. Chemosphere 2020, 263, 128192. [Google Scholar] [CrossRef]
- Demirak, A.; Yilmaz, F.; Tuna, A.L.; Ozdemir, N. Heavy metals in water, sediment and tissues of Leuciscus cephalus from a stream in southwestern Turkey. Chemosphere 2006, 63, 1451–1458. [Google Scholar] [CrossRef]
- Kumar, V.; Parihar, R.D.; Sharma, A.; Bakshi, P.; Sidhu, G.P.S.; Bali, A.S.; Karaouzas, I.; Bhardwaj, R.; Thukral, A.K.; Gyasi-Agyei, Y.; et al. Global evaluation of heavy metal content in surface water bodies: A meta-analysis using heavy metal pollution indices and multivariate statistical analyses. Chemosphere 2019, 236, 124364. [Google Scholar] [CrossRef]
- Farkas, A.; Erratico, C.; Viganò, L. Assessment of the environmental significance of heavy metal pollution in surficial sediments of the River Po. Chemosphere 2007, 68, 761–768. [Google Scholar] [CrossRef]
- Varol, M. Assessment of heavy metal contamination in sediments of the Tigris River (Turkey) using pollution indices and multivariate statistical techniques. J. Hazard. Mater. 2011, 195, 355–364. [Google Scholar] [CrossRef]
- Bellucci, L.G.; Frignani, M.; Paolucci, D.; Ravanelli, M. Distribution of heavy metals in sediments of the Venice Lagoon: The role of the industrial area. Sci. Total Environ. 2002, 295, 35–49. [Google Scholar] [CrossRef]
- Pereira, E.; Baptista-Neto, J.A.; Smith, B.J.; Mcallister, J.J. The Contribution of Heavy Metal Pollution Derived from Highway Runoff to Guanabara Bay Sediments: Rio de Janeiro/Brazil. An. Acad. Bras. Cienc. 2007, 79, 739–750. [Google Scholar] [CrossRef]
- Quinton, J.N.; Catt, J.A. Enrichment of Heavy Metals in Sediment Resulting from Soil Erosion on Agricultural Fields. Environ. Sci. Technol. 2007, 41, 3495–3500. [Google Scholar] [CrossRef]
- Song, Y.; Ji, J.; Mao, C.; Yang, Z.; Yuan, X.; Ayoko, G.A.; Frost, R.L. Heavy metal contamination in suspended solids of Changjiang River-environmental implications. Geoderma 2010, 159, 286–295. [Google Scholar] [CrossRef]
- Mohammadi, M.; Khaledi Darvishan, A.; Dinelli, E.; Bahramifar, N.; Alavi, S.J. How Does Land Use Configuration In-fluence on Sediment Heavy Metal Pollution? Comparison between Riparian Zone and Sub-Watersheds. Stoch. Environ. Res. Risk Assess. 2021, 159, 1–16. [Google Scholar] [CrossRef]
- Wu, P.; Yin, A.; Yang, X.; Zhang, H.; Fan, M.; Gao, C. Distribution and source identification of heavy metals in the sediments of a river flowing an urbanization gradient, Eastern China. Environ. Earth Sci. 2017, 76, 745. [Google Scholar] [CrossRef]
- Xia, F.; Qu, L.; Wang, T.; Luo, L.; Chen, H.; Dahlgren, R.A.; Zhang, M.; Mei, K.; Huang, H. Distribution and source analysis of heavy metal pollutants in sediments of a rapid developing urban river system. Chemosphere 2018, 207, 218–228. [Google Scholar] [CrossRef]
- Lee, K.-H.; Kang, T.-W.; Ryu, H.-S.; Hwang, S.-H.; Kim, K. Analysis of spatiotemporal variation in river water quality using clustering techniques: A case study in the Yeongsan River, Republic of Korea. Environ. Sci. Pollut. Res. 2020, 27, 29327–29340. (In Korean) [Google Scholar] [CrossRef]
- Oh, H.S.; Huh, I.A.; Choi, J.H. Laboratory Study of Phosphorus Fractionation in the Sediments of Yeongsan River. J. Korean Soc. Environ. Eng. 2017, 39, 519–526. (In Korean) [Google Scholar] [CrossRef]
- Kim, K.-S.; Jung, J.-W.; Lim, B.-J.; Cho, S.-H.; Choi, J.-H.; Song, K.-D.; Ha, D.-W.; Kim, H.-S.; Park, S.-H.; Hwang, T.-H.; et al. The Influence of Land Use on Water Quality in the Tributary of the Yeongsan River Basin. Korean J. Lomnology 2012, 45, 412–419. (In Korean) [Google Scholar] [CrossRef]
- Park, J.; Moon, M.; Kim, K. Analysis of Relationship between Water Quality Parameters with Land Use in Yeongsan River Basin. J. Environ. Impact Assess. 2014, 23, 19–27. (In Korean) [Google Scholar] [CrossRef][Green Version]
- Song, J.J.; Kim, B.B.; Hong, S.G. Study on water quality change of Yeongsan River’s upsteam. J. Korean Soc. Environ. Technol. 2015, 16, 154–159. (In Korean) [Google Scholar]
- Ministry of Environment (MOE). Official Test Methods of Water Quality; MOE: Sejong, Korea, 2012. (In Korean)
- National Institute of Environmental Research (NIER). River and Lake Sediment Contamination Evaluation Guide Line Ministry of Environment; NIER: Incheon, Korea, 2015. (In Korean)
- Huh, I.A.; Kim, Y.S.; Yu, S.J.; Wong, S.; Shin, W.S.; Park, H.O.; Kim, H.J.; Kim, H.W. Development of freshwater sediment management standards for organic matters, nutrients, and metals in Korea. Environ. Sci. Pollut. Res. 2013, 21, 86–94. [Google Scholar] [CrossRef] [PubMed]
- Yang, H.J.; Jeong, H.J.; Bong, K.M.; Jin, D.R.; Kang, T.-W.; Ryu, H.-S.; Han, J.H.; Yang, W.J.; Jung, H.; Hwang, S.H.; et al. Organic matter and heavy metal in river sediments of southwestern coastal Korea: Spatial distributions, pollution, and ecological risk assessment. Mar. Pollut. Bull. 2020, 159, 111466. [Google Scholar] [CrossRef] [PubMed]
- Fairey, R.; Long, E.R.; Roberts, C.A.; Anderson, B.S.; Phillips, B.M.; Hunt, J.W.; Puckett, H.R.; Wilson, C.J. An evaluation of methods for calculating mean sediment quality guideline quotients as indicators of contamination and acute toxicity to amphipods by chemical mixtures. Environ. Toxicol. Chem. 2001, 20, 2276–2286. [Google Scholar] [CrossRef]
- Smith, S.L.; MacDonald, D.D.; Keenleyside, K.A.; Ingersoll, C.G.; Field, L.J. A Preliminary Evaluation of Sediment Quality Assessment Values for Freshwater Ecosystems. J. Great Lakes Res. 1996, 22, 624–638. [Google Scholar] [CrossRef]
- Håkanson, L. An ecological risk index for aquatic pollution control. A Sedimentol. Approach. Water Res. 1980, 14, 975–1001. [Google Scholar] [CrossRef]
- Tomlinson, D.L.; Wilson, J.G.; Harris, C.R.; Jeffrey, D.W. Problems in the assessment of heavy-metal levels in estuaries and the formation of a pollution index. Helgoländer Meeresunters. 1980, 33, 566–575. [Google Scholar] [CrossRef]
- National Institute of Environmental Research (NIER). Baseline Concentrations of Heavy Metals in River Sediments in Korea; NIER: Incheon, Korea, 2011. (In Korean)
- Varol, M.; Şen, B. Assessment of nutrient and heavy metal contamination in surface water and sediments of the upper Tigris River, Turkey. CATENA 2012, 92, 1–10. [Google Scholar] [CrossRef]
- Zhu, H.-N.; Yuan, X.-Z.; Zeng, G.-M.; Jiang, M.; Liang, J.; Zhang, C.; Yin, J.; Huang, H.-J.; Liu, Z.-F.; Jiang, H.-W. Ecological risk assessment of heavy metals in sediments of Xiawan Port based on modified potential ecological risk index. Trans. Nonferrous Met. Soc. China 2012, 22, 1470–1477. [Google Scholar] [CrossRef]
- Yi, Y.; Yang, Z.; Zhang, S. Ecological risk assessment of heavy metals in sediment and human health risk assessment of heavy metals in fishes in the middle and lower reaches of the Yangtze River basin. Environ. Pollut. 2011, 159, 2575–2585. [Google Scholar] [CrossRef]
- Pearson, K. Note on regression and inheritance in the case of two parents. Proc. R. Soc. Lond. 1895, 58, 240–242. [Google Scholar] [CrossRef]
- Rodgers, J.L.; Nicewander, W.A. Thirteen Ways to Look at the Correlation Coefficient. Am. Stat. 1988, 42, 59–66. [Google Scholar] [CrossRef]
- Pearson, K. On lines and planes of closest fit to systems of points in space. Lond. Edinb. Dublin Philos. Mag. J. Sci. 1901, 2, 559–572. [Google Scholar] [CrossRef]
- Cai, L.; Xu, Z.; Ren, M.; Guo, Q.; Hu, X.; Hu, G.; Wan, H.; Peng, P. Source identification of eight hazardous heavy metals in agricultural soils of Huizhou, Guangdong Province, China. Ecotoxicol. Environ. Saf. 2012, 78, 2–8. [Google Scholar] [CrossRef]
- Huang, B.; Zhao, Y.; Shi, X.; Yu, D.; Zhao, Y.; Sun, W.; Wang, H.; Öborn, I. Source identification and spatial variability of nitrogen, phosphorus, and selected heavy metals in surface water and sediment in the riverine systems of a peri-urban interface. J. Environ. Sci. Health Part A 2007, 42, 371–380. [Google Scholar] [CrossRef]
- Lai, T.M.; Lee, W.; Hur, J.; Kim, Y.; Huh, I.-A.; Shin, H.-S.; Kim, C.-K.; Lee, J.-H. Influence of Sediment Grain Size and Land Use on the Distributions of Heavy Metals in Sediments of the Han River Basin in Korea and the Assessment of Anthropogenic Pollution. Water Air Soil Pollut. 2013, 224, 1–12. [Google Scholar] [CrossRef]
- Liu, A.; Duodu, G.; Goonetilleke, A.; Ayoko, G. Influence of land use configurations on river sediment pollution. Environ. Pollut. 2017, 229, 639–646. [Google Scholar] [CrossRef]
- Gabriel, K.R. The biplot graphic display of matrices with application to principal component analysis. Biometrika 1971, 58, 453–467. [Google Scholar] [CrossRef]
- Shin, S.E.; Youn, S.T.; Koh, Y.K.; Oh, K.H. The Geochemical Characteristics and Environmental Changes of Surface Sediments in Yeongsan River Area. J. Korean Geomor. Assoc. 2015, 22, 31–42. (In Korean) [Google Scholar]
- Lee, J.-B.; Hong, S.-H.; Kim, N.-H.; Huh, I.-A.; Huh, Y.-J.; Khan, J.-B.; Oh, D.-Y.; Kim, K.-Y.; Lee, Y.-J.; Lee, S.-H.; et al. Measurement of metals in sediment of the Geum-River and their correlation. Anal. Sci. Technol. 2014, 27, 11–21. [Google Scholar] [CrossRef]
- Kim, S.; Yang, D.S.; Kim, Y.S. Distribution of metal contamination and grain size in the sediments of Nakdong River, Korea. Environ. Monit. Assess. 2020, 192, 1–15. [Google Scholar] [CrossRef]
- Mao, L.; Liu, L.; Yan, N.; Li, F.; Tao, H.; Ye, H.; Wen, H. Factors controlling the accumulation and ecological risk of trace metal(loid)s in river sediments in agricultural field. Chemosphere 2019, 243, 125359. [Google Scholar] [CrossRef]
- Xiao, H.; Shahab, A.; Li, J.; Xi, B.; Sun, X.; He, H.; Yu, G. Distribution, ecological risk assessment and source identification of heavy metals in surface sediments of Huixian karst wetland, China. Ecotoxicol. Environ. Saf. 2019, 185, 109700. [Google Scholar] [CrossRef] [PubMed]
- Xiao, H.; Shahab, A.; Xi, B.; Chang, Q.; You, S.; Li, J.; Sun, X.; Huang, H.; Li, X. Heavy metal pollution, ecological risk, spatial distribution, and source identification in sediments of the Lijiang River, China. Environ. Pollut. 2020, 269, 116189. [Google Scholar] [CrossRef] [PubMed]
- Yang, H.J.; Bong, K.M.; Kang, T.-W.; Hwang, S.H.; Na, E.H. Assessing heavy metals in surface sediments of the Seomjin River Basin, South Korea, by statistical and geochemical analysis. Chemosphere 2021, 284, 131400. [Google Scholar] [CrossRef] [PubMed]
- Sekabira, K.; Origa, H.O.; Basamba, T.A.; Mutumba, G.; Kakudidi, E. Assessment of heavy metal pollution in the urban stream sediments and its tributaries. Int. J. Environ. Sci. Technol. 2010, 7, 435–446. [Google Scholar] [CrossRef]
- Sakan, S.M.; Đorđević, D.S.; Manojlović, D.D.; Predrag, P.S. Assessment of heavy metal pollutants accumulation in the Tisza river sediments. J. Environ. Manag. 2009, 90, 3382–3390. [Google Scholar] [CrossRef] [PubMed]
- Wu, S.-S.; Yang, H.; Guo, F.; Han, R.-M. Spatial patterns and origins of heavy metals in Sheyang River catchment in Jiangsu, China based on geographically weighted regression. Sci. Total Environ. 2017, 580, 1518–1529. [Google Scholar] [CrossRef]
- Xia, X.; Chen, X.; Liu, R.; Liu, H. Heavy metals in urban soils with various types of land use in Beijing, China. J. Hazard. Mater. 2011, 186, 2043–2050. [Google Scholar] [CrossRef]
- Facchinelli, A.; Sacchi, E.; Mallen, L. Multivariate statistical and GIS-based approach to identify heavy metal sources in soils. Environ. Pollut. 2001, 114, 313–324. [Google Scholar] [CrossRef]
- Kober, B.; Wessels, M.; Bollhoefer, A.; Mangini, A. Pb isotopes in sediments of Lake Constance, Central Europe constrain the heavy metal pathways and the pollution history of the catchment, the lake and the regional atmosphere. Geochim. Cosmochim. Acta 1999, 63, 1293–1303. [Google Scholar] [CrossRef]
- Davis, H.T.; Aelion, C.M.; McDermott, S.; Lawson, A.B. Identifying natural and anthropogenic sources of metals in urban and rural soils using GIS-based data, PCA, and spatial interpolation. Environ. Pollut. 2009, 157, 2378–2385. [Google Scholar] [CrossRef]
- Li, X.; Poon, C.-S.; Liu, P.S. Heavy metal contamination of urban soils and street dusts in Hong Kong. Appl. Geochem. 2001, 16, 1361–1368. [Google Scholar] [CrossRef]
- Pinedo-Hernández, J.; Marrugo-Negrete, J.; Díez, S. Speciation and bioavailability of mercury in sediments impacted by gold mining in Colombia. Chemosphere 2015, 119, 1289–1295. [Google Scholar] [CrossRef]
- Ke, X.; Gui, S.; Huang, H.; Zhang, H.; Wang, C.; Guo, W. Ecological risk assessment and source identification for heavy metals in surface sediment from the Liaohe River protected area, China. Chemosphere 2017, 175, 473–481. [Google Scholar] [CrossRef]
- Kulikova, T.; Hiller, E.; Jurkovič, Ľ.; Filová, L.; Šottník, P.; Lacina, P. Total mercury, chromium, nickel and other trace chemical element contents in soils at an old cinnabar mine site (Merník, Slovakia): Anthropogenic versus natural sources of soil contamination. Environ. Monit. Assess. 2019, 191, 263. [Google Scholar] [CrossRef]
- Jiang, Q.Q.; Singh, B.R. Effect of different forms and sources of arsenic on crop yield and arsenic concentration. Water Air Soil Pollut. 1994, 74, 321–343. [Google Scholar] [CrossRef]
- Liu, X.; Zhang, W.; Hu, Y.; Hu, E.; Xie, X.; Wang, L.; Cheng, H. Arsenic pollution of agricultural soils by concentrated animal feeding operations (CAFOs). Chemosphere 2015, 119, 273–281. [Google Scholar] [CrossRef]





| Heavy Metal (mg/kg) | Class | |||
|---|---|---|---|---|
| I a | II b | III c | IV d | |
| Pb | ≤59 | ≤154 | ≤459 | ˃459 |
| Zn | ≤363 | ≤1170 | ≤13,000 | ˃13,000 |
| Cu | ≤48 | ≤228 | ≤1890 | ˃1890 |
| Cd | ≤0.4 | ≤1.87 | ≤6.09 | ˃6.09 |
| Hg | ≤0.07 | ≤0.67 | ≤2.14 | ˃2.14 |
| As | ≤15 | ≤44.7 | ≤92.1 | ˃92.1 |
| Cr | ≤112 | ≤224 | ≤991 | ˃991 |
| Ni | ≤40 | ≤87.5 | ≤330 | ˃330 |
| Country/Region | Heavy Metal | Reference | |||||||
|---|---|---|---|---|---|---|---|---|---|
| Pb | Zn | Cu | Cd | Hg | As | Cr | Ni | ||
| South Korea | |||||||||
| Yeongsan River | 36.7 ± 10.4 (22.7–69.2) | 223.8 ± 105.0 (86.1–534.5) | 37.2 ± 16.3 (14.0–69.5) | 0.31 ± 0.12 (0.10–0.56) | 0.065 ± 0.037 (0.016–0.177) | 8.1 ± 1.7 (5.6–13.5) | 54.6 ± 11.4 (28.2–75.4) | 23.3 ± 4.0 (13.9–31.8) | This study |
| Yeongsan River | 25.3 ± 7.7 (14–40) | 76.8 ± 48.7 (22–167) | 11.9 ± 7.8 (2–26) | 0.03 ± 0.04 (0.00–0.09) | NA a | NA | 28.1 ± 27.4 (2–72) | 14.6 ± 11.5 (3–35) | Shin et al. (2015) [42] |
| Han River | 31.6 ± 19.4 (17.1–106.2) | 150.4 ± 174.7 (52.1–690.7) | 25.9 ± 33.6 (5.1–158.5) | 0.21 ± 0.28 (0.05–1.32) | 0.06 ± 0.09 (0.01–0.43) | 5.9 ± 3.5 (1.4–15.1) | 60.5 ± 27.6 (27.3–146.8) | 26.1 ± 12.2 (8.8–57.5) | Lai et al. (2013) [39] |
| Nakdong River | 24.6 (14.8–35.5) | 120.2 (49.0–217.0) | 16.9 (8.5–43.3) | 0.38 (0.12–0.72) | NA | NA | 48.5 (11.6–83.6) | 16.1 (4.8–32.4) | Kim et al. (2020) [44] |
| Geum River | - b (8.3–22.4) | - (29.7–139.2) | - (5.3–33.4) | - (0.05–0.43) | - (0.006–0.587) | - (0.9–18.4) | - (19.6–78.6) | - (6.4–20.9) | Lee et al. (2014) [43] |
| China | |||||||||
| Lijiang River | 42.8 ± 4.12 (17.8–171.7) | 129.3 ± 6.22 (53.6–258.0) | 31.7 ± 2.61 (9.38–102.7) | 0.97 ± 0.08 (0.16–4.41) | 0.39 ± 0.05 (0.08–2.13) | 18.3 ± 0.61 (9.97–36.4) | 43.6 ± 1.85 (24.3–95.3) | 22.9 ± 0.73 (11.6–37.1) | Xiao et al. (2021) [47] |
| Yangtze River | 35.8 ± 16.5 (15.3–81.8) | 116.5 ± 63.4 (63.1–535.1) | 30.7 ± 16.9 (15.6–145.6) | 0.42 ± 0.14 (0.12–0.77) | NA | 11.0 ± 4.85 (2.75–28.1) | 43.5 ± 6.8 (31.5–59.9) | 33.4 ± 5.40 (18.8–42.7) | Mao et al. (2020) [45] |
| Huixian wetland | 51.3 ± 10.9 (31.1–97.0) | 77.1 ± 15.7 (46.7–119.3) | 31.1 ± 5.23 (19.5–53.6) | 0.445 ± 0.203 (0.052–1.292) | 0.508 ± 0.178 (0.295–1.808) | 21.4 ± 7.39 (5.96–54.2) | 114.2 ± 30.1 (32.2–285.7) | 35.9 ± 9.13 (16.0–58.9) | Xiao et al. (2019) [46] |
| Qinhuai River | 33.4 (17.9–48.6) | 149.0 (48.6–403.4) | 44.7 (21.9–94.9) | 0.61 (0.08–2.84) | 0.25 (0.04–1.11) | 10.8 (3.82–27.7) | 79.9 (56.1–111.7) | 34.6 (23.2–44.4) | Wu et al. (2017a) [15] |
Publisher’s Note: MDPI stays neutral with regard to jurisdictional claims in published maps and institutional affiliations. |
© 2022 by the authors. Licensee MDPI, Basel, Switzerland. This article is an open access article distributed under the terms and conditions of the Creative Commons Attribution (CC BY) license (https://creativecommons.org/licenses/by/4.0/).
Share and Cite
Yang, H.J.; Kang, T.-W.; Choi, B.; Hwang, S.H.; Shin, D.; Park, W.-P. Potential Sources of Heavy Metals in Sediments of an Urban‒Agricultural Watershed and Relationship with Land Use Using a Statistical Approach. Sustainability 2022, 14, 9444. https://doi.org/10.3390/su14159444
Yang HJ, Kang T-W, Choi B, Hwang SH, Shin D, Park W-P. Potential Sources of Heavy Metals in Sediments of an Urban‒Agricultural Watershed and Relationship with Land Use Using a Statistical Approach. Sustainability. 2022; 14(15):9444. https://doi.org/10.3390/su14159444
Chicago/Turabian StyleYang, Hae Jong, Tae-Woo Kang, Byungwoong Choi, Soon Hong Hwang, Dongseok Shin, and Won-Pyo Park. 2022. "Potential Sources of Heavy Metals in Sediments of an Urban‒Agricultural Watershed and Relationship with Land Use Using a Statistical Approach" Sustainability 14, no. 15: 9444. https://doi.org/10.3390/su14159444
APA StyleYang, H. J., Kang, T.-W., Choi, B., Hwang, S. H., Shin, D., & Park, W.-P. (2022). Potential Sources of Heavy Metals in Sediments of an Urban‒Agricultural Watershed and Relationship with Land Use Using a Statistical Approach. Sustainability, 14(15), 9444. https://doi.org/10.3390/su14159444

