Trend Analysis Using Long-Term Monitoring Data of Water Quality at Churyeongcheon and Yocheon Basins
Abstract
:1. Introduction
2. Materials and Methods
2.1. Study Area
2.2. Water Quality and Flow Rate Conditions
2.3. Water Quality Correlation Analysis
2.4. Seasonal Kendall Tests
2.5. LOADEST Model
3. Results
3.1. Water Quality, Flow Rate, and Pollutant Load Characteristics
3.2. Water Quality Correlation Analysis
3.3. Seasonal Trend Analysis
3.4. Model Evaluation Method
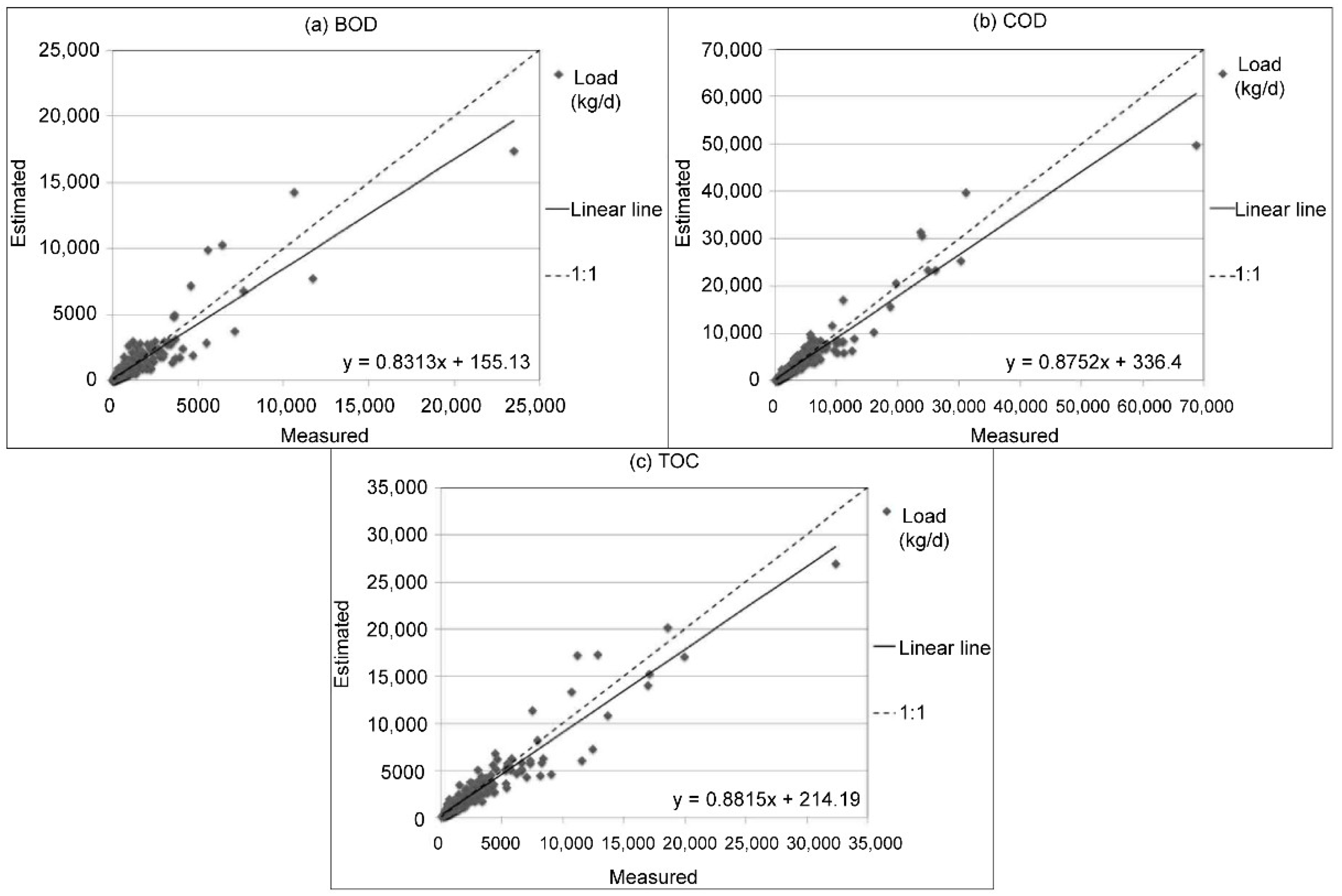
3.5. Regression Analysis of the LOADEST Model
3.5.1. Trend Analysis for Churyeongcheon
3.5.2. Trend Analysis for Yocheon
4. Discussion
Author Contributions
Funding
Institutional Review Board Statement
Informed Consent Statement
Data Availability Statement
Acknowledgments
Conflicts of Interest
References
- Sarker, S.; Veremyev, A.; Boginski, V.; Singh, A. Critical Nodes in River Networks. Sci. Rep. 2019, 9, 11178. [Google Scholar] [CrossRef] [PubMed] [Green Version]
- Kim, B.C.; Jung, S.U.; Jang, C.W.; Kim, J.K. Comparison of BOD, COD and TOC as the indicator of organic matter pollution in streams and reservoirs of Korea. Korean Soc. Environ. Eng. 2007, 29, 640–643. (In Korean) [Google Scholar]
- Sun-Hye, K. Characteristics of the Origin and Stabilization Process in Sediment Deposits in Han River Watershed. Master’s Thesis, The Graduate School of Ewha Womans University, Seoul, Korea, 2015. [Google Scholar]
- Jeong, J.J.; Bartsch, S.; Fleckenstein, J.H.; Matzner, E.; Tenhunen, J.D.; Lee, S.D.; Park, S.K.; Park, J.H. Differential storm responses of dissolved and particulate organic carbon in a mountainous headwater stream, investigated by high-frequency, in situ optical measurements. J. Geophys. Res. Biogeosci. 2012, 117. [Google Scholar] [CrossRef]
- Shang, P.; Lu, Y.H.; Du, Y.X.; Jaffé, R.; Findlay, R.H.; Wynn, A. Climatic and watershed controls of dissolved organic matter variation in streams across a gradient of agricultural land use. Sci. Total Environ. 2018, 612, 1442–1453. [Google Scholar] [CrossRef] [PubMed]
- Sarker, S. Essence of MIKE 21C (FDM Numerical Scheme): Application on the River Morphology of Bangladesh. Open J. Model Simul. 2022, 10, 88–117. [Google Scholar] [CrossRef]
- Curran, P.J.; West, S.G.; Finch, J.F. The robustness of test statistics to nonnormality and specification error in confirmatory factor analysis. Psychol. Methods 1996, 1, 16–29. [Google Scholar] [CrossRef]
- Mann, H.B. Nonparametric tests against trend. Econometrica 1945, 13, 245–259. [Google Scholar] [CrossRef]
- Kendall, M.G. Rank Correlation Methods; Charles Griffin: London, UK, 1975. [Google Scholar]
- Hirsch, R.M.; Slack, J.R.; Smith, R.A. Techniques for trend assessment for monthly water quality data. Water Resour. Res. 1982, 18, 107–121. [Google Scholar] [CrossRef] [Green Version]
- Helsel, D.R.; Hirsch, R.M. Statistical Methods in Water Resources: US Geological Survey Techniques of Water Resources Investigations Book 4, Chapter A3, U.S. Geological Survey. 2002; pp. 226–230. Available online: http://pubs.usgs.gov/twri/twri4a3 (accessed on 10 June 2022).
- Runkel, R.L.; Crawford, C.G.; Cohn, T.A. Load Estimator (LOADEST): A FORTRAN Program for Estimating Constituent Loads in Streams and Rivers; Techniques and Methods Report; U.S.G.S.: Reston, VA, USA, 2004. [CrossRef] [Green Version]
- Cohn, T.A.; Caulder, D.L.; Gilroy, E.J.; Zynjuk, L.D.; Summers, R.M. The validity of a simple statistical model for estimating fluvial constituent loads: An empirical study involving nutrient loads entering Chesapeake Bay. Water Resour. Res. 1992, 28, 2353–2363. [Google Scholar] [CrossRef]
- Moriasi, D.N.; Arnold, J.G.; Van Liew, M.W.; Bingner, R.L.; Harmel, R.D.; Veith, T.L. Model evaluation guidelines for systematic quantification of accuracy in watershed simulations. Trans. ASABE 2007, 50, 885–900. [Google Scholar] [CrossRef]
- Engel, B.; Storm, D.; White, M.; Arnold, J.; Arabi, M. A hydrologic/water quality model application protocol. J. Am. Water Resour. Asscoc. 2007, 43, 1223–1236. [Google Scholar] [CrossRef]
- Cohn, T.A.; Gilroy, E.J.; Baier, W.G. Estimating Fluvial Transport of Trace Constituents Using a Regression Model with Data Subject to Censoring. In Proceedings of the Joint Statistical Meeting, Boston, MA, USA, 9–13 August 1992; pp. 142–151. [Google Scholar]










| Name | Major Classification | Middle Classification | Name | Major Classification | Middle Classification |
|---|---|---|---|---|---|
| AGRL | Agriculture land | Agriculture | UCOM | Used area | Urbanization Commercial area |
| ORCD | Orchard | UIDU | Urbanization Industrial area | ||
| RICE | Rice fields | UINS | Urbanization Institutional area | ||
| FRSD | Forest | Forest deciduous | URML | Urbanization Residential area | |
| FRSE | Forest evergreen | UTRN | Urbanization Transportation area | ||
| FRST | Forest intermixture | WATR | Water | Water | |
| RNGE | Grass | Grassland | WETL | WETL | Wetland |
| SWRN | Barren | Barren |
| Tributary | Administrative District | Area (km2) | Total Channel Length (km) | No. of TMDL Basins | No. of Sub-Basins | Total Number of Nodes | 3rd Phase (’16–’20) Target Water Quality (mg/L) | |
|---|---|---|---|---|---|---|---|---|
| BOD5 | TP | |||||||
| Churyeongcheon | Sunchang County in Jeollabuk-do | 152.3 | 37.0 | 1 | 3 | 8 | 1.1 | 0.018 |
| Yocheon | Namwon city and Jangsu County in Jeollabuk-do | 487.3 | 60.030 | 2 | 13 | 23 | 1.5 | 0.063 |
| Performance Rating | NSE | PBIAS (%) | RSR |
|---|---|---|---|
| Very good | 0.75< NSE ≤1.0 | PBIAS < ±10 | 0.00 < RSR ≤ 0.5 |
| Good | 0.65 < NSE ≤ 0.75 | ±10 ≤ PBIAS < ±15 | 0.50 < RSR ≤ 0.6 |
| Satisfactory | 0.50 < NSE ≤ 0.65 | ±15 ≤ PBIAS < ±25 | 0.60 < RSR ≤ 0.7 |
| Unsatisfactory | NSE ≤ 0.50 | PBIAS > ±25 | RSR > 0.7 |
| Unit Basin | Item | ’11 | ’12 | ’13 | ’14 | ’15 | ’16 | ’17 | ’18 | ’19 | ’20 | |
|---|---|---|---|---|---|---|---|---|---|---|---|---|
| Churyeongcheon | BOD (kg/d) | Min. | 11.1 | 17.5 | 12.0 | 28.7 | 23.4 | 25.6 | 11.9 | 25.5 | 23.8 | 9.0 |
| Max. | 1762.6 | 7196.4 | 652.5 | 1458.4 | 1271.0 | 1869.9 | 2231.7 | 2223.8 | 1863.5 | 1290.3 | ||
| Ave. | 265.5 | 440.9 | 189.6 | 288.0 | 209.2 | 305.2 | 192.3 | 268.5 | 233.0 | 203.1 | ||
| COD (kg/d) | Min. | 39.5 | 56.0 | 43.9 | 75.9 | 82.0 | 68.6 | 47.7 | 117.4 | 71.3 | 54.1 | |
| Max. | 5791.5 | 21,589.3 | 3508.9 | 5651.2 | 4267.1 | 7687.3 | 7381.7 | 8288.9 | 9317.7 | 8989.9 | ||
| Ave. | 666.6 | 1526.4 | 635.0 | 960.5 | 579.6 | 1055.7 | 678.8 | 968.5 | 828.0 | 987.8 | ||
| TOC (kg/d) | Min. | 22.1 | 21.0 | 31.1 | 35.9 | 41.0 | 58.3 | 33.8 | 84.0 | 58.8 | 27.1 | |
| Max. | 2769.8 | 11,994.0 | 2232.9 | 2916.7 | 3086.8 | 5817.5 | 4120.0 | 7278.0 | 7221.2 | 5288.2 | ||
| Ave. | 365.9 | 674.6 | 398.0 | 609.0 | 355.0 | 802.4 | 469.4 | 735.3 | 636.5 | 648.8 | ||
| Yocheon | BOD (kg/d) | Min. | 174.1 | 160.6 | 198.9 | 144.6 | 92.9 | 225.5 | 56.8 | 168.9 | 158.6 | 183.8 |
| Max. | 10,616.1 | 23,467.5 | 5515.2 | 7668.6 | 11,704.4 | 3441.0 | 2798.1 | 7172.3 | 3940.0 | 2603.1 | ||
| Ave. | 1128.8 | 1612.3 | 1166.7 | 968.4 | 929.5 | 804.9 | 509.6 | 941.1 | 694.4 | 649.4 | ||
| COD (kg/d) | Min. | 523.6 | 603.0 | 786.9 | 458.4 | 228.1 | 477.4 | 183.6 | 497.2 | 364.9 | 685.5 | |
| Max. | 31,184.9 | 68,783.9 | 12,894.5 | 26,163.5 | 30,344.6 | 16,146.4 | 11,192.4 | 19,842.9 | 11,006.4 | 10,021.8 | ||
| Ave. | 2814.6 | 5120.7 | 3134.7 | 2829.6 | 2441.2 | 2523.3 | 2113.8 | 3297.1 | 2323.6 | 2524.8 | ||
| TOC (kg/d) | Min. | 335.7 | 406.7 | 685.2 | 356.5 | 160.5 | 371.3 | 144.1 | 395.5 | 264.4 | 352.6 | |
| Max. | 18,578.2 | 32,368.9 | 7368.3 | 17,141.6 | 19,940.8 | 12,440.7 | 8394.3 | 17,008.2 | 11,549.9 | 6637.8 | ||
| Ave. | 1792.4 | 2577.5 | 2168.4 | 2038.4 | 1747.0 | 2027.9 | 1591.9 | 2565.6 | 1948.4 | 1677.4 | ||
| Unit Basin | Item | Delivery Load (kg/d) | Rate of Change (%) | |||||
|---|---|---|---|---|---|---|---|---|
| ’12 ① | ’14 ② | ’17 ③ | ’20 ④ | Ratio (%) (②−①)/①∗100 | Ratio (%) (③−①)/①∗100 | Ratio (%) (④−①)/①∗100 | ||
| Churyeongcheon | BOD | 265.5 | 288.0 | 192.3 | 203.1 | 8.5% | −27.6% | −23.5% |
| COD | 666.6 | 960.5 | 678.8 | 987.8 | 44.1% | 1.8% | 48.2% | |
| TOC | 365.9 | 609.0 | 469.4 | 648.8 | 66.5% | 28.3% | 77.3% | |
| Yocheon | BOD | 1128.8 | 968.4 | 509.6 | 649.4 | −14.2% | −54.9% | −42.5% |
| COD | 2814.6 | 2829.6 | 2113.8 | 2524.8 | 0.5% | −24.9% | −10.3% | |
| TOC | 1792.4 | 2038.4 | 1591.9 | 1677.4 | 13.7% | −11.2% | −6.4% | |
| Item | Kolmogorov–Smirnov | Descriptive Statistics | Standard Error | |
|---|---|---|---|---|
| BOD (mg/L) | 0 | Skewness | 0.64 | 0.12 |
| Kurtosis | 0.05 | 0.24 | ||
| pH | 0 | Skewness | −0.04 | 0.12 |
| Kurtosis | −0.21 | 0.24 | ||
| DO (mg/L) | 0 | Skewness | 0.33 | 0.12 |
| Kurtosis | −0.44 | 0.24 | ||
| COD (mg/L) | 0 | Skewness | 0.50 | 0.12 |
| Kurtosis | 0.01 | 0.24 | ||
| SS (mg/L) | 0 | Skewness | 3.20 | 0.12 |
| Kurtosis | 17.65 | 0.24 | ||
| TN (mg/L) | 0.003 | Skewness | −0.19 | 0.12 |
| Kurtosis | −0.36 | 0.24 | ||
| TP (mg/L) | 0 | Skewness | 1.14 | 0.12 |
| Kurtosis | 1.55 | 0.24 | ||
| TOC (mg/L) | 0 | Skewness | 0.66 | 0.12 |
| Kurtosis | 0.72 | 0.24 | ||
| EC (µS/cm) | 0 | Kurtosis | 1.48 | 0.12 |
| Skewness | 10.66 | 0.24 | ||
| Flow rate (m3/s) | 0 | Kurtosis | 4.49 | 0.12 |
| Skewness | 30.57 | 0.24 | ||
| Item | Kolmogorov–Smirnov | Descriptive Statistics | Standard Error | |
|---|---|---|---|---|
| BOD (mg/L) | 0 | Skewness | 1.06 | 0.12 |
| Kurtosis | 0.91 | 0.23 | ||
| pH | 0.006 | Skewness | −0.08 | 0.12 |
| Kurtosis | −0.15 | 0.23 | ||
| DO (mg/L) | 0 | Skewness | 0.17 | 0.12 |
| Kurtosis | −0.54 | 0.23 | ||
| COD (mg/L) | 0 | Skewness | 0.96 | 0.12 |
| Kurtosis | 0.50 | 0.23 | ||
| SS (mg/L) | 0 | Skewness | 7.82 | 0.12 |
| Kurtosis | 98.27 | 0.23 | ||
| TN (mg/L) | 0 | Skewness | 0.72 | 0.12 |
| Kurtosis | 0.01 | 0.23 | ||
| TP (mg/L) | 0 | Skewness | 1.60 | 0.12 |
| Kurtosis | 2.46 | 0.23 | ||
| TOC (mg/L) | 0 | Skewness | 0.86 | 0.12 |
| Kurtosis | 1.05 | 0.23 | ||
| EC (µS/cm) | 0.054 | Kurtosis | 0.77 | 0.12 |
| Skewness | 1.90 | 0.23 | ||
| Flow rate (m3/s) | 0 | Kurtosis | 5.18 | 0.12 |
| Skewness | 33.79 | 0.23 | ||
| Items | pH | DO (mg/L) | BOD (mg/L) | COD (mg/L) | SS (mg/L) | TN (mg/L) | TP (mg/L) | TOC (mg/L) | EC (µS/cm) | Flow Rate (m3/s) |
|---|---|---|---|---|---|---|---|---|---|---|
| pH | 1 | |||||||||
| DO (mg/L) | −0.024 | 1 | ||||||||
| BOD (mg/L) | 0.015 | −0.2215 ** | 1 | |||||||
| COD (mg/L) | −0.043 | −0.438 ** | 0.417 ** | 1 | ||||||
| SS (mg/L) | −0.143 ** | −0.416 ** | 0.285 ** | 0.542 ** | 1 | |||||
| TN (mg/L) | −0.164 ** | 0.178 ** | 0.078 | −0.082 | 0.191 ** | 1 | ||||
| TP (mg/L) | −0.132 ** | −0.441 ** | 0.298 ** | 0.510 ** | 0.569 ** | 0.090 | 1 | |||
| TOC (mg/L) | 0.012 | −0.339 ** | 0.342 ** | 0.731 ** | 0.430 ** | −0.163 ** | 0.451 ** | 1 | ||
| EC (µS/cm) | 0.133 ** | 0.028 | 0.112 * | 0.111 * | −0.031 | −0.139 ** | −0.018 | 0.210 ** | 1 | |
| Flow rate (m3/s) | −0.308 ** | −0.199 ** | 0.032 | 0.252 ** | 0.493 ** | 0.339 ** | 0.423 ** | 0.162 ** | −0.372 ** | 1 |
| Item | pH | DO (mg/L) | BOD (mg/L) | COD (mg/L) | SS (mg/L) | TN (mg/L) | TP (mg/L) | TOC (mg/L) | EC (µS/cm) | Flow Rate (m3/s) |
|---|---|---|---|---|---|---|---|---|---|---|
| pH | 1 | |||||||||
| DO (mg/L) | 0.247 ** | 1 | ||||||||
| BOD (mg/L) | 0.055 | −0.044 | 1 | |||||||
| COD (mg/L) | −0.103 * | −0.368 ** | 0.563 ** | 1 | ||||||
| SS (mg/L) | −0.112 * | −0.319 ** | 0.376 ** | 0.418 ** | 1 | |||||
| TN (mg/L) | 0.126 ** | 0.559 ** | 0.178 ** | −0.154 ** | −0.124 ** | 1 | ||||
| TP (mg/L) | 0.019 | −0.263 ** | 0.509 ** | 0.494 ** | 0.418 ** | −0.022 | 1 | |||
| TOC (mg/L L) | −0.071 | −0.343 ** | 0.409 ** | 0.859 ** | 0.289 ** | −0.192 ** | 0.381 ** | 1 | ||
| EC (µS/cm) | 0.174 ** | 0.431 ** | 0.060 | 0.014 | −0.276 ** | 0.573 ** | -0.135 ** | 0.136 ** | 1 | |
| Flow rate (m3/s) | −0.305 ** | −0.349 ** | −0.057 | 0.057 | 0.523 ** | −0.224 ** | 0.081 | −0.054 | −0.498 ** | 1 |
| Measurement Point | Seasonal Mann–Kendall Trend | ||||||
|---|---|---|---|---|---|---|---|
| Item | Statistic S | Z | p | Kendall’s Tau | Slope (mg/L/y) | Trend | |
| Churyeong A | BOD | −13 | −0.774 | 0.439 | −0.144 | 0.924 | ▬ |
| COD | 52 | 3.269 | 0.001 | 0.578 | 2.458 | ▲ | |
| TOC | 45 | 2.800 | 0.005 | 0.500 | 1.275 | ▲ | |
| Yocheon B | BOD | −29 | −1.789 | 0.074 | −0.322 | 1.719 | ▬ |
| COD | 17 | 1.024 | 0.306 | 0.189 | 4.075 | ▬ | |
| TOC | 40 | 2.477 | 0.013 | 0.444 | 2.675 | ▲ | |
| Unit Basin | Item | NSE | PBIAS (%) | RSR | |||
|---|---|---|---|---|---|---|---|
| Churyeong A | BOD | 0.92 | Very good | 0.53 | Very good | 0.29 | Very good |
| COD | 0.96 | Very good | −0.15 | Very good | 0.19 | Very good | |
| TOC | 0.94 | Very good | −0.81 | Very good | 0.24 | Very good | |
| Yocheon B | BOD | 0.83 | Very good | 0.49 | Very good | 0.46 | Very good |
| COD | 0.91 | Very good | 0.99 | Very good | 0.33 | Very good | |
| TOC | 0.91 | Very good | 1.25 | Very good | 0.34 | Very good | |
| Item | α0 | α1 | α2 | α3 | α4 | α5 | α6 | R2 |
|---|---|---|---|---|---|---|---|---|
| BOD | 5.1020 ** | 0.9642 ** | 0.0180 * | 0.0923 ** | −0.2386 ** | −0.0107 * | −0.0014 | 93.15 |
| COD | 6.2301 ** | 1.0011 ** | 0.0335 ** | 0.0380 ** | −0.2514 ** | 0.0244 ** | 0.0024 * | 97.50 |
| TOC | 5.8323 ** | 0.9882 ** | 0.0362 ** | −0.0468 ** | −0.3228 ** | 0.0667 ** | −0.0080 ** | 95.00 |
| Item | α0 | α1 | α2 | α3 | α4 | α5 | α6 | |
|---|---|---|---|---|---|---|---|---|
| BOD | Std. Dev. | 0.0236 | 0.0141 | 0.0100 | 0.0202 | 0.0212 | 0.0050 | 0.0019 |
| T-ratio | 216.52 | 68.26 | 1.79 | 4.56 | −11.27 | −2.15 | −0.73 | |
| p | <0.01 | <0.01 | >0.01 | <0.01 | <0.01 | >0.01 | >0.1 | |
| COD | Std. Dev. | 0.0143 | 0.0086 | 0.0061 | 0.0123 | 0.0129 | 0.0030 | 0.0012 |
| T-ratio | 434.60 | 116.49 | 5.48 | −3.08 | −19.53 | 8.05 | 2.01 | |
| p | <0.01 | <0.01 | <0.01 | <0.01 | <0.01 | <0.01 | >0.01 | |
| TOC | Std. Dev. | 0.0209 | 0.0125 | 0.0089 | 0.0180 | 0.0188 | 0.0044 | 0.0017 |
| T-ratio | 278.67 | 78.77 | 4.05 | −2.60 | −17.17 | 15.06 | −4.68 | |
| p | <0.01 | <0.01 | <0.01 | <0.01 | <0.01 | <0.01 | <0.01 | |
| Item | α0 | α1 | α2 | α3 | α4 | α5 | α6 | R2 |
|---|---|---|---|---|---|---|---|---|
| BOD | 6.5426 ** | 0.9739 ** | 0.0422 ** | 0.3826 ** | −0.0804 ** | −0.0215 ** | 0.0036 | 84.08 |
| COD | 7.6773 ** | 0.9686 ** | 0.0347 ** | 0.1597 ** | −0.2240 ** | 0.0185 ** | 0.0033 * | 94.41 |
| TOC | 7.4094 ** | 0.9204 ** | 0.0227 * | 0.1459 ** | −0.2604 ** | 0.0377 ** | −0.0052 ** | 91.25 |
| Item | α0 | α1 | α2 | α3 | α4 | α5 | α6 | |
|---|---|---|---|---|---|---|---|---|
| BOD | Std. Dev. | 0.0278 | 0.0224 | 0.0150 | 0.0242 | 0.0255 | 0.0057 | 0.0022 |
| T-ratio | 234.97 | 43.38 | 2.81 | 15.83 | −3.15 | −3.75 | 1.58 | |
| p | <0.01 | <0.01 | <0.01 | <0.01 | <0.01 | <0.01 | >0.1 | |
| COD | Std. Dev. | 0.0162 | 0.0131 | 0.0087 | 0.0140 | 0.0148 | 0.0033 | 0.0013 |
| T-ratio | 474.22 | 74.21 | 3.97 | 11.37 | −15.10 | 5.54 | 2.49 | |
| p | <0.01 | <0.01 | <0.01 | <0.01 | <0.01 | <0.01 | >0.01 | |
| TOC | Std. Dev. | 0.0199 | 0.0161 | 0.0107 | 0.0173 | 0.0183 | 0.0041 | 0.0016 |
| T-ratio | 371.69 | 57.27 | 2.12 | 8.43 | −14.25 | 9.18 | −3.21 | |
| p | <0.01 | <0.01 | >0.0 1 | <0.01 | <0.01 | <0.01 | <0.01 | |
Publisher’s Note: MDPI stays neutral with regard to jurisdictional claims in published maps and institutional affiliations. |
© 2022 by the authors. Licensee MDPI, Basel, Switzerland. This article is an open access article distributed under the terms and conditions of the Creative Commons Attribution (CC BY) license (https://creativecommons.org/licenses/by/4.0/).
Share and Cite
Ha, D.-W.; Jung, K.-Y.; Baek, J.; Lee, G.-S.; Lee, Y.; Shin, D.S.; Na, E.H. Trend Analysis Using Long-Term Monitoring Data of Water Quality at Churyeongcheon and Yocheon Basins. Sustainability 2022, 14, 9770. https://doi.org/10.3390/su14159770
Ha D-W, Jung K-Y, Baek J, Lee G-S, Lee Y, Shin DS, Na EH. Trend Analysis Using Long-Term Monitoring Data of Water Quality at Churyeongcheon and Yocheon Basins. Sustainability. 2022; 14(15):9770. https://doi.org/10.3390/su14159770
Chicago/Turabian StyleHa, Don-Woo, Kang-Young Jung, Jonghun Baek, Gi-Soon Lee, Youngjea Lee, Dong Seok Shin, and Eun Hye Na. 2022. "Trend Analysis Using Long-Term Monitoring Data of Water Quality at Churyeongcheon and Yocheon Basins" Sustainability 14, no. 15: 9770. https://doi.org/10.3390/su14159770
APA StyleHa, D.-W., Jung, K.-Y., Baek, J., Lee, G.-S., Lee, Y., Shin, D. S., & Na, E. H. (2022). Trend Analysis Using Long-Term Monitoring Data of Water Quality at Churyeongcheon and Yocheon Basins. Sustainability, 14(15), 9770. https://doi.org/10.3390/su14159770

