Abstract
In this work, the copolymers ethylene-glycidyl methacrylate (E-GMA), ethylene methyl methacrylate-glycidyl methacrylate (EMA-GMA), and styrene-(ethylene-butylene)-styrene grafted with maleic anhydride (SEBS-g-MA) were used to compatibilize polystyrene (PS)/poly(caprolactone) (PCL) blends. The blends were processed in a co-rotating twin-screw extruder and injection molded. Samples were investigated by torque rheometry, capillary rheometry, impact strength, tensile strength, heat deflection temperature (HDT), dynamic-mechanical thermal analysis (DMTA), thermogravimetry (TG), and scanning electron microscopy (SEM). Torque rheometry indicated that glycidyl methacrylate functional groups and maleic anhydride groups interact with PCL. Capillary rheometry evidenced that at shear rates lower than 10,000 s−1, the PS/PCL/SEBS-g-MA blends presented the highest apparent viscosity among the blends. Such behavior was possibly due to the good interaction between SEBS-g-MA and the PS and PCL phases. Consequently, the properties of impact strength, elongation at break, tensile strength, and elastic modulus were improved by 30%, 109%, 33.8%, and 13.7%, respectively, compared with the non-compatibilized PS/PCL system. There was a reduction in the HDT of all blends compared with neat PS, given the elastomeric characteristics of PCL and compatibilizers. The DMTA results revealed two independent peaks in the blends (one around −53 °C concerning the PCL phase and another at 107 °C related to PS), confirming their immiscibility. The PS/PCL/SEBS-g-MA blends showed higher morphological stability, confirming their good mechanical properties.
1. Introduction
Polystyrene (PS) is one of the most commercialized thermoplastics worldwide, easily synthesized, processed, and recycled [1]. PS has applications in several segments of the plastics market, mainly due to its transparency, thermal stability, low density, high elastic modulus, and low cost [2]. At room temperature, PS is a glassy polymer (Tg between 90 °C and 100 °C), presenting low energy absorption under impact due to the absence of local mobility of chain segments responsible for energy dissipation [3,4]. The mechanical properties related to the ductility and impact strength of PS are known to be limited [5]. Therefore, in some applications, polystyrene needs to be toughened to broaden the range of applications [6]. Mixing two polymers has been one of the most interesting sources of preparing tenacious polystyrene with a relatively low cost and using technology for large-scale production [7,8]. In general, incorporating elastomers into a polystyrene matrix has been the most widely used technique by most industries [9]. Polybutadiene (PB), styrene-butadiene (SBR), styrene-ethylene-butylene-styrene (SEBS), and styrene-butadiene-styrene (SBS) rubbers are the most used impact modifiers to toughen PS [10,11,12,13,14]. However, considerable investment in research has been made in recent years to use eco-friendly polymers to modify the properties of commodity polymers [15,16,17,18]. Poly(caprolactone) (PCL) is currently one of the most-used eco-friendly thermoplastics, which presents a very flexible behavior and, consequently, with potential application as an impact modifier [19,20,21].
Poly(ε-caprolactone) is characteristically biodegradable, non-toxic, and partially crystalline. It has a low melting point of 60 °C, a glass transition temperature (Tg) of −60 °C, and a decomposition temperature of 350 °C. Moreover, PCL presents easy processability and good water, oil, and chlorine resistance. Industrially, PCL parts can be made using conventional thermoplastic processing techniques, including blow and film extrusion, sheet extrusion, and injection molding [22,23]. PCL is a crystallizable polymer with elastic characteristics. Therefore, it has the potential to be harnessed to improve the ductility of brittle polymers such as polystyrene. However, there is a literature scarcity concerning PS/PCL blend production, with few works reported [24,25]. In this context, it is still necessary to invest substantial efforts to elucidate the behavior, influence, and contribution of PS/PCL blends.
Systems composed of polystyrene and poly(ε-caprolactone) are immiscible due to the difference in molecular structure, generating phase segregation and blends with low properties. Therefore, to improve the performance of PS/PCL blends, it is necessary to increase the interfacial interaction between phases, a process normally executed by adding a compatibilizing agent. Generally, compatibilizers tend to migrate to the interface between phases in the blend, reducing interfacial tension and facilitating phase dispersion into one another [26,27]. In addition, a stronger adhesion between phases facilitates stress transfer and stabilizes the dispersed phase, avoiding its coalescence [28,29]. Particularly, maleic anhydride (MA) and glycidyl methacrylate (GMA) functionalized compatibilizers are being widely used as interfacial modifiers of blends prepared with commodity polymers (PS, PP, PE) and biopolymers (PLA, PCL, PHB). The idea is to secure better synergistic performance between components in the mixture [30,31,32,33]. On the other hand, using compatibilizers with large industrial production should be of prime interest because they are easier to acquire for polymer blend preparation. Considering this, SEBS-g-MA, EMA-GMA, and E-GMA have technological potential considering that maleic anhydride (MA) reacts with the terminal hydroxyls of the PCL chain, i.e., by esterification reactions [34]. Furthermore, the functional group GMA presents an epoxy ring that can interact with both hydroxyls and terminal carboxyl groups [35,36]. The investigation of these compatibilizers can contribute to expanding the scientific database on PS/PCL blends and help create new materials for practical applications.
The present work aimed to develop polystyrene (PS) blends with poly(ε-caprolactone) (PCL) using ethylene-glycidyl methacrylate (E-GMA), ethylene-glycidyl methacrylate (EMA-GMA), and styrene-(ethylene-butylene)-styrene grafted with maleic anhydride (SEBS-g-MA) as compatibilization agents.
2. Materials
Crystal polystyrene (PS), commercial code PS145D, density of 1.04 g/cm3 and flow rate of 17 g/10 min (ASTM D1238-200 °C/5 kg), were supplied in the form of pellets by Unigel S.A (São Paulo, Brazil).
Poly(ε-caprolactone)-PCL, commercial code CAPA 6500®, flow index of 28 g/10 min (190 °C/2.16 Kg), manufactured by Perstorp Winning (Trzin, Slovenia).
Ethylene glycidyl methacrylate copolymer (E-GMA), commercial name Lotader® AX 8840, manufactured by Arkema (Colombes, France). Density of 0.94 g/cm3, flow index of 5 g/10 min (190 °C/2.16 kg), modulus of elasticity of 104 MPa, containing 8% glycidyl methacrylate.
Ethylene methyl methacrylate-glycidyl methacrylate (EMA-GMA) copolymer, commercial name Lotader® AX 8900, supplied by Arkema (Colombes, France). Density of 0.95 g/cm3, flow index of 6 g/10 min (190 °C/2.16 kg), modulus of elasticity of 8 MPa, containing 24% methyl acrylate and 8% glycidyl methacrylate.
Styrene-(ethylene-butylene)-styrene copolymer grafted with maleic anhydride (SEBS-g-MA), commercial code FG1901, containing 1.7% maleic anhydride, density of 0.91 g/cm3 and flow index of 5 g/10 min (200 °C/5 Kg), supplied as pellets by Kraton (São Paulo, Brazil). The formulation containing 30% styrene and 70% ethylene/butylenes.
3. Extrusion and Injection Molding Processing of the Blends
Table 1 presents the proportions adopted in the formulation of the PS/PCL, PS/PCL/E-GMA, PS/PCL/EMA-GMA, and PS/PCL/SEBS-g-MA blends.
Table 1.
Compositions of the blends in mass proportions (wt%).
The blends were dried and mixed, and subsequently processed in a Coperion Werner-Pfleiderer modular co-rotating twin-screw extruder (Stuttgart-Feuerbach, Germany), model ZSK (D = 18 mm and L/D = 40). The temperature profile used in the extruder was 180 °C–185 °C–185 °C–190 °C–200 °C–200 °C. Screw rotation speed of 250 rpm and a controlled feed rate of 4 kg/h, with a screw profile configured with distributive and dispersive mixing elements, were employed. The granulated material was dried in a vacuum oven for 24 h at 40 °C. Neat PS and PCL were processed and dried under the same conditions as the blends for comparison purposes. The blends obtained by extrusion were injection molded in a Fluidmec injection molder, Model H3040, to obtain impact, tensile, and HDT specimens, according to ASTM D256, ASTM D638, and ASTM D648 standards, respectively. The molding temperature was 160 °C, and the mold temperature (cooling temperature) was 20 °C.
4. Characterization
Torque rheometry tests were performed in a RHEOMIX 600 internal mixer coupled to a Haake System 90 torque rheometer (Thermo Scientific, Waltham, MA, USA). The rheometer operated with roller-type rotors, rotating at 50 rpm, at a temperature of 200 °C for 10 min in an air atmosphere.
The rheological behavior at high shear rates for neat PS and the blends was evaluated in an Instron/Ceast model SR20 capillary rheometer (Instron, Waltham, MA, USA), using a temperature of 200 °C and shear rates between 100 and 10,000 s−1. The capillary employed had an L/D ratio of 30 and a diameter (D) of 1 mm.
Izod impact strength analysis was performed on notched specimens, according to ASTM D256, in a Ceast model Resil 5.5 J (Ceast, Turin, Italy) device, operating at room temperature with a 2.75 J hammer. Tests were performed and analyzed for an average of eight specimens.
The tensile test was performed on an average of eight injected specimens, according to ASTM D638, using an EMIC DL 2000 universal testing machine (EMIC, São José dos Pinhais, Brazil), with a speed of 5 mm/min and a load cell of 200 Kgf, at room temperature.
The heat deflection temperature (HDT) was determined according to ASTM D648 standard, using a Ceast testing unit, model HDT 6 VICAT (Instron, Norwood, MA, USA), operating with a load of 1.82 MPa, a heating rate of 120 °C/h, and deflection of 0.25 mm. Silicon oil was applied as the immersion medium. Since PCL is very flexible, the load used was 455 kPa. The results were analyzed for an average of six specimens.
Thermogravimetry (TG) was performed in a TA Instruments SDT Q600 simultaneous TG/DSC (TA Instruments, New Castle, PA, USA) device, using approximately 5 mg of sample, a heating rate of 10 °C/min, and a gas flow rate of 50 mL/min. Tests were performed from room temperature to 500 °C under a nitrogen atmosphere.
Dynamic mechanical thermal analysis (DMTA) of PS, PCL, and blends was determined on an Anton Paar rheometer in DMTA mode (Anton Paar, Graz, Austria), operating at a frequency of 1 Hz, a strain of 0.1%, and a heating rate of 5 °C/min. The temperature ranges employed were: room temperature to 150 °C for neat PS, −100 °C to 80 °C for neat PCL, and −100 to 150 °C for the blends. The tests were performed on injection molded impact specimens.
Scanning electron microscopy (SEM) analysis was obtained in a Shimadzu SSX 550 Superscan equipment (Shimadzu Corp., Kyoto, Japan), at a voltage of 10 kV, with a high vacuum. Fractured impact specimens were used for SEM analysis. The fracture surfaces were gold-coated for 2 min using a Shimadzu metallizer -IC-50, working with a current of 4 mA.
5. Results and Discussion
Torque rheometry is a crucial technique to monitor evidence of degradation, cross-linking, chemical reactions, and processability [37]. It helps select the best processing conditions, avoiding undesirable reactions and excessive reagent usage [38]. Torque rheometry was performed to evaluate possible interactions, miscibility, or reactivity within the PS/compatibilizer and PCL/compatibilizer blends. Compatibilizers in excess (10%, 30%, and 50%) were used to increase the chances of reactions and detectability by torque rheometry. Figure 1a–c illustrates the torque versus time curves of PS with the compatibilizers E-GMA, EMA-GMA, and SEBS-g-MA, respectively.

Figure 1.
Torque curves as a function of time for PS containing: (a) 10%, 30%, and 50% E-GMA copolymer; (b) 10%, 30%, and 50% EMA-GMA copolymer; and (c) 10%, 30%, and 50% SEBS-g-MA copolymer.
The literature [39,40] has indicated that torque is proportional to the viscosity of a polymeric system. We observed that adding E-GMA and EMA-GMA copolymers to PS promoted a slight increase in torque with time, consequently incrementing viscosity, especially after 10 min. The enhanced PS/E-GMA and PS/EMA-GMA viscosities may be due to the flow index of the copolymers being low compared with polystyrene. Adding 30% of these copolymers to PS led to a torque increase tendency, suggesting a continuous viscosity increase. However, adding 50% E-GMA and EMA-GMA led to a torque reduction, suggesting viscosity saturation in the system and indicating an excess of molecules working as diluent. These molecules decrease the viscosity of PS/E-GMA and PS/EMA-GMA blends. For the PS/SEBS-g-MA blends, even increasing SEBS-g-MA copolymer content in the PS, the curves are similar, indicating only a modest increase in the miscibility of the system. This is due to the chemical similarity of these polymers, i.e., the presence of styrene groups in both PS and SEBS-g-MA promotes partial miscibility. Figure 1a–c shows a weak reaction between PS and compatibilizers. The low interaction is due to the lack of functional groups in the molecular structure of PS that can react with maleic anhydride (MA) or glycidyl methacrylate (GMA).
Figure 2a–c presents torque versus time curves of PCL with the E-GMA, EMA-GMA, and SEBS-g-MA copolymers, respectively.
Figure 2.
Torque curves as a function of time for PCL with: (a) 10%, 30%, and 50% E-GMA copolymer; (b) 10%, 30%, and 50% EMA-GMA copolymer; (c) 10%, 30%, and 50% SEBS-g-MA copolymer.
Figure 2a–c shows that in all PCL/E-GMA, PCL/EMA-GMA, and PCL/SEBS-g-MA systems, the addition and increment in copolymer content promoted an increase in torque compared with neat PCL. The torque tended to stabilize between 10 min and 20 min, suggesting possible reactions between the functional groups of the blend components. According to the literature [41,42,43], a possible explanation for the viscosity increment in the PCL/E-GMA and PCL/EMA-GMA systems is the reactions between the epoxy ring of the copolymers with the terminal hydroxyl and carbonyl groups present in the PCL chain. The epoxy group can react with hydroxyl groups (Reaction 1) or terminal carboxyl groups (Reaction 2) of PCL to form ether and ester bonds, respectively.
The increase in torque for PCL/SEBS-MA may have been due to the reaction of maleic anhydride with the terminal hydroxyl groups of the PCL chain by esterification reactions [44]. There was also a pronounced increase in torque after the loading peak for the composition with 50% SEBS-MA in PCL, possibly due to the higher concentration of maleic anhydride in the system, favoring a higher number of MA groups to react with the hydroxyl groups of PCL.
Table 2 presents the values in the stabilization interval (10–20 min) for the average torque of PS/copolymer and PCL/copolymer blends with 10%, 30%, and 50% copolymer contents.
Table 2.
Average torque values in the stabilization interval (10–20 min) for PS/copolymers and PCL/copolymers blends with 10%, 30%, and 50% copolymers content.
The dependence of viscosity on composition is often related to the interaction forces between the components of a mixture. In all systems presented above, the copolymers apparently had electrostatic interactions with PS and chemical reactions with PCL, especially between PCL and SEBS-g-MA, wherein a higher torque increase was observed compared with the mixtures with other copolymers.
Figure 3 illustrates the flow curves, i.e., the relationship between shear stress as a function of shear rate for neat PS, the PS/PCL blends, and the compatibilized blends. Capillary rheometry measurements are very relevant to evaluating a material during processing. This analysis is obtained at high shear rates and is similar to typical extrusion and injection molding processing conditions ranging from 100 to 10,000 s−1 or more [29].
Figure 3.
Reactions of the epoxy group of GMA with the terminal groups (a) hydroxyl and (b) carboxyl of PCL [43].
The flow curves of neat polystyrene and all blends (Figure 4) show a non-Newtonian behavior, as corroborated by the power index (n) values or the linear coefficient of Equation (2) (presented in Table 3). Neat PS showed higher stress values than the other blends when shear rates were up to 1000 s−1. The flow curves of the blends compatibilized with GMA, i.e., PS/PCL/E-GMA and PS/PCL/EMA-GMA, exhibited lower shear stress values than the PS/PCL/SEBS-g-MA blend. At the same time, the PS/PCL/SEBS-g-MA blend showed shear stress values intermediate to neat PS and the binary PS/PCL blend, probably due to the interactions of this copolymer with both phases.
Figure 4.
Flow curves of neat PS, PS/PCL blends, and the compatibilized blends.
Table 3.
Values of K, n, and R2 for neat PS, PS/PCL blend, and compatibilized blends.
Table 3 presents the values of the consistency index (K), the power index (n), and the value of the linear fit or correlation coefficient (R2). The values of K and n are parameters of the Ostwald de Waele power model, according to Equation (1), and are obtained from Equation (2) in logarithmic form. The correlation coefficient (R2) was close to unity, meaning a satisfactory linear fit.
τ= K·γn
log τ = log K + n·log·γ
Figure 5 illustrates the apparent viscosity curves as a function of shear rate in the logarithmic scale for neat PS and the blends. The PCL addition to polystyrene (PS/PCL) decreased the apparent viscosity, which can be attributed to the low PCL viscosity (higher fluidity index), as supported by torque rheometry. For neat PS and its blends, there was a reduction in apparent viscosity with increasing shear rate, characterizing a pseudoplastic behavior, according to the power index values. This can be attributed to polymer chain alignment in the flow direction, which agrees with the observations [45].
Figure 5.
Apparent viscosity curves as a function of shear rate for neat PS and the blends.
Adding SEBS-g-MA copolymer to the PS/PCL blend promoted viscosity values above the other blends at low shear rates. This is possibly due to the excellent interaction of SEBS-g-MA with PS and PCL phases, suggesting a higher degree of molecular entanglement in the molten PS/PCL/SEBS-g-MA blends. Moreover, with SEBS-g-GMA, the viscosity values remain close to the PS matrix for rates above 1000 s−1, probably due to the viscous dissipation effect (temperature increase due to shear intensity). The apparent viscosities of the PS/PCL/E-GMA and PS/PCL/EMA-GMA are very similar at high shear rates and the lowest among the compositions.
Figure 6 presents the impact strength results of the neat polymers, binary PS/PCL blends, and the ternary PS/PCL/compatibilizer blends.
Figure 6.
Impact strength of neat polymers, binary, and compatibilized blends.
Neat PS presented low impact strength, in the order of 18 J/m, indicating a typical behavior of a fragile polymer. The addition of 25% PCL in the PS matrix slightly increased the impact strength compared with neat PS. However, no toughening effect was observed in the PS matrix when adding PCL individually, although PCL has high impact strength (239 J/m). The compatibilization of PS/PCL blends with E-GMA and EMA-GMA copolymers did not improve the impact strength, i.e., they did not contribute to improving the energy dissipation mechanism. The PS/PCL/EMA-GMA blends were within experimental error, compared with the non-compatibilized blend. PS/PCL compatibilization with E-GMA severely reduced impact strength by 29%, compared with neat PS. This behavior indicates that the fragility of the PS/PCL blend increased with E-GMA addition, apparently by stress concentration. The impact strength values corroborate the tensile testing results, which indicated poor adhesion between components in the mixture, and the apparent lack of miscibility of E-GMA and EMA-GMA with PS, acting as a barrier to stress transfer between phases. However, the blend compatibilized with SEBS-g-MA showed an increase in impact strength by around 30% of its initial value, compared with the PS/PCL blend. This can be attributed to the better adhesion between PS and PCL phases promoted by a reaction between maleic anhydride groups and the hydroxyl groups of PCL and the miscibility of SEBS with PS, which causes efficient stress transfer from one phase to the other. These results corroborate the mechanical tensile testing, which showed an increase in elongation at break, and the morphological results.
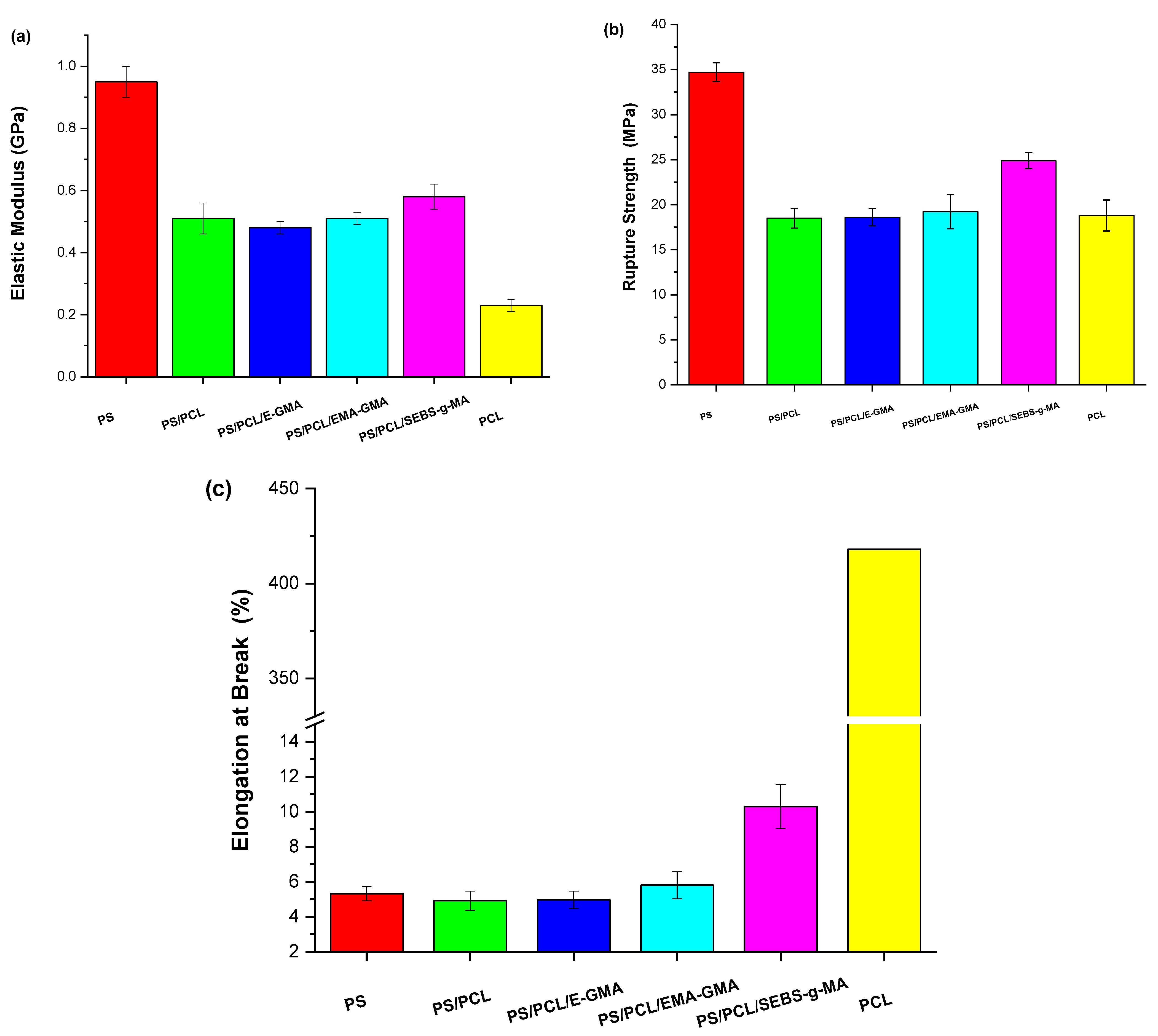
Table 4 and Figure 7a–c illustrates the tensile mechanical property values of the neat polymers and blends.
Table 4.
Tensile mechanical properties of the neat polymers, the binary blends, and the compatibilized blends.
Figure 7.
Tensile properties of neat polymers and blends: (a) elastic modulus; (b) tensile strength; (c) elongation at break.
Neat PS showed the highest elastic modulus, indicating higher stiffness. On the other hand, PCL presented low resistance to elastic deformation, given its elastomeric behavior. The blends displayed an additive behavior of the elastic modulus, i.e., with intermediate values to the neat polymers. There was a decrease in the elastic modulus in all blends compared with PS, regardless of compatibilization. The PS/PCL blends and those compatibilized with E-GMA and EMA-GMA showed similar elastic modulus and maximum strength, considering the experimental error. These blends also deform at lower stresses compared with PS. The low level of deformation of neat PS (5.11%) indicates its brittle behavior. This can be attributed to the presence of bulk groups in the PS structure that restrict molecular mobility and inhibit the degree of deformation. Contrastingly, PCL presented a high plastic deformation level. It did not break and showed elongation higher than 418%. This behavior was due to the flexible nature of PCL, which requires a high degree of deformation before rupture. Incorporating 25% of PCL into the PS matrix did not improve the elongation at break, given the immiscibility between phases, confirmed later by DMTA analysis. At the same time, it was also observed that adding copolymers containing GMA groups (E-GMA and EMA-GMA) into the PS/PCL blends did not significantly increase the elongation at break of the binary blend. However, it should be noted that the elastic modulus, maximum strength, and elongation at break for the PS/PCL/SEBS-g-MA blend presented higher values than the blends containing other copolymers. The elongation at break doubled, compared with neat PS and the binary blend. This can be attributed to the compatibility between the components, triggered by the reaction between maleic anhydride and the hydroxyl terminal groups of PCL, and the miscibility promoted through the chemical affinity between the styrene groups of SEBS-g-MA and PS. Table 4 clearly shows the difference in tensile behavior between blends. Only the blend with SEBS-g-MA presented a ductile behavior, with a higher level of deformation at rupture. A fragile behavior is still observed for blends with glycidyl methacrylate (GMA), with low elongation at break, as seen in PS and the PS/PCL binary blends.
According to Table 4, neat PS showed the highest tensile strength, requiring a high tensile load to fracture. Adding 25% PCL into the PS matrix reduced the tensile strength by 46.7%, compared with neat PS. The flexible behavior of PCL contributed to reducing the resistance to rupture. Therefore, the PS/PCL blends needed less stress to rupture. Moreover, the immiscible PS/PCL system did not promote good interfacial adhesion (shown in the SEM analysis below), creating a poor stress transfer. The compatibilization of PS/PCL blends with E-GMA and EMA-GMA did not improve the tensile strength. In this case, the tensile strength value was analogous to that recorded for the non-compatibilized system. These compatibilizers could not improve the interfacial stress transfer mechanism between PS and PCL. Unlike E-GMA and EMA-GMA, SEBS-g-MA effectively improved PS/PCL compatibility. The tensile strength increased by 33.8%, compared with the isolated PS/PCL system. The PS/PCL/SEBS-g-MA blend probably presented a more efficient toughening mechanism, providing better stress transfer performance. The tensile strength of approximately 24.7 MPa is superior to the results of traditional blends, such as PS/SBR (polystyrene/styrene-butadiene) [46] and PS/PB (polyethylene/polybutadiene) [47].
The heat deflection temperature (HDT) was determined to evaluate the thermomechanical behavior of the PS/PCL/copolymer blends. Table 5 presents the HDT values of the neat polymers, binary, and compatibilized blends. PS showed the highest HDT among the compositions due to its high stiffness, as shown in the tensile testing. This indicates high structural strength capacity when simultaneously subjected to mechanical stress and temperature.
Table 5.
Heat deflection temperature of neat polymers and blends.
Adding PCL, a highly flexible polymer, to the mixture reduced the HDT, leading to a loss in resistance to deformation. A more pronounced HDT reduction was observed for the compatibilized blends, especially for the PS/PCL/E-GMA blend. The elastomeric characteristics of the compatibilizers (low modulus and high elongation) contributed to the lower HDT compared with the PS/PCL blends. However, despite the lower HDT values of the blends, these results are still commercially interesting. The HDT values of these blends (PS/PCL/compatibilizer) are comparable to that of engineering thermoplastics. For example, PA6 presents an HDT of around 51 °C [48]. Furthermore, the HDT values of the blends are superior to that of neat PCL, which favors its applicability.
Figure 8 shows the TG curves of the neat polymers, binary PS/PCL blends, and the PS/PCL/compatibilizer blends.
Figure 8.
TG curves of the neat polymers, binary, and compatibilized blends.
PS and PCL presented a single stage of thermal degradation associated with the decomposition of polymer chains. Neat PCL only started its decomposition at temperatures above approximately 350 °C, ensuring the high thermal stability of this material at the processing temperatures applied in this work. The PS/PCL blends presented a single decomposition step starting at approximately 310 °C, maintaining high thermal stability. The ternary PS/PCL/E-GMA blends showed a single thermal decomposition step starting at around 255 °C. On the other hand, the PS/PCL/EMA-GMA blend exhibited two decomposition stages: the first around 270 °C, possibly due to the decomposition of methyl acrylate chains present in this copolymer, and the second, at approximately 340 °C, referring to the decomposition of the remaining polymer blend chains. The PS/PCL/SEBS-g-MA blend showed the best thermal stability performance among the blends.
To evaluate the thermal stability of the blends, the temperatures for 10% weight loss (T10%) and the maximum degradation temperature (Tdmax) of these systems were calculated (see Table 6).
Table 6.
Thermal stability of neat polymers and blends as a function of compatibilizers.
Blends compatibilized with glycidyl methacrylate presented lower T10% values (Table 6) than the binary PS/PCL blend. These values are probably related to the weak interactions between the copolymers and the PS/PCL phase in the blend, as shown in the mechanical results (previously presented) and the morphological analyses of these blends (presented below). The maximum degradation temperatures presented an increasing trend, promoted by either the presence of the ethylene group in the copolymer or the interactions of these copolymers with the PCL phase. The PS/PCL/SEBS-g-MA blends showed a higher T10% temperature than the binary blends and a maximum degradation temperature among the samples. This indicates good interaction between the components of this mixture and suggests that, within the compatibilizers, SEBS-g-MA was the most effective.
Figure 9 shows the tan (δ) curves as a function of temperature for PS, PCL, PS/PCL blend, and the compatibilized systems. The glass transition temperature (Tg) peak was observed around 107 °C for neat PS, while neat PCL showed Tg near −52 °C. The tan (δ) behavior for the blends with and without compatibilizer was quite similar to the neat polymers. It was found that the blends presented practically overlapping Tg around −52 °C, a value close to neat PCL. Concerning the glass phase transition of PS, the blends exhibited a slight displacement to 111 °C. This fact shows the occurrence of interactions at the molecular level in the blends, producing a modification in the mobility of PS chains, which changed the Tg of the matrix to higher values. When evaluating the interaction behavior, the tan (δ) results of the blends confirm the immiscibility of the components since they presented the Tg of PCL and PS independently.
Figure 9.
Tan δ vs. temperature for the neat materials and the blends.
As shown in Figure 10, the PS/PCL blend presented a biphasic structure with close spherical PCL particles of varied sizes dispersed in the PS matrix. In addition, voids were found between phases, indicating the pulling out of PCL particles during the impact test. The interface between PS and PCL had no interaction, indicating poor adhesion between the dispersed and the continuous phase, characterizing an immiscible system. The morphology with poor adhesion can be attributed to the high interfacial tension between the components, yielding low strength to the interface.
Figure 10.
SEM images showing PS/PCL blend morphology at: (a) 1000×, and (b) 5000× magnification, respectively.
Figure 11 and Figure 12 illustrate the SEM micrographs of the fracture surface of PS/PCL/E-GMA and PS/PCL/EMA-GMA blends, respectively. The PS/PCL/E-GMA and PS/PCL/EMA-GMA blends showed similar behavior. There was segregation and poor distribution of E-GMA and EMA-GMA in specific regions of the blend’s surface, wherein the reactive groups of the compatibilizers would probably react with the PCL phase. For the PS/PCL/E-GMA blends, the PCL phase tended to migrate to the center surface of the specimen. Conversely, in the blends with EMA-GMA, PCL possibly migrated to the periphery of the fracture surface (Figure 11a and Figure 12a). This possible migration to specific regions of the specimen would probably justify the low values of mechanical properties obtained for these blends. Apparently, the glycidyl methacrylate groups reacted only with the PCL phase in the mixture, which may have caused this migration to specific regions of the sample and consequently directly influenced the mechanical performance of these blends.

Figure 11.
SEM images showing PS/PCL/E-GMA blend morphology at: (a) 50×, (b) 100×, (c) 1000×, and (d) 5000× magnification, respectively.
Figure 12.
SEM images showing the PS/PCL/EMA-GMA blend morphology at: (a) 50×, (b) 100×, (c) 1000×, and (d) 5000× magnification, respectively.
The PS/PCL/SEBS-g-MA blends showed a distinctive fracture morphology, with a rough surface, which characterizes a ductile fracture. Furthermore, Figure 13a,b shows no clear phase distinction in the blend, probably due to the high interaction between phases. This morphological change, especially when compared with the PS/PCL binary blend, might be due to the dispersion stability of the PCL phase in the mixture because of SEBS-g-MA incorporation. Such behavior could be due to reactions between maleic anhydride and PCL and, at the same time, the miscibility of styrene with the polystyrene matrix. These interactions, in turn, may have caused the compatibilizer to be located at the mixture interfaces. The increased phase interplay and the refined morphology of the PS/PCL/SEBS-g-MA system corroborate the good mechanical results obtained for this blend.
Figure 13.
SEM images showing the PS/PCL/SEBS-g-MA blend morphology at: (a) 50×, (b) 100×, (c) 1000×, and (d) 5000× magnification, respectively.
6. Conclusions
Herein, we studied the compatibilizing effect of E-GMA, EMA-GMA, and SEBS-g-MA on the mechanical, thermomechanical, and morphological properties of PS/PCL blends. The PS/PCL blend without compatibilizers was found to be brittle and incompatible due to the low molecular interaction between components. The rheometry results showed that the addition of copolymers increased the torque of neat PCL in the systems with glycidyl methacrylate, possibly due to reactions between the epoxy ring and the terminal hydroxyl and carboxyl groups of PCL. In the PCL/SEBS-g-MA system, the maleic anhydride group possibly promoted esterification reactions between anhydride and the terminal hydroxyl groups of the PCL chains. The elongation at break and impact strength for the ternary PS/PCL/SEBS-g-MA blends were superior to blends with glycidyl methacrylate. The morphology of PS/PCL/E-GMA and PS/PCL/EMA-GMA blends showed a phase segregation behavior, while PS/PCL/SEBS-g-MA blend showed a surface with ductile fracture characteristics. The thermal stability of PCL was maintained, and the PS/PCL/SEBS-g-MA blend showed decomposition temperatures higher than the other blends. Overall, the SEBS-g-MA compatibilizer was the most effective at compatibilizing the PS/PCL blend, improving stress transfer between phases.
Author Contributions
Conceptualization, D.D.d.S.M. and C.B.B.L.; methodology, D.D.d.S.M., C.B.B.L., E.B.B., D.C.d.F. and A.D.d.O.; validation, D.D.d.S.M., C.B.B.L., E.M.A. and T.J.A.d.M.; formal analysis, C.B.B.L. and D.D.d.S.M.; investigation, D.D.d.S.M., C.B.B.L., E.B.B., and D.C.d.F.; resources, E.M.A. and T.J.A.d.M.; data curation, C.B.B.L. and D.D.d.S.M.; writing—original draft preparation, D.D.d.S.M., C.B.B.L. and E.P.d.N.; writing—review and editing, C.B.B.L. and E.P.d.N.; visualization, C.B.B.L., D.D.d.S.M., E.M.A. and T.J.A.d.M.; supervision, E.M.A. and T.J.A.d.M.; project administration, E.M.A.; funding acquisition, E.M.A. All authors have read and agreed to the published version of the manuscript.
Funding
This study was financed by the Coordenação de Aperfeiçoamento de Pessoal de Nível Superior—Brasil (CAPES)—Finance Code 001.
Institutional Review Board Statement
Not applicable.
Informed Consent Statement
Not applicable.
Data Availability Statement
Not applicable.
Acknowledgments
The authors thank MCTI/CNPq and Capes (Brasília/DF, Brazil) for financial support. At the same time, the authors would like to thank the DEMa/UFSCar (São Carlos, SP, Brazil) for the HDT, and DMTA experiments.
Conflicts of Interest
The authors declare no potential conflict of interest with respect to the research, authorship, and/or publication of this article.
References
- Coutinho, F.M.B.; Costa, M.P.M.; Guimarães, M.J.O.C.; Soares, B.G. Preparation and characterization of high-impact polystyrene using different types of polybutadiene. J. Appl. Polym. Sci. 2007, 108, 406–413. [Google Scholar] [CrossRef]
- Luna, C.; Siqueira, D.; Ferreira, E.; Silva, W.; Nogueira, J.; Araújo, E. From Disposal to Technological Potential: Reuse of Polypropylene Waste from Industrial Containers as A Polystyrene Impact Modifier. Sustainability 2020, 12, 5272. [Google Scholar] [CrossRef]
- Grassi, V.G.; Forte, M.M.C.; Pizzol, M.F.D. Morphologic Aspects and Structure-Properties Relations of High Impact Polystyrene. Polímeros 2001, 11, 158–168. [Google Scholar] [CrossRef]
- Rovere, J.; Correa, C.A.; Grassi, V.G.; Pizzol, M.F.D. Morphological Characterization of High Impact Polystyrene (HIPS). Polímeros 2008, 18, 12–19. [Google Scholar] [CrossRef]
- Libio, I.C.; Grassi, V.G.; Pizzol, M.F.D.; Nachtigall, S.M.B. Toughened polystyrene with improved photoresistance: Effects of the compatibilizers. J. Appl. Polym. Sci. 2012, 126, 179–185. [Google Scholar] [CrossRef]
- Zhang, S.; Zhu, S.; Feng, X.; Han, K.; Huan, Q.; Song, J.; Ma, Y.; Yu, M. Deformation and toughening mechanism for high impact polystyrene (HIPS) by pressure-induced-flow processing. RSC Adv. 2013, 3, 6879–6887. [Google Scholar] [CrossRef]
- Fowler, M.W.; Padeiro, N. Rubber toughening of polystyrene through reactive blending. Polym. Eng. Sci. 1988, 28, 1427–1433. [Google Scholar] [CrossRef]
- Gao, G.; Zhang, J.; Yang, H.; Zhou, C.; Zhang, H. Deformation mechanism of polystyrene toughened with sub-micrometer monodisperse rubber particles. Polym. Int. 2006, 55, 1215–1221. [Google Scholar] [CrossRef]
- Fang, Z.; Guo, Z.; Zha, L. Toughening of Polystyrene with Ethylene-Propylene-Diene Terpolymer(EPDM) Compatibilized by Styrene-Butadiene-Styrene Block Copolymer(SBS). Macromol. Mater. Eng. 2004, 289, 743–748. [Google Scholar] [CrossRef]
- Coutinho, F.M.B.; Costa, M.P.M.; Guimarães, M.J.O.C.; Soares, B.G. Comparative Study of Different Types of Polybutadiene on the Toughening of Polystyrene. Polímeros 2007, 17, 318–324. [Google Scholar] [CrossRef]
- Luna, C.B.B.; Da Silva, D.F.; Araújo, E.M.; De Mélo, T.J.A.; Bezerra, E.D.O.T.; Siqueira, D.D.; Oliveira, A. Blends of Polystyrene/Shoes Waste (SBRr): Influence of Mixture Sequence and Compatibilizer. Macromol. Symp. 2019, 383, 1800046. [Google Scholar] [CrossRef]
- Tack, H.; Kim, H.R.; Kim, J.K.; Park, J.Y. The morphology and mechanical properties of the blends of syndiotactic polystyrene and polystyrene-block-poly(ethylene-co-butylene)-block-polystyrene copolymers. Korea-Aust. Rheol. J. 2001, 13, 83–87. [Google Scholar]
- Wenguang, C.; Yanlei, G.; Fen, G. Toughening study of fire-retardant high-impact polystyrene. Fire Mater. 2009, 33, 99–108. [Google Scholar] [CrossRef]
- Barrera, G.M.; Menchaca, C.; Pietkiewicz, D.; Brostow, W. Polystyrene + Styrene-Butadiene Blends: Mechanical and Morphological Properties. Mater. Sci. 2004, 10, 166–172. [Google Scholar]
- Espinosa, E.A.; Escobar-Barrios, V.; Escobedo, G.P.; Mendoza, M.A.W. Thermal and mechanical properties of UHMWPE/HDPE/PCL and bioglass filler: Effect of polycaprolactone. J. Appl. Polym. Sci. 2020, 138, 50374. [Google Scholar] [CrossRef]
- Mandal, D.K.; Bhunia, H.; Bajpai, P.K.; Chaudhari, C.V.; Dubey, K.A.; Varshney, L.; Kumar, A. Preparation and characterization of polypropylene/polylactide blends and nanocomposites and their biodegradation study. J. Thermoplast. Compos. Mater. 2019, 34, 725–744. [Google Scholar] [CrossRef]
- Lekube, B.M.; Burgstaller, C. Study of mechanical and rheological properties, morphology, and miscibility in polylactid acid blends with thermoplastic polymers. J. Appl. Polym. Sci. 2021, 139, 51662. [Google Scholar] [CrossRef]
- Aziz, T.; Fan, H.; Khan, F.U.; Ullah, R.; Haq, F.; Iqbal, M.; Ullah, A. Synthesis of Carboxymethyl Starch-Bio-Based Epoxy Resin and their Impact on Mechanical Properties. Z. Für Phys. Chem. 2019, 234, 1759–1769. [Google Scholar] [CrossRef]
- Kumar, D.; Babu, G.; Krishnan, S. Study on mechanical & thermal properties of PCL blended graphene biocomposites. Polímeros 2019, 29, e2019024. [Google Scholar] [CrossRef]
- Siqueira, D.D.; Luna, C.B.B.; Morais, D.D.S.; Araújo, E.M.; França, D.C.; Wellen, R.M.R. Efeito das variáveis reacionais na síntese de um polímero biodegradável funcionalizado: PCL-g-MA. Matéria 2018, 23, e12252. [Google Scholar] [CrossRef]
- Filho, E.A.S.; Luna, C.B.B.; Silva, A.L.; Ferreira, E.S.B.; Araújo, E.M.; Costa, A.C.F.M. Effect of kaolin waste annealing on the structural and thermal behavior of poly(ε−caprolactone). Momento 2022, 64, 66–84. [Google Scholar] [CrossRef]
- Roa, J.P.B.; Mano, V.; Faustino, P.B.; Felix, E.B.; Silva, M.E.S.R.; Filho, J.D.S. Síntese e Caracterização do Copolímero Poli(3-Hidroxibutirato-co-ε-Caprolactona) a Partir de Poli(3-Hidroxibutirato) e Poli(ε-Caprolactona). Polímeros 2010, 20, 221–226. [Google Scholar] [CrossRef]
- Reul, L.T.A.; Pereira, C.A.B.; Sousa, F.M.; Santos, R.M.; Carvalho, L.H.; Canedo, E.L. Polycaprolactone/babassu compounds: Rheological, thermal, and morphological characteristics. Polym. Compos. 2018, 40, E540–E549. [Google Scholar] [CrossRef]
- Mohamed, A.; Gordon, S.H.; Biresaw, G. Polycaprolactone/polystyrene bioblends characterized by thermogravimetry, modulated differential scanning calorimetry and infrared photoacoustic spectroscopy. Polym. Degrad. Stab. 2007, 92, 1177–1185. [Google Scholar] [CrossRef]
- Biresaw, G.; Carriere, C. Compatibility and mechanical properties of blends of polystyrene with biodegradable polyesters. Compos. Part A Appl. Sci. Manuf. 2004, 35, 313–320. [Google Scholar] [CrossRef]
- Ferreira, E.S.B.; Luna, C.B.B.; Siqueira, D.D.; Filho, E.A.S.; Araújo, E.M.; Wellen, R.M.R. Production of Eco-Sustainable Materials: Compatibilizing Action in Poly (Lactic Acid)/High-Density Biopolyethylene Bioblends. Sustainability 2021, 13, 12157. [Google Scholar] [CrossRef]
- Graziano, A.; Jaffer, S.; Sain, M. Review on modification strategies of polyethylene/polypropylene immiscible thermoplastic polymer blends for enhancing their mechanical behavior. J. Elastomers Plast. 2018, 51, 291–336. [Google Scholar] [CrossRef]
- Shamsuri, A.; Jamil, S. Application of Quaternary Ammonium Compounds as Compatibilizers for Polymer Blends and Polymer Composites—A Concise Review. Appl. Sci. 2021, 11, 3167. [Google Scholar] [CrossRef]
- Lima, J.C.C.; Araújo, J.P.; Agrawal, P.; Mélo, T.J.A. Efeito do teor do copolímero SEBS no comportamento reológico da blenda PLA/SEBS. Remap 2016, 11, 10–17. [Google Scholar]
- Bezerra, E.B.; De França, D.C.; Morais, D.D.D.S.; Silva, I.D.D.S.; Siqueira, D.D.; Araújo, E.M.; Wellen, R.M.R. Compatibility and characterization of Bio-PE/PCL blends. Polímeros 2019, 29, e2019022. [Google Scholar] [CrossRef]
- Brito, G.F.; Agrawal, P.; Mélo, T.J.A.; Pinto, J.C.; Balaban, R. Mechanical and Morphological Properties of PLA/BioPE Blend Compatibilized with E-GMA and EMA-GMA Copolymers. Macromol. Symp. 2016, 367, 176–182. [Google Scholar] [CrossRef]
- Filho, E.A.D.S.; Luna, C.B.B.; Siqueira, D.D.; Ferreira, E.D.S.B.; Araújo, E.M. Tailoring Poly(lactic acid) (PLA) Properties: Effect of the Impact Modifiers EE-g-GMA and POE-g-GMA. Polymers 2021, 14, 136. [Google Scholar] [CrossRef]
- Yoo, T.W.; Yoon, H.G.; Choi, S.J.; Kim, M.S.; Kim, Y.H.; Kim, W.N. Effects of compatibilizers on the mechanical properties and interfacial tension of polypropylene and poly(lactic acid) blends. Macromol. Res. 2010, 18, 583–588. [Google Scholar] [CrossRef]
- Chevallier, C.; Becquart, F.; Taha, M. Polystyrene/polycarbonate blends compatibilization: Morphology, rheological and mechanical properties. Mater. Chem. Phys. 2013, 139, 616–622. [Google Scholar] [CrossRef]
- Brito, G.F.; Agrawal, P.; Araújo, E.M.; De Melo, T.J.A. Polylactide/Biopolyethylene bioblends. Polímeros 2012, 22, 427–429. [Google Scholar] [CrossRef]
- Reis, M.M.S.; Santos, Z.I.G.; Ueki, M.M.; Brito, G.F. Avaliação do Tipo de Plastificante nas Propriedades de Blendas de Polietileno/Amido Termoplástico. Remap 2016, 11, 130–135. [Google Scholar]
- Reul, L.T.; Carvalho, L.H.; Canedo, E.L. Características Reológicas e Térmicas de Compósitos Policaprolactona/Babaçu. Remap 2018, 12, 174–182. [Google Scholar]
- Ali, A.; Muhammad, N.; Hussain, S.; Jamil, M.; Uddin, A.; Aziz, T.; Tufail, M.; Guo, Y.; Wei, T.; Rasool, G.; et al. Kinetic and Thermal Study of Ethylene and Propylene Homo Polymerization Catalyzed by ansa-Zirconocene Activated with Alkylaluminum/Borate: Effects of Alkylaluminum on Polymerization Kinetics and Polymer Structure. Polymers 2021, 13, 268. [Google Scholar] [CrossRef]
- Alves, T.S.; Neto, J.E.S.; Silva, S.M.; Carvalho, L.H.; Canedo, E.L. Process simulation of laboratory internal mixers. Polym. Test. 2016, 50, 94–100. [Google Scholar] [CrossRef]
- Luna, C.B.B.; Filho, E.A.D.S.; Siqueira, D.D.; Araújo, E.M.; Nascimento, E.P.D.; de Mélo, T.J.A. Influence of Small Amounts of ABS and ABS-MA on PA6 Properties: Evaluation of Torque Rheometry, Mechanical, Thermomechanical, Thermal, Morphological, and Water Absorption Kinetics Characteristics. Materials 2022, 15, 2502. [Google Scholar] [CrossRef]
- Liu, H.; Chen, F.; Liu, B.; Estep, G.; Zhang, J. Super Toughened Poly(lactic acid) Ternary Blends by Simultaneous Dynamic Vulcanization and Interfacial Compatibilization. Macromolecules 2010, 43, 6058–6066. [Google Scholar] [CrossRef]
- Brito, G.F.; Agrawal, P.; Araújo, E.M.; Mélo, T.J. Effect of combining ethylene/methyl acrylate/glycidyl methacrylate terpolymer and an organoclay on the toughening of poly(lactic acid). Polym. Eng. Sci. 2013, 54, 1922–1930. [Google Scholar] [CrossRef]
- Brito, G.F.; Agrawal, P.; Araújo, E.M.; de Melo, T.J. Toughening of Polylactide by Melt Blending with an (Ethylene/Methyl Acrylate/Glycidyl Methacrylate) Terpolymer. Polímeros 2012, 22, 164–169. [Google Scholar] [CrossRef]
- Chevallier, C.; Becquart, F.; Majeste, J.C.; Taha, M. Solvent-free preparation, characterization, and properties of SEBS–g–polycarbonate copolymers. Des. Monomers Polym. 2013, 16, 564–577. [Google Scholar] [CrossRef]
- Hamad, K.; Mosab, K.; Fawaz, D. Preparation and characterization of binary and ternary blends with poly(lactic acid), polystyrene, and acrylonitrile-butadiene-styrene. J. Biomater. Nanobiotechnol. 2012, 3, 405–412. [Google Scholar] [CrossRef]
- Silva, D.F.; Luna, C.B.B.; Silva, G.; Araújo, E.M.; Melo, T.J.A. Avaliação das propriedades mecânicas de blendas de poliestireno/composto de borracha reciclada (SBRr). Remap 2014, 9, 92–97. [Google Scholar]
- Coutinho, F.M.B.; Costa, M.P.M.; Guimarães, M.J.O.C.; Soares, B.G. Estudo comparativo de diferentes tipos de polibutadieno na tenacificação de poliestireno. Polímeros 2007, 17, 318–324. [Google Scholar] [CrossRef][Green Version]
- Paz, R.A.; Leite, A.M.D.; Araújo, E.M.; Melo, T.J.A.; Barbosa, R.; Ito, E.N. Nanocompósitos de poliamida 6/Argila organofílica: Efeito do peso molecular da matriz na estrutura e propriedades mecânicas e termomecânicas. Polímeros 2008, 18, 341–347. [Google Scholar] [CrossRef]
Publisher’s Note: MDPI stays neutral with regard to jurisdictional claims in published maps and institutional affiliations. |
© 2022 by the authors. Licensee MDPI, Basel, Switzerland. This article is an open access article distributed under the terms and conditions of the Creative Commons Attribution (CC BY) license (https://creativecommons.org/licenses/by/4.0/).














