Phosphorus Sorption in Soils and Clay Fractions Developed from Different Parent Rocks in Limpopo Province, South Africa
Abstract
1. Introduction
2. Materials and Methods
2.1. Description of the Study Areas
2.2. Soil Sampling and Preparation

| S/N | Parent Rock | Municipality/Location | Coordinates | Climate 1 |
|---|---|---|---|---|
| 1. | Basalt | Thulamela/Sibasa | S1—22°57′09″ S 30°27′10″ E S2—22°57′27″ S 30°27′51″ E S3—22°56′17″ S 30°28′13″ E | Semi-arid, dry hot (BSh) |
| 2. | Gneiss | Thulamela/Muledane | MU1—23°01′06″ S 30°27′08″ E MU2—23°01′36″ S 30°27′41″ E MU3—23°02′16″ S 30°27′28″ E | Semi-arid, dry hot (BSh) |
| 3. | Granite | Molemole/Matoks | MAT1—23° 27′ 46″ S 29°44′03″ E MAT2—23°27′16″ S 29°44′48″ E MAT3—23°26′03″ S 29°44′49″ E | Warm temperate, winter dry, hot summer (CWa) |
| 4. | Arkosic Sandstone | Musina/Sagole | SA1—22°31′39″ S 30°36′16″ E SA2—22°31′01″ S 30°36′54″ E SA3—22°30′20″ S 30°36′44″ E | Semi-arid, dry hot (BSh) |
2.3. P Sorption Measurements
3. Results
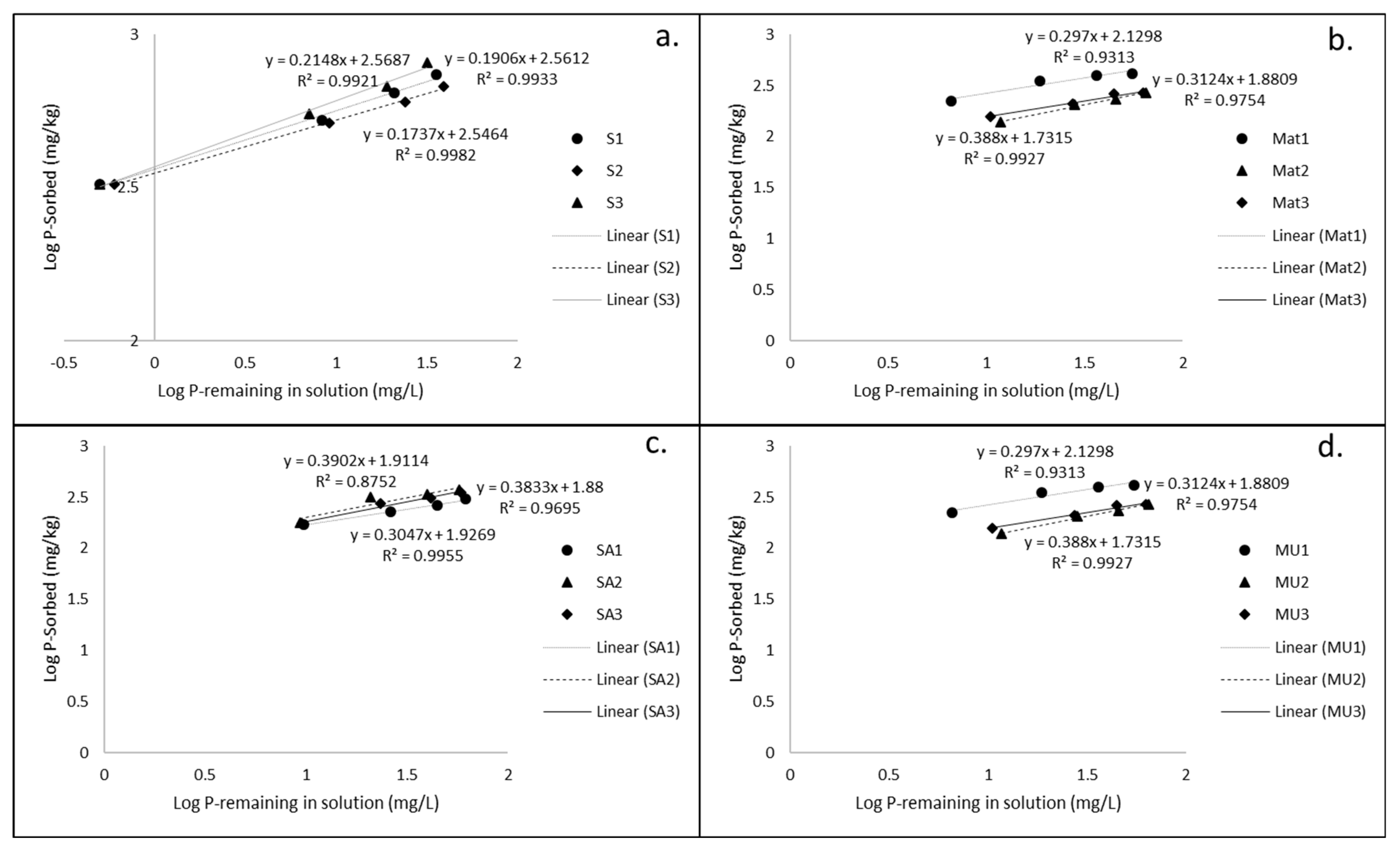
3.1. P Sorption Parameters in Soils
3.2. P Sorption Parameters for Clay Fractions
4. Discussion
4.1. External Phosphorus Requirements (EPR)
4.2. Variability of Adsorption Parameters
5. Conclusions
Author Contributions
Funding
Institutional Review Board Statement
Informed Consent Statement
Data Availability Statement
Acknowledgments
Conflicts of Interest
References
- Gregory, D.I.; Bumb, B.L. Factors Affecting Supply of Fertilizer in Sub-Saharan Africa; Agriculture and Rural Development; World Bank: Washington, DC, USA, 2006; Volume 24. [Google Scholar]
- Statistics South Africa. Mid-Year Population Estimates 2014; Statistics South Africa: Pretoria, South Africa, 2014; p. 19. [Google Scholar]
- FAO; ITPS. Status of the World’s Soil Resources (SWSR); Food and Agriculture Organization of the United Nations and Intergovernmental Technical Panel on Soils: Rome, Italy, 2015. [Google Scholar]
- International Atomic Energy Agency. Assessment of Soil Phosphorus Status and Management of Phosphatic Fertilisers to Optimise Crop Production; International Atomic Energy Agency: Vienna, Austria, 2002; p. 482. [Google Scholar]
- Siradz, S.A. Mineralogy and Chemistry of Red Soils of Indonesia: I. General Soil Properties. J. Ilmu Tanah Lingk. 2008, 8, 16–32. [Google Scholar]
- Havlin, J.; Beaton, J.D.; Tisdale, S.L.; Nelson, W.L. Soil Fertility and Fertilizers: An Introduction to Nutrient Management, 8th ed.; Pearson Prentice Hall: Hoboken, NJ, USA, 2014. [Google Scholar]
- Behl, T.; Kaur, I.; Sehgal, A.; Singh, S.; Sharma, N.; Bhatia, S.; Al-Harrasi, A.; Bungau, S. The dichotomy of nanotechnology as the cutting edge of agriculture: Nano-farming as an asset versus nanotoxicity. Chemosphere 2022, 288, 132533. [Google Scholar] [CrossRef] [PubMed]
- Schoumans, O.F.; Chardon, W.J.; Bechmann, M.E.; Gascuel-Odoux, C.; Hofman, G.; Kronvang, B.; Rubæk, G.H.; Ulén, B.; Dorioz, J.-M. Mitigation Options to Reduce Phosphorus Losses from the Agricultural Sector and Improve Surface Water Quality: A Review. Sci. Total Environ. 2014, 468–469, 1255–1266. [Google Scholar] [CrossRef] [PubMed]
- Bortoluzzi, E.C.; Pérez, C.A.S.; Ardisson, J.D.; Tiecher, T.; Caner, L. Occurrence of iron and aluminum sesquioxides and their implications for the P sorption in subtropical soils. Appl. Clay Sci. 2015, 104, 196–204. [Google Scholar] [CrossRef]
- Gilkes, R.J.; Prakongkep, N. How the Unique Properties of Soil Kaolin Affect the Fertility of Tropical Soils. Appl. Clay Sci. 2016, 131, 100–106. [Google Scholar] [CrossRef]
- Rogeri, D.A.; Gianello, C.; Bortolon, L.; Amorim, M.B. Substitution of Clay Content for P-Remaining as an Index of the Phosphorus Buffering Capacity for Soils of Rio Grande Do Sul. Rev. Bras. Ciênc. Solo 2016, 40, e0140535. [Google Scholar] [CrossRef]
- Fey, M.V. A Short Guide to the Soils of South Africa, Their Distribution and Correlation with World Reference Base Soil Groups. In Proceedings of the 19th World Congress of Soil Science, Soil Solutions for a Changing World, Brisbane, Australia, 1 August 2010; pp. 32–35. [Google Scholar]
- Hall, R.; Wisborg, P.; Shirinda, S.; Zamchiya, P. Farm Workers and Farm Dwellers in Limpopo Province, South Africa. J. Agrar. Chang. 2013, 13, 47–70. [Google Scholar] [CrossRef]
- Oyebanjo, O.O.; Ekosse, G.E.; Odiyo, J.O. Geochemistry of Oxidic Soils Developed from Different Parent Rocks in the Limpopo Province, South Africa. Trans. R. Soc. S. Afr. 2020, 75, 165–180. [Google Scholar] [CrossRef]
- Conradie, D.C.U. South Africa’s Climatic Zones: Today, Tomorrow. In Proceedings of the Future Trends and Issues Impacting on the Built Environment, Sandton, South Africa, 25 July 2012; p. 9. [Google Scholar]
- Van Reeuwijk, L.P. Procedures for Soil Analysis, 6th ed.; Technical Paper; International Soil Reference and Information Centre: Wageningen, The Netherlands, 2002; ISBN 90-6672-052-2. [Google Scholar]
- Suslick, K.S.; Price, G.J. Applications of Ultrasound to Materials Chemistry. Annu. Rev. Mater. Sci. 1999, 29, 295–326. [Google Scholar] [CrossRef]
- Jakubowska, J. Effect of Irrigation Water Type on Soil Organic Matter (SOM) Fractions and Their Interactions with Hydrophobic Compounds. Ph.D. Thesis, Martin-Luther-Universität Halle-Wittenberg, Halle, Germany, 2007. [Google Scholar]
- Fox, R.L.; Kamprath, E.J. Phosphate Sorption Isotherms for Evaluating the Phosphate Requirements of Soils. Soil Sci. Soc. Am. J. 1970, 34, 902–907. [Google Scholar] [CrossRef]
- Olsen, S.R.; Watanabe, F.S. A Method to Determine a Phosphorus Adsorption Maximum of Soils as Measured by the Langmuir Isotherm. Soil Sci. Soc. Am. J. 1957, 21, 144–149. [Google Scholar] [CrossRef]
- Holford, I.C.R.; Mattingly, G.E.G. Phosphate Adsorption and Availability Plant of Phosphate. Plant Soil 1976, 44, 377–389. [Google Scholar] [CrossRef]
- Singh, B.; Gilkes, R.J. Properties of Soil Kaolinites from South-Western Australia. J. Soil Sci. 1992, 43, 645–667. [Google Scholar] [CrossRef]
- Amrani, M.; Westfall, D.G.; Moughli, L. Improving the Soil Test Phosphorus Calibration for Calcareous Soils. Commun. Soil Sci. Plant Anal. 1999, 30, 129–144. [Google Scholar] [CrossRef]
- Hamdi, W.; Pelster, D.; Seffen, M. Phosphorus Sorption Kinetics in Different Types of Alkaline Soils. Arch. Agron. Soil Sci. 2014, 60, 577–586. [Google Scholar] [CrossRef]
- Bolland, M.D.A.; Allen, D.G.; Barrow, N.J. Sorption of Phosphorus by Soils: How It Is Measured in Western Australia. Dep. Agric. Food West. Aust. Perth 2003, 4591, 1–33. [Google Scholar]
- Mnthambala, F.; Maida, J.H.; Lowole, M.W.; Kabambe, V.H. Phosphorus Sorption and External Phosphorus Requirements of Ultisols and Oxisols in Malawi. J. Soil Sci. Environ. Manag. 2015, 6, 35–41. [Google Scholar]
- Giles, C.H.; McEwan, T.; Nakhwa, S.; Smith, D. Studies in Adsorption. Part XI. A System of Classification of Solution Adsorption Isotherms, and Its Use in Diagnosis of Adsorption Mechanisms and in Measurement of Specific Surface Areas of Solids. J. Chern. Soc. 1960, 111, 3973–3993. [Google Scholar] [CrossRef]
- Njoyim, E.; Mvondo-Zé, A.; Mofor, N.; Onana, A. Phosphorus Adsorption Isotherms in Relation to Soil Characteristics of Some Selected Volcanic Affected Soils of Foumbot in the West Region of Cameroon. Int. J. Soil Sci. 2016, 11, 19–28. [Google Scholar]
- Poswa, L.Z. Factors Affecting Phosphorus Requirements for the Soils of South African Sugar Industry. Master’s Thesis, University of KwaZulu-Natal, Durban, South Africa, 2016. [Google Scholar]
- Hartono, A.; Funakawa, S.; Kosaki, T. Phosphorus Sorption-Desorption Characteristics of Selected Acid Upland Soils in Indonesia. Soil Sci. Plant Nutr. 2005, 51, 787–799. [Google Scholar] [CrossRef]
- Wolde, Z.; Haile, W. Phosphorus Sorption Isotherms and External Phosphorus Requirements of some Soils of Southern Ethiopia. Afr. Crop Sci. J. 2015, 23, 89–99. [Google Scholar]
- Fontes, M.P.F. Iron Oxide Mineralogy on Some Brazilian Oxisols; North Carolina State University: Raleigh, NC, USA, 1988. [Google Scholar]
- Wiriyakitnateekul, W.; Suddhiprakarn, A.; Kheuruenromne, I.; Gilkes, R.J. Extractable Iron and Aluminium Predict the P Sorption Capacity of Thai Soils. Aust. J. Soil Res. 2005, 43, 757–766. [Google Scholar] [CrossRef]
- Umoh, F.O.; Osodeke, V.E.; Edem, I.D.; Effiong, G.S. Application of Langmuir and Freundlich Models in Phosphate Sorption Studies in Soil of Contrasting Parent Materials in South-Eastern Nigeria. Open Access Libr. 2014, 1, e989. [Google Scholar] [CrossRef]
- Mcdowell, R.; Sharpley, A.; Withers, P. Indicator to Predict the Movement of Phosphorus from Soil to Subsurface Flow. Environ. Sci. Technol. 2002, 36, 1505–1509. [Google Scholar] [CrossRef]
- Munhoz, R.D.O.; Berton, R.S.; Camargo, O.A.D. Phosphorus Sorption and Redistribution on Soil Solid Phase in a Brazilian Haplorthox Amended with Biosolids. Appl. Environ. Soil Sci. 2011, 10, 283061. [Google Scholar] [CrossRef][Green Version]
- Bajwa, M.I. Soil Clay Mineralogies in Relation to Fertility Management: Effect of Soil Clay Mineral Compositions on Phosphorus Fixation under Conditions of Wetland Rice Culture. Commun. Soil Sci. Plant Anal. 1981, 12, 475–482. [Google Scholar] [CrossRef]
- Kovács, J.; Farics, É.; Szabó, P.; Sajó, I. Fe-Al Phosphate Microcrystals in Pedogenic Goethite Pisoliths. Minerals 2020, 10, 357. [Google Scholar] [CrossRef]
- Oyebanjo, O.O.; Ekosse, G.E.; Odiyo, J.O. Mineralogy and geochemistry of clay fractions in soils developed from different parent rocks in Limpopo Province, South Africa. Heliyon 2021, 7, e07664. [Google Scholar] [CrossRef]
- Oyebanjo, O.O. Mineralogy and Geochemistry of Kaolins in Oxidic Soils Developed from Different Parent Rocks in Limpopo Province, South Africa. Ph.D. Thesis, University of Venda, Thohoyandou, South Africa, 2020. [Google Scholar]
- Gichangi, E.M.; Mnkeni, P.N.S.; Muchaonyerwa, P. Phosphate Sorption Characteristics and External P Requirements of Selected South African Soils. J. Agric. Rural Dev. Trop. Subtrop. 2008, 109, 139–149. [Google Scholar]
- Juo, A.S.R.; Fox, R.L. Phosphate Sorption Characteristics of Some Bench-Mark Soils of West Africa. Soil Sci. 1977, 124, 370–376. [Google Scholar] [CrossRef]
- Muindi, E.M.; Mrema, J.P.; Semu, E.; Mtakwa, P.W.; Gachene, C.K.; Njogu, M.K. Phosphorus Adsorption and Its Relation with Soil Properties in Acid Soils of Western Kenya. Int. J. Plant Soil Sci. 2014, 4, 203–211. [Google Scholar] [CrossRef]
- Zhang, H.; Schroder, J.L.; Fuhrman, J.K.; Basta, N.T.; Storm, D.E.; Payton, M.E. Path and multiple regression analyses of phosphorus sorption capacity. Soil Sci. Soc. Am. J. 2005, 69, 96–106. [Google Scholar] [CrossRef]
- United States Environmental Protection Agency. Environmental Indicators of Water Quality in the United States; USEPA, Office of Water (4503F): Washington, DC, USA, 1986. [Google Scholar]
- Food and Agricultural Organization. Fertilizer Use by Crop in South Africa; FAO: Rome, Italy, 2005. [Google Scholar]
- Sieczka, A.; Koda, E. Kinetic and Equilibrium Studies of Sorption of Ammonium in the Soil-Water Environment in Agricultural Areas of Central Poland. Appl. Sci. 2016, 6, 269. [Google Scholar] [CrossRef]
- Yousuf, T.S.; Hossain, M.E.; Afsar, M.Z.; Osman, K.T. Phosphate sorption indices as affected by the calcareousness of soils. Dhaka Univ. J. Biol. Sci. 2019, 28, 93–110. [Google Scholar] [CrossRef]
- Sparks, D.L. Environmental Soil Chemistry, 2nd ed.; Academic Press: Amsterdam, The Netherlands, 2003. [Google Scholar]
- Henry, P.C.; Smith, M.F. Phosphorous sorption study of selected South African soils. S. Afr. J. Plant Soil 2002, 19, 61–69. [Google Scholar] [CrossRef]
- Räty, M.; Peltovuori, T. Sorption of Phosphate Phosphorus in Ultrasound-Separated Particle-Size Fractions from Arable Soils. In Proceedings of the Phosphorus Management in Nordic-Baltic Agriculture: Reconciling Productivity and Environmental Protection: NJF Seminar 401, Nordic Association of Agricultural Scientists, Uppsala, Sweden, 22 September 2008; pp. 147–151. [Google Scholar]
- Bainbridge, S.H.; Miles, N.; Praan, R.; Johnston, M.A. Phosphorus Sorption in Natal Soils. S. Afr. J. Plant Soil 1995, 12, 59–64. [Google Scholar] [CrossRef]
- Brenner, J.; Porter, W.; Phillips, J.R.; Childs, J.; Yang, X.; Mayes, M.A. Phosphorus Sorption on Tropical Soils with Relevance to Earth System Model Needs. Soil Res. 2019, 57, 17–27. [Google Scholar] [CrossRef]





| Parent Rock | Langmuir Isotherm | Freundlich Isotherm | ||||||
|---|---|---|---|---|---|---|---|---|
| a (L/mg) | Xm (mg/kg) | aXm (L/kg) | R2 | b (L/kg) | k (mg/kg) | R2 | ||
| Basalt (n = 3) | Minimum | 0.63 | 666.67 | 253.08 | 0.98 | 0.17 | 351.88 | 0.99 |
| Maximum | 0.79 | 833.33 | 526.67 | 0.99 | 0.21 | 370.42 | 1.00 | |
| Average | 0.70 | 756.41 | 524.91 | 0.99 | 0.19 | 362.13 | 0.99 | |
| Granite (n = 3) | Minimum | 0.14 | 357.14 | 67.11 | 0.94 | 0.35 | 73.19 | 0.86 |
| Maximum | 0.19 | 500.00 | 70.00 | 0.97 | 0.45 | 83.21 | 0.96 | |
| Average | 0.16 | 437.23 | 68.33 | 0.95 | 0.42 | 77.54 | 0.91 | |
| Arkosic sandstone (n = 3) | Minimum | 0.17 | 303.03 | 60.61 | 0.97 | 0.30 | 75.86 | 0.88 |
| Maximum | 0.20 | 400.00 | 72.00 | 0.97 | 0.39 | 84.51 | 1.00 | |
| Average | 0.18 | 357.80 | 65.19 | 0.97 | 0.35 | 84.51 | 0.95 | |
| Gneiss (n = 3) | Minimum | 0.14 | 285.71 | 39.99 | 0.96 | 0.29 | 58.89 | 0.93 |
| Maximum | 0.32 | 434.78 | 139.13 | 0.99 | 0.39 | 134.83 | 0.99 | |
| Average | 0.22 | 335.40 | 77.80 | 0.98 | 0.33 | 89.91 | 0.97 | |
| Parent Rock | Langmuir Isotherm | Freundlich Isotherm | ||||||
|---|---|---|---|---|---|---|---|---|
| a (L/mg) | Xm (mg/kg) | aXm (L/kg) | R2 | b (L/kg) | k (mg/kg) | R2 | ||
| Basalt (n = 3) | Minimum | 0.50 | 588.24 | 294.12 | 0.97 | 0.17 | 287.81 | 0.94 |
| Maximum | 0.59 | 625.00 | 368.75 | 0.98 | 0.18 | 303.60 | 0.97 | |
| Average | 0.55 | 612.75 | 339.71 | 0.98 | 0.18 | 299.79 | 0.96 | |
| Granite (n = 3) | Minimum | 0.48 | 344.83 | 177.78 | 0.99 | 0.08 | 222.18 | 0.78 |
| Maximum | 0.85 | 370.37 | 293.11 | 0.99 | 0.10 | 243.78 | 0.96 | |
| Average | 0.62 | 353.34 | 219.03 | 0.99 | 0.09 | 233.37 | 0.87 | |
| Arkosic sandstone (n = 3) | Minimum | 0.36 | 250.00 | 100.00 | 0.98 | 0.13 | 134.68 | 0.71 |
| Maximum | 0.40 | 277.78 | 103.09 | 0.99 | 0.17 | 147.40 | 0.97 | |
| Average | 0.38 | 263.65 | 101.03 | 0.98 | 0.15 | 139.34 | 0.83 | |
| Gneiss (n = 3) | Minimum | 0.11 | 238.09 | 26.19 | 0.92 | 0.15 | 42.55 | 0.95 |
| Maximum | 0.42 | 322.58 | 135.48 | 0.99 | 0.39 | 166.88 | 0.98 | |
| Average | 0.23 | 270.22 | 66.39 | 0.95 | 0.25 | 89.72 | 0.96 | |
| Parent Rock | Sample ID | Kao | Qtz | Ana | Goe | Hem | Plag | Mic | Mus/Ill | Gib | Chl | Act | Mont | CIA |
|---|---|---|---|---|---|---|---|---|---|---|---|---|---|---|
| Basalt | Soil | 45 | 24 | 5 | 9 | 9 | - | - | - | 8 | - | - | - | 99 |
| CF | 74 | 12 | 4 | 5 | 6 | - | - | - | - | - | - | - | ||
| Granite | Soil | 8 | 25 | - | - | - | 32 | 21 | 13 | - | - | 1 | - | 65 |
| CF | 28 | 20 | - | - | - | 24 | 10 | 14 | - | 3 | 2 | - | ||
| Ark. Sst | Soil | 3 | 79 | - | - | - | - | 9 | 9 | - | - | - | - | 63 |
| CF | 24 | 33 | - | - | - | - | 16 | 23 | - | 6 | - | |||
| Gneiss | Soil | 9 | 25 | - | - | - | 50 | 6 | - | - | 1 | - | 9 | 61 |
| CF | 36 | 8 | - | - | - | 22 | 3 | 5 | - | - | - | 26 |
| Parent Rock | EPR (mgP/kg) | ||||
|---|---|---|---|---|---|
| Langmuir Isotherm | Freundlich Isotherm | ||||
| Soil | Clay Fractions | Soil | Clay Fractions | ||
| Basalt (n = 3) | Minimum | 90.80 | 53.47 | 262.15 | 216.91 |
| Maximum | 92.91 | 65.85 | 267.90 | 232.63 | |
| Average | 91.83 | 61.17 | 256.37 | 225.25 | |
| Granite (n = 3) | Minimum | 13.05 | 32.62 | 35.51 | 188.39 |
| Maximum | 13.59 | 50.10 | 47.11 | 213.98 | |
| Average | 12.76 | 38.76 | 39.57 | 200.89 | |
| Arkosic sandstone (n = 3) | Minimum | 11.65 | 18.52 | 40.94 | 103.86 |
| Maximum | 13.89 | 19.13 | 51.75 | 119.82 | |
| Average | 12.57 | 18.77 | 45.40 | 110.14 | |
| Gneiss (n = 3) | Minimum | 7.78 | 5.13 | 31.54 | 22.68 |
| Maximum | 26.25 | 24.99 | 83.59 | 130.85 | |
| Average | 15.16 | 12.47 | 69.53 | 62.92 | |
| Parameter | Mean (n = 13) | SD | t-Value | p-Value | F-Value | p-Value | |
|---|---|---|---|---|---|---|---|
| Bounding energy | Soil | 0.31 | 0.23 | −1.94 | 0.06 | 3.76 | 0.06 |
| Clay Fraction | 0.48 | 0.23 | |||||
| Sorption Capacity | Soil | 461.95 | 182.76 | 1.43 | 0.17 | 2.04 | 0.17 |
| Clay Fraction | 369.46 | 144.85 | |||||
| Maximum buffering capacity | Soil | 176 | 161.19 | −0.21 | 0.84 | 0.04 | 0.84 |
| Clay Fraction | 189.49 | 117.18 | |||||
| EPR | Soil | 31.74 | 28.51 | −0.2 | 0.84 | 0.04 | 0.84 |
| Clay Fraction | 33.96 | 20.59 | |||||
Publisher’s Note: MDPI stays neutral with regard to jurisdictional claims in published maps and institutional affiliations. |
© 2022 by the authors. Licensee MDPI, Basel, Switzerland. This article is an open access article distributed under the terms and conditions of the Creative Commons Attribution (CC BY) license (https://creativecommons.org/licenses/by/4.0/).
Share and Cite
Oyebanjo, O.; Ekosse, G.-I.; Odiyo, J. Phosphorus Sorption in Soils and Clay Fractions Developed from Different Parent Rocks in Limpopo Province, South Africa. Sustainability 2022, 14, 8528. https://doi.org/10.3390/su14148528
Oyebanjo O, Ekosse G-I, Odiyo J. Phosphorus Sorption in Soils and Clay Fractions Developed from Different Parent Rocks in Limpopo Province, South Africa. Sustainability. 2022; 14(14):8528. https://doi.org/10.3390/su14148528
Chicago/Turabian StyleOyebanjo, Omosalewa, Georges-Ivo Ekosse, and John Odiyo. 2022. "Phosphorus Sorption in Soils and Clay Fractions Developed from Different Parent Rocks in Limpopo Province, South Africa" Sustainability 14, no. 14: 8528. https://doi.org/10.3390/su14148528
APA StyleOyebanjo, O., Ekosse, G.-I., & Odiyo, J. (2022). Phosphorus Sorption in Soils and Clay Fractions Developed from Different Parent Rocks in Limpopo Province, South Africa. Sustainability, 14(14), 8528. https://doi.org/10.3390/su14148528

