Laboratory Model Tests of Leachate Drawdown Using Vertical Drainage Wells with Vacuum Pumping in Municipal Solid Waste Landfills with High Leachate Levels
Abstract
:1. Introduction
2. Materials and Methods
2.1. Material
2.2. Experimental Setup
2.3. Experimental Operations
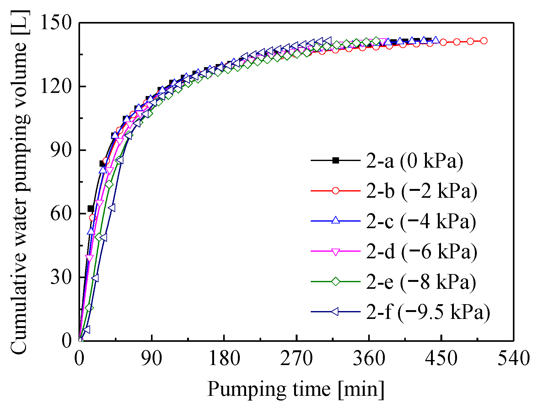
3. Model Test Results
4. Practical Implications of the Study
5. Conclusions
Author Contributions
Funding
Institutional Review Board Statement
Informed Consent Statement
Data Availability Statement
Conflicts of Interest
References
- Laner, D.; Crest, M.; Scharff, H.; Morris, J.W.; Barlaz, M.A. A review of approaches for the long-term management of municipal solid waste landfills. Waste Manag. 2012, 32, 498–512. [Google Scholar] [CrossRef] [PubMed]
- Agamuthu, P. Landfilling in developing countries. Waste Manag. Res. 2013, 31, 1–2. [Google Scholar] [CrossRef] [PubMed] [Green Version]
- El-Fadel, M.; Bou-Zeid, E.; Chahine, W.; Alayli, B.J.W.M. Temporal variation of leachate quality from pre-sorted and baled municipal solid waste with high organic and moisture content. Waste Manag. 2002, 22, 269–282. [Google Scholar] [CrossRef]
- Chen, Y.; Wang, Y.; Xie, H. Breakthrough time-based design of landfill composite liners. Geotext. Geomembr. 2015, 43, 196–206. [Google Scholar] [CrossRef]
- Koerner, R.M.; Soong, T.Y. Stability assessment of ten large landfill failures. In Advances in Transportation and Geoenvironmental Systems Using Geosynthetics; American Society of Civil Engineers: Reston, VA, USA, 2000; pp. 1–38. [Google Scholar]
- Koelsch, F.; Fricke, K.; Mahler, C.; Damanhuri, E. Stability of landfills—The Bandung dumpsite disaster. In Proceedings of the Tenth International Waste Management and Landfill Symposium, Sardinia, Italy, 13–17 October 2005. [Google Scholar]
- Zhan, L.; Lan, J.; Li, W.; Chen, Y. Slope Stabilization and Capacity Expansion at Tianziling Landfill in Hangzhou, China. In The International Congress on Environmental Geotechnics; Springer: Singapore, 2018; pp. 26–34. [Google Scholar]
- Feng, S.J.; Chang, J.Y.; Zhang, X.L.; Shi, H.; Wu, S.J. Stability analysis and control measures of a sanitary landfill with high leachate level. J. Geotech. Geoenviron. Eng. 2021, 147, 05021009. [Google Scholar] [CrossRef]
- Caicedo, B.; Giraldo, E.; Yamin, L.; Soler, N. The landslide of Dona Juana landfill in Bogota. A case study. In Proceedings of the Fourth International Congress on Environmental Geotechnics (4th ICEG), Rio de Janeiro, Brazil, 11–15 August 2002; Volume 11. [Google Scholar]
- Merry, S.M.; Kavazanjian, E., Jr.; Fritz, W.U. Reconnaissance of the July 10, 2000, Payatas landfill failure. J. Perform. Constr. Facil. 2005, 19, 100–107. [Google Scholar] [CrossRef]
- Jafari, N.H.; Stark, T.D.; Merry, S. The July 10 2000 Payatas landfill slope failure. ISSMGE Int. J. Geoengin. Case Hist. 2013, 2, 208–228. [Google Scholar]
- Athanasopoulos, G.; Vlachakis, V.; Zekkos, D.; Spiliotopoulos, G. The December 29th 2010 Xerolakka municipal solid waste landfill failure. In Proceedings of the 18th International Conference on Soil Mechanics and Geotechnical Engineering, Paris, France, 2–6 September 2013; pp. 309–312. [Google Scholar]
- Zhan, T.L.; Xu, X.B.; Chen, Y.M.; Ma, X.F.; Lan, J.W. Dependence of gas collection efficiency on leachate level at wet municipal solid waste landfills and its improvement methods in China. J. Geotech. Geoenviron. Eng. 2015, 141, 04015002. [Google Scholar] [CrossRef]
- Shu, S.; Li, Y.; Sun, Z.; Shi, J. Effect of gas pressure on municipal solid waste landfill slope stability. Waste Manag. Res. 2021, 40, 0734242X211001414. [Google Scholar] [CrossRef]
- Powrie, W.; Beaven, R.P. Hydraulic properties of household waste and implications for landfills. Proc. Inst. Civ. Eng.-Geotech. Eng. 1999, 137, 235–237. [Google Scholar] [CrossRef]
- Benson, C.H.; Barlaz, M.A.; Lane, D.T.; Rawe, J.M. Practice review of five bioreactor/recirculation landfills. Waste Manag. 2007, 27, 13–29. [Google Scholar] [CrossRef] [PubMed]
- Hu, J.; Wu, X.W.; Ke, H.; Xu, X.B.; Lan, J.W.; Zhan, L.T. Application of electrical resistivity tomography to monitor the dewatering of vertical and horizontal wells in municipal solid waste landfills. Eng. Geol. 2019, 254, 1–12. [Google Scholar] [CrossRef]
- Ma, P.; Ke, H.; Lan, J.; Chen, Y.; He, H. Field measurement of pore pressures and liquid-gas distribution using drilling and ERT in a high food waste content MSW landfill in Guangzhou, China. Eng. Geol. 2019, 250, 21–33. [Google Scholar] [CrossRef]
- Zhan, L.T.; Xu, H.; Chen, Y.M.; Lan, J.W.; Lin, W.A.; Xu, X.B.; He, P.J. Biochemical, hydrological and mechanical behaviors of high food waste content MSW landfill: Liquid-gas interactions observed from a large-scale experiment. Waste Manag. 2017, 68, 307–318. [Google Scholar] [CrossRef]
- Acharya, M.P.; Hendry, M.T.; Martin, C.D. Effect of gas bubbles on pore pressure response in peat beneath a railway embankment. Can. Geotech. J. 2016, 53, 765–772. [Google Scholar] [CrossRef]
- Wang, P.; Han, Y.; Wang, J.; Cai, Y.; Geng, X. Deformation characteristics of soil between prefabricated vertical drains under vacuum preloading. Geotext. Geomembr. 2019, 47, 798–802. [Google Scholar] [CrossRef]
- Li, M.; Chen, Q.; Wen, K.; Nimbalkar, S.; Dai, R. Improved vacuum preloading method combined with sand sandwich structure for consolidation of dredged clay-slurry fill and original marine soft clay. Int. J. Geomech. 2021, 21, 04021182. [Google Scholar] [CrossRef]
- Shan, W.; Chen, H.E.; Yuan, X.; Ma, W.; Li, H. Mechanism of pore water seepage in soil reinforced by step vacuum preloading. Bull. Eng. Geol. Environ. 2021, 80, 2777–2787. [Google Scholar] [CrossRef]
- Wu, Y.; Zhou, R.; Lu, Y.; Zhang, X.; Zhang, H.; Tran, Q.C. Experimental study of PVD-improved dredged soil with vacuum preloading and air pressure. Geotext. Geomembr. 2022, 50, 668–676. [Google Scholar] [CrossRef]
- Hu, J.; Ke, H.; Chen, Y.M.; Zhan, L.T.; Lan, J.W.; Xu, W.J. Improvement of vacuum pressure on pumping performance of vertical wells in municipal solid waste landfills. Environ. Sci. Pollut. Res. 2021, 28, 41283–41295. [Google Scholar] [CrossRef]
- Reddy, C.S.; Mohanty, S.; Shaik, R. Physical, chemical and geotechnical characterization of fly ash, bottom ash and municipal solid waste from Telangana State in India. Int. J. Geo-Eng. 2018, 9, 1–23. [Google Scholar] [CrossRef]
- Nanda, S.; Berruti, F. Municipal solid waste management and landfilling technologies: A review. Environ. Chem. Lett. 2021, 19, 1433–1456. [Google Scholar] [CrossRef]
- Tumuluru, J.S.; Yancey, N.A.; Kane, J.J. Pilot-scale grinding and briquetting studies on variable moisture content municipal solid waste bales—Impact on physical properties, chemical composition, and calorific value. Waste Manag. 2021, 125, 316–327. [Google Scholar] [CrossRef] [PubMed]
- Mohammad, A.; Goli, V.S.N.S.; Barroso, P.M.; Vaverková, M.D.; Singh, D.N. Effect of physico-chemico-biological and operational parameters on composting of organic fraction of municipal solid waste and gaseous products emission. Environ. Technol. Rev. 2021, 10, 271–294. [Google Scholar] [CrossRef]
- Xu, X.B.; Powrie, W.; Zhang, W.J.; Holmes, D.S.; Xu, H.; Beaven, R. Experimental study of the intrinsic permeability of municipal solid waste. Waste Manag. 2020, 102, 304–311. [Google Scholar] [CrossRef]
- Wei, H. Experimental and Numerical Study on Gas Migration in Landfill of Municipal Solid Waste. Ph.D. Dissertation, Zhejiang University, Hangzhou, China, 2007. [Google Scholar]


















| Source | Specific Gravity [–] | Dry Density [Mg/m3] | Void Ratio [–] | Characteristic Particle Size, d10 [mm] | Permeability to Water [m2] | Permeability to Gas [m2] | Gas Production Potential [mol/m3/s] |
|---|---|---|---|---|---|---|---|
| Sand | 2.67 | 1.653 | 0.60 | 0.14 | 7.20 × 10−13 | 1.06 × 10−12 | 2.385 × 10−3 |
| Deep MSW | a 2.10 | a 0.810 | a 1.56 | a 0.10 | a 4.47 × 10−12 | a 2.43 × 10−11 | b 4.866 × 10−7~ 4.866 × 10−6 |
| Group | Case | Gas Injection | Temperature [°C] | Vacuum Pressure [kPa] |
|---|---|---|---|---|
| 1 | 1-a | Not applied | 22 | 0 |
| 1-b | 22.5 | −2 | ||
| 1-c | 23 | −4 | ||
| 1-d | 23 | −6 | ||
| 1-e | 22 | −8 | ||
| 1-f | 22 | −9.5 | ||
| 2 | 2-a | Applied | 22 | 0 |
| 2-b | 24.5 | −2 | ||
| 2-c | 24.5 | −4 | ||
| 2-d | 24 | −6 | ||
| 2-e | 23 | −8 | ||
| 2-f | 22 | −9.5 |
| Case | Injection Duration [min] | Injection Pressure [kPa] | Injection Rate [L/min] |
|---|---|---|---|
| 2-a | 5 | 11.5 | 4.1 |
| 2-b | 5 | 11.5 | 3.86 |
| 2-c | 5 | 11.5 | 5.12 |
| 2-d | 5 | 11.5 | 5.46 |
| 2-e | 5 | 11.5 | 4.58 |
| 2-f | 5 | 11.5 | 5.44 |
| Case | Volume of Injected Gas [m3] | Mass of Injected Gas [kg] | Volume of Entrapped Gas [m3] | Pressure of Entrapped Gas [Pa] | Mass of Entrapped Gas [kg] |
|---|---|---|---|---|---|
| 2-a | 2.05 × 10−2 | 2.73 × 10−2 | 6.49 × 10−3 | 1.35 × 105 | 1.04 × 10−2 |
| 2-b | 1.93 × 10−2 | 2.55 × 10−2 | 6.83 × 10−4 | 4.26 × 105 | 3.41 × 10−3 |
| 2-c | 2.56 × 10−2 | 3.38 × 10−2 | 5.12 × 10−3 | 1.44 × 105 | 8.67 × 10−3 |
| 2-d | 2.73 × 10−2 | 3.61 × 10−2 | 6.83 × 10−3 | 1.33 × 105 | 1.07 × 10−2 |
| 2-e | 2.29 × 10−2 | 3.04 × 10−2 | 2.05 × 10−3 | 2.09 × 105 | 5.04 × 10−3 |
| 2-f | 2.72 × 10−2 | 3.62 × 10−2 | 5.47 × 10−3 | 1.41 × 105 | 9.13 × 10−3 |
Publisher’s Note: MDPI stays neutral with regard to jurisdictional claims in published maps and institutional affiliations. |
© 2022 by the authors. Licensee MDPI, Basel, Switzerland. This article is an open access article distributed under the terms and conditions of the Creative Commons Attribution (CC BY) license (https://creativecommons.org/licenses/by/4.0/).
Share and Cite
Xu, X.; Li, G.; Ni, D.; Feng, C.; Xu, S. Laboratory Model Tests of Leachate Drawdown Using Vertical Drainage Wells with Vacuum Pumping in Municipal Solid Waste Landfills with High Leachate Levels. Sustainability 2022, 14, 8101. https://doi.org/10.3390/su14138101
Xu X, Li G, Ni D, Feng C, Xu S. Laboratory Model Tests of Leachate Drawdown Using Vertical Drainage Wells with Vacuum Pumping in Municipal Solid Waste Landfills with High Leachate Levels. Sustainability. 2022; 14(13):8101. https://doi.org/10.3390/su14138101
Chicago/Turabian StyleXu, Xiaobing, Guangyao Li, Da Ni, Cheng Feng, and Sifa Xu. 2022. "Laboratory Model Tests of Leachate Drawdown Using Vertical Drainage Wells with Vacuum Pumping in Municipal Solid Waste Landfills with High Leachate Levels" Sustainability 14, no. 13: 8101. https://doi.org/10.3390/su14138101
APA StyleXu, X., Li, G., Ni, D., Feng, C., & Xu, S. (2022). Laboratory Model Tests of Leachate Drawdown Using Vertical Drainage Wells with Vacuum Pumping in Municipal Solid Waste Landfills with High Leachate Levels. Sustainability, 14(13), 8101. https://doi.org/10.3390/su14138101
