When Physical Chemistry Meets Circular Economy to Solve Environmental Issues: How the ReScA Project Aims at Using Waste Pyrolysis Products to Improve and Rejuvenate Bitumens
Abstract
:1. Introduction
- -
- bio-oil is a complex liquid mixture containing hydrocarbons and oxygenated species with a very wide variety of molecular weights, which are still difficult to exploit and make use of;
- -
- char is a solid carbon-based material with a high inorganic fraction (depending on the feedstock) that limits its functional exploitation.
2. The Physico-Chemical Basis for the Integration of Wastes and Asphalt Cycles
3. Methodology and Preliminary Results: The ReScA Project
- replacement of petroleum-derived products (e.g., crude oil) with products from the pyrolysis of urban solid wastes;
- improvement of the mechanical characteristics and the longevity of asphalts through the use of char;
- low-cost and on-site rejuvenation of exhausted asphalts through bio-oil.
3.1. Methodology (Pyrolysis, Rheological Properties of Asphalts)
3.1.1. Pyrolysis Approach as Waste Thermoconversion
- -
- -
- -
3.1.2. Asphalts Preparation, Aging, Rejuvenation Testing and Rheological Characterization
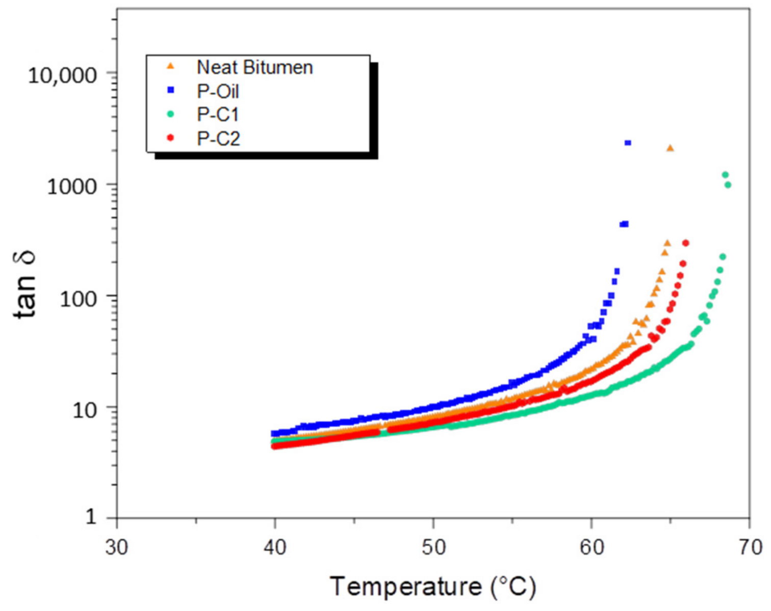
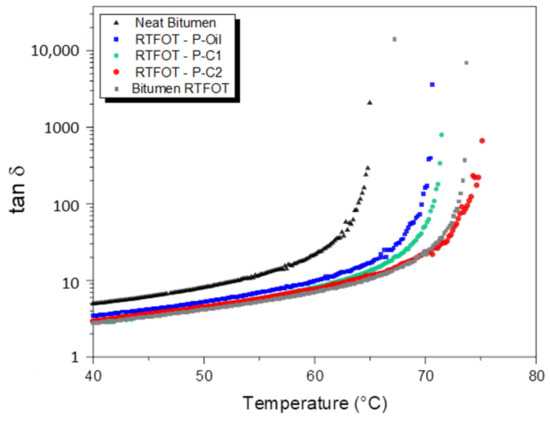
4. Preliminary Results: RDF as a Case Study
- neat bio-oil (P-Oil) obtained from a pyrolysis test at 750 °C (temperature test allowing for the highest yield of liquid fraction);
- neat char, (P-C1) obtained from a pyrolysis test at 550 °C (temperature test allowing for the highest yield of solid fraction);
- a 50:50 w/w mixture of P-Oil and P-C1 (P-C2).
5. Expected Impacts in Technological, Social, and Economic Fields
- -
- the bitumen production is the main hotspot and accounts for 12% to 41% of the environmental impact and 10% to 39% of the economic impact;
- -
- the virgin aggregates supply has an economic impact from 5% to 16%;
- -
- the transport of raw materials contributes between 10% and 24% to the environmental impact and between 6% to 14% to the economic impact;
- -
- plant operation activities have an economic impact from 12% to 24%;
- -
- the energy use in asphalt mixture production has an environmental impact ranging between 11% and 24%.
6. Conclusions and Future Perspectives
- -
- the promotion of cleaner technologies for the use of urban wastes;
- -
- the production of road materials with improved properties from the reuse of urban wastes;
- -
- an alternative applications of pyrolysis products (liquids and solids) outside of the fuel and chemicals industries;
- -
- the reduction of the costs for the construction of safer and longer-lasting road pavements and those related to maintenance activities;
- -
- the integration of systems and processes;
- -
- the optimization of low-cost processes by operating on the parameters involved;
- -
- energy saving and environmental protection (LCA analysis indicates that the chemical recycling of plastic wastes through pyrolysis has a climate change impact 42% lower than the energy recovery option) [10].
Author Contributions
Funding
Institutional Review Board Statement
Informed Consent Statement
Data Availability Statement
Acknowledgments
Conflicts of Interest
References
- Khan, A.H.; Lopez-Maldonado, E.A.; Khan, N.A.; Villarreal-Gomez, L.J.; Munshi, F.M.; Alsabhan, A.H.; Perveen, K. Current solid waste management strategies and energy recovery in developing countries—State of art review. Chemosphere 2022, 291, 133088. [Google Scholar] [CrossRef] [PubMed]
- Onur, O.; Niziolek, A.M.; Hasan, M.F.; Floudas, C.A. Municipal solid waste to liquid transportation fuels—Part 1: Mathematical modeling of a municipal solid waste gasifier. Comput. Chem. Eng. 2014, 71, 636–647. [Google Scholar]
- Adella, L.; Tuscano, J. Contesto Europeo. In Rapporto Rifiuti Urbani—Edizione 2021; ISPRA: Rome, Italy, 2021; ISBN 978-88-448-1084-9. [Google Scholar]
- Gandidi, I.M.; Susila, M.D.; Rustamaji, H. Effect of natural zeolite and kaolin as a catalyst in the isothermal-catalytic cracking of real municipal solid waste (MSW) for bio-oil production. Iop Conf. Ser. Earth Environ. Sci. 2018, 160, 012018. Available online: http://repository.lppm.unila.ac.id/8458/1/GVC-OP29-Gadidi.pdf (accessed on 4 February 2022).
- Le Courtois, A. Municipal solid waste: Turning a problem into resource. In Waste: The Challenges Facing Developing Countries; Urban Specialist, World Bank: Washington, DC, USA, 2012; pp. 2–4. [Google Scholar]
- Arinal, H.; Gandidi, I.M.; Harmen, B. Integrated System for Municipal SolidWaste Management. University of Lampung, Bandarlampung, Indonesia. 2010. Available online: https://www.academia.edu/65432039/Integrated_Municipal_Solid_Waste_Management_System (accessed on 4 February 2022).
- Mohajan, H.K. Dangerous Effects of Methane Gas in Atmosphere. Int. J. Econ. Political Integr. 2012, 2, 3–10. [Google Scholar]
- Sipra, A.T.; Gao, N.; Sarwar, H. Municipal solid waste (MSW) pyrolysis for bio-fuel production A review ofeffects of MSW components and catalysts. Fuel Process. Technol. 2018, 175, 131–147. [Google Scholar] [CrossRef]
- Morris, J. Recycle, bury, or burn wood waste biomass? LCA answer depends on carbon accounting, emissions controls, displaced fuels, and impact costs. J. Ind. Ecol. 2017, 21, 844–856. [Google Scholar] [CrossRef]
- Jeswani, H.; Krüger, C.; Russ, M.; Horlacher, M.; Antony, F.; Hann, S.; Azapagic, A. Life cycle environmental impacts of chemical recycling via pyrolysis of mixed plastic waste in comparison with mechanical recycling and energy recovery. Sci. Total Environ. 2021, 769, 144483. [Google Scholar] [CrossRef]
- Farooq, A.; Haputta, P.; Silalertruksa, T.; Gheewala, S.H. A Framework for the Selection of Suitable Waste to Energy Technologies for a Sustainable Municipal Solid Waste Management System. Front. Sustain. 2021, 2, 681690. [Google Scholar] [CrossRef]
- Aguado, J.; Serrano, D.P.; Guillermo, S.M.; Madrid, S. Feedstock recycling of polyethylene in a two-step thermo-catalytic reaction system. J. Anal. Appl. Pyrolysis 2007, 79, 415–423. [Google Scholar] [CrossRef]
- McKendry, P. Energy production from biomass (part 1): Overview of biomass. Bioresour. Technol. 2002, 83, 37–46. [Google Scholar] [CrossRef]
- Hossain, A.K.; Davies, P.A. Pyrolysis liquids and gases as alternative fuels in internal combustion engines–A review. Renew Sustain. Energy Rev. 2010, 21, 165–189. [Google Scholar] [CrossRef]
- Neuwahl, F.; Cusano, G.; Benavides, J.G.; Holbrook, S.; Roudier, S. Best Available Techniques (BAT) Reference Document for Waste Incineration: Industrial Emissions Directive 2010/75/EU (Integrated Pollution Prevention and Control); Publications Office of the European Union: Luxembourg, 2019; ISBN 978-92-76-12993-6. [Google Scholar]
- Abnisa, F.; Daud, W.M.A.W. A review on co-pyrolysis of biomass: An optional technique to obtain a high-grade pyrolysis oil. Energy Convers. Manag. 2014, 87, 71–85. [Google Scholar] [CrossRef]
- European Asphalt Pavement Association—EAPA. Asphalt in Figures 2018; EAPA: Brussels, Belgium, 2018. [Google Scholar]
- Tarsi, G.; Tataranni, P.; Sangiorgi, C. The Challenges of Using Reclaimed Asphalt Pavement for New Asphalt Mixtures: A Review. Materials 2020, 13, 4052. [Google Scholar] [CrossRef]
- Moins, B.; Hernando, D.; Buyle, M.; France, C.; van den Bergh, W.; Audenaert, A. On the road again! An economic and environmental break-even and hotspot analysis of reclaimed asphalt pavement and rejuvenators. Resour. Conserv. Recycl. 2022, 177, 106014. [Google Scholar] [CrossRef]
- Abdy, C.; Zhang, Y.; Wang, J.; Yang, Y.; Artamendi, I.; Allen, B. Pyrolysis of polyolefin plastic waste and potential applications in asphalt road construction: A technical review. Resour. Conserv. Recycl. 2022, 180, 106213. [Google Scholar] [CrossRef]
- Available online: https://ec.europa.eu/environment/strategy/circular-economy-action-plan_it (accessed on 4 February 2022).
- Gudde, N.; Larivé, J.-F.; Yugo, M. CO2 Reduction Technologies. In Opportunities within the EU Refining System (2030/2050) Concawe Special Task Force Refinery 2050 (STF-2) Report n° 8/19; Concawe: Brussels, Belgium, 2019. [Google Scholar]
- Geissdoerfer, M.; Savaget, P.; Bocken, N.M.; Hultink, E.J. The Circular Economy–A new sustainability paradigm? J. Clean. Prod. 2017, 143, 757–768. [Google Scholar] [CrossRef] [Green Version]
- Hasan, M.R.M.; Chew, J.W.; Jamshidi, A.; Yang, X.; Hamzah, M.O. Review of sustainability, pretreatment, and engineering considerations of asphalt modifiers from the industrial solid wastes. J. Traffic Transp. Eng. 2019, 6, 209–244. [Google Scholar]
- Caputo, P.; Porto, M.; Angelico, R.; Loise, V.; Calandra, P.; Oliviero Rossi, C. Bitumen and asphalt concrete modified by nanometer-sized particles: Basic concepts, the state of the art and future perspectives of the nanoscale approach. Adv. Colloid Interface Sci. 2020, 285, 102283. [Google Scholar] [CrossRef]
- Calandra, P.; Loise, V.; Porto, M.; Oliviero Rossi, C.; Lombardo, D.; Caputo, P. Exploiting Nanoparticles to Improve the Properties of Bitumens and Asphalts: At What Extent Is It Really Worth It? Appl. Sci. 2020, 10, 5230. [Google Scholar] [CrossRef]
- Loise, V.; Caputo, P.; Porto, M.; Calandra, P.; Angelico, R.; Oliviero Rossi, C. A Review on Bitumen Rejuvenation: Mechanisms, Materials, Methods and Perspectives. Appl. Sci. 2019, 9, 4316. [Google Scholar] [CrossRef] [Green Version]
- Zhao, S.; Huang, B.; Ye, X.P.; Shu, X.; Jia, X. Utilizing bio-char as a bio-modifier for asphalt cement: A sustainable application of bio-fuel by-product. Fuel 2014, 133, 52–62. [Google Scholar] [CrossRef]
- Gupta, S.; Kua, H.K.; Koh, H.J. Application of biochar from food and wood waste as green admixture for cement mortar. Sci. Total Environ. 2018, 619–620, 419–435. [Google Scholar] [CrossRef]
- Naskar, M.; Chaki, T.K.; Reddy, K.S. Effect of waste plastic as modifier on thermal stability and degradation kinetics of bitumen/waste plastics blend. Thermochim. Acta 2010, 509, 128–134. [Google Scholar] [CrossRef]
- Huang, W.; Guo, Y.; Zheng, Y.; Ding, Q.; Sun, C.; Yu, J.; Zhu, M.; Yu, H. Chemical and rheological characteristics of rejuvenated bitumen with typical regeneration agents. Constr. Build. Mater. 2021, 273, 121525. [Google Scholar] [CrossRef]
- Taborda, E.A.; Franco, C.A.; Ruiz, M.A.; Alvarado, V.; Cortés, F.B. Experimental and Theoretical Study of Viscosity Reduction in Heavy Crude Oils by Addition of Nanoparticles. Energy Fuels 2017, 31, 1329–1338. [Google Scholar] [CrossRef]
- Das, O.; Sarmah, A.K.; Bhattacharyya, D. Structure–mechanics property relationship of waste derived biochars. Sci. Total Environ. 2015, 538, 611–620. [Google Scholar] [CrossRef]
- Zhang, R.; Dai, Q.; You, Z.; Wang, H.; Peng, C. Rheological Performance of Bio-Char Modified Asphalt with Different Particle Sizes. Appl. Sci. 2018, 8, 1665. [Google Scholar] [CrossRef] [Green Version]
- Gan, X.; Zhang, W. Application of biochar from crop straw in asphalt modification. PLoS ONE 2021, 16, e0247390. [Google Scholar] [CrossRef]
- Calandra, P.; Caputo, P.; de Santo, M.P.; Todaro, L.; Turco Liveri, V.; Oliviero Rossi, C. Effect of additives on the structural organization of asphaltene aggregates in bitumen. Constr. Build. Mater. 2019, 199, 288–297. [Google Scholar] [CrossRef]
- Rajib, A.; Saadeh, S.; Katawal, P.; Mobasher, B.; Fini, E.H. Enhancing Biomass Value Chain by Utilizing Biochar as A Free Radical Scavenger to Delay Ultraviolet Aging of Bituminous Composites Used in Outdoor Construction. Resour. Conserv. Recycl. 2021, 168, 105302. [Google Scholar] [CrossRef]
- Kumar, A.; Choudhary, R.; Kumar, A. Characterization of thermal storage stability of waste plastic pyrolytic char modified asphalt binders with sulfur. PLoS ONE 2021, 16, e0248465. [Google Scholar] [CrossRef] [PubMed]
- Petersen, J.C. Chemical composition of asphalt as related to asphalt durability: State of the art Transport. Transp. Res. Rec. 1984, 999, 13–30. [Google Scholar]
- Vasilyev, V.V.; Salamatova, E.V.; Maidanova, N.V.; Kalinin, M.V.; Strakhov, V.M. Change in Properties of Roadmaking Bitumen on Oxidation. Coke Chem. 2020, 63, 307–314. [Google Scholar] [CrossRef]
- Deygout, F. Volatile emissions from hot bitumen storage tanks. Environ. Prog. Sustain. Energy 2011, 30, 102–112. [Google Scholar] [CrossRef]
- Boczkaj, G.; Przyjazny, A.; Kamiński, M. Characteristics of volatile organic compounds emission profiles from hot road bitumens. Chemosphere 2014, 107, 23–30. [Google Scholar] [CrossRef]
- Soenen, H.; Lu, X.; Laukkanen, O.V. Oxidation of bitumen: Molecular characterization and influence on rheological properties. Rheol. Acta 2016, 55, 315–326. [Google Scholar] [CrossRef]
- Roberts, F.L.; Kandhal, P.S.; Brown, E.R.; Lee, D.Y.; Kennedy, T.W. Hot Mix Asphalt Materials, Mixture Design and Construction, 2nd ed.; NAPA: Lanham, MD, USA, 1996. [Google Scholar]
- Asli, H.; Ahmadinia, E.; Zargar, M.; Karim, M.R. Investigation on physical properties of waste cooking oil–Rejuvenated bitumen binder. Constr. Build. Mater. 2012, 37, 398–405. [Google Scholar] [CrossRef]
- Dedene, C.D.; You, Z. The performance of aged asphalt materials rejuvenated with waste engine oil. Int. J. Pavement Res. Technol. 2014, 7, 145–152. [Google Scholar]
- Loise, V.; Caputo, P.; Porto, M.; Teltayev, B.; Angelico, R.; Oliviero Rossi, C. Unravelling the role of a green rejuvenator agent in contrasting the aging effect on bitumen: A dynamics rheology, nuclear magnetic relaxometry and self-diffusion study. Colloids Surf. A Physicochem. Eng. Asp. 2020, 603, 125182. [Google Scholar] [CrossRef]
- Calandra, P. On the physico-chemical basis of self-nanosegregation giving magnetically-induced birefringence in dibutyl phosphate/bis(2-ethylhexyl) amine systems. J. Mol. Liq. 2020, 310, 113186. [Google Scholar] [CrossRef]
- Ren, Y.; Zhang, L.; Duan, W.; Han, Z.; Guo, J.; Heydenrych, M.D.; Zhang, A.; Nie, K.; Tan, T.; Liu, L. Performance of bitumen coating sheet using biomass pyrolysis oil. J. Air Waste Manag. Assoc. 2020, 70, 219–227. [Google Scholar] [CrossRef]
- Ebru, A.; Ahmet, D. Energy content estimation of municipal solid waste by multiple regression analysis. In Proceedings of the International Advanced Technologies Symposium, Karabük, Turkey, 13–15 May 2009; pp. 1–4. [Google Scholar]
- Ari, D.P.; Kilbergen, W.; Gultom Aryadi, S. Final Report of Feasibility Study; Bandung Institute of Technology: Bandung, Indonesia, 2007; pp. 8–57. [Google Scholar]
- Giudicianni, P.; Gargiulo, V.; Grottola, C.M.; Alfè, M.; Ferreiro, A.I.; Mendes, M.; Fagnano, M.; Ragucci, R. Inherent Metal Elements in Biomass Pyrolysis: A Review. Energy Fuels 2021, 35, 5407–5478. [Google Scholar] [CrossRef]
- Zhang, G.; Chen, F.; Zhang, Y.; Zhao, L.; Chen, J.; Cao, L.; Gao, J.; Xu, C. Properties and utilization of waste tire pyrolysis oil: A mini review. Fuel Process. Technol. 2021, 211, 106582. [Google Scholar] [CrossRef]
- Miandad, R.; Barakat, M.A.; Aburiazaiza, A.S.; Rehan, M.; Ismail, I.M.I.; Nizami, A.S. Effect of plastic waste types on pyrolysis liquid oil. Int. Biodeterior. Biodegrad. 2017, 119, 239–252. [Google Scholar] [CrossRef]
- Honus, S.; Kumagai, S.; Fedorko, G.; Molnár, V.; Yoshioka, T. Pyrolysis gases produced from individual and mixed PE, PP, PS, PVC, and PET—Part I: Production and physical properties. Fuel 2018, 221, 346–360. [Google Scholar] [CrossRef]
- Honus, S.; Kumagai, S.; Molnár, V.; Fedorko, G.; Yoshioka, T. Pyrolysis gases produced from individual and mixed PE, PP, PS, PVC, and PET—Part II: Fuel characteristics. Fuel 2018, 221, 361–373. [Google Scholar] [CrossRef]
- Wijayanta, A.T.; Alam, M.S.; Nakaso, K.; Fukai, J. Numerical investigation on combustion of coal volatiles under various O2/CO2 mixtures using a detailed mechanism with soot formation. Fuel 2012, 93, 670–676. [Google Scholar] [CrossRef]
- Wijayanta, A.T.; Alam, M.S.; Nakaso, K.; Fukai, J.; Shimizu, M. Optimized combustion of biomass volatiles by varying O2 and CO2 levels: A numerical simulation using a highly detailed soot formation reaction mechanism. Bioresour. Technol. 2012, 110, 645–651. [Google Scholar] [CrossRef]
- Lu, P.; Huang, Q.; Bourtsalas, A.C.; Chi, Y.; Yan, J. Experimental research of basic properties and reactivity of waste derived chars. Appl. Therm. Eng. 2017, 119, 639–649. [Google Scholar] [CrossRef]
- Hasan, M.M.; Rasul, M.G.; Khan, M.M.K.; Ashwath, N.; Jahirul, M.I. Energy recovery from municipal solid waste using pyrolysis technology: A review on current status and developments. Renew. Sustain. Energy Rev. 2021, 145, 111073. [Google Scholar] [CrossRef]
- Cai, J.; He, Y.; Yu, X.; Banks, S.W.; Yang, Y.; Zhang, X.; Yu, Y.; Liu, R.; Bridgwater, A.V. Review of physicochemical properties and analytical characterization of lignocellulosic biomass. Renew. Sustain. Energy Rev. 2017, 76, 309–322. [Google Scholar] [CrossRef] [Green Version]
- Stepien, P.; Serowik, M.; Koziel, J.A.; Białowiec, A. Waste to Carbon: Estimating the Energy Demand for Production of Carbonized Refuse-Derived Fuel. Sustainability 2019, 11, 5685. [Google Scholar] [CrossRef] [Green Version]
- Rezaei, H.; Panah, F.Y.; Lim, C.J.; Sokhansanj, S. Pelletization of Refuse-Derived Fuel with Varying Compositions of Plastic, Paper, Organic and Wood. Sustainability 2020, 12, 4645. [Google Scholar] [CrossRef]
- Gerassimidou, S.; Velis, C.A.; Williams, P.T.; Komilis, D. Characterisation and composition identification of waste-derived fuels obtained from municipal solid waste using thermogravimetry: A review. Waste Manag. Res. 2020, 38, 942–965. [Google Scholar] [CrossRef]
- Arnal, C.; Alfè, M.; Gargiulo, V.; Ciajolo, A.; Alzueta, M.U.; Millera, A.; Bilbao, R. Characterization of Soot. In Cleaner Combustion: Green Energy and Technology; Battin-Leclerc, F., Simmie, J., Blurock, E., Eds.; Springer: London, UK, 2003. [Google Scholar]
- Parlouër, P.L. Thermal analysis and calorimetry techniques for catalytic investigations. In Calorimetry and Thermal Methods in Catalysis; Springer: Berlin/Heidelberg, Germany, 2013; pp. 51–101. [Google Scholar]
- Perugini, F.; Mastellone, M.L.; Arena, U. A Life Cycle Assessment of Mechanical and Feedstock Recycling Options for Management of Plastic Packaging Wastes. Environ. Prog. 2005, 24, 137–154. [Google Scholar] [CrossRef]
- Loise, V.; Calandra, P.; Abe, A.A.; Porto, M.; Oliviero Rossi, C.; Davoli, M.; Caputo, P. Additives on aged bitumens: What probe to distinguish between rejuvenating and fluxing effects? J. Mol. Liq. 2021, 339, 116742. [Google Scholar] [CrossRef]
- Hunter, R.; Self, A.; Read, J. The Shell Bitumen Handbook, 6th ed.; ICE Publishing: London, UK, 2015. [Google Scholar]
- Caputo, P.; Porto, M.; Calandra, P.; de Santo, M.P.; Oliviero Rossi, C. Effect of epoxidized soy-bean oil on mechanical properties of bitumen and aged bitumen Molecular Crystals and Liquid. Crystals 2018, 675, 68–74. [Google Scholar] [CrossRef]
- Remišová, E.; Zatkaliková, V.; Schlosser, F. Study of Rheological Properties of Bituminous Binders in Middle and High Temperatures. Civ. Environ. Eng. 2018, 12, 13–20. [Google Scholar] [CrossRef] [Green Version]
- Chiu, C.T.; Hsu, T.H.; Yang, W.F. Life cycle assessment on using recycled materials for rehabilitating asphalt pavments. Resour. Conserv. Recycl. 2008, 52, 545–556. [Google Scholar] [CrossRef]
- Re-road–End of life strategies of asphalt pavements. Eur. Comm. DG Res. Available online: https://cordis.europa.eu/project/id/218747 (accessed on 10 February 2022).
- Calandra, P.; Caschera, D.; Turco Liveri, V.; Lombardo, D. How self-assembly of amphiphilic molecules can generate complexity in the nanoscale. Colloids Surf. A Physicochem. Eng. Asp. 2015, 484, 164–183. [Google Scholar] [CrossRef]







| Sample | Transition T (°C) ±0.1 before Aging | Transition T (°C) ±0.1 after Aging | Δ (°C) |
|---|---|---|---|
| Neat Bitumen | 65.0 | 73.6 | 8.6 |
| Bitumen + P-Oil | 62.3 | 71.5 | 9.2 |
| Bitumen + P-C1 | 68.5 | 75.5 | 7.0 |
| Bitumen + P-C2 | 66.0 | 73.4 | 7.4 |
Publisher’s Note: MDPI stays neutral with regard to jurisdictional claims in published maps and institutional affiliations. |
© 2022 by the authors. Licensee MDPI, Basel, Switzerland. This article is an open access article distributed under the terms and conditions of the Creative Commons Attribution (CC BY) license (https://creativecommons.org/licenses/by/4.0/).
Share and Cite
Caputo, P.; Calandra, P.; Loise, V.; Le Pera, A.; Putz, A.-M.; Abe, A.A.; Madeo, L.; Teltayev, B.; Luprano, M.L.; Alfè, M.; et al. When Physical Chemistry Meets Circular Economy to Solve Environmental Issues: How the ReScA Project Aims at Using Waste Pyrolysis Products to Improve and Rejuvenate Bitumens. Sustainability 2022, 14, 5790. https://doi.org/10.3390/su14105790
Caputo P, Calandra P, Loise V, Le Pera A, Putz A-M, Abe AA, Madeo L, Teltayev B, Luprano ML, Alfè M, et al. When Physical Chemistry Meets Circular Economy to Solve Environmental Issues: How the ReScA Project Aims at Using Waste Pyrolysis Products to Improve and Rejuvenate Bitumens. Sustainability. 2022; 14(10):5790. https://doi.org/10.3390/su14105790
Chicago/Turabian StyleCaputo, Paolino, Pietro Calandra, Valeria Loise, Adolfo Le Pera, Ana-Maria Putz, Abraham A. Abe, Luigi Madeo, Bagdat Teltayev, Maria Laura Luprano, Michela Alfè, and et al. 2022. "When Physical Chemistry Meets Circular Economy to Solve Environmental Issues: How the ReScA Project Aims at Using Waste Pyrolysis Products to Improve and Rejuvenate Bitumens" Sustainability 14, no. 10: 5790. https://doi.org/10.3390/su14105790
APA StyleCaputo, P., Calandra, P., Loise, V., Le Pera, A., Putz, A.-M., Abe, A. A., Madeo, L., Teltayev, B., Luprano, M. L., Alfè, M., Gargiulo, V., Ruoppolo, G., & Oliviero Rossi, C. (2022). When Physical Chemistry Meets Circular Economy to Solve Environmental Issues: How the ReScA Project Aims at Using Waste Pyrolysis Products to Improve and Rejuvenate Bitumens. Sustainability, 14(10), 5790. https://doi.org/10.3390/su14105790

