A Study of a Composite Biofilm Reactor for the Treatment of Mariculture Wastewater: Performance and Microbial Communities
Abstract
:1. Introduction
2. Materials and Methods
2.1. Reactor Setup and Operating Conditions
2.2. Experimental Water Quality
2.3. Chemical and Biological Analysis
2.4. Microbial Community Determination
3. Results and Discussion
3.1. Start-up Performance of Biofilms
3.2. Performance on the Domestication Phase of Biofilm
3.3. FTIR Analysis
3.4. Biofilm Morphology at Different Salinities
3.5. Microbial Community
3.5.1. Microbial Richness and Diversity
3.5.2. Composition of the Microbial Community
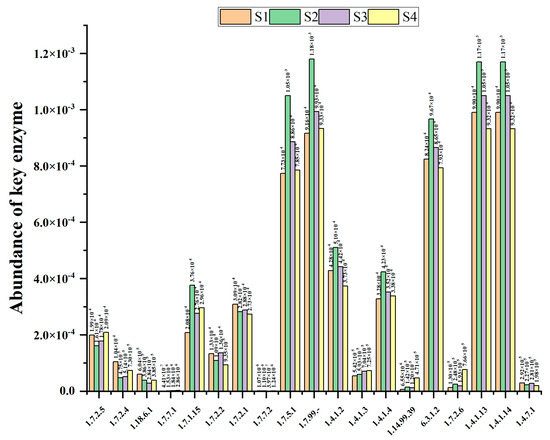
3.5.3. Mechanisms of Nitrogen Removal of the Metagenome at High Salinity
4. Conclusions
Supplementary Materials
Author Contributions
Funding
Informed Consent Statement
Data Availability Statement
Acknowledgments
Conflicts of Interest
References
- Yu, J.; Han, Q. Food Security of Mariculture in China: Evolution, Future Potential and Policy. Mar. Policy 2020, 115, 103892. [Google Scholar] [CrossRef]
- Yu, J.; Yin, W.; Liu, D. Evolution of Mariculture Policies in China: Experience and Challenge. Mar. Policy 2020, 119, 104062. [Google Scholar] [CrossRef]
- Wenning, R. The State of World Fisheries and Aquaculture (Sofia) 2020 Report. Integr. Environ. Assess. Manag. 2020, 16, 800–801. [Google Scholar]
- Xu, J.; Han, L.; Yin, W. Research on the Ecologicalization Efficiency of Mariculture Industry in China and Its Influencing Factors. Mar. Policy 2022, 137, 104935. [Google Scholar] [CrossRef]
- Ahmed, N.; Thompson, S. The Blue Dimensions of Aquaculture: A Global Synthesis. Sci. Total Environ. 2019, 652, 851–861. [Google Scholar] [CrossRef] [PubMed]
- Fu, X.-M.; Zhang, M.-Q.; Liu, Y.; Shao, C.-L.; Hu, Y.; Wang, X.-Y.; Su, L.-R.; Wang, N.; Wang, C.-Y. Protective Exploitation of Marine Bioresources in China. Ocean Coast. Manag. 2018, 163, 192–204. [Google Scholar] [CrossRef]
- Froehlich, H.E.; Smith, A.; Gentry, R.R.; Halpern, B.S. Offshore Aquaculture: I Know It When I See It. Front. Mar. Sci. 2017, 4, 154. [Google Scholar] [CrossRef]
- Davies, I.P.; Carranza, V.; Froehlich, H.E.; Gentry, R.R.; Kareiva, P.; Halpern, B.S. Governance of Marine Aquaculture: Pitfalls, Potential, and Pathways Forward. Mar. Policy 2019, 104, 29–36. [Google Scholar] [CrossRef]
- Hai, A.T.N.; Speelman, S. Economic-Environmental Trade-Offs in Marine Aquaculture: The Case of Lobster Farming in Vietnam. Aquaculture 2020, 516, 734593. [Google Scholar] [CrossRef]
- Wang, X.; Zhu, H.; Yan, B.; Shutes, B.; Banuelos, G.; Wen, H. Bioaugmented Constructed Wetlands for Denitrification of Saline Wastewater: A Boost for Both Microorganisms and Plants. Environ. Int. 2020, 138, 105628. [Google Scholar] [CrossRef]
- Zhang, C.; Hasunuma, T.; Shiung Lam, S.; Kondo, A.; Ho, S.-H. Salinity-Induced Microalgal-Based Mariculture Wastewater Treatment Combined with Biodiesel Production. Bioresour. Technol. 2021, 340, 125638. [Google Scholar] [CrossRef] [PubMed]
- Liu, F.; Pang, S.; Chopin, T.; Gao, S.; Shan, T.; Zhao, X.; Li, J. Understanding the Recurrent Large-Scale Green Tide in the Yellow Sea: Temporal and Spatial Correlations between Multiple Geographical, Aquacultural and Biological Factors. Mar. Environ. Res. 2013, 83, 38–47. [Google Scholar] [CrossRef] [PubMed]
- Isbell, F.; Reich, P.B.; Tilman, D.; Hobbie, S.E.; Polasky, S.; Binder, S. Nutrient Enrichment, Biodiversity Loss, and Consequent Declines in Ecosystem Productivity. Proc. Natl. Acad. Sci. USA. 2013, 110, 11911–11916. [Google Scholar] [CrossRef] [PubMed] [Green Version]
- Park, J.; Kim, Y.; Kim, P.-K.; Daniels, H.V. Effects of Two Different Ozone Doses on Seawater Recirculating Systems for Black Sea Bream Acanthopagrus Schlegeli (Bleeker): Removal of Solids and Bacteria by Foam Fractionation. Aquac. Eng. 2011, 44, 19–24. [Google Scholar] [CrossRef]
- Diaz, V.; Ibanez, R.; Gomez, P.; Urtiaga, A.M.; Ortiz, I. Kinetics of Electro-Oxidation of Ammonia-N, Nitrites and COD from a Recirculating Aquaculture Saline Water System Using BDD Anodes. Water Res. 2011, 45, 125–134. [Google Scholar] [CrossRef]
- Chen, C.; Huang, X.; Lei, C.; Zhang, T.C.; Wu, W. Effect of Organic Matter Strength on Anammox for Modified Greenhouse Turtle Breeding Wastewater Treatment. Bioresour. Technol. 2013, 148, 172–179. [Google Scholar] [CrossRef]
- Li, C.; Liang, J.; Lin, X.; Xu, H.; Tadda, M.A.; Lan, L.; Liu, D. Fast Start-up Strategies of MBBR for Mariculture Wastewater Treatment. J. Environ. Manag. 2019, 248, 109267. [Google Scholar] [CrossRef]
- Yu, D.; Peng, Y.; Song, X.; Li, M. Nitrogen removal from the sewage containing seawater via nitrite pathway. Huan Jing Ke Xue Huanjing Kexue 2003, 24, 50–55. [Google Scholar]
- Zhang, R.; Tang, M.; Pu, Y. Performance and Microbial Community of Novel Three-Stage Waterfall Aeration Grooves Biofilm Reactor for Treating Decentralized Wastewater in Rural Areas. Environ. Eng. Sci. 2019, 36, 35–42. [Google Scholar] [CrossRef]
- Li, P.; Li, K.; Xu, P.; Liu, X.; Pu, Y. Treatment of Wastewater with High Carbon-to-Nitrogen Ratio Using a Waterfall Aeration Biofilm Reactor Combined with Sequencing Batch Reactor: Microbial Community Structure and Metabolism Analysis. Bioresour. Technol. 2021, 337, 125450. [Google Scholar] [CrossRef]
- Wang, S.; Pu, Y.; Wei, C. COD and Nitrogen Removal and Microbial Communities in a Novel Waterfall Biofilm Reactor Operated at Different COD/TN Ratios. J. Environ. Sci. Health Part-Toxic Hazard. Subst. Environ. Eng. 2017, 52, 99–105. [Google Scholar] [CrossRef] [PubMed]
- Rene, E.R.; Kim, S.J.; Park, H.S. Effect of COD/N Ratio and Salinity on the Performance of Sequencing Batch Reactors. Bioresour. Technol. 2008, 99, 839–846. [Google Scholar] [CrossRef] [PubMed]
- Yogalakshmi, K.N.; Joseph, K. Effect of Transient Sodium Chloride Shock Loads on the Performance of Submerged Membrane Bioreactor. Bioresour. Technol. 2010, 101, 7054–7061. [Google Scholar] [CrossRef] [PubMed]
- Peng, Y.Z.; Yu, D.S.; Liang, D.W.; Zhu, G.B. Nitrogen Removal via Nitrite from Seawater Contained Sewage. J. Environ. Sci. Health Part-Toxic Hazard. Subst. Environ. Eng. 2004, 39, 1667–1680. [Google Scholar] [CrossRef]
- Hu, X.; Sobotka, D.; Czerwionka, K.; Zhou, Q.; Xie, L.; Makinia, J. Effects of Different External Carbon Sources and Electron Acceptors on Interactions between Denitrification and Phosphorus Removal in Biological Nutrient Removal Processes. J. Zhejiang Univ.-Sci. B 2018, 19, 305–316. [Google Scholar] [CrossRef]
- Feng, L.; Luo, Y.; Yang, J.; Sun, J. Nitrogen Removal Characteristics in a Biofilm System for Recirculating Aquaculture Wastewater Treatment under High-Salinity Conditions and Oligotrophic Stress. J. Environ. Eng. 2020, 146, 04020057. [Google Scholar] [CrossRef]
- Dincer, A.R.; Kargi, F. Salt Inhibition of Nitrification and Denitrification in Saline Wastewater. Environ. Technol. 1999, 20, 1147–1153. [Google Scholar] [CrossRef]
- Liang, Z.; Li, W.; Yang, S.; Du, P. Extraction and Structural Characteristics of Extracellular Polymeric Substances (EPS), Pellets in Autotrophic Nitrifying Biofilm and Activated Sludge. Chemosphere 2010, 81, 626–632. [Google Scholar] [CrossRef]
- Wang, L.; Li, Y.; Wang, L.; Zhang, H.; Zhu, M.; Zhang, P.; Zhu, X. Extracellular Polymeric Substances Affect the Responses of Multi-Species Biofilms in the Presence of Sulfamethizole. Environ. Pollut. 2018, 235, 283–292. [Google Scholar] [CrossRef]
- Sheng, G.-P.; Yu, H.-Q.; Li, X.-Y. Extracellular Polymeric Substances (EPS) of Microbial Aggregates in Biological Wastewater Treatment Systems: A Review. Biotechnol. Adv. 2010, 28, 882–894. [Google Scholar] [CrossRef]
- Lin, H.; Ma, R.; Hu, Y.; Lin, J.; Sun, S.; Jiang, J.; Li, T.; Liao, Q.; Luo, J. Reviewing Bottlenecks in Aerobic Granular Sludge Technology: Slow Granulation and Low Granular Stability. Environ. Pollut. 2020, 263, 114638. [Google Scholar] [CrossRef]
- Wang, Z.; Gao, P.; Ji, Y.; Zhang, H.; Wu, X.; Ma, J.; Li, S. Effects of Salinity on the Simultaneous Anammox and Denitrification Process: Performance, Sludge Morphology and Shifts in Microbial Communities. R. Soc. Open Sci. 2021, 8, 202099. [Google Scholar] [CrossRef]
- Liu, Y.; Tay, J.H. The Essential Role of Hydrodynamic Shear Force in the Formation of Biofilm and Granular Sludge. Water Res. 2002, 36, 1653–1665. [Google Scholar] [CrossRef]
- Saum, S.H.; Mueller, V. Salinity-Dependent Switching of Osmolyte Strategies in a Moderately Halophilic Bacterium: Glutamate Induces Proline Biosynthesis in Halobacillus Halophilus. J. Bacteriol. 2007, 189, 6968–6975. [Google Scholar] [CrossRef] [PubMed] [Green Version]
- Li, Z.H.; Wang, X.C. Effects of Salinity on the Morphological Characteristics of Aerobic Granules. Water Sci. Technol. 2008, 58, 2421–2426. [Google Scholar] [CrossRef] [Green Version]
- Li, Q.; Wang, M.; Feng, J.; Zhang, W.; Wang, Y.; Gu, Y.; Song, C.; Wang, S. Treatment of High-Salinity Chemical Wastewater by Indigenous Bacteria - Bioaugmented Contact Oxidation. Bioresour. Technol. 2013, 144, 380–386. [Google Scholar] [CrossRef]
- Zhu, L.; Yuan, H.; Shi, Z.; Deng, L.; Yu, Z.; Li, Y.; He, Q. Metagenomic Insights into the Effects of Various Biocarriers on Moving Bed Biofilm Reactors for Municipal Wastewater Treatment. Sci. Total Environ. 2022, 813, 151904. [Google Scholar] [CrossRef]
- Dong, B.; Liu, M.; Tan, J.; Feng, Q.; Meng, J.; Dai, X. Temporal Dynamics of the Microbial Community in an Integrated Fixed-Film Activated Sludge System Revealed by 16S RRNA MiSeq Sequencing. Desalin. Water Treat. 2017, 62, 185–191. [Google Scholar] [CrossRef]
- Zhu, Y.; Zhang, Y.; Ren, H.; Geng, J.; Xu, K.; Huang, H.; Ding, L. Physicochemical Characteristics and Microbial Community Evolution of Biofilms during the Start-up Period in a Moving Bed Biofilm Reactor. Bioresour. Technol. 2015, 180, 345–351. [Google Scholar] [CrossRef]
- Shitu, A.; Liu, G.; Zhang, Y.; Ye, Z.; Zhao, J.; Zhu, S.; Liu, D. Enhancement of Mariculture Wastewater Treatment Using Moving Bed Biofilm Reactors Filled with Modified Biocarriers: Characterisation, Process Performance and Microbial Community Evaluation. J. Environ. Manag. 2021, 291, 112724. [Google Scholar] [CrossRef]
- Sorokin, D.Y.; Luecker, S.; Vejmelkova, D.; Kostrikina, N.A.; Kleerebezem, R.; Rijpstra, W.I.C.; Damste, J.S.S.; Le Paslier, D.; Muyzer, G.; Wagner, M.; et al. Nitrification Expanded: Discovery, Physiology and Genomics of a Nitrite-Oxidizing Bacterium from the Phylum Chloroflexi. ISME J. 2012, 6, 2245–2256. [Google Scholar] [CrossRef] [PubMed] [Green Version]
- Liang, J.; Wang, Q.; Yoza, B.A.; Li, Q.X.; Ke, M.; Chen, C. Degradation of Guar in an Up-Flow Anaerobic Sludge Blanket Reactor: Impacts of Salinity on Performance Robustness, Granulation and Microbial Community. Chemosphere 2019, 232, 327–336. [Google Scholar] [CrossRef]
- Ruan, Y.-J.; Deng, Y.-L.; Guo, X.-S.; Timmons, M.B.; Lu, H.-F.; Han, Z.-Y.; Ye, Z.-Y.; Shi, M.-M.; Zhu, S.-M. Simultaneous Ammonia and Nitrate Removal in an Airlift Reactor Using Poly(Butylene Succinate) as Carbon Source and Biofilm Carrier. Bioresour. Technol. 2016, 216, 1004–1013. [Google Scholar] [CrossRef] [PubMed]
- Huang, W.; She, Z.; Gao, M.; Wang, Q.; Jin, C.; Zhao, Y.; Guo, L. Effect of Anaerobic/Aerobic Duration on Nitrogen Removal and Microbial Community in a Simultaneous Partial Nitrification and Denitrification System under Low Salinity. Sci. Total Environ. 2019, 651, 859–870. [Google Scholar] [CrossRef] [PubMed]
- Liu, C.; Yu, D.; Wang, Y.; Chen, G.; Tang, P.; Huang, S. A Novel Control Strategy for the Partial Nitrification and Anammox Process (PN/A) of Immobilized Particles: Using Salinity as a Factor. Bioresour. Technol. 2020, 302, 122864. [Google Scholar] [CrossRef]
- Chen, P.; Zhang, R.; Du, Z.; Wang, G.; Dong, H.; Cui, B.; Fan, R.; Li, L.; Wang, Q.; Liu, Y.; et al. Microbial Composition and Nitrogen Removal Pathways in a Novel Sequencing Batch Reactor Integrated with Semi-Fixed Biofilm Carrier: Evidence from a Pilot Study for Low- and High-Strength Sewage Treatment. Environ. Sci. Pollut. Res. 2022, 1–11. [Google Scholar] [CrossRef]
- Yang, X.; Chen, Y.; Guo, F.; Liu, X.; Su, X.; He, Q. Metagenomic Analysis of the Biotoxicity of Titanium Dioxide Nanoparticles to Microbial Nitrogen Transformation in Constructed Wetlands. J. Hazard. Mater. 2020, 384, 121376. [Google Scholar] [CrossRef]
- Zhu, S.; Vivanco, J.M.; Manter, D.K. Nitrogen Fertilizer Rate Affects Root Exudation, the Rhizosphere Microbiome and Nitrogen-Use-Efficiency of Maize. Appl. Soil Ecol. 2016, 107, 324–333. [Google Scholar] [CrossRef] [Green Version]
- Soler-Jofra, A.; Laureni, M.; Warmerdam, M.; Perez, J.; van Loosdrecht, M.C.M. Hydroxylamine Metabolism of Ca. Kuenenia Stuttgartiensis. Water Res. 2020, 184, 116188. [Google Scholar] [CrossRef]
- Kuypers, M.M.M.; Marchant, H.K.; Kartal, B. The Microbial Nitrogen-Cycling Network. Nat. Rev. Microbiol. 2018, 16, 263–276. [Google Scholar] [CrossRef]










| Sample Name | S1 | S2 | S3 | S4 |
|---|---|---|---|---|
| OTU | 558 | 658 | 670 | 643 |
| Shannon | 5.363 | 5.847 | 5.945 | 6.033 |
| Simpson | 0.923 | 0.928 | 0.930 | 0.943 |
| Chao1 | 576.676 | 700.512 | 710.539 | 647.737 |
| ACE | 581.869 | 704.361 | 711.179 | 659.415 |
| Coverage | 0.999 | 0.998 | 0.998 | 0.999 |
Publisher’s Note: MDPI stays neutral with regard to jurisdictional claims in published maps and institutional affiliations. |
© 2022 by the authors. Licensee MDPI, Basel, Switzerland. This article is an open access article distributed under the terms and conditions of the Creative Commons Attribution (CC BY) license (https://creativecommons.org/licenses/by/4.0/).
Share and Cite
Li, K.; Xu, P.; Chen, X.; Li, P.; Pu, Y. A Study of a Composite Biofilm Reactor for the Treatment of Mariculture Wastewater: Performance and Microbial Communities. Sustainability 2022, 14, 5743. https://doi.org/10.3390/su14105743
Li K, Xu P, Chen X, Li P, Pu Y. A Study of a Composite Biofilm Reactor for the Treatment of Mariculture Wastewater: Performance and Microbial Communities. Sustainability. 2022; 14(10):5743. https://doi.org/10.3390/su14105743
Chicago/Turabian StyleLi, Kai, Pan Xu, Xiaoxiao Chen, Peijun Li, and Yuewu Pu. 2022. "A Study of a Composite Biofilm Reactor for the Treatment of Mariculture Wastewater: Performance and Microbial Communities" Sustainability 14, no. 10: 5743. https://doi.org/10.3390/su14105743
APA StyleLi, K., Xu, P., Chen, X., Li, P., & Pu, Y. (2022). A Study of a Composite Biofilm Reactor for the Treatment of Mariculture Wastewater: Performance and Microbial Communities. Sustainability, 14(10), 5743. https://doi.org/10.3390/su14105743
