Tension-Stiffening Effect Consideration for Modeling Deflection of Cracked Reinforced UHPC Beams
Abstract
:1. Introduction
2. Materials and Methods
2.1. UHPC Materials and Mixture Proportion
2.2. Mixing, Casting, and Curing
2.3. Flexural Beam Specimens
2.4. Test Setup and Instrumentation
3. Experimental Results and Discussion
3.1. Cracking and Failure Modes
3.2. Load-Deflection Relationships
3.3. Load-Strain Relationships
3.4. Computational Formula of Average Inertia of Bending Moment of Cracked Beams
3.4.1. Strain Distribution of Reinforcing Steel and UHPC along Transfer Length
3.4.2. Strain and Stress Distributions along Non-cracked Cross-section of T Beam
3.4.3. Strain and Stress Distribution along Cracked Cross-section of T Beam
3.4.4. Calculation of εs.min and εUHPC.max in Non-cracked Section of T-beam
3.4.5. Calculation of the Average Inertia of Bending Moment of Cracked R-UHPC Beams
3.5. Comparison between Experimental and Calculated Results
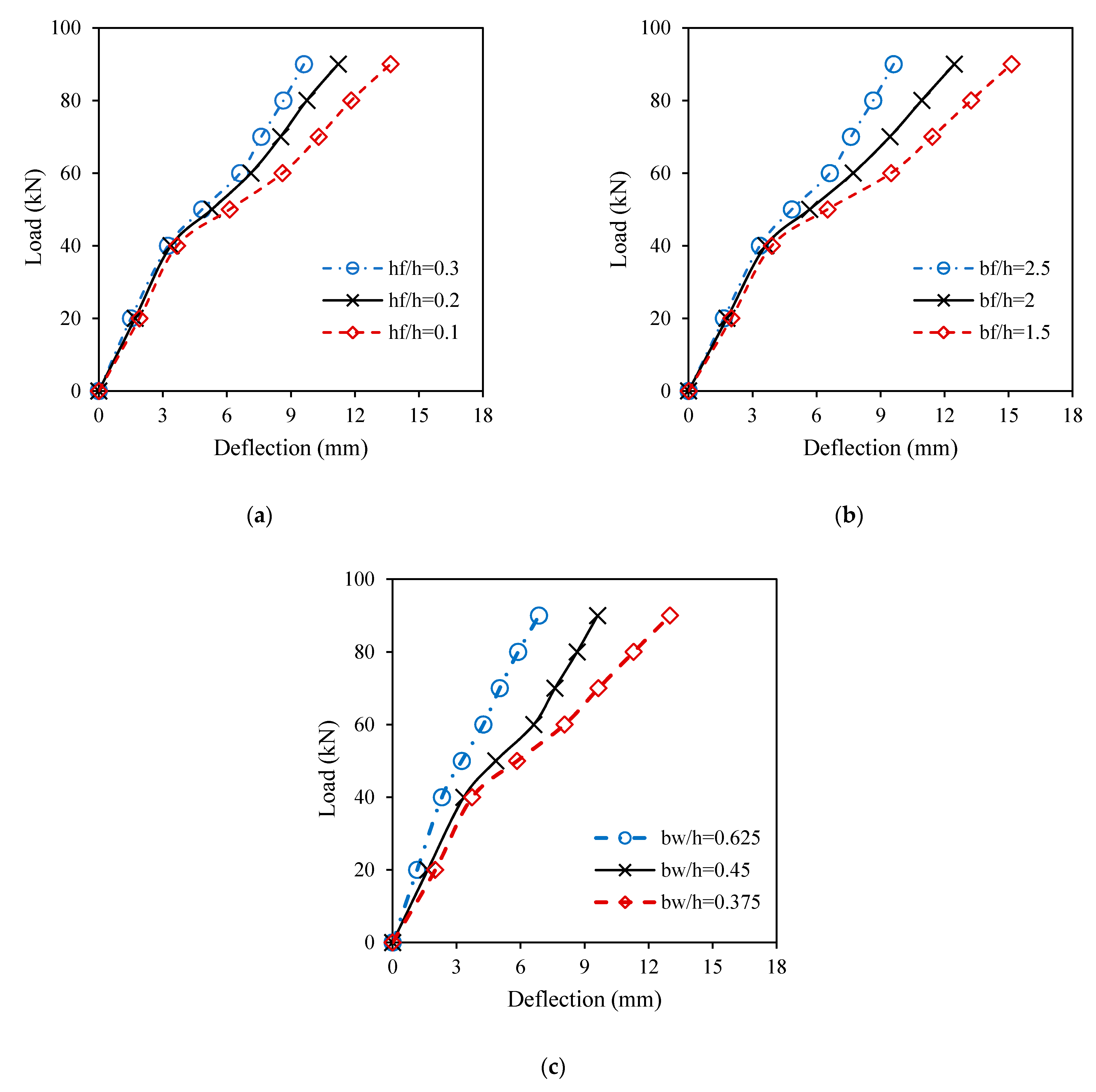
3.6. Parametric Study
4. Conclusions
- The flexural load-deflection response of R-UHPC beams included the elastic stage, cracking stage, and yield stage. In the cracking stage, the fibers can effectively bridge the cracks. The increase in load led to higher crack numbers but a limited increase in crack width from 0.05 to 0.5 mm. Furthermore, the load increased with the deflection with a decreasing slope in this stage. At the yield stage, the fibers were pulled out, resulting in the formation of three or four main cracks and a rapid increase in deflection with the limited change in applied loading.
- The developed model considering the tension-stiffening effect can successfully predict the deflection of cracked R-UHPC T section beam under service loads. The error of the deflection between the calculated and experimental results can be limited to 15%, while the error calculated by the Ic and Ie stiffness value can vary from 5% to 30% and from 5% to 50%, respectively.
- UHPC beams exhibited closely spaced and narrow cracks at service loads. The tensile strength of the UHPC beam was mainly comprised of non-cracked UHPC, fibers in cracked cross-sections, and reinforcing steel bars.
- The initiation of cracks resulted in an approximately 20% decrease in the overall stiffness of R-UHPC beams. However, as the applied loading further increased from 30% to 70% of the ultimate loading, a limited reduction in overall stiffness was observed. This can be attributed to the cracking-bridging capacity of fibers.
- Parametric studies indicated that the increase in breadth of rib had the greatest enhancement on overall stiffness of cracked R-UHPC T section beams, followed by breadth of flange and depth of flange.
5. Future Work
Author Contributions
Funding
Institutional Review Board Statement
Informed Consent Statement
Data Availability Statement
Acknowledgments
Conflicts of Interest
References
- Liu, Z.; Chen, X.; Ding, M.; Zhang, X.; Lu, J. Quasi-static test of the gravity railway bridge pier with a novel preventative seismic strengthening technique. Structures 2022, 35, 68–81. [Google Scholar] [CrossRef]
- Do, T.V.; Pham, T.M.; Hao, H. Dynamic responses and failure modes of bridge columns under vehicle collision. Eng. Struct. 2018, 156, 243–259. [Google Scholar] [CrossRef]
- Fan, L.; Teng, L.; Tang, F.; Khayat, K.H.; Chen, G.; Meng, W. Corrosion of steel rebar embedded in UHPC beams with cracked matrix. Constr. Build. Mater. 2021, 313, 125589. [Google Scholar] [CrossRef]
- Fan, L.; Meng, W.; Teng, L.; Khayat, K.H. Effects of lightweight sand and steel fiber contents on the corrosion performance of steel rebar embedded in UHPC. Constr. Build. Mater. 2020, 238, 117709. [Google Scholar] [CrossRef]
- Du, J.; Meng, W.; Khayat, K.H.; Bao, Y.; Guo, P.; Lyu, Z.; Abu-obeidah, A.; Nassif, H.; Wang, H. New development of ultra-high-performance concrete (UHPC). Compos. B Eng. 2021, 224, 109220. [Google Scholar] [CrossRef]
- Teng, L.; Zhu, J.; Khayat, K.H.; Liu, J. Effect of welan gum and nanoclay on thixotropy of UHPC. Cem. Concr. Res. 2020, 138, 106238. [Google Scholar] [CrossRef]
- Teng, L.; Valipour, M.; Khayat, K.H. Design and performance of low shrinkage UHPC for thin bonded bridge deck overlay. Cem. Concr. Compos. 2021, 118, 103953. [Google Scholar] [CrossRef]
- Huang, H.; Gao, X.; Teng, L. Fiber alignment and its effect on mechanical properties of UHPC: An overview. Constr. Build. Mater. 2021, 296, 123741. [Google Scholar] [CrossRef]
- Yoo, D.-Y.; Kim, S.; Park, G.-J.; Park, J.-J.; Kim, S.-W. Effects of fiber shape, aspect ratio, and volume fraction on flexural behavior of ultra-high-performance fiber-reinforced cement composites. Compos. Struct. 2017, 174, 375–388. [Google Scholar] [CrossRef]
- Wu, Z.; Khayat, K.H.; Shi, C. How do fiber shape and matrix composition affect fiber pullout behavior and flexural properties of UHPC? Cem. Concr. Compos. 2018, 90, 193–201. [Google Scholar] [CrossRef] [Green Version]
- Yoo, D.-Y.; Kang, S.-T.; Yoon, Y.-S. Effect of fiber length and placement method on flexural behavior, tension-softening curve, and fiber distribution characteristics of UHPFRC. Constr. Build. Mater. 2014, 64, 67–81. [Google Scholar] [CrossRef]
- Teng, L.; Meng, W.; Khayat, K.H. Rheology control of ultra-high-performance concrete made with different fiber contents. Cem. Concr. Res. 2020, 138, 106222. [Google Scholar] [CrossRef]
- De Maio, U.; Fantuzzi, N.; Greco, F.; Leonetti, L.; Pranno, A. Failure analysis of ultra-high-performance fiber-reinforced concrete structures enhanced with nanomaterials by using a diffuse cohesive interface approach. Nanomaterials 2020, 10, 1792. [Google Scholar] [CrossRef] [PubMed]
- Meng, W.; Khayat, K.H. Mechanical properties of ultra-high-performance concrete enhanced with graphite nanoplatelets and carbon nanofibers. Compos. B Eng. 2016, 107, 113–122. [Google Scholar] [CrossRef]
- Lampropoulos, A.; Nicolaides, D.; Paschalis, S.; Tsioulou, O. Experimental and numerical investigation on the size effect of Ultra-high-Performance Fibre-Reinforced Concrete (UHFRC). Materials 2021, 14, 5714. [Google Scholar] [CrossRef]
- Graybeal, B.A.; Ph, D.; Asce, M. Flexural behavior of an ultrahigh-performance concrete I-girder flexural behavior. J. Bridg. Eng. 2008, 13, 258–270. [Google Scholar] [CrossRef]
- Yang, I.H.; Joh, C.; Kim, B.S. Structural behavior of ultra high performance concrete beams subjected to bending. Eng. Struct. 2010, 32, 3478–3487. [Google Scholar] [CrossRef]
- Zhu, Y.; Zhang, Y.; Li, X.; Chen, G. Finite element model to predict structural response of predamaged RC beams reinforced by toughness-improved UHPC under unloading status. Eng. Struct. 2021, 235, 112019. [Google Scholar] [CrossRef]
- ACI-Committee. Building Code Requirements for Structural Concrete and Commentary; ACI-Committee: Farmington Hills, MI, USA, 2018. [Google Scholar]
- CEB-FIP. Structural Concrete: Basis of Design, Updated Knowledge of the CEB-FIP Model Code; CEB-FIP: Lausanne, Switzerland, 1999. [Google Scholar]
- Castel, A.; Vidal, T.; Françis, R. Effective tension active cross-section of reinforced concrete beams after cracking. Mater. Struct. Constr. 2006, 39, 115–126. [Google Scholar] [CrossRef]
- Castel, A.; Vidal, T.; Franco̧is, R. Finite-element modeling to calculate the overall stiffness of cracked reinforced concrete beams. J. Struct. Eng. 2012, 138, 889–898. [Google Scholar] [CrossRef]
- Castel, A.; François, R. Calculation of the overall stiffness and irreversible deflection of cracked reinforced concrete beams. Adv. Struct. Eng. 2013, 16, 2035–2042. [Google Scholar] [CrossRef]
- Bischoff, P.H. Tension stiffening and cracking of steel fiber-reinforced concrete. J. Mater. Civ. Eng. 2003, 15, 174–182. [Google Scholar] [CrossRef]
- Ganesan, N.; Indira, P.V.; Sabeena, M.V. Tension stiffening and cracking of hybrid fiber-reinforced concrete. ACI Mater. J. 2013, 110, 715–721. [Google Scholar]
- Lee, S.C.; Cho, J.Y.; Vecchio, F.J. Tension-stiffening model for steel fiber-reinforced concrete containing conventional reinforcement. ACI Struct. J. 2013, 110, 639–648. [Google Scholar]
- Meng, W.; Valipour, M.; Khayat, K.H. Optimization and performance of cost-effective ultra-high performance concrete. Mater. Struct. Constr. 2017, 50, 1–16. [Google Scholar] [CrossRef]
- Zhou, Y.; Xi, B.; Yu, K.; Sui, L.; Xing, F. Mechanical properties of hybrid ultra-high performance engineered cementitous composites incorporating steel and polyethylene fibers. Materials 2018, 11, 1448. [Google Scholar] [CrossRef] [Green Version]
- Aaleti, S.; Petersen, B.; Sritharan, S. Design Guide for Precast UHPC Waffle Deck Panel System, Including Connections; No. FHWA-HIF-13-032; Federal Highway Administration: Washington, DC, USA, 2013. [Google Scholar]
- Castel, A.; François, R. Modeling of steel and concrete strains between primary cracks for the prediction of cover-controlled cracking in RC-beams. Eng. Struct. 2011, 33, 3668–3675. [Google Scholar] [CrossRef]
- Xu, T.; Castel, A. Modeling the dynamic stiffness of cracked reinforced concrete beams under low-amplitude vibration loads. J. Sound Vib. 2016, 368, 135–147. [Google Scholar] [CrossRef]
- Yang, H.; Joh, C.; Kim, B.-S. Flexural strength of large-scale ultra high performance concrete prestressed T-beams. Can. J. Civ. Eng. 2011, 38, 1185–1195. [Google Scholar] [CrossRef]
- Graybeal, B.A.; Baby, F. Development of direct tension test method for ultra-high-performance fiber-reinforced concrete. ACI Mater. J. 2013, 110, 177. [Google Scholar]
- François, R.; Castel, A.; Vidal, T. A finite macro-element for corroded reinforced concrete. Mater. Struct. Constr. 2006, 39, 571–584. [Google Scholar] [CrossRef]
- Murray, A.; Gilbert, R.I.; Castel, A. Spacing of cracks in reinforced concrete based on a variable transfer length model. J. Struct. Eng. 2018, 144, 1–10. [Google Scholar] [CrossRef]
- Meng, W.; Khayat, K.H. Effect of hybrid fibers on fresh properties, mechanical properties, and autogenous shrinkage of cost-effective UHPC. J. Mater. Civ. Eng. 2018, 30, 04018030. [Google Scholar] [CrossRef]
- Huang, H.; Gao, X.; Khayat, K.H.; Su, A. Influence of fiber alignment and length on flexural properties of UHPC. Constr. Build. Mater. 2021, 290, 122863. [Google Scholar] [CrossRef]
- Teng, L.; Huang, H.; Du, J.; Khayat, K.H. Prediction of fiber orientation and flexural performance of UHPC based on suspending mortar rheology and casting method. Cem. Concr. Compos. 2021, 122, 104142. [Google Scholar] [CrossRef]


















| SiO2 | Al2O3 | Fe2O3 | CaO | MgO | SO3 | Na2Oeq | R2O | |
|---|---|---|---|---|---|---|---|---|
| Cement | 20.76 | 4.58 | 3.27 | 62.89 | 3.13 | 2.80 | 0.57 | - |
| Silica fume | 93.90 | - | 0.59 | 1.85 | 0.27 | - | - | 1.03 |
| Material | Cement | SF | Sand | Water | HRWR | Fiber |
|---|---|---|---|---|---|---|
| UHPC | 1010 | 145 | 800 | 235 | 34 | 150 |
| Material | Batch 1 | C.O.V | Batch 2 | C.O.V | Batch 3 | C.O.V |
|---|---|---|---|---|---|---|
| Compressive strength (MPa) | 121.9 | 3% | 124.2 | 4% | 114.3 | 6% |
| Splitting tensile strength (MPa) | 9.8 | 7% | 10.9 | 3% | 10.1 | 5% |
| Modulus of elasticity(GPa) | 46.6 | 5% | 45.4 | 4% | 44.8 | 5% |
| Parameters for Cross-Section | Total Depth of Cross-Section (h) |
|---|---|
| Effective depth of cross-section (d) | |
| Depth of flange (hf) | |
| Breadth of flange (hf) | |
| Breadth of rib (bw) | |
| Area of reinforcing steel (Abs) | |
| Parameters for materials | Tensile strength of UHPC (ft) |
| Elastic modulus of UHPC (Ec) | |
| Elastic modulus of reinforcing bar (Es) | |
| Other parameters | Coefficient of distribution function (CH) |
| Applied load (P) | |
| Span of the beam (L) |
| Load (kN) | Beam 1 | Beam 2 | Beam 3 | |||||||||
|---|---|---|---|---|---|---|---|---|---|---|---|---|
| ya | Ic | Ia | Ie | ya | Ic | Ia | Ie | ya | Ic | Ia | Ie | |
| mm | (×107 mm4) | (×107 mm4) | (×107 mm4) | (×107 mm4) | (×107 mm4) | (×107 mm4) | (×107 mm4) | (×107 mm4) | (×107 mm4) | (×107 mm4) | (×107 mm4) | |
| 40 | 75.2 | 11.8 | 7.6 | 11.8 | 81.8 | 10.8 | 7.9 | 11.8 | 77.1 | 11.1 | 7.7 | 10.8 |
| 50 | 62.2 | 5.4 | 6.2 | 9.5 | 67.9 | 7.7 | 6.7 | 10.8 | 63.8 | 5.9 | 6.1 | 9.7 |
| 60 | 59.2 | 4.5 | 6.0 | 7.3 | 60.6 | 4.9 | 6.0 | 7.6 | 59.3 | 4.6 | 6.0 | 7.3 |
| 70 | 57.3 | 4.1 | 5.9 | 5.9 | 58.6 | 4.4 | 5.9 | 6.2 | 57.7 | 4.2 | 6.0 | 6.1 |
| 80 | 55.9 | 3.9 | 5.9 | 5.2 | 57.1 | 4.1 | 5.9 | 5.4 | 56.2 | 3.9 | 5.9 | 5.2 |
| 90 | 54.9 | 3.7 | 5.8 | 4.7 | 55.8 | 3.9 | 5.8 | 4.9 | 55.2 | 3.7 | 5.9 | 4.7 |
| 100 | 54.1 | 3.6 | 5.7 | 4.2 | 54.9 | 3.7 | 5.8 | 4.6 | 54.3 | 3.6 | 5.9 | 4.5 |
| Load (kN) | Beam 1 | Beam 2 | Beam 3 | ||||||
|---|---|---|---|---|---|---|---|---|---|
| Δ(Ia) | Δ(Ic) | Δ(Ie) | Δ(Ia) | Δ(Ic) | Δ(Ie) | Δ(Ia) | Δ(Ic) | Δ(Ie) | |
| 40 | 10 | 31 | 31 | 6 | 31 | 31 | 13 | 21 | 26 |
| 50 | 15 | 24 | 28 | 14 | 4 | 28 | 15 | 35 | 26 |
| 60 | 5 | 32 | 16 | 15 | 33 | 11 | 14 | 39 | 8 |
| 70 | 0 | 36 | 4 | 0 | 26 | 8 | 12 | 41 | 8 |
| 80 | 3 | 41 | 7 | 1 | 26 | 8 | 3 | 46 | 14 |
| 90 | 8 | 40 | 14 | 1 | 48 | 22 | 1 | 49 | 22 |
| 100 | 14 | 40 | 18 | 0 | 46 | 25 | 4 | 50 | 24 |
Publisher’s Note: MDPI stays neutral with regard to jurisdictional claims in published maps and institutional affiliations. |
© 2021 by the authors. Licensee MDPI, Basel, Switzerland. This article is an open access article distributed under the terms and conditions of the Creative Commons Attribution (CC BY) license (https://creativecommons.org/licenses/by/4.0/).
Share and Cite
Teng, L.; Zhang, R.; Khayat, K.H. Tension-Stiffening Effect Consideration for Modeling Deflection of Cracked Reinforced UHPC Beams. Sustainability 2022, 14, 415. https://doi.org/10.3390/su14010415
Teng L, Zhang R, Khayat KH. Tension-Stiffening Effect Consideration for Modeling Deflection of Cracked Reinforced UHPC Beams. Sustainability. 2022; 14(1):415. https://doi.org/10.3390/su14010415
Chicago/Turabian StyleTeng, Le, Rongling Zhang, and Kamal Henri Khayat. 2022. "Tension-Stiffening Effect Consideration for Modeling Deflection of Cracked Reinforced UHPC Beams" Sustainability 14, no. 1: 415. https://doi.org/10.3390/su14010415
APA StyleTeng, L., Zhang, R., & Khayat, K. H. (2022). Tension-Stiffening Effect Consideration for Modeling Deflection of Cracked Reinforced UHPC Beams. Sustainability, 14(1), 415. https://doi.org/10.3390/su14010415

