Thiamine in Lipid Systems vs. the Antioxidant Activity of Epigallocatechin Gallate and Caffeine
Abstract
1. Introduction
2. Materials and Methods
2.1. Sample Preparation
2.2. Methods
2.2.1. Peroxide Value
2.2.2. Anisidine Value
2.2.3. Thiamine Stability
2.2.4. Statistical Analysis
3. Results
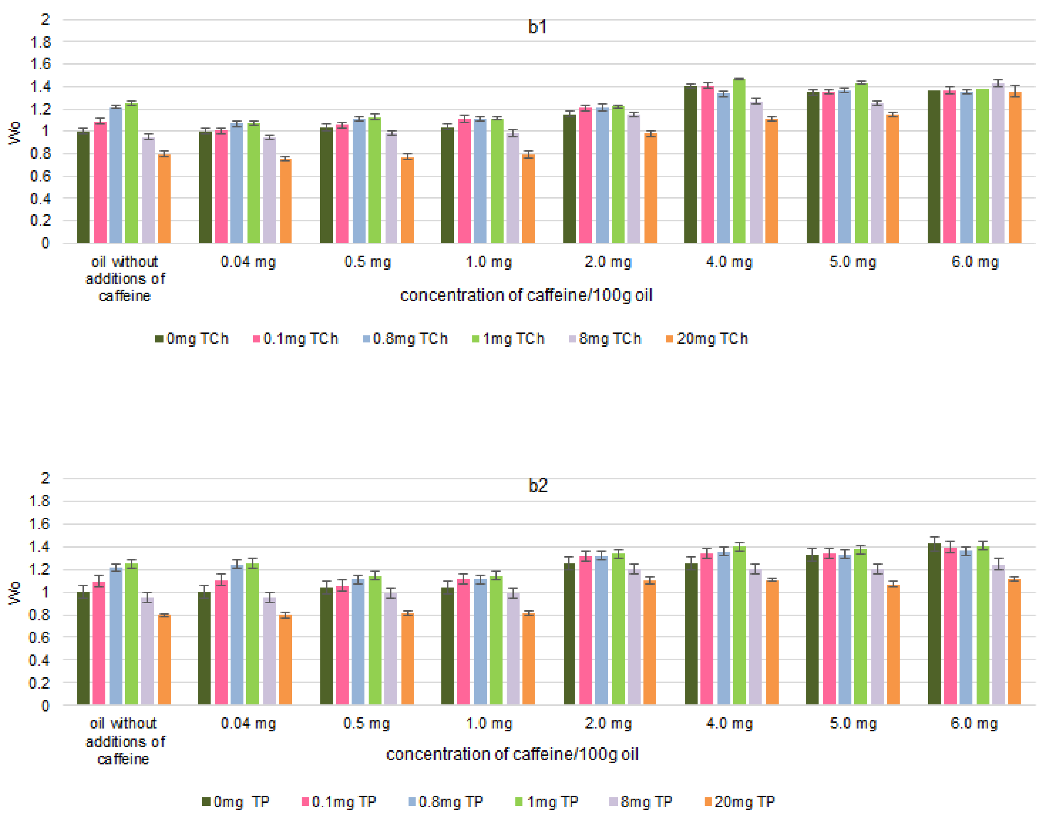
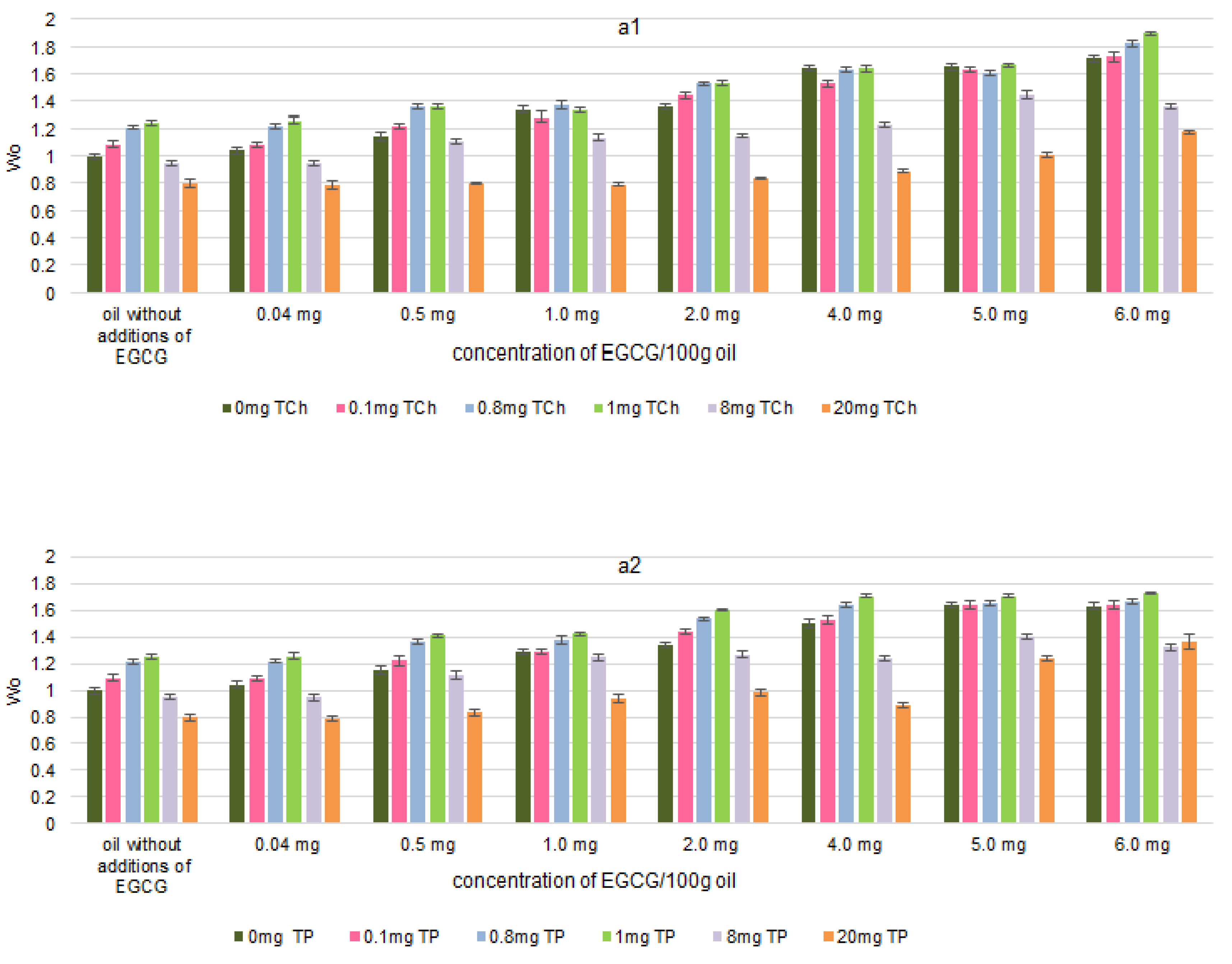
3.1. Antioxidative Effect of EGCG and Caffeine in the Presence of Thiamine Hydrochloride and Thiamine Pyrophosphate
3.2. Thiamine Stability
4. Discussion
5. Conclusions
Supplementary Materials
Author Contributions
Funding
Institutional Review Board Statement
Informed Consent Statement
Data Availability Statement
Conflicts of Interest
References
- Depeint, F.; Bruce, W.R.; Shangari, N.; Mehta, R.; O’Brien, P.J. Mitochondrial Function and Toxicity: Role of the B Vitamin Family on Mitochondrial Energy Metabolism. Chem. Biol. Interact. 2006, 163, 94–112. [Google Scholar] [CrossRef]
- Sriram, K.; Manzanares, W.; Joseph, K. Thiamine in Nutrition Therapy. Nutr. Clin. Pract. 2012, 27, 41–50. [Google Scholar] [CrossRef]
- Kanner, J. Oxidative Processes in Meat and Meat Products: Quality Implications. Meat Sci. 1994, 36, 169–189. [Google Scholar] [CrossRef]
- Pacei, F.; Tesone, A.; Laudi, N.; Laudi, E.; Cretti, A.; Pnini, S.; Varesco, F.; Colombo, C. The Relevance of Thiamine Evaluation in a Practical Setting. Nutrients 2020, 12, 2810. [Google Scholar] [CrossRef]
- Kunisawa, J.; Sugiura, Y.; Wake, T.; Nagatake, T.; Suzuki, H.; Nagasawa, R.; Shikata, S.; Honda, K.; Hashimoto, E.; Suzuki, Y.; et al. Mode of Bioenergetic Metabolism during B Cell Differentiation in the Intestine Determines the Distinct Requirement for Vitamin B1. Cell Rep. 2015, 13, 122–131. [Google Scholar] [CrossRef] [PubMed]
- Dehghani-Samani, A.; Kamali, M.; Hoseinzadeh-Chahkandak, F. The Role of Vitamins on the Prevention and/or Treatment of COVID-19 Infection; A Systematic Review. Mod. Care J. 2020, 17. [Google Scholar] [CrossRef]
- Edwards, K.A.; Tu-Maung, N.; Cheng, K.; Wang, B.; Baeumner, A.J.; Kraft, C.E. Thiamine Assays—Advances, Challenges, and Caveats. ChemistryOpen 2017, 6, 178–191. [Google Scholar] [CrossRef]
- Tylicki, A.; Siemieniuk, M. Thiamine and Its Derivatives in the Regulation of Cell Metabolism. Adv. Hyg. Exp. Med. 2011, 65, 447–469. [Google Scholar] [CrossRef]
- Szymandera-Buszka, K.; Piechocka, J.; Zaremba, A.; Przeor, M.; Jędrusek-Golińska, A. Pumpkin, Cauliflower and Broccoli as New Carriers of Thiamine Compounds for Food Fortification. Foods 2021, 10, 578. [Google Scholar] [CrossRef] [PubMed]
- Lombardi-Boccia, G.; Lanzi, S.; Aguzzi, A. Aspects of Meat Quality: Trace Elements and B Vitamins in Raw and Cooked Meats. J. Food Compos. Anal. 2005, 18, 39–46. [Google Scholar] [CrossRef]
- Szymandera-Buszka, K.; Hęś, M.; Waszkowiak, K.; Jędrusek-Golińska, A. Thiamine Losses during Storage of Pasteurised and Sterilized Model Systems of Minced Chicken Meat with Addition of Fresh and Oxidized Fat, and Antioxidants. Acta Sci. Pol. Technol. Aliment. 2014, 13, 393–401. [Google Scholar] [CrossRef][Green Version]
- Whitfield, K.C.; Smith, G.; Chamnan, C.; Karakochuk, C.D.; Sophonneary, P.; Kuong, K.; Dijkhuizen, M.A.; Hong, R.; Berger, J.; Green, T.J.; et al. High Prevalence of Thiamine (Vitamin B1) Deficiency in Early Childhood among a Nationally Representative Sample of Cambodian Women of Childbearing Age and Their Children. PLoS Negl. Trop. Dis. 2017, 11, e0005814. [Google Scholar] [CrossRef]
- Waszkowiak, K.; Szymandera_Buszka, K.; Janitz, W.; Gorecka, D. Comparative Evaluation of Nutritive and Sensory Value of Selected Raw Materials and Dishes after Thermal Processing in a Convection Oven and with Conventional Methods. Electron. J. Pol. Agric. Univ. 1999, 2, 1–8. [Google Scholar]
- Kumar, S.; Aalbersberg, B. Nutrient Retention in Foods after Earth-oven Cooking Compared to Other Forms of Domestic Cooking: 2. Vitamins. J. Food Compos. Anal. 2006, 19, 311–320. [Google Scholar] [CrossRef]
- Kadakal, Ç.; Duman, T.; Ekinci, R. Thermal Degradation Kinetics of Ascorbic Acid, Thiamine and Riboflavin in Rosehip (Rosa canina L) Nectar. Food Sci. Technol. 2017, 38, 667–673. [Google Scholar] [CrossRef]
- Szymandera-Buszka, K.; Waszkowiak, K. Qualitative and Quantitative Changes of Thiamine in Turkey Meatballs in the Presence of Potassium Iodide. Technol. Aliment. 2003, 2, 95–101. [Google Scholar]
- DiNicolantonio, J.J.; Lavie, C.J.; Niazi, A.K.; O’Keefe, J.H.; Hu, T. Effects of Thiamine on Cardiac Function in Patients with Systolic Heart Failure: Systematic Review and Metaanalysis of Randomized, Double-blind, Placebo-controlled Trials. Ochsner J. 2013, 13, 495–499. [Google Scholar]
- DiNicolantonio, J.J.; Liu, J.; O’Keefe, J.H. Thiamine and Cardiovascular Disease: A Literature Review. Prog. Cardiovasc. Dis. 2018, 61, 27–32. [Google Scholar] [CrossRef]
- Whitfield, K.C.; Bourassa, M.W.; Adamolekun, B.; Bergeron, G.; Bettendorff, L.; Brown, K.H.; Cox, L.; Fattal-Valevski, A.; Fischer, P.R.; Frank, E.L.; et al. Thiamine Deficiency Disorders: Diagnosis, Prevalence, and a Roadmap for Global Control Programs. Ann. N. Y. Acad. Sci. 2018, 1430, 3–43. [Google Scholar] [CrossRef] [PubMed]
- Gibson, G.E.; Hirsch, J.A.; Fonzetti, P.; Jordan, B.D.; Cirio, R.T.; Elder, J. Vitamin B1 (Thiamine) and Dementia. Ann. N. Y. Acad. Sci. 2016, 1367, 21–30. [Google Scholar] [CrossRef]
- Giacalone, M.; Martinelli, R.; Abramo, A.; Rubino, A.; Pavoni, V.; Iacconi, P.; Giunta, F.; Forfori, F. Rapid Reversal of Severe Lactic Acidosis after Thiamine Administration in Critically Ill Adults: A Report of 3 Cases. Nutr. Clin. Pract. 2015, 30, 104–110. [Google Scholar] [CrossRef]
- Portari, G.V.; Marchini, J.S.; Vannucchi, H.; Jordao, A.A. Antioxidant Effect of Thiamine on Acutely Alcoholized Rats and Lack of Efficacy Using Thiamine or Glucose to Reduce Blood Alcohol Content. Basic Clin. Pharmacol. Toxicol. 2008, 103, 482–486. [Google Scholar] [CrossRef]
- Campos-Bowers, M.H.; Wittenmyer, B.F. Biofortification in China: Policy and Practice. Health Res. Policy Syst. 2007, 5, 1–7. [Google Scholar] [CrossRef]
- Ribeiro, D.O.; Pinto, D.C.; Lima, L.M.T.R.; Volpato, N.M.; Cabral, L.M.; De Sousa, V.P. Chemical Stability Study of Vitamins Thiamine, Riboflavin, Pyridoxine and Ascorbic Acid in Parenteral Nutrition for Neonatal Use. Nutr. J. 2011, 10, 47. [Google Scholar] [CrossRef]
- Wilson, D.W.; Nash, P.; Singh, H.; Griffiths, K.; Singh, R.; De Meester, F.; Horiuchi, R.; Takahashi, T. The Role of Food Antioxidants, Benefits of Functional Foods, and Influence of Feeding Habits on the Health of the Older Person: An Overview. Antioxidants 2017, 6, 81. [Google Scholar] [CrossRef]
- Otaegui-Arrazola, A.; Amiano, P.; Elbusto, A.; Urdaneta, E.; Martínez-Lage, P. Diet, Cognition, and Alzheimer’s Disease: Food for Thought. Eur. J. Nutr. 2014, 53, 1–23. [Google Scholar] [CrossRef]
- Veurink, G.; Perry, G.; Singh, S.K. Role of Antioxidants and a Nutrient Rich Diet in Alzheimer’s Disease: AD and Nutraceuticals. Open Biol. 2020, 10. [Google Scholar] [CrossRef]
- Yoshioka, A.; Sato, I.; Onishi, H.; Ishida, M. Subclinical Thiamine Deficiency Identified by Pretreatment Evaluation in an Esophageal Cancer Patient. Eur. J. Clin. Nutr. 2020, 3–5. [Google Scholar] [CrossRef]
- Kobus-Cisowska, J.; Szulc, P.; Szczepaniak, O.; Dziedziński, M.; Szymanowska, D.; Szymandera-Buszka, K.; Goryńska-Goldmann, E.; Gazdecki, M.; Telichowska, A.; Ligaj, M. Variability of Hordeum vulgare L. Cultivars in Yield, Antioxidant Potential, and Cholinesterase Inhibitory Activity. Sustainability 2020, 12, 1938. [Google Scholar] [CrossRef]
- Nour, V.; Trandafir, I.; Cosmulescu, S. Bioactive Compounds, Antioxidant Activity and Nutritional Quality of Different Culinary Aromatic Herbs. Not. Bot. Horti Agrobot. 2017, 45, 179–184. [Google Scholar] [CrossRef]
- Yashin, A.; Yashin, Y.; Xia, X.; Nemzer, B. Antioxidant Activity of Spices and Their Impact on Human Health: A Review. Antioxidants. Antioxidants 2017, 6, 70. [Google Scholar] [CrossRef]
- Nakatani, N. Phenolic Antioxidants from Herbs and Spices. BioFactors 2000, 13, 141–146. [Google Scholar] [CrossRef]
- Hęś, M.; Gramza-Michałowska, A. Effect of Plant Extracts on Lipid Oxidation and Changes in Nutritive Value of Protein in Frozen-stored Meat Products. J. Food Process. Preserv. 2017, 41, 1–9. [Google Scholar] [CrossRef]
- Forester, S.C.; Lambert, J.D. Antioxidant Effects of Green Tea. Mol. Nutr. Food Res 2013, 55, 844–854. [Google Scholar] [CrossRef]
- Ramsaha, S.; Aumjaud, B.E. Polyphenolic Rich Traditional Plants and Teas Improve Lipid Stability in Food Test Systems. J. Food Sci. Technol. 2015, 52, 773–782. [Google Scholar] [CrossRef] [PubMed]
- Makita, Y.; Ishida, T.; Kobayashi, N.; Fujio, M.; Fujimoto, K.; Moritomo, R.; Fujita, J.; Fujiwara, S. Evaluation of the Bitterness-Masking Effect of Powdered Roasted Soybeans. Foods 2016, 5, 44. [Google Scholar] [CrossRef] [PubMed]
- Prabsangob, N.; Benjakul, S. Effect of Tea Catechin Derivatives on Stability of Soybean Oil/Tea Seed Oil Blend and Oxidative Stability of Fried Fish Crackers during Storage. Food Sci. Biotechnol. 2019, 28, 679–689. [Google Scholar] [CrossRef]
- Naveed, M.; BiBi, J.; Kamboh, A.A.; Suheryani, I.; Kakar, I.; Fazlani, S.A.; FangFang, X.; Kalhoro, S.A.; Yunjuan, L.; Kakar, M.U.; et al. Pharmacological Values and Therapeutic Properties of Black Tea (Camellia sinensis): A Comprehensive Overview. Biomed. Pharmacother. 2018, 100, 521–531. [Google Scholar] [CrossRef] [PubMed]
- Miyata, Y.; ScienMatsuoces, T.; Araki, K.; Nakamura, Y.; Sagara, Y.; Ohba, K.; Sakai, H. Anticancer Effects of Green Tea and the Underlying Molecular Mechanisms in Bladder Cancer. Medicines 2018, 5, 87. [Google Scholar] [CrossRef] [PubMed]
- Tang, G.Y.; Meng, X.; Gan, R.Y.; Zhao, C.N.; Liu, Q.; Feng, Y.B.; Li, S.; Wei, X.L.; Atanasov, A.G.; Corke, H.; et al. Health Functions and Related Molecular Mechanisms of Tea Components: An Update Review. Int. J. Mol. Sci. 2019, 20, 6196. [Google Scholar] [CrossRef] [PubMed]
- Del Rio, D.; Rodriguez-Mateos, A.; Spencer, J.P.E.; Tognolini, M.; Borges, G.; Crozier, A. Dietary (Poly)phenolics in Human Health: Structures, Bioavailability, and Evidence of Protective Effects Against Chronic Diseases. Antioxid. Redox Signal. 2013, 18, 1818–1892. [Google Scholar] [CrossRef] [PubMed]
- Pokorný, J.; Korczak, J. Preparation of Natural Antioxidants. Antioxidants Food 2001, 311–330. [Google Scholar] [CrossRef]
- Szymandera-Buszka, K. Study on Stability of Thiamine in the Presence of Selected Fat Products and Antioxidants; Poznań University of Life Sciences Publishing: Poznań, Poland, 2014; Volume 471. [Google Scholar]
- Piechocka, J.; Szymandera-Buszka, K.; Kobus-Cisowska, J.; Gramza-Michałowska, A.; Jędrusek-Golińska, A. The Effect of Thiamine Concentration on the Antioxidative Activity Indices in Tea Extracts. Antioxidants 2019, 8, 555. [Google Scholar] [CrossRef]
- Vegetable and Animal Oils and Fats. Determination of Peroxide Value; PN-EN ISO 3960; International Organization for Standardization ISO: Geneva, Switzerland, 2005. (In Polish) [Google Scholar]
- Animal and Vegetable Fats and Oils–Determination of Peroxide Value–Iodometric (Visual) Endpoint Determination; ISO 3960:2017; International Organization for Standardization ISO: Geneva, Switzerland, 2017.
- Animal and Vegetable Fats and Oils–Determination of Anisidine Value; ISO 6885:2016; International Organization for Standardization ISO: Geneva, Switzerland, 2016.
- Kondratowicz-Pietruszka, E. Analysis of Oxidative Changes Occurring in Olive Oil during Storage. Pol. J. Food Nutr. Sci. 2007, 57, 297–302. [Google Scholar]
- Waszkowiak, K.; Szymandera-Buszka, K. Effect of Collagen Preparations Used as Carriers of Potassium Iodide on Retention of Iodine and Thiamine during Cooking and Storage of Pork Meatballs. J. Sci. Food Agric. 2007, 87, 1473–1479. [Google Scholar] [CrossRef]
- Szymandera-Buszka, K.; Waszkowiak, K. Effect of Selected Fat Products on Stability of Thiamine Hydrochloride. Food. Sci. Technol. Qual. 2014, 21, 150–158. [Google Scholar] [CrossRef]
- Mukaka, M.M. Statistics Corner: A Guide to Appropriate Use of Correlation Coefficient in Medical Research. Malawi Med. J. 2012, 24, 69–71. [Google Scholar]
- Yang, H.; Xue, X.; Li, H.; Apandi, S.N.; Tay-Chan, S.C.; Ong, S.P.; Tian, E.F. The Relative Antioxidant Activity and Steric Structure of Green Tea Catechins–A Kinetic Approach. Food Chem. 2018, 257, 399–405. [Google Scholar] [CrossRef]
- El-Anany, A. Antioxidative Effect of Tea Extracts on Oxidation of Soybean Oil during Deep-fat Frying Process. Adv. Food Sci. 2013, 35, 181–189. [Google Scholar]
- Lin, J.K.; Lin, C.L.; Liang, Y.C.; Lin-Shiau, S.Y.; Juan, I.M. Survey of Catechins, Gallic Acid, and Methylxanthines in Green, Oolong, Pu-erh, and Black Teas. J. Agric. Food Chem. 1998, 46, 3635–3642. [Google Scholar] [CrossRef]
- Lin, Y.S.; Tsai, Y.J.; Tsay, J.S.; Lin, J.K. Factors Affecting the Levels of Tea Polyphenols and Caffeine in Tea Leaves. J. Agric. Food Chem. 2003, 51, 1864–1873. [Google Scholar] [CrossRef]
- Horie, M.; Nara, K.; Sugino, S.; Umeno, A.; Yoshida, Y. Comparison of Antioxidant Activities among Four Kinds of Japanese Traditional Fermented Tea. Food Sci. Nutr. 2017, 5, 639–645. [Google Scholar] [CrossRef] [PubMed]
- Devasagayam, D.P.A.; Kamat, J.P.; Mohan, H.; Kesavan, P.C. Caffeine as an Antioxidant: Inhibition of Lipid Peroxidation Induced by Reactive Oxygen Species. Biochim. Biophys. Acta Biomembr. 1996, 1282, 63–70. [Google Scholar] [CrossRef]
- Vieira, A.J.S.C.; Gaspar, E.M.; Santos, P.M.P. Mechanisms of Potential Antioxidant Activity of Caffeine. Radiat. Phys. Chem. 2020, 174, 108968. [Google Scholar] [CrossRef]
- Tewabe Gebeyehu, B. Determination of Caffeine Content and Antioxidant Activity of Coffee. Am. J. Appl. Chem. 2015, 3, 69. [Google Scholar] [CrossRef]
- Gadow, A.; Joubert, E.; Hansmann, C.F. Comparison of the Antioxidant Activity of Rooibos Tea (Aspalathus linearis) with Green, Oolong, and Black Tea. Food Chem. 1997, 60, 73–77. [Google Scholar] [CrossRef]
- Gramza-Michałowska, A.; Kobus-Cisowska, J.; Kmiecik, D.; Korczak, J.; Helak, B.; Dziedzic, K.; Górecka, D. Antioxidative Potential, Nutritional Value and Sensory Profiles of Confectionery Fortified with Green and Yellow Tea Leaves (Camellia sinensis). Food Chem. 2016, 211, 448–454. [Google Scholar] [CrossRef]
- Tenore, G.; Daglia, M.; Ciampaglia, R.; Novellino, E. Exploring the Nutraceutical Potential of Polyphenols from Black, Green and White Tea Infusions–An Overview. Curr. Pharm. Biotechnol. 2015, 16, 265–271. [Google Scholar] [CrossRef]
- Yen, G.C.; Chen, H.Y. Antioxidant Activity of Various Tea Extracts in Relation to Their Antimutagenicity. J. Agric. Food Chem. 1995, 43, 27–32. [Google Scholar] [CrossRef]
- Carloni, P.; Tiano, L.; Padella, L.; Bacchetti, T.; Customu, C.; Kay, A.; Damiani, E. Antioxidant Activity of White, Green and Black Tea Obtained from the Same Tea Cultivar. Food Res. Int. 2013, 53, 900–908. [Google Scholar] [CrossRef]
- Chu, C.; Deng, J.; Man, Y.; Qu, Y. Green Tea Extracts Epigallocatechin-3-gallate for Different Treatments. Biomed Res. Int. 2017, 2017. [Google Scholar] [CrossRef]
- Fernando, C.D.; Soysa, P. Extraction Kinetics of Phytochemicals and Antioxidant Activity during Black Tea (Camellia sinensis L.) Brewing. Nutr. J. 2015, 14, 1–7. [Google Scholar] [CrossRef] [PubMed]
- Unachukwu, U.J.; Ahmed, S.; Kavalier, A.; Lyles, J.T.; Kennelly, E.J. White and Green Teas (Camellia sinensis var. sinensis): Variation in Phenolic, Methylxanthine, and Antioxidant Profiles. J. Food Sci. 2010, 75, 541–548. [Google Scholar] [CrossRef] [PubMed]
- Nikoo, M.; Regenstein, J.M.; Ahmadi Gavlighi, H. Antioxidant and Antimicrobial Activities of (-)-Epigallocatechin-3-gallate (EGCG) and Its Potential to Preserve the Quality and Safety of Foods. Compr. Rev. Food Sci. Food Saf. 2018, 17, 732–753. [Google Scholar] [CrossRef] [PubMed]
- Re, R.; Pellegrini, N.; Protegente, A.; Pannala, A.; Yang, M.C.; Rice-Evans, C. Antioxidant Activity an Improved ABTS Radical Cation Decolorization Assay. Free Rad. Biol. Med. 1999, 26, 1231–1237. [Google Scholar] [CrossRef]
- Musial, C.; Kuban-Jankowska, A.; Gorska-Ponikowska, M. Beneficial Properties of Green Tea Catechins. Int. J. Mol. Sci. 2020, 21, 1744. [Google Scholar] [CrossRef] [PubMed]
- Komatsu, Y.; Suematsu, S.; Hisanobu, Y.; Saigo, H.; Matsuda, R.; Hara, K. Effects of pH and Temperature on Reaction Kinetics of Catechins in Green Tea Infusion. Biosci. Biotechnol. Biochem. 1993, 57, 907–910. [Google Scholar] [CrossRef]
- Szymusiak, H. Studies on the Effectiveness of Selected Antioxidants Found in Food Products; Publisher of the University of Economics: Poznań, Poland, 2002. [Google Scholar]
- Voelker, A.L.; Miller, J.; Running, C.A.; Taylor, L.S.; Mauer, L.J. Chemical Stability and Reaction Kinetics of Two Thiamine Salts (Thiamine Mononitrate and Thiamine Chloride Hydrochloride) in Solution. In Food Research International; Elsevier: Amsterdam, The Netherlands, 2018; Volume 112, ISBN 7654949111. [Google Scholar]
- Dwivedi, B.K.; Arnold, R.G. Chemistry of Thiamine Degradation: 4-methyl-S(β-hydroksyethyl)thiazole from Thermally Degradation Thiamine. J. Food Sci. 1972, 37, 689–692. [Google Scholar] [CrossRef]
- Bui, L.T.T.; Small, D.M. The Stability of Pyridoxine Hydrochloride Used as a Fortificant in Asian Wheat Flour Noodles. Food Chem. 2012, 130, 841–846. [Google Scholar] [CrossRef]
- Dwivedi, B.K.; Arnold, R.G. Hydrogen Sulfi de from Heat Degradation of Thiamine. J. Agric. Food Chem. 1971, 19, 923–926. [Google Scholar]
- Lukienko, P.I.; Melnichenko, N.G.; Zverinskii, I.V.; Zabrodskaya, S. V Antioxidant Properties of Thiamine. Bull. Exp. Biol. Med. 2000, 130, 874–876. [Google Scholar] [CrossRef]
- Jin-Wei, L.; Shao-Dong, D.; Xiao-Lin, D. Comparison of Antioxidant Capacities of Extracts from Five Cultivars of Chinese Jujube. Process Biochem. 2005, 40, 3607–3613. [Google Scholar] [CrossRef]
- Gliszczynska-Swiglo, A. Antioxidant Activity of Water Soluble Vitamins in the TEAC (Trolox Equivalent Antioxidant Capacity) and the FRAP (Ferric Reducing Antioxidant Power) Assays. Food Chem. 2006, 96, 131–136. [Google Scholar] [CrossRef]
- Tang, S.Z.; Kerry, J.P.; Sheehan, D.; Buckley, D.J. Antioxidative Mechanisms of Tea Catechins in Chicken Meat Systems. Food Chem. 2002, 76, 45–51. [Google Scholar] [CrossRef]
- Gliszczynska-Swiglo, A.; Szymusiak, H. Interaction of Food Flavonoids with Vitamins. Myricetin and Vitamin B1 as Model Compounds. Publ. Kyiv Natl. Univ. Trade Econ. Kiev Ukr. 2006, 2, 774–778. [Google Scholar]




| Concentration [mg/100 g] EGCG/ | Correlation Coefficient of Wo and Content of Thiamine Hydrochloride | ||||
|---|---|---|---|---|---|
| EGCG/Caffeine | Thiamine Hydrochloride | Thiamine Hydrochloride | Thiamine Pyrophosphate | ||
| EGCG | Caffeine | EGCG | Caffeine | ||
| 0.5 mg | 0–0.06 | 0.178 NS | 0.185 NS | 0.111 NS | 0.121 NS |
| 0.08–1.0 | 0.793 *** | 0.889 **** | 0.721 *** | 0.865 *** | |
| 1.0–20 | −0.984 **** | −0.974 **** | −0.955 **** | −0.974 **** | |
| 1.0 mg | 0–0.06 | −0.162 NS | 0.178 NS | −0.155 NS | 0.098 NS |
| 0.08–1.0 | 0.771 *** | 0.540 ** | 0.724 *** | 0.540 ** | |
| 1.0–20 | −0.901 **** | −0.887 *** | −0.905 **** | −0.965 **** | |
| 2.0 mg | 0–0.06 | −0.155 NS | 0.171 NS | −0.121 NS | 0.112 NS |
| 0.08–1.0 | 0.775 *** | 0.560 ** | 0.722 *** | 0.560 ** | |
| 1.0–20 | −0.943 **** | −0.849 *** | −0.901 **** | −0.849 *** | |
| 3.0 mg | 0–0.06 | 0.126 NS | −0.013 NS | 0.115 NS | −0.018 NS |
| 0.08–1.0 | 0.677 ** | −0.517 *** | 0.621 *** | −0.514 *** | |
| 1.0–20 | −0.917 **** | −0.718 *** | −0.900 **** | −0.721 *** | |
| 4.0 mg | 0–0.06 | −0.170 NS | −0.013 NS | −0.056 NS | −0.021 NS |
| 0.08–1.0 | 0.647 ** | −0.106 NS | 0.633 ** | −0.111 NS | |
| 1.0–20 | −0.851 *** | −0.612 ** | −0.832 *** | −0.550 ** | |
| 5.0 mg | 0–0.06 | −0.200 * | −0.032 NS | −0.130 NS | −0.032 NS |
| 0.08–1.0 | −0.319 * | 0.141 NS | −0.220 * | 0.141 NS | |
| 1.0–20 | −0.726 *** | −0.443 ** | −0.426 ** | −0.463 ** | |
| 6.0 mg | 0–0.06 | 0.121 NS | 0.108 NS | 0.061 NS | 0.055 NS |
| 0.08–1.0 | 0.348 * | −0.111 NS | 0.167 NS | −0.111 NS | |
| 1.0–20 | −0.638 ** | −0.349 * | −0.408 ** | −0.249 * | |
| Without additions | 0–0.06 | 0.158 * | 0.063 NS | ||
| 0.08–1.0 | 0.724 *** | 0.695 ** | |||
| 1.0–20 | −0.881 *** | −0.851 *** | |||
| Concentration [mg/100 g] | Dynamic of Change in Thiamine Content Over 31 Days | ||||||||||
|---|---|---|---|---|---|---|---|---|---|---|---|
| EGCG | Caffeine | ||||||||||
| EGCG/Caffeine | Thiamine | T1/2 [Days] | R2 | RMSE | Y = ax + b−1 | T1/2 [days] | R2 | RMSE | Y = ax + b−1 | ||
| Coeff. a 24 h−1 | b | Coeff. a 24 h−1 | b | ||||||||
| 0.5 | 0.01 | 79.65 | 0.99 | 0.00005 | −(4.1 ± 0.01) × 10−5 | 1.01 ± 0.001 | 71.18 | 0.99 | 0.00007 | −(8.2 ± 0.00) × 10−5 | 1.01 ± 0.000 |
| 0.06 | 79.82 | 0.97 | 0.00026 | −(2.4 ± 0.04) × 10−4 | 1.06 ± 0.000 | 70.75 | 0.99 | 0.06255 | −(3.7 ± 0.02) × 10−4 | 1.06 ± 0.000 | |
| 0.1 | 80.92 | 0.97 | 0.02738 | −(1.3 ± 0.03) × 10−4 | 1.12 ± 0.001 | 69.53 | 0.98 | 0.00081 | −(6.2 ± 0.02) × 10−4 | 1.11 ± 0.000 | |
| 0.2 | 80.14 | 0.97 | 0.00088 | −(8.1 ± 0.00) × 10−4 | 1.22 ± 0.002 | 71.74 | 0.98 | 0.00140 | −(1.1 ± 0.02) × 10−3 | 1.23 ± 0.000 | |
| 1.0 | 82.86 | 0.97 | 0.07186 | −(3.6 ± 0.01) × 10−3 | 2.84 ± 0.001 | 75.23 | 0.98 | 0.10058 | −(5.0 ± 0.02) × 10−3 | 2.75 ± 0.000 | |
| 8.0 | 77.83 | 0.97 | 0.02467 | −(3.5 ± 0.05) × 10−2 | 2.99 ± 0.003 | 67.48 | 0.98 | 0.06913 | −(5.3 ± 0.01) × 10−2 | 3.12 ± 0.003 | |
| 16.0 | 74.88 | 0.96 | 0.20155 | −(8.4 ± 0.04) × 10−2 | 1.14 ± 0.007 | 63.34 | 0.98 | 0.14957 | −(1.2 ± 0.03) × 10−1 | 9.95 ± 0.006 | |
| 20.0 | 67.78 | 0.99 | 0.15864 | −(1.3 ± 0.01) × 10−1 | 4.77 ± 0.008 | 63.81 | 0.99 | 0.15143 | −(1.4 ± 0.01) × 10−1 | 4.47 ± 0.008 | |
| 1.00 | 0.01 | 83.52 | 0.99 | 0.00006 | −(4.9 ± 0.00) × 10−5 | 1.01 ± 0.000 | 70.17 | 0.99 | 0.00008 | −(7.8 ± 0.00) × 10−5 | 1.01 ± 0.000 |
| 0.06 | 80.38 | 0.97 | 0.00035 | −(2.3 ± 0.07) × 10−4 | 1.06 ± 0.000 | 72.42 | 0.98 | 0.00046 | −(3.4 ± 0.01) × 10−4 | 1.06 ± 0.000 | |
| 0.1 | 80.89 | 0.97 | 0.00032 | −(4.2 ± 0.01) × 10−4 | 1.10 ± 0.000 | 70.56 | 0.99 | 0.00383 | −(5.8 ± 0.06) × 10−4 | 1.10 ± 0.000 | |
| 0.2 | 82.37 | 0.97 | 0.00055 | −(7.5 ± 0.05) × 10−4 | 1.25 ± 0.001 | 71.90 | 0.98 | 0.00149 | −(1.2 ± 0.02) × 10−3 | 1.25 ± 0.000 | |
| 1.0 | 82.98 | 0.97 | 0.08374 | −(4.2 ± 0.07) × 10−3 | 2.82 ± 0.000 | 75.03 | 0.98 | 0.10009 | −(5.0 ± 0.03) × 10−3 | 2.74 ± 0.000 | |
| 8.0 | 78.85 | 0.97 | 0.02443 | −(3.5 ± 0.00) × 10−2 | 2.98 ± 0.003 | 70.64 | 0.98 | 0.06017 | −(4.8 ± 0.04) × 10−2 | 3.30 ± 0.003 | |
| 16.0 | 69.75 | 0.96 | 0.17299 | −(9.1 ± 0.07) × 10−2 | 8.98 ± 0.006 | 63.68 | 0.97 | 0.18432 | −(1.1 ± 0.03) × 10−1 | 7.48 ± 0.006 | |
| 20.0 | 74.89 | 0.99 | 0.15937 | −(1.3 ± 0.07) × 10−1 | 5.94 ± 0.008 | 63.16 | 0.96 | 0.29129 | −(1.4 ± 0.04) × 10−1 | 4.23 ± 0.008 | |
| 3.00 | 0.01 | 83.52 | 0.98 | 0.00003 | −(4.3 ± 0.00) × 10−5 | 1.01 ± 0.001 | 69.78 | 0.97 | 0.00011 | −(6.5 ± 0.00) × 10−5 | 1.01 ± 0.000 |
| 0.06 | 80.38 | 0.99 | 0.00046 | −(2.4 ± 0.01) × 10−4 | 1.06 ± 0.000 | 69.86 | 0.98 | 0.00056 | −(3.7 ± 0.02) × 10−4 | 1.06 ± 0.000 | |
| 0.1 | 80.89 | 0.98 | 0.08285 | −(3.8 ± 0.05) × 10−4 | 1.10 ± 0.000 | 69.80 | 0.98 | 0.00085 | −(6.6 ± 0.04) × 10−4 | 1.12 ± 0.000 | |
| 0.2 | 82.37 | 0.98 | 0.00074 | −(7.8 ± 0.07) × 10−4 | 1.25 ± 0.001 | 70.59 | 0.97 | 0.00234 | −(1.3 ± 0.04) × 10−4 | 1.25 ± 0.000 | |
| 1.0 | 82.98 | 0.99 | 0.06827 | −(3.5 ± 0.06) × 10−3 | 2.82 ± 0.000 | 72.51 | 0.97 | 0.11669 | −(5.9 ± 0.03) × 10−3 | 2.99 ± 0.000 | |
| 8.0 | 78.85 | 0.96 | 0.03103 | −(3.3 ± 0.02) × 10−2 | 2.98 ± 0.003 | 72.35 | 0.97 | 0.07762 | −(4.3 ± 0.03) × 10−2 | 2.81 ± 0.003 | |
| 16.0 | 69.75 | 0.96 | 0.18356 | −(9.6 ± 0.01) × 10−2 | 8.98 ± 0.006 | 70.40 | 0.99 | 0.08552 | −(9.5 ± 0.03) × 10−2 | 8.87 ± 0.006 | |
| 20.0 | 74.89 | 0.98 | 0.16432 | −(1.0 ± 0.04) × 10−1 | 5.94 ± 0.008 | 63.93 | 0.98 | 0.19509 | −(1.4 ± 0.01) × 10−1 | 4.79 ± 0.008 | |
| 5.00 | 0.01 | 72.49 | 0.98 | 0.00011 | −(8.2 ± 0.02) × 10−5 | 1.02 ± 0.000 | 71.55 | 0.99 | 0.00013 | −(1.2 ± 0.00) × 10−4 | 1.02 ± 0.000 |
| 0.06 | 72.79 | 0.99 | 0.00040 | −(3.3 ± 0.03) × 10−4 | 1.06 ± 0.000 | 71.87 | 0.98 | 0.00064 | −(3.8 ± 0.02) × 10−4 | 1.06 ± 0.000 | |
| 0.1 | 72.87 | 0.98 | 0.00076 | (5.9 ± 0.01) × 10−4 | 1.12 ± 0.000 | 71.83 | 0.98 | 0.00105 | −(8.0 ± 0.02) × 10−4 | 1.13 ± 0.000 | |
| 0.2 | 73.60 | 0.98 | 0.00149 | −(1.1 ± 0.00) × 10−4 | 1.25 ± 0.001 | 73.58 | 0.99 | 0.00202 | −(1.4 ± 0.02) × 10−3 | 1.24 ± 0.000 | |
| 1.0 | 74.94 | 0.99 | 0.10646 | −(5.4 ± 0.04) × 10−3 | 2.99 ± 0.000 | 72.18 | 0.98 | 0.13223 | −(6.7 ± 0.02) × 10−3 | 3.00 ± 0.000 | |
| 8.0 | 75.96 | 0.96 | 0.07356 | −(3.8 ± 0.09) × 10−2 | 2.86 ± 0.003 | 69.13 | 0.98 | 0.04546 | −(5.5 ± 0.01) × 10−2 | 3.01 ± 0.003 | |
| 16.0 | 69.70 | 0.98 | 0.56298 | −(3.6 ± 0.05) × 10−2 | 3.17 ± 0.007 | 68.15 | 0.98 | 0.16410 | −(1.1 ± 0.03) × 10−1 | 8.67 ± 0.006 | |
| 20.0 | 69.59 | 0.98 | 0.15284 | −(1.2 ± 0.01) × 10−1 | 4.48 ± 0.008 | 64.05 | 0.98 | 0.19239 | −(1.5 ± 0.01) × 10−1 | 4.55 ± 0.008 | |
| 6.00 | 0.01 | 71.49 | 0.97 | 0.00015 | −(9.5 ± 0.05) × 10−5 | 1.02 ± 0.001 | 63.52 | 0.99 | 0.00013 | −(1.2 ± 0.03) × 10−4 | 1.02 ± 0.000 |
| 0.06 | 72.00 | 0.99 | 0.00030 | −(3.3 ± 0.03) × 10−4 | 1.06 ± 0.001 | 68.94 | 0.97 | 0.00064 | −(3.8 ± 0.01) × 10−4 | 1.06 ± 0.000 | |
| 0.1 | 72.62 | 0.98 | 0.00082 | (6.4 ± 0.05) × 10−4 | 1.13 ± 0.001 | 66.42 | 0.98 | 0.00105 | −(8.0 ± 0.01) × 10−4 | 1.13 ± 0.000 | |
| 0.2 | 72.01 | 0.98 | 0.00155 | −(1.2 ± 0.03) × 10−4 | 1.25 ± 0.001 | 67.44 | 0.98 | 0.00202 | −(1.4 ± 0.01) × 10−3 | 1.24 ± 0.000 | |
| 1.0 | 73.75 | 0.99 | 0.10723 | −(5.4 ± 0.04) × 10−3 | 2.83 ± 0.001 | 69.37 | 0.98 | 0.13223 | −(6.7 ± 0.05) × 10−3 | 3.00 ± 0.000 | |
| 8.0 | 78.63 | 0.99 | 0.03904 | −(3.4 ± 0.03) × 10−2 | 2.97 ± 0.003 | 65.57 | 0.99 | 0.04546 | −(5.5 ± 0.01) × 10−2 | 3.01 ± 0.003 | |
| 16.0 | 73.21 | 0.98 | 0.12157 | −(8.4 ± 0.05) × 10−2 | 7.91 ± 0.006 | 62.94 | 0.98 | 0.16410 | −(1.2 ± 0.06) × 10−1 | 8.67 ± 0.006 | |
| 20.0 | 70.83 | 0.97 | 0.18008 | −(1.1 ± 0.04) × 10−1 | 4.43 ± 0.008 | 61.17 | 0.98 | 0.19239 | −(1.5 ± 0.04) × 10−1 | 4.55 ± 0.008 | |
| Without additions | 0.01 | 68.16 | 0.97 | 0.00011 | −(6.0 ± 0.00) × 10−5 | 1.01 ± 0.000 | |||||
| 0.06 | 68.53 | 0.97 | 0.00063 | −(3.4 ± 0.01) × 10−4 | 1.06 ± 0.000 | ||||||
| 0.1 | 69.66 | 0.97 | 0.00092 | (5.2 ± 0.03) × 10−4 | 1.09 ± 0.001 | ||||||
| 0.2 | 70.62 | 0.97 | 0.00201 | −(8.1 ± 0.03) × 10−4 | 1.22 ± 0.000 | ||||||
| 1.0 | 67.78 | 0.97 | 0.11460 | −(1.1 ± 0.02) × 10−3 | 2.77 ± 0.000 | ||||||
| 8.0 | 65.00 | 0.97 | 0.08939 | −(6.3 ± 0.03) × 10−2 | 2.70 ± 0.003 | ||||||
| 16.0 | 61.82 | 0.96 | 0.23382 | −(1.1 ± 0.03) × 10−2 | 5.45 ± 0.006 | ||||||
| 20.0 | 57.64 | 0.99 | 0.19417 | −(1.6 ± 0.02) × 10−1 | 3.40 ± 0.008 | ||||||
| Concentration [mg/100g] | Dynamic of Change in Thiamine Content Over 31 Days | ||||||||||
|---|---|---|---|---|---|---|---|---|---|---|---|
| EGCG | Caffeine | ||||||||||
| EGCG/Caffeine | Thiamine | T1/2 [Days] | R2 | RMSE | Y = ax + b−1 | T1/2 [Days] | R2 | RMSE | Y = ax + b−1 | ||
| Coeff. A 24 h−1 | b | Coeff. a 24 h−1 | b | ||||||||
| 0.5 | 0.01 | 78.91 | 0.99 | 0.00004 | −(4.1 ± 0.04) × 10−5 | 1.01 ± 0.000 | 71.43 | 0.99 | 0.00006 | −(8.0 ± 0.03) × 10−5 | 1.01 ± 0.000 |
| 0.06 | 78.83 | 0.97 | 0.00014 | −(2.4 ± 0.03) × 10−4 | 1.06 ± 0.000 | 70.32 | 0.98 | 0.06249 | −(3.7 ± 0.00) × 10−4 | 1.06 ± 0.000 | |
| 0.1 | 80.27 | 0.97 | 0.00003 | −(4.6 ± 0.02) × 10−5 | 1.01 ± 0.000 | 68.28 | 0.99 | 0.00055 | −(6.5 ± 0.05) × 10−4 | 1.11 ± 0.000 | |
| 0.2 | 79.62 | 0.97 | 0.00055 | −(7.8 ± 0.07) × 10−4 | 1.22 ± 0.000 | 69.66 | 0.99 | 0.00095 | −(1.3 ± 0.05) × 10−3 | 1.23 ± 0.000 | |
| 1.0 | 82.14 | 0.97 | 0.07093 | −(3.6 ± 0.01) × 10−3 | 2.81 ± 0.000 | 73.85 | 0.98 | 0.10240 | −(5.2 ± 0.04) × 10−3 | 2.74 ± 0.000 | |
| 8.0 | 76.39 | 0.97 | 0.03813 | −(3.7 ± 0.01) × 10−2 | 2.90 ± 0.003 | 66.39 | 0.99 | 0.04389 | −(5.5 ± 0.04) × 10−2 | 3.16 ± 0.003 | |
| 16.0 | 75.46 | 0.96 | 0.05601 | −(7.7 ± 0.08) × 10−2 | 8.46 ± 0.006 | 61.76 | 0.99 | 0.09857 | −(1.2 ± 0.03) × 10−1 | 9.27 ± 0.006 | |
| 20.0 | 65.38 | 0.99 | 0.15683 | −(1.4 ± 0.00) × 10−1 | 5.42 ± 0.008 | 59.36 | 1.00 | 0.10918 | −(1.6 ± 0.01) × 10−1 | 4.70 ± 0.008 | |
| 1.00 | 0.01 | 79.94 | 0.99 | 0.00006 | −(5.1 ± 0.01) × 10−5 | 1.01 ± 0.000 | 69.34 | 0.99 | 0.00007 | −(8.2 ± 0.05) × 10−5 | 1.01 ± 0.000 |
| 0.06 | 80.18 | 0.97 | 0.00035 | −(2.3 ± 0.01) × 10−4 | 1.06 ± 0.000 | 72.11 | 0.98 | 0.00047 | −(3.5 ± 0.03) × 10−4 | 1.06 ± 0.000 | |
| 0.1 | 79.85 | 0.97 | 0.00043 | −(4.3 ± 0.04) × 10−4 | 1.12 ± 0.000 | 69.76 | 0.99 | 0.00281 | −(6.0 ± 0.02) × 10−4 | 1.10 ± 0.000 | |
| 0.2 | 80.14 | 0.97 | 0.00104 | −(7.1 ± 0.01) × 10−4 | 1.22 ± 0.000 | 70.47 | 0.99 | 0.00140 | −(1.3 ± 0.01) × 10−3 | 1.25 ± 0.000 | |
| 1.0 | 78.57 | 0.97 | 0.08723 | −(4.5 ± 0.02) × 10−3 | 2.82 ± 0.000 | 73.73 | 0.99 | 0.10627 | −(5.3 ± 0.02) × 10−3 | 2.75 ± 0.000 | |
| 8.0 | 76.43 | 0.97 | 0.03620 | −(3.7 ± 0.00) × 10−2 | 2.90 ± 0.003 | 70.34 | 0.98 | 0.05975 | −(4.8 ± 0.01) × 10−2 | 3.20 ± 0.003 | |
| 16.0 | 73.21 | 0.96 | 0.12450 | −(8.6 ± 0.04) × 10−2 | 9.07 ± 0.006 | 60.98 | 0.99 | 0.14877 | −(1.2 ± 0.02) × 10−1 | 8.23 ± 0.006 | |
| 20.0 | 65.85 | 0.99 | 0.17048 | −(1.3 ± 0.04) × 10−1 | 4.45 ± 0.008 | 59.90 | 0.98 | 0.19947 | −(1.6 ± 0.00) × 10−1 | 4.94 ± 0.008 | |
| 3.00 | 0.01 | 81.08 | 0.98 | 0.00002 | −(4.6 ± 0.05) × 10−5 | 1.01 ± 0.000 | 66.96 | 0.99 | 0.00008 | −(7.2 ± 0.05) × 10−5 | 1.01 ± 0.000 |
| 0.06 | 77.23 | 0.97 | 0.00017 | −(2.8 ± 0.01) × 10−4 | 1.06 ± 0.000 | 67.09 | 0.99 | 0.00041 | −(4.1 ± 0.01) × 10−4 | 1.06 ± 0.000 | |
| 0.1 | 78.00 | 0.97 | 0.00043 | −(4.3 ± 0.00) × 10−4 | 1.10 ± 0.000 | 67.52 | 1.00 | 0.00044 | −(7.2 ± 0.04) × 10−4 | 1.12 ± 0.000 | |
| 0.2 | 79.71 | 0.97 | 0.00070 | −(8.8 ± 0.04) × 10−4 | 1.25 ± 0.000 | 67.90 | 0.99 | 0.00154 | −(1.4 ± 0.00) × 10−3 | 1.25 ± 0.000 | |
| 1.0 | 79.80 | 0.97 | 0.08040 | −(4.1 ± 0.04) × 10−3 | 2.81 ± 0.000 | 69.48 | 0.99 | 0.13142 | −(6.7 ± 0.05) × 10−3 | 2.99 ± 0.000 | |
| 8.0 | 74.90 | 0.97 | 0.06003 | −(3.9 ± 0.01) × 10−2 | 2.91 ± 0.003 | 69.69 | 0.99 | 0.05405 | −(4.8 ± 0.01) × 10−2 | 2.90 ± 0.003 | |
| 16.0 | 72.40 | 0.96 | 0.13497 | −(8.6 ± 0.04) × 10−2 | 8.47 ± 0.006 | 68.19 | 1.00 | 0.06643 | −(1.0 ± 0.01) × 10−1 | 8.57 ± 0.006 | |
| 20.0 | 72.22 | 0.99 | 0.15062 | −(1.1 ± 0.04) × 10−1 | 4.13 ± 0.008 | 61.38 | 0.99 | 0.11964 | −(1.5 ± 0.02) × 10−1 | 4.99 ± 0.008 | |
| 5.00 | 0.01 | 69.98 | 0.99 | 0.00008 | −(8.9 ± 0.00) × 10−5 | 1.02 ± 0.000 | 70.17 | 0.99 | 0.00011 | −(1.0 ± 0.00) × 10−4 | 1.02 ± 0.000 |
| 0.06 | 70.35 | 0.97 | 0.00031 | −(3.6 ± 0.03) × 10−4 | 1.06 ± 0.000 | 70.18 | 0.99 | 0.00044 | −(3.7 ± 0.00) × 10−4 | 1.06 ± 0.000 | |
| 0.1 | 70.38 | 0.97 | 0.00057 | −(6.4 ± 0.04) × 10−4 | 1.12 ± 0.000 | 69.71 | 0.99 | 0.00068 | −(7.3 ± 0.04) × 10−4 | 1.13 ± 0.000 | |
| 0.2 | 71.17 | 0.97 | 0.00114 | −(1.2 ± 0.03) × 10−3 | 1.25 ± 0.000 | 71.30 | 0.99 | 0.00127 | −(1.2 ± 0.03) × 10−3 | 1.25 ± 0.000 | |
| 1.0 | 72.59 | 0.97 | 0.11652 | −(5.9 ± 0.02) × 10−3 | 2.99 ± 0.000 | 69.15 | 1.00 | 0.13277 | −(6.7 ± 0.03) × 10−3 | 3.00 ± 0.000 | |
| 8.0 | 72.98 | 0.97 | 0.04316 | −(4.3 ± 0.01) × 10−2 | 2.89 ± 0.003 | 66.62 | 1.00 | 0.03185 | −(5.4 ± 0.02) × 10−2 | 3.10 ± 0.003 | |
| 16.0 | 67.19 | 0.96 | 0.12365 | −(1.1 ± 0.04) × 10−1 | 8.65 ± 0.006 | 65.18 | 1.00 | 0.07008 | −(1.1 ± 0.06) × 10−1 | 8.76 ± 0.006 | |
| 20.0 | 66.68 | 0.99 | 0.10806 | −(1.3 ± 0.02) × 10−1 | 4.44 ± 0.008 | 60.98 | 1.00 | 0.08624 | −(1.6 ± 0.05) × 10−1 | 5.00 ± 0.008 | |
| 6.00 | 0.01 | 68.60 | 0.99 | 0.00012 | −(1.0 ± 0.02) × 10−4 | 1.02 ± 0.000 | 61.69 | 0.99 | 0.00011 | −(1.3 ± 0.00) × 10−4 | 1.02 ± 0.000 |
| 0.06 | 69.52 | 0.97 | 0.00030 | −(3.6 ± 0.00) × 10−4 | 1.06 ± 0.000 | 67.69 | 0.97 | 0.00064 | −(3.9 ± 0.04) × 10−4 | 1.06 ± 0.000 | |
| 0.1 | 70.16 | 0.97 | 0.00072 | −(7.0 ± 0.01) × 10−4 | 1.13 ± 0.000 | 64.27 | 1.00 | 0.00050 | −(8.7 ± 0.04) × 10−4 | 1.13 ± 0.000 | |
| 0.2 | 69.66 | 0.97 | 0.00111 | −(1.3 ± 0.03) × 10−3 | 1.25 ± 0.000 | 65.31 | 0.99 | 0.00125 | −(1.5 ± 0.03) × 10−3 | 1.25 ± 0.000 | |
| 1.0 | 71.61 | 0.97 | 0.11489 | −(5.8 ± 0.02) × 10−3 | 2.82 ± 0.000 | 67.38 | 0.99 | 0.14344 | −(7.2 ± 0.03) × 10−3 | 3.01 ± 0.000 | |
| 8.0 | 76.49 | 0.97 | 0.04143 | −(3.7 ± 0.02) × 10−2 | 2.91 ± 0.003 | 63.96 | 1.00 | 0.03639 | −(5.8 ± 0.00) × 10−2 | 3.08 ± 0.003 | |
| 16.0 | 70.98 | 0.96 | 0.14023 | −(9.0 ± 0.01) × 10−2 | 7.68 ± 0.006 | 60.69 | 0.99 | 0.10329 | −(1.2 ± 0.00) × 10−1 | 9.54 ± 0.006 | |
| 20.0 | 67.68 | 0.99 | 0.14243 | −(1.3 ± 0.02) × 10−1 | 4.52 ± 0.008 | 58.86 | 1.00 | 0.11489 | −(1.7 ± 0.04) × 10−1 | 5.13 ± 0.008 | |
| Without additions | 0.01 | 63.89 | 0.97 | 0.00028 | −(6.5 ± 0.01) × 10−5 | 1.01 ± 0.000 | |||||
| 0.06 | 63.98 | 0.96 | 0.00077 | −(3.7 ± 0.04) × 10−4 | 1.06 ± 0.000 | ||||||
| 0.1 | 65.75 | 0.98 | 0.00082 | −(6.4 ± 0.03) × 10−4 | 1.09 ± 0.000 | ||||||
| 0.2 | 66.77 | 0.97 | 0.00190 | −(1.3 ± 0.04) × 10−3 | 1.22 ± 0.000 | ||||||
| 1.0 | 63.56 | 0.96 | 0.13237 | −(6.5 ± 0.04) × 10−3 | 2.79 ± 0.000 | ||||||
| 8.0 | 60.88 | 0.96 | 0.11588 | −(6.3 ± 0.02) × 10−2 | 2.83 ± 0.003 | ||||||
| 16.0 | 52.14 | 0.96 | 0.28795 | −(1.3 ± 0.02) × 10−1 | 6.53 ± 0.006 | ||||||
| 20.0 | 53.76 | 0.97 | 0.27690 | −(1.8 ± 0.04) × 10−1 | 3.57 ± 0.008 | ||||||
| Concentration of EGCG or Caffeine [mg/100 g] | EGCG or Caffeine | Correlation Coefficients between Thiamine Hydrochloride Stability and Value of Antioxidant Activity | ||
|---|---|---|---|---|
| Peroxide Value | Anisidine Value | Protection Factor | ||
| Thiamine Hydrochloride | ||||
| Without Additions | −0.930 **** | −0.970 **** | 0.929 **** | |
| 0.5 mg | EGCG | −0.901 **** | −0.947 **** | 0.945 **** |
| caffeine | −0.922 **** | −0.939 **** | 0.886 *** | |
| 1.0 mg | EGCG | −0.908 **** | −0.949 **** | 0.931 **** |
| caffeine | −0.884 *** | −0.886 *** | 0.904 **** | |
| 2.0 mg | EGCG | −0.949 **** | −0.984 **** | 0.989 **** |
| caffeine | −0.761 *** | −0.750 *** | 0.778 *** | |
| 3.0 mg | EGCG | −0.947 **** | −0.950 **** | 0.978 **** |
| caffeine | −0.431 ** | −0.397 * | 0.574 ** | |
| 4.0 mg | EGCG | −0.908 **** | −0.927 **** | 0.930 **** |
| caffeine | −0.278 * | −0.245 * | 0.355 * | |
| 5.0 mg | EGCG | −0.880 *** | −0.890 *** | 0,892 *** |
| caffeine | −0.261 * | −0.231 * | 0.360 ** | |
| 6.0 mg | EGCG | −0.780 *** | −0.801 *** | 0,804 *** |
| caffeine | −0.440 ** | −0.423 ** | 0.274 * | |
| Thiamine Pyrophosphate | ||||
| Without Additions | −0.940 **** | −0.992 **** | 0.991 **** | |
| 0.5 mg | EGCG | −0.981 **** | −0.947 **** | 1.000 **** |
| caffeine | −0.922 **** | −0.939 **** | 0.936 **** | |
| 1.0 mg | EGCG | −0.998 **** | −0.990 **** | 1.000 **** |
| caffeine | −0.884 *** | −0.886 *** | 0.904 **** | |
| 2.0 mg | EGCG | −0.999 **** | −0.984 **** | 0.999 **** |
| caffeine | −0.761 *** | −0.750 *** | 0.778 *** | |
| 3.0 mg | EGCG | −0.998 **** | −0.990 **** | 0.998 **** |
| caffeine | −0.431 ** | −0.397 * | 0.574 ** | |
| 4.0 mg | EGCG | −0.998 **** | −0.987 **** | 0.998 **** |
| caffeine | −0.278 * | −0.245 * | 0.355 * | |
| 5.0 mg | EGCG | −0.858 *** | −0.860 *** | 0.861 *** |
| caffeine | −0.261 * | −0.231 * | 0.360 ** | |
| 6.0 mg | EGCG | −0.812 **** | −0.803 *** | 0.808 **** |
| caffeine | −0.400 ** | −0.403 ** | 0.278 * | |
Publisher’s Note: MDPI stays neutral with regard to jurisdictional claims in published maps and institutional affiliations. |
© 2021 by the authors. Licensee MDPI, Basel, Switzerland. This article is an open access article distributed under the terms and conditions of the Creative Commons Attribution (CC BY) license (https://creativecommons.org/licenses/by/4.0/).
Share and Cite
Piechocka, J.; Szymandera-Buszka, K. Thiamine in Lipid Systems vs. the Antioxidant Activity of Epigallocatechin Gallate and Caffeine. Sustainability 2021, 13, 4644. https://doi.org/10.3390/su13094644
Piechocka J, Szymandera-Buszka K. Thiamine in Lipid Systems vs. the Antioxidant Activity of Epigallocatechin Gallate and Caffeine. Sustainability. 2021; 13(9):4644. https://doi.org/10.3390/su13094644
Chicago/Turabian StylePiechocka, Justyna, and Krystyna Szymandera-Buszka. 2021. "Thiamine in Lipid Systems vs. the Antioxidant Activity of Epigallocatechin Gallate and Caffeine" Sustainability 13, no. 9: 4644. https://doi.org/10.3390/su13094644
APA StylePiechocka, J., & Szymandera-Buszka, K. (2021). Thiamine in Lipid Systems vs. the Antioxidant Activity of Epigallocatechin Gallate and Caffeine. Sustainability, 13(9), 4644. https://doi.org/10.3390/su13094644

