Aerodynamic Characteristics of Airfoil and Vertical Axis Wind Turbine Employed with Gurney Flaps
Abstract
1. Introduction
2. Flow Solver FLOWer
3. Static Airfoil Case
3.1. Mesh Configurations
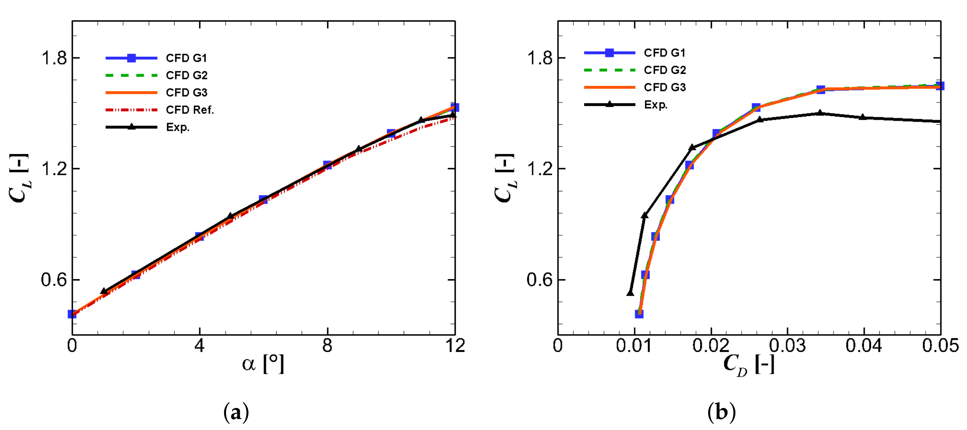
3.2. Influence of the Grid Refinement
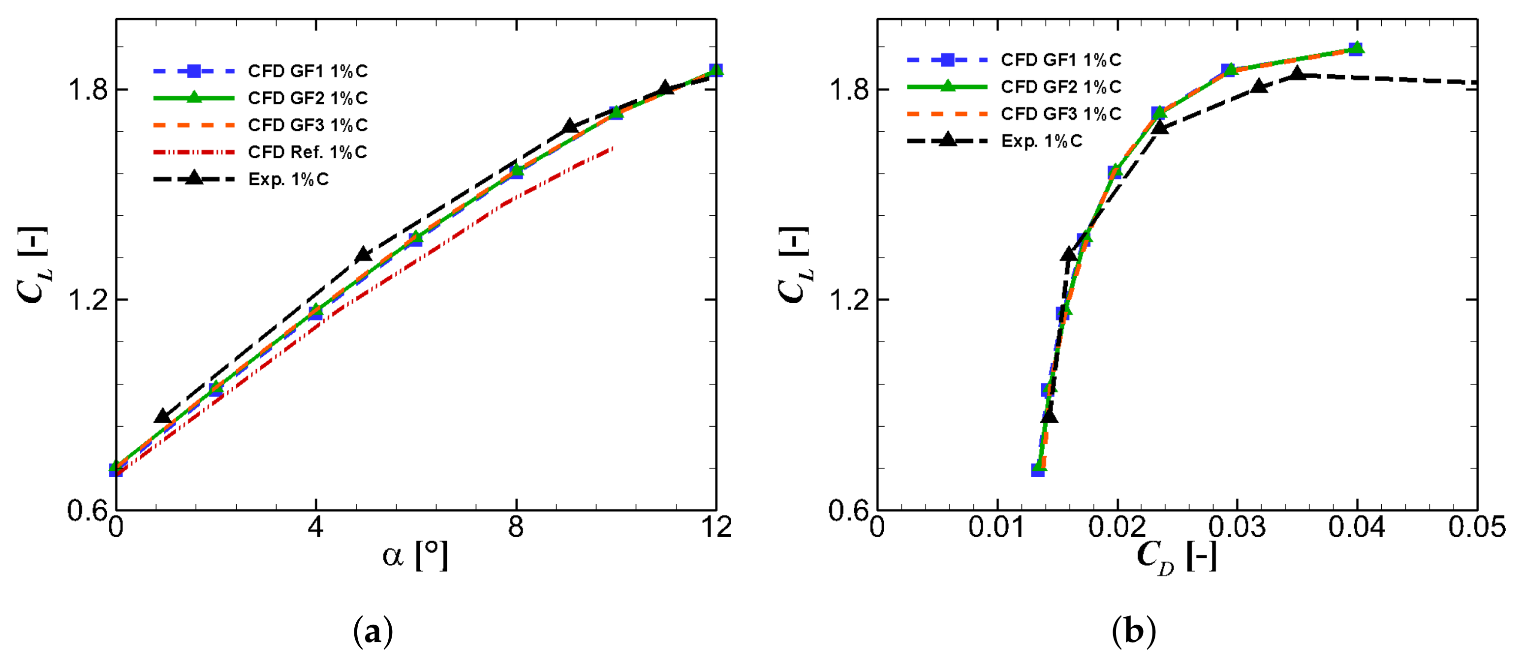
3.3. Influence of the Gurney Flap Grid Refinement
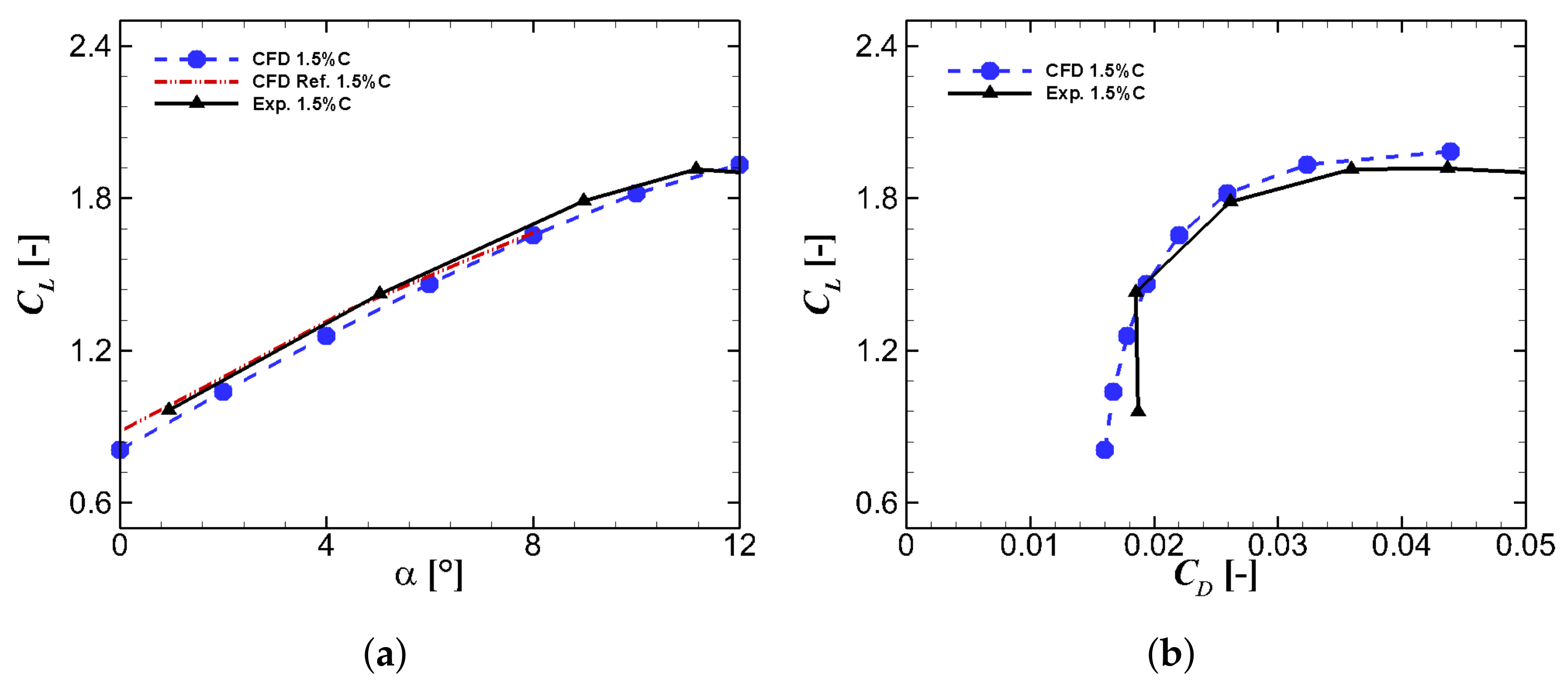
3.4. Comparison with Experimental Data
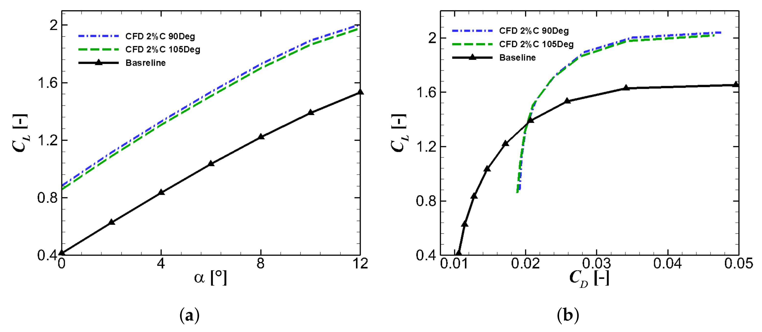
3.5. Influence of the Gurney Flap Height
3.6. Influence of the Gurney Flap Angle
4. Rotating VAWT Case
4.1. The Studied Turbine and Operating Conditions
4.2. Mesh Configuration
4.3. Comparison with Experimental Data
4.4. Performance of VAWT Employed with Gurney Flap
4.4.1. Gurney Flap Height and Angle Effects
4.4.2. Rotor Power and Optimal Operation
5. Conclusions
- Increasing the Gurney flap height results in increased lift and drag coefficients for the static airfoil case. However, a height of generates a very small increase in drag and provides the highest lift-to-drag ratio compared to the clean airfoil.
- The lift improvement is greater for the 90 configuration than the 105 configuration.
- For the rotating VAWT case, the load fluctuations decrease with increasing flap angle at a small value of the flap height. By increasing the flap height, the fluctuations are suppressed and, at the same time, the difference between the flap angles 90 and 105 becomes insignificant. This shows that it is beneficial to use the longer flap than the shorter flap version in contrast to the observations made for the static airfoil case, especially for large solidity turbines.
- Mounting a Gurney flap at the trailing edge of the blade increases the power production of the VAWT remarkably for tip speed ratios between .
- At very low tip speed ratios, the best performance is obtained for the Gurney flap height of .
- Within the operating range of the turbine at , further increasing the Gurney flap height increases the power coefficient of the VAWT notably to more than 0.3. The optimal value is obtained for tip speed ratio for Gurney flap height .
- At large tip speed ratios, the usage of a Gurney flap is not beneficial.
- The present work extends the existing literature on VAWTs with Gurney flaps especially for a two-bladed rotor having high solidity. The results show that, for this type of turbine, the Gurney flap height can be increased to a larger value, extending the limit of around 2% for the lower solidity turbine.
Author Contributions
Funding
Data Availability Statement
Acknowledgments
Conflicts of Interest
Nomenclature
| c | blade chord, (m) |
| lift coefficient, (−) | |
| drag coefficient, (−) | |
| power coefficient, (−) | |
| sectional tangential force, (N/m) | |
| sectional normal force, (N/m) | |
| N | number of blade, (−) |
| R | radius of turbine, (m) |
| rotor power, (Watt) | |
| free stream wind velocity in axial direction, (m/s) | |
| Cartesian coordinate, (m) | |
| axial and lateral velocity components, (m/s) | |
| angle of attack, () | |
| pitch angle, () | |
| rotational speed, (rad/s)] | |
| vorticity, (1/s) | |
| tip speed ratio, (−) | |
| rotor solidity, (−) |
References
- Dincer, I. Environmental impacts of energy. Energy Policy 1999, 27, 845–854. [Google Scholar] [CrossRef]
- Bangga, G.; Lutz, T.; Dessoky, A.; Krämer, E. Unsteady Navier-Stokes studies on loads, wake, and dynamic stall characteristics of a two-bladed vertical axis wind turbine. J. Renew. Sustain. Energy 2017, 9, 053303. [Google Scholar] [CrossRef]
- Bangga, G.; Hutomo, G.; Wiranegara, R.; Sasongko, H. Numerical study on a single bladed vertical axis wind turbine under dynamic stall. J. Mech. Sci. Technol. 2017, 31, 261–267. [Google Scholar] [CrossRef]
- Ferreira, C.S.; Bijl, H.; Van Bussel, G.; Van Kuik, G. Simulating dynamic stall in a 2D VAWT: Modeling strategy, verification and validation with particle image velocimetry data. J. Physics Conf. Ser. 2007, 75, 012023. [Google Scholar] [CrossRef]
- Carr, L.W. Progress in analysis and prediction of dynamic stall. J. Aircr. 1988, 25, 6–17. [Google Scholar] [CrossRef]
- McCroskey, W.J. The Phenomenon of Dynamic Stall; Technical Report; National Aeronuatics and Space Administration Moffett Field Ca Ames Research Center: Mountain View, CA, USA, 1981. [Google Scholar]
- Mercado-Colmenero, J.M.; Rubio-Paramio, M.A.; Guerrero-Villar, F.; Martin-Doñate, C. A numerical and experimental study of a new Savonius wind rotor adaptation based on product design requirements. Energy Convers. Manag. 2018, 158, 210–234. [Google Scholar] [CrossRef]
- Almohammadi, K.; Ingham, D.; Ma, L.; Pourkashanian, M. Modeling dynamic stall of a straight blade vertical axis wind turbine. J. Fluids Struct. 2015, 57, 144–158. [Google Scholar] [CrossRef]
- Liebeck, R.H. A class of airfoils designed for high lift in incompressible flow. J. Aircr. 1973, 10, 610–617. [Google Scholar] [CrossRef]
- Bao, N.; Ma, H.; Ye, Z. Experimental study of wind turbine blade power augmentation using airfoil flaps, including the Gurney flap. Wind. Eng. 2000, 24, 25–34. [Google Scholar] [CrossRef]
- Zhang, Y.; Ramdoss, V.; Saleem, Z.; Wang, X.; Schepers, G.; Ferreira, C. Effects of root Gurney flaps on the aerodynamic performance of a horizontal axis wind turbine. Energy 2019, 187, 115955. [Google Scholar] [CrossRef]
- Syawitri, T.P.; Yao, Y.F.; Yao, J.; Chandra, B. The effect of gurney flap on flow characteristics of vertical axis wind turbine. Int. J. Mod. Phys. B 2020, 34, 2040107. [Google Scholar] [CrossRef]
- Zhu, H.; Hao, W.; Li, C.; Luo, S.; Liu, Q.; Gao, C. Effect of geometric parameters of Gurney flap on performance enhancement of straight-bladed vertical axis wind turbine. Renew. Energy 2021, 165, 464–480. [Google Scholar] [CrossRef]
- Zhu, H.; Hao, W.; Li, C.; Ding, Q. Numerical study of effect of solidity on vertical axis wind turbine with Gurney flap. J. Wind. Eng. Ind. Aerodyn. 2019, 186, 17–31. [Google Scholar] [CrossRef]
- Yan, Y.; Avital, E.; Williams, J.; Cui, J. Performance improvements for a vertical axis wind turbine by means of Gurney flap. J. Fluids Eng. 2020, 142. [Google Scholar] [CrossRef]
- Kroll, N.; Rossow, C.C.; Becker, K.; Thiele, F. The MEGAFLOW project. Aerosp. Sci. Technol. 2000, 4, 223–237. [Google Scholar] [CrossRef]
- Jameson, A.; Schmidt, W.; Turkel, E. Numerical solution of the Euler equations by finite volume methods using Runge Kutta time stepping schemes. In Proceedings of the 14th Fluid and Plasma Dynamics Conference, Palo Alto, CA, USA, 23–25 June 1981; p. 1259. [Google Scholar]
- Benek, J.; Steger, J.; Dougherty, F.C. A flexible grid embedding technique with application to the Euler equations. In Proceedings of the 6th Computational Fluid Dynamics Conference Danvers, Danvers, MA, USA, 13–15 July 1983; p. 1944. [Google Scholar]
- Chan, W.; Gomez, R.; Rogers, S.; Buning, P. Best practices in overset grid generation. In Proceedings of the 32nd AIAA Fluid Dynamics Conference and Exhibit, St. Louis, MI, USA, 24–26 June 2002; p. 3191. [Google Scholar]
- Schwarz, T. The Overlapping Grid Technique for the Time Accurate Simulation of Rotorcraft Flows. In Proceedings of the 31st European Rotorcraft Forum, Florence, Italy, 13–15 September 2005; p. 86. [Google Scholar]
- Jameson, A. Time dependent calculations using multigrid, with applications to unsteady flows past airfoils and wings. In Proceedings of the 10th Computational Fluid Dynamics Conference, Honolulu, HI, USA, 24–26 June 1991; p. 1596. [Google Scholar]
- Radespiel, R.; Rossow, C.; Swanson, R. Efficient cell-vertex multigrid scheme for the three-dimensional Navier-Stokes equations. AIAA J. 1990, 28, 1464–1472. [Google Scholar] [CrossRef]
- Menter, F.R. Two-equation eddy-viscosity turbulence models for engineering applications. AIAA J. 1994, 32, 1598–1605. [Google Scholar] [CrossRef]
- Celik, I.; Karatekin, O. Numerical experiments on application of Richardson extrapolation with nonuniform grids. J. Fluids Eng. 1997, 119, 584–590. [Google Scholar] [CrossRef]
- Bangga, G.S.; Lutz, T.; Krämer, E. An Examination of Rotational Effects on Large Wind Turbine Blades. In Proceedings of the 11th EAWE PhD Seminar on Wind Energy in Europe, Stuttgart, Germany, 23–25 September 2015. [Google Scholar]
- Bangga, G.; Solichin, M.; Daman, A.; Sa’adiyah, D.; Dessoky, A.; Lutz, T. Aerodynamic performance of a small vertical axis wind turbine using an overset grid method. In AIP Conference Proceedings; AIP Publishing LLC: Melville, NY, USA, 2017; Volume 1867, p. 020005. [Google Scholar]
- Bangga, G. Numerical studies on dynamic stall characteristics of a wind turbine airfoil. J. Mech. Sci. Technol. 2019, 33, 1257–1262. [Google Scholar] [CrossRef]
- Storms, B.L.; Jang, C.S. Lift enhancement of an airfoil using a Gurney flap and vortex generators. J. Aircr. 1994, 31, 542–547. [Google Scholar] [CrossRef]
- Jang, C.; Ross, J.; Cummings, R. Computational evaluation of an airfoil with a Gurney flap. In Proceedings of the 10th Applied Aerodynamics Conference, Palo Alto, CA, USA, 22–24 June 1992. [Google Scholar]
- Maughmer, M.D.; Bramesfeld, G. Experimental investigation of Gurney flaps. J. Aircr. 2008, 45, 2062–2067. [Google Scholar] [CrossRef]
- Zanotti, A.; Gibertini, G. Experimental investigation of the dynamic stall phenomenon on a NACA 23012 oscillating airfoil. Proc. Inst. Mech. Eng. Part G J. Aerosp. Eng. 2013, 227, 1375–1388. [Google Scholar] [CrossRef]
- Maeda, T.; Kamada, Y.; Murata, J.; Yamamoto, M.; Ogasawara, T.; Shimizu, K.; Kogaki, T. Study on power performance for straight-bladed vertical axis wind turbine by field and wind tunnel test. Renew. Energy 2016, 90, 291–300. [Google Scholar]
- Bangga, G.; Dessoky, A.; Lutz, T.; Krämer, E. Improved double-multiple-streamtube approach for H-Darrieus vertical axis wind turbine computations. Energy 2019, 182, 673–688. [Google Scholar] [CrossRef]



















| Grid Name | Circumferential | BL Layers | Number of Cells | |
|---|---|---|---|---|
| G1 | 290 | <1.0 | 32 | 51,200 |
| G2 | 416 | <1.0 | 32 | 71,680 |
| G3 | 576 | <1.0 | 32 | 97,280 |
| Grid Name | Number of Cells | |
|---|---|---|
| GF1 | <1.0 | 8,960 |
| GF2 | <1.0 | 17,920 |
| GF3 | <1.0 | 32,000 |
| Parameters | |
|---|---|
| Type | H-Darrieus |
| Airfoil | NACA-0021 |
| Solidity() | |
| Number of blades | 2 |
| Radius(R) | m |
| Pitch angle () | 6 |
| Chord length (c) | m |
| Operating range | |
| 8 m/s | |
| Case Nr. | GF Angle | GF Height |
|---|---|---|
| 1 | %c | |
| 2 | 1%c | |
| 3 | 2%c | |
| 4 | 4%c | |
| 5 | 6%c | |
| 6 | %c | |
| 7 | 1%c | |
| 8 | 2%c |
Publisher’s Note: MDPI stays neutral with regard to jurisdictional claims in published maps and institutional affiliations. |
© 2021 by the authors. Licensee MDPI, Basel, Switzerland. This article is an open access article distributed under the terms and conditions of the Creative Commons Attribution (CC BY) license (https://creativecommons.org/licenses/by/4.0/).
Share and Cite
Chakroun, Y.; Bangga, G. Aerodynamic Characteristics of Airfoil and Vertical Axis Wind Turbine Employed with Gurney Flaps. Sustainability 2021, 13, 4284. https://doi.org/10.3390/su13084284
Chakroun Y, Bangga G. Aerodynamic Characteristics of Airfoil and Vertical Axis Wind Turbine Employed with Gurney Flaps. Sustainability. 2021; 13(8):4284. https://doi.org/10.3390/su13084284
Chicago/Turabian StyleChakroun, Yosra, and Galih Bangga. 2021. "Aerodynamic Characteristics of Airfoil and Vertical Axis Wind Turbine Employed with Gurney Flaps" Sustainability 13, no. 8: 4284. https://doi.org/10.3390/su13084284
APA StyleChakroun, Y., & Bangga, G. (2021). Aerodynamic Characteristics of Airfoil and Vertical Axis Wind Turbine Employed with Gurney Flaps. Sustainability, 13(8), 4284. https://doi.org/10.3390/su13084284
