Investigations of HAWT Airfoil Shape Characteristics and 3D Rotational Augmentation Sensitivity Toward the Aerodynamic Performance Improvement
Abstract
1. Introduction
2. Materials and Methods
2.1. Airfoil and Blade Design
2.1.1. Airfoil Design
2.1.2. Blade Design
2.2. BEM Method and 3D Correction Law
2.2.1. Blade Element Momentum Theory
2.2.2. 3D Correction
2.3. CFD Simulation
2.3.1. Airfoil
2.3.2. Mesh Generation
2.3.3. k − ω SST Turbulence Model
2.3.4. Open Foam
2.4. Method Validation
Validation Data
3. Results
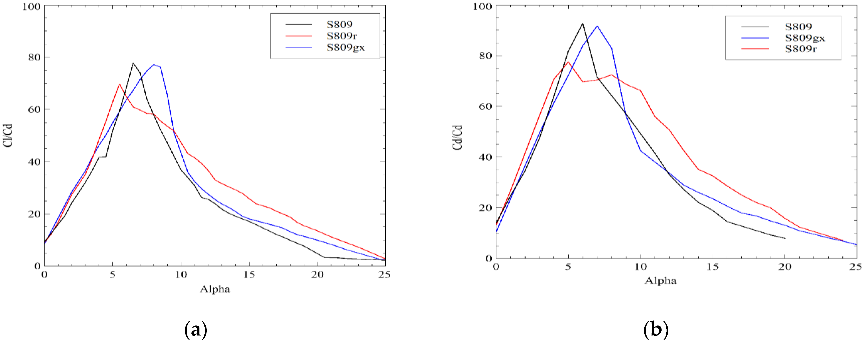
3.1. Aerodynamics
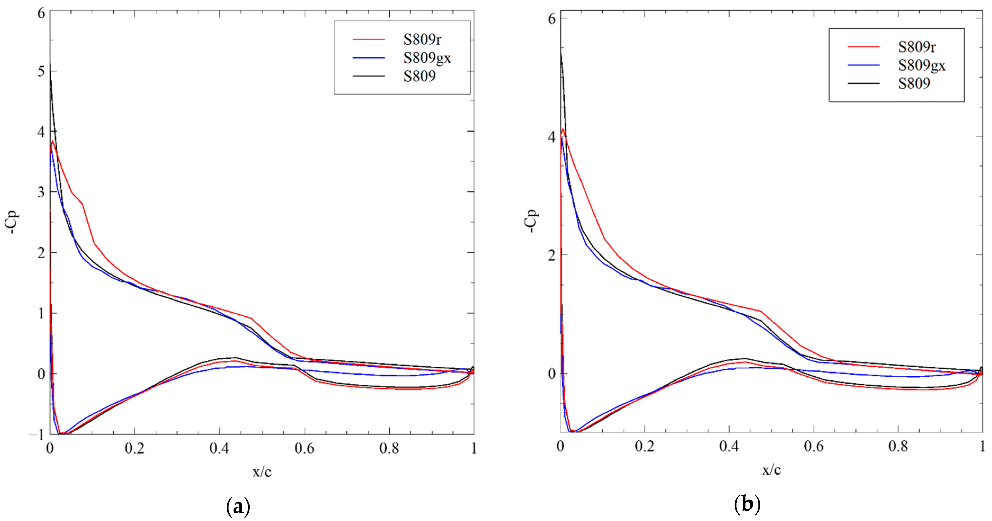
3.2. CFD Results
3.3. Transition Point (Xtr) in the Boundary Layer
3.4. Performance Analysis
3.4.1. 360° Extrapolation and Power Production
3.4.2. Cl and Tangential Force Over Blade
4. Discussion
Author Contributions
Funding
Acknowledgments
Conflicts of Interest
References
- International Renewable Energy Agency. “Trends in Renewable Energy”. Available online: https://www.irena.org/Statistics/View-Data-by-Topic/Capacity-and-Generation/Statistics-Time-Series (accessed on 30 May 2020).
- Tangler, J.L.; Somers, D.M. NREL Airfoil Families for HAWTs; National Renewable Energy Laboratory: Washington, DC, USA, 1995; pp. 117–123.
- Timmer, W.A.; van Rooij, R.P.J.O.M. Summary of the Delft University Wind Turbine Dedicated Airfoils. In Proceedings of the ASME 2003 Wind Energy Symposium, Reno, NV, USA, 6–9 January 2003; pp. 11–21. [Google Scholar]
- Jianhua, X.; Zhonghua, H.; Xiaochao, Y.; Wenping, S. Design Optimization of a Multi-Megawatt Wind Turbine Blade with the NPU-MWA Airfoil Family. Energies 2019, 12, 3330. [Google Scholar]
- Fuglsang, P.; Bak, C. Design and verification of the new Riso-A1 airfoil family for wind turbines. In Proceedings of the 20th 2001 ASME Wind Energy Symposium, Reno, NV, USA, 11–14 January 2001; pp. 81–91. [Google Scholar] [CrossRef]
- Manwell, J.F.; McGowan, J.G.; Rogers, A.L. Wind Energy Explained; Wiley: Hoboken, NJ, USA, 2009; pp. 117–129. [Google Scholar]
- Dev Rajnarayan, A. Ning, Universal Airfoil Parameterization Using B-Splines. In Proceedings of the AIAA Multidisciplinary Analysis and Optimization Conference, Atlanta, GA, USA, 25–29 June 2018; p. 4. [Google Scholar]
- Chen, X.; Agarwal, R. Optimization of Flatback Airfoils for Wind Turbine Blades Using a Genetic Algorithm with an Artificial Neural Network. In Proceedings of the 48th AIAA Aerospace Sciences Meeting Including the New Horizons Forum and Aerospace Exposition, Orlando, FL, USA, 4–7 January 2010; pp. 4–7. [Google Scholar] [CrossRef]
- Ribeiro, A.F.P.; Awruch, A.M.; Gomes, H.M. An airfoil optimization technique for wind turbines. Appl. Math. Model. 2012, 36, 4898–4907. [Google Scholar] [CrossRef]
- Michael, S. Airfoil Design Using A Genetic Algorithm and an Inverse Method. In Proceedings of the 41st Aerospace Sciences Meeting and Exhibit, Reno, Nevada, USA, 6–9 January 2003. [Google Scholar]
- Ronsten, G. Static pressure measurements on a rotating and a non-rotating 2.375 m wind turbine blade. Comparison with 2D calculations. J. Wind. Eng. Ind. Aerodyn. 1992, 39, 105–118. [Google Scholar] [CrossRef]
- XFOIL, Subsonic Airfoil Development System. Available online: https://web.mit.edu/drela/Public/web/xfoil/ (accessed on 30 May 2020).
- Himmelskamp, H. Profile Investigation on a Rotating Airscrew, Technical Report. Ph.D. Thesis, University of Göttingen, Göttingen, Germany, 1945. [Google Scholar]
- Bruining, A.; Van Bussel, G.J.W.; Corten, G.P.; Timmer, W.A. Pressure Distribution from a Wind Turbine Blade; Field Measurements Compared to 2-Dimensional Wind Tunnel Data; Technical Report IW-93065R; Delft University of Technology: Delft, The Netherland, 1993. [Google Scholar]
- Liu, F.; Gao, S.; Liu, D.; Zhou, H. A signal decomposition method based on repeated extraction of maximum energy component for offshore structures. Mar. Struct. 2020, 72, 102779. [Google Scholar] [CrossRef]
- Gersten, S. Boundary Layer Theory; Springer: Berlin/Heidelberg, Germany, 2017. [Google Scholar]
- Herrmann, J.; Bangga, G. Multi-objective optimization of a thick blade root airfoil to improve the energy production of large wind turbines. J. Renew. Sustain. Energy 2019, 11, 043304. [Google Scholar] [CrossRef]
- Chaviaropoulos, P.K.; Hansen, M.O. Investigating Three-Dimensional and Rotational Effects on Wind Turbine Blades by Means of a Quasi-3D Navier-Stokes Solver. J. Fluids Eng. 2000, 122, 330–336. [Google Scholar] [CrossRef]
- Mirzaei, M.; Roshanian, J.; Nasrin Hosseini, S. Aerodynamic optimization of an airfoil using gradient based method. In European Conference on Computational Fluid Dynamics; ECCOMAS CFD: TU Delft, Delft, The Netherland, 2006. [Google Scholar]
- Bangga, G.; Lutz, T.; Jost, E.; Krämer, E. CFD studies on rotational augmentation at the inboard sections of a 10 MW wind turbine rotor. J. Renew. Sustain. Energy 2017, 9, 023304. [Google Scholar] [CrossRef]
- Hansen, M.O.; Sorensen, J.; Michelsen, J.; Sørensen, N.N. A Global Navier-Stokes Rotor Prediction Model. In Proceedings of the 35th Aerospace Sciences Meeting and Exhibit, Reno, NV, USA, 6–9 January 1997. [Google Scholar] [CrossRef]
- Snel, H.; Houwink, R.; Piers, W.J. Sectional Prediction of 3-D Effects for Separated Flow on Rotating Blades. In Proceedings of the Eighteenth European Rotorcraft Forum, Avignon, France, 15–17 September 1992. Chapter 6 References 133. [Google Scholar]
- Snel, H.; Houwink, R.; Bosschers, J.; Piers, W.J.; Bruining, A. Sectional Prediction of 3-D Effects for Stalled Flows on Rotating Blades and Comparison with Measurements. In Proceedings of the ECWEC ’93 Conference, Travemunde, Germany, 8–12 March 1993; pp. 395–399. [Google Scholar]
- Hand, M.M.; Simms, D.; Fingersh, L.J.; Jager, D.W.; Cotrell, J.R.; Schreck, S.; Larwood, S.M. Unsteady Aerodynamics Experiment Phase VI: Wind Tunnel Test Configurations and Available Data Campaigns; (No. NREL/TP-500-29955); National Renewable Energy Lab.: Golden, CO, USA, 2001.
- Berry, D.S.; Composites, D.S. Blade System Design Studies Phase II: Final Project Report; SANDIA: Oak Ridge, TN, USA, 2008.
- NASA Aeronautics Guided Tour. Available online: https://www.grc.nasa.gov/WWW/k-12/airplane/incline.html (accessed on 5 August 2020).
- Bangga, G.; Lutz, T.; Krämer, E. Numerical Investigation of Unsteady Aerodynamic Effects on Thick Flatback Airfoils; German Wind Energy Conference: Bremen, Germany, 2015; p. 12. [Google Scholar]
- Somers, D.M. Design and Experimental Results for the S809 Airfoil; NREL: Golden, CO, USA, 1997.
- Cheney, E.W.; Kincaid, D.R. Numerical Mathematics and Computing, 6th ed.; Brooks Cole: Pacific Grove, CA, USA, 2007; pp. 372–404. [Google Scholar]
- Breton, S.-P.; Coton, F.N.; Moe, G. A study on rotational effects and different stall delay models using a prescribed wake vortex scheme and NREL phase VI experiment data. Wind. Energy 2008, 11, 459–482. [Google Scholar] [CrossRef]
- Kim, Y. Genetic Algorithm Optimization of Variable Airfoil Blade of Wind Turbines. Master’s Thesis, Institute of Fluid Mechanics (LSTM), FAU Erlangen-Nuernberg, Erlangen, Germany, 2014. [Google Scholar]
- Kim, Y.; Al-Abadi, A.; Delgado, A. Airfoil Boundary Layer Optimization Toward Aerodynamic Efficiency of Wind Turbines. In Flight Physics—Models, Techniques and Technologies; IntechOpen: London, UK, 2018. [Google Scholar]
- Kim, Y. Computational Airfoil Optimization for the Improvement of the Performance of Horizontal Axis Wind Turbine (HAWT) with a 3D Model. Doctor’s Thesis, Institute of Fluid Mechanics (LSTM), FAU Erlangen-Nuernberg, Erlangen-Nuernberg, Erlangen, Germany, 2020. [Google Scholar]
- Drela, M. XFOIL: An Analysis and Design System for Low Reynolds Number Airfoils. In Multiphase Flow in Porous Media; Springer Science and Business Media LLC: Berlin, Germany, 1989; pp. 1–12. [Google Scholar]
- Zhang, W.; Cheng, W.; Gao, W.; Qamar, A.; Samtaney, R. Geometrical effects on the airfoil flow separation and transition. Comput. Fluids 2015, 116, 60–73. [Google Scholar] [CrossRef]
- Ramsay, R.; Hoffman, M.; Gregorek, G. Effects of Grit Roughness and Pitch Oscillations on the S809 Airfoil; National Renewable Energy Lab.: Golden, CO, USA, 1995.
- Timmer, W.A.; Van Rooij, R.P.J.O.M. Summary of the Delft University Wind Turbine Dedicated Airfoils. J. Sol. Energy Eng. 2003, 125, 488–496. [Google Scholar] [CrossRef]
- Johnson, W. Rotorcraft Aeromechanics; Cambridge University Press: Cambridge, UK, 2013. [Google Scholar]
- Ingram, G. Wind Turbine Blade Analysis Using the Blade Element Momentum Method Version 1.0; School of Engineering, Durham University: Durham, UK, 2005. [Google Scholar]
- Kim, Y.; Bangga, G.; Delgado, A. Wind Turbine Airfoil Boundary Layer Optimization Using Genetic Algorithm with 3D Rotational Augmentation. In Design Optimization of Wind Energy Conversion Systems with Applications; IntechOpen: London, UK, 2020. [Google Scholar]
- Viterna, L.A.; Janetzke, D.C. Theoretical and Experimental Power from Large Horizontal-Axis Wind Turbines; National Aeronautics and Space Administration: Cleveland, OH, USA, 1982.
- Qblade, Wind Turbine Design and Simulation. Available online: http://www.q-blade.org/ (accessed on 6 August 2020).
- SimFlow. Weighing up the options for sound testing methods. Met. Powder Rep. 2008, 63, 11. [Google Scholar] [CrossRef]
- Zhou, D.; Liu, Y.; Wen, X.; Lu, L. Modification of SA model for predicting airfoil flow separation. J. Beijing Univ. Aeronaut. Astronaut. 2012, 38, 1384–1388. [Google Scholar]
- Guerri, O.; Bouhadef, K.; Harhad, A. Turbulent Flow Simulation of the NREL S809 Airfoil. Wind. Eng. 2006, 30, 287–301. [Google Scholar] [CrossRef]
- Shelton, A.; Abras, J.; Jurenko, R.; Smith, M. Improving the CFD Predictions of Airfoils in Stall. In Proceedings of the 43rd AIAA Aerospace Sciences Meeting and Exhibit, Reno, NV, USA, 10–13 January 2005. [Google Scholar] [CrossRef]
- Menter, F.R. Two-equation eddy-viscosity turbulence models for engineering applications. Aiaa J. 1994, 32, 1598–1605. [Google Scholar] [CrossRef]
- The Open Source CFD Toolbox. Available online: https://www.openfoam.com/ (accessed on 13 June 2020).
- Liu, F.; Gao, S.; Tian, Z.; Liu, D. A new time-frequency analysis method based on single mode function decomposition for offshore wind turbines. Mar. Struct. 2020, 72, 102782. [Google Scholar] [CrossRef]
- Moukalled, F.; Mangani, L.; Darwish, M. An Advanced Introduction with OpenFOAM® and Matlab; Springer: Cham, Switzerland, 2006. [Google Scholar]
- Lindenburg, C. Investigation into Rotor Blade Aerodynamics; ECN: Sint Maartensvlotbrug, The Netherland, 2003. [Google Scholar]
- Van der Hegge Zijnen, B.G. Measurements of the Velocity Distribution in the Boundary Layer along a Plane Surface. Ph.D. Thesis, Technical University of Delft, Delft, The Netherland, 1924. [Google Scholar]
- Li, Y.; Paik, K.-J.; Xing, T.; Carrica, P.M. Dynamic overset CFD simulations of wind turbine aerodynamics. Renew. Energy 2012, 37, 285–298. [Google Scholar] [CrossRef]

























| r | c | φ | Airfoil |
|---|---|---|---|
| 0.508 | 0.218 | 0 | Circular |
| 0.66 | 0.218 | 0 | Circular |
| 0.883 | 0.183 | 0 | Circular |
| 1.008 | 0.349 | 0 | Circular |
| 1.067 | 0.441 | 0 | Circular |
| 1.133 | 0.544 | 0 | Circular |
| 1.257 | 0.737 | 20.04 | S809/gx/r |
| 1.343 | 0.728 | 18.07 | S809/gx/r |
| 1.51 | 0.711 | 14.29 | S809/gx/r |
| 1.648 | 0.697 | 11.91 | S809/gx/r |
| 1.952 | 0.666 | 7.98 | S809/gx/r |
| 2.257 | 0.636 | 5.31 | S809/gx/r |
| 2.343 | 0.627 | 4.71 | S809/gx/r |
| 2.562 | 0.605 | 3.42 | S809/gx/r |
| 2.867 | 0.574 | 2.08 | S809/gx/r |
| 3.172 | 0.543 | 1.15 | S809/gx/r |
| 3.185 | 0.542 | 1.115 | S809/gx/r |
| 3.476 | 0.512 | 0.494 | S809/gx/r |
| 3.781 | 0.482 | −0.015 | S809/gx/r |
| 4.023 | 0.457 | −0.381 | S809/gx/r |
| 4.086 | 0.451 | −0.475 | S809/gx/r |
| 4.391 | 0.42 | −0.92 | S809/gx/r |
| 4.696 | 0.389 | −1.352 | S809/gx/r |
| 4.78 | 0.381 | −1.469 | S809/gx/r |
| 5 | 0.358 | −1.775 | S809/gx/r |
| Airfoil | Thickness (%) | at (%) | Camber (%) | at (%) |
|---|---|---|---|---|
| S809 | 20.99 | 38.30 | 0.99 | 82.30 |
| S809gx | 20.30 | 38.70 | 0.87 | 43.60 |
| S809r | 21.18 | 38.20 | 0.99 | 82.30 |
| Airfoil | Cell Number | Upper y+ | Lower y+ |
|---|---|---|---|
| S809 | 60257 | 0.151 | 0.155 |
| S809gx | 60455 | 0.155 | 0.242 |
| S809r | 60653 | 0.155 | 0.242 |
| Method | Cl | Cd | Alpha |
|---|---|---|---|
| Experiment | 1.00 | 0.04 | 12.2° |
| OpenFoam | 1.06 | 0.05 | 12.2° |
| Experiment | 0.850 | 0.202 | 20° |
| OpenFoam | 0.852 | 0.222 | 20° |
| Airfoil. | Cl | Cd | Alpha |
|---|---|---|---|
| S809 | 0.852 | 0.222 | 20° |
| S809gx | 1.133 | 0.117 | 20° |
| S809r | 1.189 | 0.151 | 20° |
| Airfoil | |||||
|---|---|---|---|---|---|
| S809r | 35.8 | 2.10 | 0.06 | 1.180 | 1.738 |
| S809gx | 34.8 | 2.16 | 0.09 | 1.159 | 1.825 |
| S809 | 39.3 | 1.32 | 0.33 | 0.581 | 1.230 |
© 2020 by the authors. Licensee MDPI, Basel, Switzerland. This article is an open access article distributed under the terms and conditions of the Creative Commons Attribution (CC BY) license (http://creativecommons.org/licenses/by/4.0/).
Share and Cite
Kim, Y.; Bangga, G.; Delgado, A. Investigations of HAWT Airfoil Shape Characteristics and 3D Rotational Augmentation Sensitivity Toward the Aerodynamic Performance Improvement. Sustainability 2020, 12, 7597. https://doi.org/10.3390/su12187597
Kim Y, Bangga G, Delgado A. Investigations of HAWT Airfoil Shape Characteristics and 3D Rotational Augmentation Sensitivity Toward the Aerodynamic Performance Improvement. Sustainability. 2020; 12(18):7597. https://doi.org/10.3390/su12187597
Chicago/Turabian StyleKim, Youjin, Galih Bangga, and Antonio Delgado. 2020. "Investigations of HAWT Airfoil Shape Characteristics and 3D Rotational Augmentation Sensitivity Toward the Aerodynamic Performance Improvement" Sustainability 12, no. 18: 7597. https://doi.org/10.3390/su12187597
APA StyleKim, Y., Bangga, G., & Delgado, A. (2020). Investigations of HAWT Airfoil Shape Characteristics and 3D Rotational Augmentation Sensitivity Toward the Aerodynamic Performance Improvement. Sustainability, 12(18), 7597. https://doi.org/10.3390/su12187597

