Biochar Volatile Matter and Feedstock Effects on Soil Nitrogen Mineralization and Soil Fungal Colonization
Abstract
1. Introduction
2. Materials and Methods
2.1. Biochar Structural Dimensions
2.2. Incubations
2.3. Microbial Assays
2.4. Statistical Analysis
3. Results
3.1. Biochar Composition Differed by VM Content and Feedstock
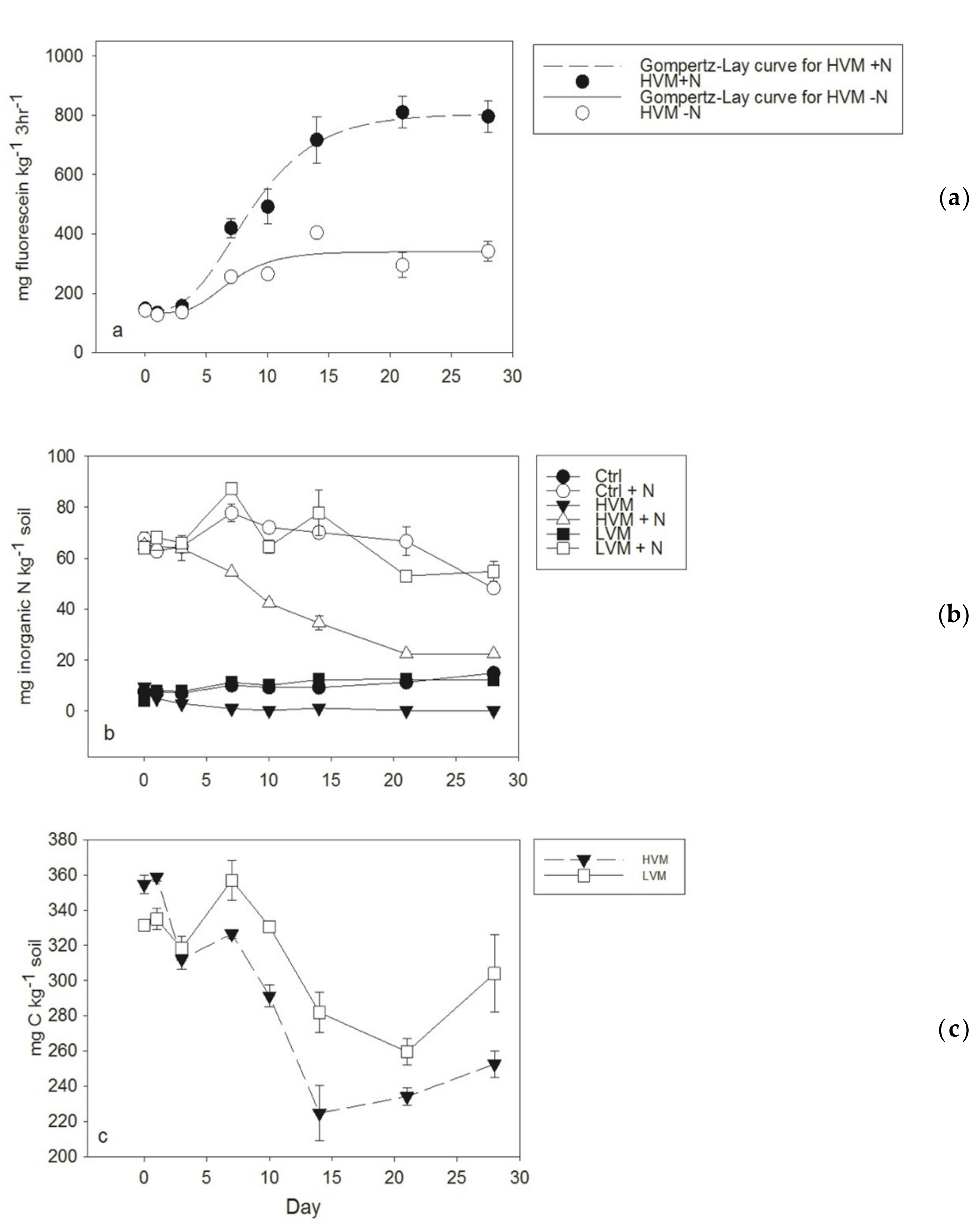
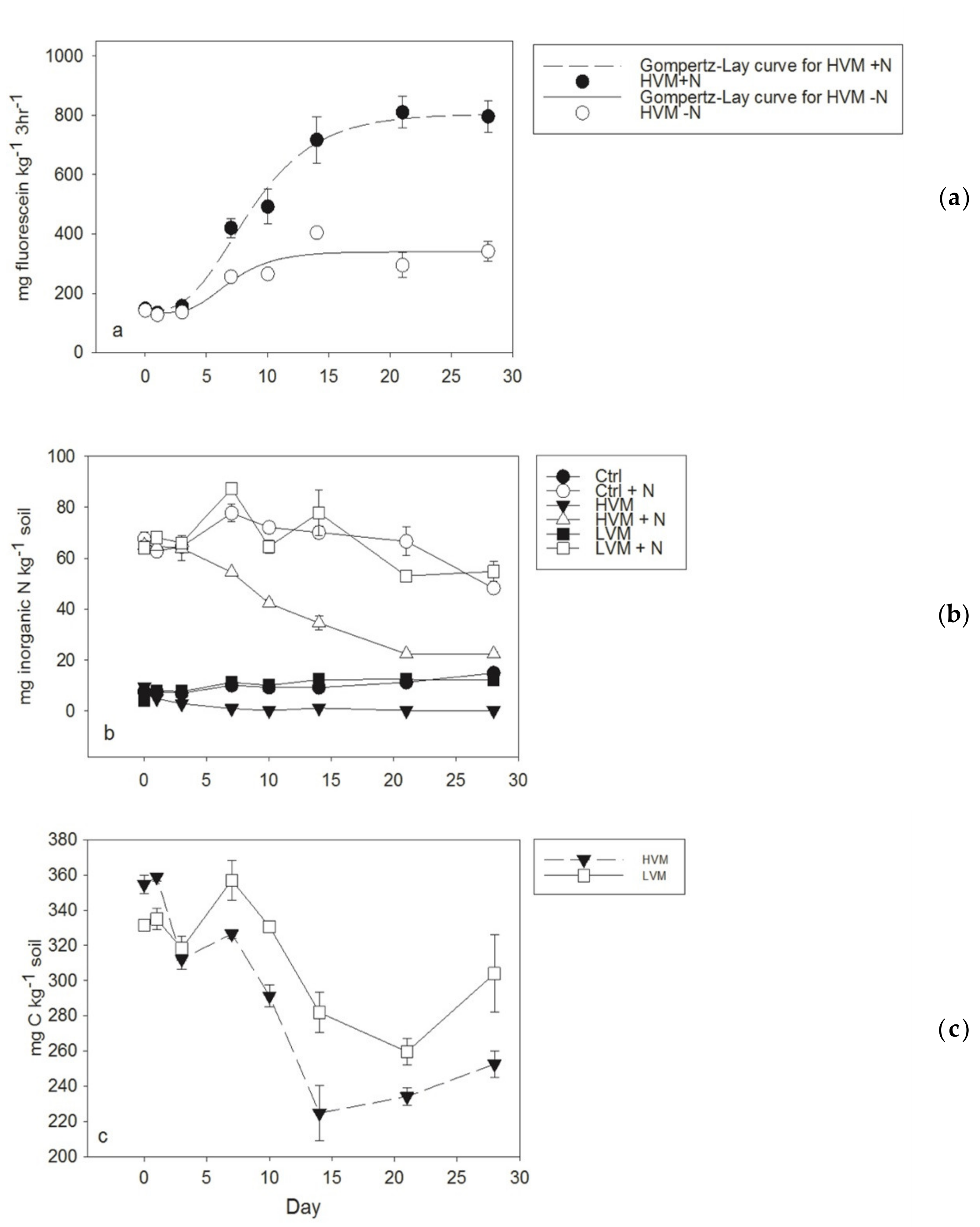
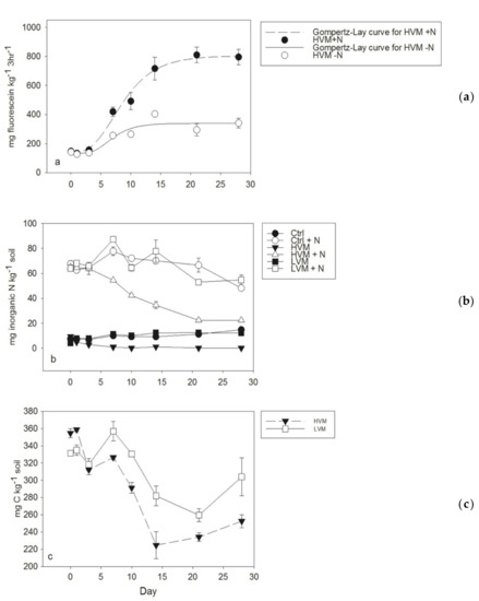
3.2. Biochar Effects on Microbial N and C Dynamics
4. Discussion
5. Conclusions
Supplementary Materials
Author Contributions
Funding
Institutional Review Board Statement
Informed Consent Statement
Data Availability Statement
Acknowledgments
Conflicts of Interest
References
- Shindo, H. Elementary composition, humus composition, and decomposition in soil of charred grassland plants. Soil Sci. Plant Nutr. 1991, 37, 651–657. [Google Scholar] [CrossRef]
- Bird, M.I.; Moyo, C.; Veenendaal, E.M.; Lloyd, J.; Frost, P. Stability of elemental carbon in a savanna soil. Glob. Biogeochem. Cycles 1999, 13, 923–932. [Google Scholar] [CrossRef]
- Lehmann, J.; Solomon, D.; Kinyangi, J.; Dathe, L.; Wirick, S.; Jacobsen, C. Spatial Complexity of Soil Organic Matter Forms at Nanometer Scales. Nat. Geosci. 2008, 1, 238–242. [Google Scholar] [CrossRef]
- Zimmerman, A.R. Abiotic and Microbial Oxidation of Laboratory-Produced Black Carbon (Biochar). Environ. Sci. Technol. 2010, 44, 1295–1301. [Google Scholar] [CrossRef]
- Spokas, K.A. Review of the stability of biochar in soils: Predictability of O:C molar ratios. Carbon Manag. 2010, 1, 289–303. [Google Scholar] [CrossRef]
- Xie, Z.; Xu, Y.; Liu, G.; Liu, Q.; Zhu, J.; Tu, C.; Amonette, J.E.; Cadisch, G.; Yong, J.W.H.; Hu, S. Impact of biochar application on nitrogen nutrition of rice, greenhouse-gas emissions and soil organic carbon dynamics in two paddy soils of China. Plant Soil 2013, 370, 527–540. [Google Scholar] [CrossRef]
- Leng, L.; Huang, H.; Li, H.; Li, J.; Zhou, W. Biochar stability assessment methods: A review. Sci. Total Environ. 2019, 647, 210–222. [Google Scholar] [CrossRef] [PubMed]
- Lehmann, J.; Hansel, C.M.; Kaiser, C.; Kleber, M.; Maher, K.; Manzoni, S.; Nunan, N.; Reichstein, M.; Schimel, J.P.; Torn, M.S.; et al. Persistence of soil organic carbon caused by functional complexity. Nat. Geosci. 2020, 13, 529–534. [Google Scholar] [CrossRef]
- Hamer, U.; Marschner, B.; Brodowski, S.; Amelung, W. Interactive priming of black carbon and glucose mineralisation. Org. Geochem. 2004, 35, 823–830. [Google Scholar] [CrossRef]
- Wang, J.; Xiong, Z.; Kuzyakov, Y. Biochar stability in soil: Meta-analysis of decomposition and priming effects. GCB Bioenergy 2016, 8, 512–523. [Google Scholar] [CrossRef]
- Gundale, M.J.; DeLuca, T.H. Charcoal effects on soil solution chemistry and growth of Koeleria macrantha in the ponderosa pine/Douglas-fir ecosystem. Biol. Fertil. Soils 2006, 43, 303–311. [Google Scholar] [CrossRef]
- Rondon, M.A.; Lehmann, J.; Ramirez, J.; Hurtado, M. Biological Nitrogen Fixation by Common Beans (Phaseolus Vulgaris L.) Increases with Bio-Char Additions. Biol. Fertil. Soils 2007, 43, 699–708. [Google Scholar] [CrossRef]
- Deenik, J.L.; McClellan, T.; Uehara, G.; Antal, M.J.; Campbell, S. Charcoal Volatile Matter Content Influences Plant Growth and Soil Nitrogen Transformations. Soil Sci. Soc. Am. J. 2010, 74, 1259–1270. [Google Scholar] [CrossRef]
- Baldock, J.A.; Smernik, R.J. Chemical composition and bioavailability of thermally altered Pinus resinosa (Red pine) wood. Org. Geochem. 2002, 33, 1093–1109. [Google Scholar] [CrossRef]
- Keiluweit, M.; Nico, P.S.; Johnson, M.G.; Kleber, M. Dynamic Molecular Structure of Plant Biomass-Derived Black Carbon (Biochar). Environ. Sci. Technol. 2010, 44, 1247–1253. [Google Scholar] [CrossRef]
- Kim, K.H.; Kim, J.-Y.; Cho, T.-S.; Choi, J.W. Influence of pyrolysis temperature on physicochemical properties of biochar obtained from the fast pyrolysis of pitch pine (Pinus rigida). Bioresour. Technol. 2012, 118, 158–162. [Google Scholar] [CrossRef]
- Wang, X.; Zhou, W.; Liang, G.; Song, D.; Zhang, X. Characteristics of maize biochar with different pyrolysis temperatures and its effects on organic carbon, nitrogen and enzymatic activities after addition to fluvo-aquic soil. Sci. Total. Environ. 2015, 538, 137–144. [Google Scholar] [CrossRef]
- Chen, D.; Yu, X.; Song, C.; Pang, X.; Huang, J.; Li, Y. Effect of pyrolysis temperature on the chemical oxidation stability of bamboo biochar. Bioresour. Technol. 2016, 218, 1303–1306. [Google Scholar] [CrossRef]
- Jindo, K.; Sonoki, T. Comparative Assessment of Biochar Stability Using Multiple Indicators. Agronomy 2019, 9, 254. [Google Scholar] [CrossRef]
- Harvey, O.R.; Myers-Pigg, A.N.; Kuo, L.-J.; Singh, B.; Kuehn, K.A.; Louchouarn, P. Discrimination in Degradability of Soil Pyrogenic Organic Matter Follows a Return-On-Energy-Investment Principle. Environ. Sci. Technol. 2016, 50, 8578–8585. [Google Scholar] [CrossRef] [PubMed]
- Schmidt, M.W.I.; Noack, A.G. Black carbon in soils and sediments: Analysis, distribution, implications, and current challenges. Glob. Biogeochem. Cycles 2000, 14, 777–793. [Google Scholar] [CrossRef]
- Uchimiya, M.; Hiradate, S.; Antal, J.M.J. Influence of Carbonization Methods on the Aromaticity of Pyrogenic Dissolved Organic Carbon. Energy Fuels 2015, 29, 2503–2513. [Google Scholar] [CrossRef]
- Antal, M.J.; Grønli, M. The Art, Science, and Technology of Charcoal Production†. Ind. Eng. Chem. Res. 2003, 42, 1619–1640. [Google Scholar] [CrossRef]
- Yua, F.; Steele, P.H.; Ruan, R. Microwave Pyrolysis of Corn Cob and Characteristics of the Pyrolytic Chars. Energy Sources Part A Recover. Util. Environ. Eff. 2010, 32, 475–484. [Google Scholar] [CrossRef]
- Ishimaru, K.; Hata, T.; Bronsveld, P.; Meier, D.; Imamura, Y. Spectroscopic analysis of carbonization behavior of wood, cellulose and lignin. J. Mater. Sci. 2007, 42, 122–129. [Google Scholar] [CrossRef]
- Várhegyi, G.; Szabo, P.; Till, F.; Zelei, B.; Antal, M.J.; Dai, X. TG, TG-MS, and FTIR Characterization of High-Yield Biomass Charcoals. Energy Fuels 1998, 12, 969–974. [Google Scholar] [CrossRef]
- Antal, M.J.; Allen, S.G.; Dai, X.; Shimizu, B.; Tam, M.S.; Grønli, M. Attainment of the Theoretical Yield of Carbon from Biomass. Ind. Eng. Chem. Res. 2000, 39, 4024–4031. [Google Scholar] [CrossRef]
- Parikh, J.; Channiwala, S.; Ghosal, G. A correlation for calculating elemental composition from proximate analysis of biomass materials. Fuel 2007, 86, 1710–1719. [Google Scholar] [CrossRef]
- Mészáros, E.; Jakab, E.; Várhegyi, G.; Bourke, J.; Manley-Harris, M.; Nunoura, T.; Antal, M.J. Do All Carbonized Charcoals Have the Same Chemical Structure? 1. Implications of Thermogravimetry−Mass Spectrometry Measurements. Ind. Eng. Chem. Res. 2007, 46, 5943–5953. [Google Scholar] [CrossRef]
- Enders, A.; Hanley, K.; Whitman, T.; Joseph, S.; Lehmann, J. Characterization of biochars to evaluate recalcitrance and agronomic performance. Bioresour. Technol. 2012, 114, 644–653. [Google Scholar] [CrossRef]
- Rajkovich, S.; Enders, A.; Hanley, K.; Hyland, C.; Zimmerman, A.R.; Lehmann, J. Corn growth and nitrogen nutrition after additions of biochars with varying properties to a temperate soil. Biol. Fertil. Soils 2012, 48, 271–284. [Google Scholar] [CrossRef]
- Ameloot, N.; Graber, E.R.; Verheijen, F.G.A.; De Neve, S. Interactions between biochar stability and soil organisms: Review and research needs. Eur. J. Soil Sci. 2013, 64, 379–390. [Google Scholar] [CrossRef]
- Antal, J.M.J.; Mochidzuki, A.K.; Paredes, L.S. Flash Carbonization of Biomass. Ind. Eng. Chem. Res. 2003, 42, 3690–3699. [Google Scholar] [CrossRef]
- ASTM International. ASTM D1762-84. In Standard Test Method for Chemical Analysis of Wood Charcoal; ASTM International: West Conshohocken, PA, USA, 2013. [Google Scholar]
- Smernik, R.J.; Oades, J.M. Solid-state 13C-NMR dipolar dephasing experiments for quantifying protonated and non-protonated carbon in soil organic matter and model systems. Eur. J. Soil Sci. 2001, 52, 103–120. [Google Scholar] [CrossRef]
- Solum, M.S.; Pugmire, R.J.; Grant, D.M. Carbon-13 solid-state NMR of Argonne-premium coals. Energy Fuels 1989, 3, 187–193. [Google Scholar] [CrossRef]
- Solum, M.S.; Sarofim, A.F.; Pugmire, R.J.; Fletcher, T.H.; Zhang†, H. 13C NMR Analysis of Soot Produced from Model Compounds and a Coal. Energy Fuels 2001, 15, 961–971. [Google Scholar] [CrossRef]
- Green, V.; Stott, D.E.; Diack, M. Assay for fluorescein diacetate hydrolytic activity: Optimization for soil samples. Soil Biol. Biochem. 2006, 38, 693–701. [Google Scholar] [CrossRef]
- Heal, O.W.; MacLean, S.F. Comparative Productivity in Ecosystems—Secondary Productivity. In Unifying Concepts in Ecology; van Dobben, W.H., Lowe-McConnell, R.H., Eds.; Springer: Dordrecht, The Netherlands, 1975; pp. 89–108. [Google Scholar]
- Chintala, R.; Schumacher, T.E.; Kumar, S.; Malo, D.D.; Rice, J.A.; Bleakley, B.; Chilom, G.; Clay, D.E.; Julson, J.L.; Papiernik, S.K.; et al. Molecular characterization of biochars and their influence on microbiological properties of soil. J. Hazard. Mater. 2014, 279, 244–256. [Google Scholar] [CrossRef]
- Schumacher, T.E.; Eynard, A.; Chintala, R. Rapid cost-effective analysis of microbial activity in soils using modified fluorescein diacetate method. Environ. Sci. Pollut. Res. 2014, 22, 4759–4762. [Google Scholar] [CrossRef] [PubMed]
- Ghani, A.; Dexter, M.; Perrott, K. Hot-water extractable carbon in soils: A sensitive measurement for determining impacts of fertilisation, grazing and cultivation. Soil Biol. Biochem. 2003, 35, 1231–1243. [Google Scholar] [CrossRef]
- Mulvaney, R.L. Nitrogen-Inorganic Forms. In Methods of Soil Analysis: Part 3 Chemical Methods, 5.3; Sparks, D.L., Page, A.L., Helmke, P.A., Loeppert, R.H., Soltanpoor, P.N., Tabatabai, M.A., Johnston, C.T., Sumner, M.E., Eds.; SSSA: Madison, WI, USA, 1996; pp. 1123–1184. [Google Scholar]
- Lay, J.J.; Li, Y.Y.; Noike, T.; Endo, J.; Ishimoto, S. Analysis of Environmental Factors Affecting Methane Production from High-Solids Organic Wastes. Water Sci. Technol. 1997, 36, 493–500. [Google Scholar] [CrossRef]
- Bourke, J.; Manley-Harris, M.; Fushimi, C.; Dowaki, K.; Nunoura, T.; Antal, M.J. Do All Carbonized Charcoals Have the Same Chemical Structure? 2. A Model of the Chemical Structure of Carbonized Charcoal†. Ind. Eng. Chem. Res. 2007, 46, 5954–5967. [Google Scholar] [CrossRef]
- Brewer, C.E.; Schmidt-Rohr, K.; Satrio, J.A.; Brown, R.C. Characterization of biochar from fast pyrolysis and gasification systems. Environ. Prog. Sustain. Energy 2009, 28, 386–396. [Google Scholar] [CrossRef]
- Bruun, E.W.; Hauggaard-Nielsen, H.; Ibrahim, N.; Egsgaard, H.; Ambus, P.; Jensen, P.A.; Dam-Johansen, K. Influence of fast pyrolysis temperature on biochar labile fraction and short-term carbon loss in a loamy soil. Biomass Bioenergy 2011, 35, 1182–1189. [Google Scholar] [CrossRef]
- Bruun, E.W.; Ambus, P.; Egsgaard, H.; Hauggaard-Nielsen, H. Effects of slow and fast pyrolysis biochar on soil C and N turnover dynamics. Soil Biol. Biochem. 2012, 46, 73–79. [Google Scholar] [CrossRef]
- Smith, J.L.; Collins, H.P.; Bailey, V.L. The effect of young biochar on soil respiration. Soil Biol. Biochem. 2010, 42, 2345–2347. [Google Scholar] [CrossRef]
- Czimczik, C.I.; Masiello, C.A. Controls on black carbon storage in soils. Glob. Biogeochem. Cycles 2007, 21. [Google Scholar] [CrossRef]
- Ameloot, N.; De Neve, S.; Jegajeevagan, K.; Yildiz, G.; Buchan, D.; Funkuin, Y.N.; Prins, W.; Bouckaert, L.; Sleutel, S. Short-term CO2 and N2O emissions and microbial properties of biochar amended sandy loam soils. Soil Biol. Biochem. 2013, 57, 401–410. [Google Scholar] [CrossRef]
- Anderson, C.R.; Condron, L.M.; Clough, T.J.; Fiers, M.; Stewart, A.; Hill, R.A.; Sherlock, R.R. Biochar induced soil microbial community change: Implications for biogeochemical cycling of carbon, nitrogen and phosphorus. Pedobiology 2011, 54, 309–320. [Google Scholar] [CrossRef]
- Wu, H.; Zeng, G.; Liang, J.; Chen, J.; Xu, J.; Dai, J.; Li, X.; Chen, M.; Xu, P.; Zhou, Y.; et al. Responses of bacterial community and functional marker genes of nitrogen cycling to biochar, compost and combined amendments in soil. Appl. Microbiol. Biotechnol. 2016, 100, 8583–8591. [Google Scholar] [CrossRef]
- Ducey, T.F.; Ippolito, J.A.; Cantrell, K.B.; Novak, J.M.; Lentz, R.D. Addition of activated switchgrass biochar to an aridic subsoil increases microbial nitrogen cycling gene abundances. Appl. Soil Ecol. 2013, 65, 65–72. [Google Scholar] [CrossRef]
- Mierzwa-Hersztek, M.; Wolny-Koładka, K.; Gondek, K.; Gałązka, A.; Gawryjołek, K. Effect of Coapplication of Biochar and Nutrients on Microbiocenotic Composition, Dehydrogenase Activity Index and Chemical Properties of Sandy Soil. Waste Biomass Valorization 2019, 11, 3911–3923. [Google Scholar] [CrossRef]
- Chen, J.; Liu, X.; Zheng, J.; Zhang, B.; Lu, H.; Chi, Z.; Pan, G.; Li, L.; Zheng, J.; Zhang, X.; et al. Biochar soil amendment increased bacterial but decreased fungal gene abundance with shifts in community structure in a slightly acid rice paddy from Southwest China. Appl. Soil Ecol. 2013, 71, 33–44. [Google Scholar] [CrossRef]
- Gao, S.; Hoffman-Krull, K.; DeLuca, T.H. Soil biochemical properties and crop productivity following application of locally produced biochar at organic farms on Waldron Island, WA. Biogeochemestry 2017, 136, 31–46. [Google Scholar] [CrossRef]
- Liao, N.; Li, Q.; Zhang, W.; Zhou, G.; Ma, L.; Min, W.; Ye, J.; Hou, Z. Effects of biochar on soil microbial community composition and activity in drip-irrigated desert soil. Eur. J. Soil Biol. 2016, 72, 27–34. [Google Scholar] [CrossRef]
- Wu, D.; Senbayram, M.; Zang, H.; Ugurlar, F.; Aydemir, S.; Brüggemann, N.; Kuzyakov, Y.; Bol, R.; Blagodatskaya, E. Effect of biochar origin and soil pH on greenhouse gas emissions from sandy and clay soils. Appl. Soil Ecol. 2018, 129, 121–127. [Google Scholar] [CrossRef]
- Nelissen, V.; Rütting, T.; Huygens, D.; Ruysschaert, G.; Boeckx, P. Temporal evolution of biochar’s impact on soil nitrogen processes—a15N tracing study. GCB Bioenergy 2015, 7, 635–645. [Google Scholar] [CrossRef]
- Nguyen, T.T.N.; Xu, C.-Y.; Tahmasbian, I.; Che, R.; Xu, Z.; Zhou, X.; Wallace, H.M.; Bai, S.H. Effects of biochar on soil available inorganic nitrogen: A review and meta-analysis. Geoderma 2017, 288, 79–96. [Google Scholar] [CrossRef]
- Wang, Z.Y.; Chen, L.; Sun, F.L.; Luo, X.X.; Wang, H.F.; Liu, G.; Xu, Z.H.; Jiang, Z.X.; Pan, B.; Zheng, H. Effects of adding biochar on the properties and nitrogen bioavailability of an acidic soil. Eur. J. Soil Sci. 2017, 68, 559–572. [Google Scholar] [CrossRef]
- Subedi, R.; Taupe, N.; Pelissetti, S.; Petruzzelli, L.; Bertora, C.; Leahy, J.J.; Grignani, C. Greenhouse gas emissions and soil properties following amendment with manure-derived biochars: Influence of pyrolysis temperature and feedstock type. J. Environ. Manag. 2016, 166, 73–83. [Google Scholar] [CrossRef] [PubMed]
- Hagner, M.; Kemppainen, R.; Jauhiainen, L.; Tiilikkala, K.; Setälä, H. The effects of birch (Betula spp.) biochar and pyrolysis temperature on soil properties and plant growth. Soil Tillage Res. 2016, 163, 224–234. [Google Scholar] [CrossRef]
- Prayogo, C.; Jones, J.E.; Baeyens, J.; Bending, G.D. Impact of biochar on mineralisation of C and N from soil and willow litter and its relationship with microbial community biomass and structure. Biol. Fertil. Soils 2013, 50, 695–702. [Google Scholar] [CrossRef]
- Cui, J.; Ge, T.; Kuzyakov, Y.; Nie, M.; Fang, C.; Tang, B.; Zhou, C. Interactions between biochar and litter priming: A three-source 14C and δ13C partitioning study. Soil Biol. Biochem. 2017, 104, 49–58. [Google Scholar] [CrossRef]
- Mukherjee, A.; Zimmerman, A.R. Organic carbon and nutrient release from a range of laboratory-produced biochars and biochar–soil mixtures. Geoderma 2013, 193, 122–130. [Google Scholar] [CrossRef]
- Zhao, R.; Wu, J.; Jiang, C.; Liu, F. Effects of biochar particle size and concomitant nitrogen fertilization on soil microbial community structure during the maize seedling stage. Environ. Sci. Pollut. Res. 2020, 27, 13095–13104. [Google Scholar] [CrossRef]
- Güereña, D.T.; Lehmann, J.; Thies, J.E.; Enders, A.; Karanja, N.; Neufeldt, H. Partitioning the contributions of biochar properties to enhanced biological nitrogen fixation in common bean (Phaseolus vulgaris). Biol. Fertil. Soils 2015, 51, 479–491. [Google Scholar] [CrossRef]
- Dutta, T.; Kwon, E.E.; Bhattacharya, S.S.; Jeon, B.-H.; Deep, A.; Uchimiya, M.; Kim, K.-H. Polycyclic aromatic hydrocarbons and volatile organic compounds in biochar and biochar-amended soil: A review. GCB Bioenergy 2016, 9, 990–1004. [Google Scholar] [CrossRef]
- Backer, R.; Ghidotti, M.; Schwinghamer, T.D.; Saeed, W.; Grenier, C.; Dion-Laplante, C.; Fabbri, D.; Dutilleul, P.; Seguin, P.; Smith, D.L. Getting to the root of the matter: Water-soluble and volatile components in thermally-treated biosolids and biochar differentially regulate maize (Zea mays) seedling growth. PLoS ONE 2018, 13, e0206924. [Google Scholar] [CrossRef]
- Deenik, J.L.; Diarra, A.; Uehara, G.; Campbell, S.B.; Sumiyoshi, Y.; Antal, M.J. Charcoal Ash and Volatile Matter Effects on Soil Properties and Plant Growth in an Acid Ultisol. Soil Sci. 2011, 176, 336–345. [Google Scholar] [CrossRef]
- Spokas, K.A.; Novak, J.M.; Stewart, C.E.; Cantrell, K.B.; Uchimiya, M.; DuSaire, M.G.; Ro, K.S. Qualitative analysis of volatile organic compounds on biochar. Chemosphere 2011, 85, 869–882. [Google Scholar] [CrossRef] [PubMed]
- Steiner, C.; Das, K.C.; Garcia, M.; Förster, B.; Zech, W. Charcoal and smoke extract stimulate the soil microbial community in a highly weathered xanthic Ferralsol. Pedobiology 2008, 51, 359–366. [Google Scholar] [CrossRef]
- Dempster, D.N.; Gleeson, D.B.; Solaiman, Z.; Jones, D.L.; Murphy, D.V. Decreased soil microbial biomass and nitrogen mineralisation with Eucalyptus biochar addition to a coarse textured soil. Plant Soil 2012, 354, 311–324. [Google Scholar] [CrossRef]
- Jones, D.L.; Rousk, J.; Edwardsjones, G.; DeLuca, T.H.; Murphy, D.V. Biochar-mediated changes in soil quality and plant growth in a three year field trial. Soil Biol. Biochem. 2012, 45, 113–124. [Google Scholar] [CrossRef]
- Rousk, J.; Dempster, D.N.; Jones, D.L. Transient biochar effects on decomposer microbial growth rates: Evidence from two agricultural case-studies. Eur. J. Soil Sci. 2013, 64, 770–776. [Google Scholar] [CrossRef]
- Rittl, T.F.; Novotny, E.H.; Balieiro, F.C.; Hoffland, E.; Alves, B.J.R.; Kuyper, T.W. Negative priming of native soil organic carbon mineralization by oilseed biochars of contrasting quality. Eur. J. Soil Sci. 2015, 66, 714–721. [Google Scholar] [CrossRef]
- Anders, E.; Watzinger, A.; Rempt, F.; Kitzler, B.; Wimmer, B.; Zehetner, F.; Stahr, K.; Zechmeister-Boltenstern, S.; Soja, G. Biochar affects the structure rather than the total biomass of microbial communities in temperate soils. Agric. Food Sci. 2013, 22, 404–423. [Google Scholar] [CrossRef]
- Gul, S.; Whalen, J.K.; Thomas, B.W.; Sachdeva, V.; Deng, H. Physico-chemical properties and microbial responses in biochar-amended soils: Mechanisms and future directions. Agric. Ecosyst. Environ. 2015, 206, 46–59. [Google Scholar] [CrossRef]
- Gao, S.; DeLuca, T.H.; Cleveland, C.C. Biochar additions alter phosphorus and nitrogen availability in agricultural ecosystems: A meta-analysis. Sci. Total Environ. 2019, 654, 463–472. [Google Scholar] [CrossRef]





| Ash | VMa | TCb | TNc | pH | Pd | K | Ca | Mg | Na | Al | |
|---|---|---|---|---|---|---|---|---|---|---|---|
| ---------------g kg−1-------------- | mg kg−1 | -------------cmolc kg−1------------ | |||||||||
| Unamended Leilehua soil | 42.8 | 1.2 | 4.7 | 2.22 | 0.09 | 0.72 | 0.52 | 0.29 | 1.61 | ||
| Incubation 1: soil amendments | |||||||||||
| Biomass | |||||||||||
| Raw corncob | 417 | ||||||||||
| Raw kiawe | 421 | ||||||||||
| Biochar | |||||||||||
| 23% VM corncob | 31 | 230 | 694 | 7.3 | |||||||
| 23% VM corncob e | ndf | nd | nd | nd | |||||||
| 7.6% VM corncob | 76 | 76 | 823 | 7.5 | |||||||
| 23% VM kiawe | nd | 230 | 784 | 6.2 | |||||||
| Incubation 2: soil amendments | |||||||||||
| Biochar | |||||||||||
| 34% VM corncob | 38 | 340 | 624 | ||||||||
| 7.6% VM corncob | 76 | 76 | 823 | 7.5 | |||||||
| Incubation 3: soil amendments | |||||||||||
| Biochar | |||||||||||
| 23% VM corncob | 31 | 230 | 694 | 7.3 | |||||||
| 23% VM corncob e | nd | nd | nd | nd | 23% VM corncob e | nd | nd | nd | nd | ||
| 23% VM corncob extract g | nd | nd | nd | nd | 23% VM corncob extract g | nd | nd | nd | nd | ||
| Region | Alkyl | Amine + Methoxyl | O-Alkyl | O2- Alkyl + Alkene | Aromatic | Phenolic | Amide + Carboxyl | Ketone + Aldehyde |
|---|---|---|---|---|---|---|---|---|
| (ppm) | 0–45 | 45–60 | 60–95 | 95–110 | 110–145 | 145–165 | 165–190 | 190–215 |
| Integral areas (percentage of total spectral area) | ||||||||
| 23% VM corncob | 8.8 | 0.9 | 2.2 | 3.2 | 65.9 | 10.6 | 7.1 | 1.3 |
| H2O extract | 9.6 | 1.0 | 2.9 | 2.9 | 63.9 | 15.2 | 2.7 | 1.8 |
| 7% VM corncob | 5.8 | 1.6 | 3.2 | 3.2 | 72.3 | 9.4 | 3.9 | 0.6 |
| H2O extract | 61.4 | 38.6 | ||||||
| 23% VM kiawe | 10.1 | 3.5 | 6.7 | 7.0 | 56.7 | 11.6 | 3.0 | 1.5 |
| H2O extract | 9.8 | 2.6 | 3.7 | 5.2 | 51.7 | 18.9 | 6.1 | 1.9 |
Publisher’s Note: MDPI stays neutral with regard to jurisdictional claims in published maps and institutional affiliations. |
© 2021 by the authors. Licensee MDPI, Basel, Switzerland. This article is an open access article distributed under the terms and conditions of the Creative Commons Attribution (CC BY) license (http://creativecommons.org/licenses/by/4.0/).
Share and Cite
Maaz, T.M.; Hockaday, W.C.; Deenik, J.L. Biochar Volatile Matter and Feedstock Effects on Soil Nitrogen Mineralization and Soil Fungal Colonization. Sustainability 2021, 13, 2018. https://doi.org/10.3390/su13042018
Maaz TM, Hockaday WC, Deenik JL. Biochar Volatile Matter and Feedstock Effects on Soil Nitrogen Mineralization and Soil Fungal Colonization. Sustainability. 2021; 13(4):2018. https://doi.org/10.3390/su13042018
Chicago/Turabian StyleMaaz, Tai McClellan, William C. Hockaday, and Jonathan L. Deenik. 2021. "Biochar Volatile Matter and Feedstock Effects on Soil Nitrogen Mineralization and Soil Fungal Colonization" Sustainability 13, no. 4: 2018. https://doi.org/10.3390/su13042018
APA StyleMaaz, T. M., Hockaday, W. C., & Deenik, J. L. (2021). Biochar Volatile Matter and Feedstock Effects on Soil Nitrogen Mineralization and Soil Fungal Colonization. Sustainability, 13(4), 2018. https://doi.org/10.3390/su13042018

