Sensitivity of Irrigation Water Requirement to Climate Change in Arid and Semi-Arid Regions towards Sustainable Management of Water Resources
Abstract
:1. Introduction
2. Materials and Methods
2.1. Study Area
2.2. Modeling
2.2.1. LARS-WG
2.2.2. CROPWAT 8
Re = 125 + 0.1R for R > 250 mm
2.3. Data
2.4. Methodology
3. Results
3.1. Minimum and Maximum Temperature and Precipitation in RP
3.2. Future Trend in Minimum and Maximum Temperatures
3.3. Future Trend in ET0
3.4. Future Trend in Precipitation and Effective Rainfall
3.5. Future Trends in NIWR
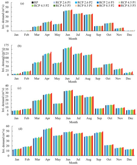
3.6. Trend in Irrigation Water Demand
4. Discussion
5. Conclusions
Author Contributions
Funding
Institutional Review Board Statement
Informed Consent Statement
Data Availability Statement
Acknowledgments
Conflicts of Interest
References
- Fischer, G.; Tubiello, F.N.; van Velthuizen, H.; Wiberg, D. Climate change impacts on irrigation water requirements: Effects of mitigation, 1990–2080. Technol. Forecast. Soc. Chang. 2007, 74, 1083–1107. [Google Scholar] [CrossRef] [Green Version]
- Schultz, B.; Tardieu, H.; Vidal, A. Role of water management for global food production and poverty alleviation. Irrig. Drain. 2009, 58, S3–S21. [Google Scholar] [CrossRef]
- FAO. The State of the World’s Land and Water Resources: Managing Systems at Risk; FAO by Earthscan: Abingdon, UK, 2011. [Google Scholar]
- Shalhevet, J.; Bielorai, H. Crop water requirement in relation to climate and soil. Soil Sci. 1978, 125, 240–247. [Google Scholar] [CrossRef]
- Kang, Y.; Khan, S.; Ma, X. Climate change impacts on crop yield, crop water productivity and food security—A review. Prog. Nat. Sci. 2009, 19, 1665–1674. [Google Scholar] [CrossRef]
- Konzmann, M.; Gerten, D.; Heinke, J. Impacts climatiques selon 19 MCG sur les besoins globaux en irrigation simulés par un modèle d’hydrologie et de végétation. Hydrol. Sci. J. 2013, 58, 88–105. [Google Scholar] [CrossRef]
- Zhu, X.; Zhao, A.; Li, Y.; Liu, X. Agricultural irrigation requirements under future climate scenarios in China. J. Arid Land 2014, 7, 224–237. [Google Scholar] [CrossRef] [Green Version]
- Islam, Z.; Gan, T.Y. Future Irrigation Demand of South Saskatchewan River Basin under the Combined Impacts of Climate Change and El Niño Southern Oscillation. Water Resour. Manag. 2015, 29, 2091–2105. [Google Scholar] [CrossRef]
- Gorguner, M.; Kavvas, M.L. Modeling impacts of future climate change on reservoir storages and irrigation water demands in a Mediterranean basin. Sci. Total Environ. 2020, 748, 141246. [Google Scholar] [CrossRef]
- Abtew, W.; Melesse, A. Evaporation and Evapotranspiration: Measurements and Estimations; Springer Science: Dordrecht, The Netherlands, 2013; pp. 1–206. ISBN 9789400747. [Google Scholar] [CrossRef]
- Holsten, A.; Vetter, T.; Vohland, K.; Krysanova, V. Impact of climate change on soil moisture dynamics in Brandenburg with a focus on nature conservation areas. Ecol. Model. 2009, 220, 2076–2087. [Google Scholar] [CrossRef]
- Leng, G.; Tang, Q.; Huang, M.; Leung, L.-Y.R. A comparative analysis of the impacts of climate change and irrigation on land surface and subsurface hydrology in the North China Plain. Reg. Environ. Chang. 2015, 15, 251–263. [Google Scholar] [CrossRef]
- Hauser, M.; Orth, R.; Seneviratne, S.I. Role of soil moisture versus recent climate change for the 2010 heat wave in western Russia. Geophys. Res. Lett. 2016, 43, 2819–2826. [Google Scholar] [CrossRef] [Green Version]
- Haskett, J.; Pachepsky, Y.; Acock, B. Effect of climate and atmospheric change on soybean water stress: A study of Iowa. Ecol. Model. 2000, 135, 265–277. [Google Scholar] [CrossRef]
- Wang, X.-J.; Zhang, J.-Y.; Ali, M.; Shahid, S.; He, R.-M.; Xia, X.; Jiang, Z. Impact of climate change on regional irrigation water demand in Baojixia irrigation district of China. Mitig. Adapt. Strat. Glob. Chang. 2014, 21, 233–247. [Google Scholar] [CrossRef]
- Guo, Y.; Shen, Y. Agricultural water supply/demand changes under projected future climate change in the arid region of northwestern China. J. Hydrol. 2016, 540, 257–273. [Google Scholar] [CrossRef]
- Misra, A.K. Climate change and challenges of water and food security. Int. J. Sustain. Built Environ. 2014, 3, 153–165. [Google Scholar] [CrossRef] [Green Version]
- Zhang, X.; Aguilar, E.; Sensoy, S.; Melkonyan, H.; Tagiyeva, U.; Ahmed, N.; Kutaladze, N.; Rahimzadeh, F.; Taghipour, A.; Hantosh, T.H.; et al. Trends in Middle East climate extreme indices from 1950 to 2003. J. Geophys. Res. Space Phys. 2005, 110, 1–12. [Google Scholar] [CrossRef]
- Ouarda, T.B.M.J.; Charron, C.; Kumar, K.N.; Phanikumar, D.V.; Molini, A.; Basha, G. Nonstationary warm spell frequency analysis integrating climate variability and change with application to the Middle East. Clim. Dyn. 2019, 53, 5329–5347. [Google Scholar] [CrossRef]
- Lelieveld, J.; Hadjinicolaou, P.; Kostopoulou, E.; Chenoweth, J.; El Maayar, M.; Giannakopoulos, C.; Hannides, C.; Lange, M.A.; Tanarhte, M.; Tyrlis, E.; et al. Climate change and impacts in the Eastern Mediterranean and the Middle East. Clim. Chang. 2012, 114, 667–687. [Google Scholar] [CrossRef] [Green Version]
- Waha, K.; Krummenauer, L.; Adams, S.; Aich, V.; Baarsch, F.; Coumou, D.; Fader, M.; Hoff, H.; Jobbins, G.; Marcus, R.; et al. Climate change impacts in the Middle East and Northern Africa (MENA) region and their implications for vulnerable population groups. Reg. Environ. Chang. 2017, 17, 1623–1638. [Google Scholar] [CrossRef]
- Sowers, J.; Vengosh, A.; Weinthal, E. Climate change, water resources, and the politics of adaptation in the Middle East and North Africa. Clim. Chang. 2010, 104, 599–627. [Google Scholar] [CrossRef]
- Awchi, T.A.; Kalyana, M.M. Meteorological drought analysis in northern Iraq using SPI and GIS. Sustain. Water Resour. Manag. 2017, 3, 451–463. [Google Scholar] [CrossRef]
- Salman, S.A.; Shahid, S.; Afan, H.A.; Shiru, M.S.; Al-Ansari, N.; Yaseen, Z.M. Changes in Climatic Water Availability and Crop Water Demand for Iraq Region. Sustainability 2020, 12, 3437. [Google Scholar] [CrossRef] [Green Version]
- Ewaid, S.H.; Abed, S.A.; Al-Ansari, N. Crop Water Requirements and Irrigation Schedules for Some Major Crops in Southern Iraq. Water 2019, 11, 756. [Google Scholar] [CrossRef] [Green Version]
- Abdulhadi, J.S.; Alwan, H.H. Evaluation of the scheduling of an existing drip irrigation network: Fadak Farm, Karbala, Iraq. IOP Conf. Ser. Mater. Sci. Eng. 2021, 1067, 012024. [Google Scholar] [CrossRef]
- Al-Shammari, M.H.J.; Algretawee, H.; Al-Aboodi, A.H. Using Eight Crops to Show the Correlation between Paucity Irrigation and Yield Reduction of Al-Hussainiyah Irrigation Project in Karbala, Iraq. J. Eng. 2020, 2020, 4672843. [Google Scholar] [CrossRef]
- Tsakmakis, I.D.; Zoidou, M.; Gikas, G.D.; Sylaios, G.K. Impact of Irrigation Technologies and Strategies on Cotton Water Footprint Using AquaCrop and CROPWAT Models. Environ. Process. 2018, 5, 181–199. [Google Scholar] [CrossRef]
- Abedinpour, M.; Sarangi, A.; Rajput, T.B.S.; Singh, M. Prediction of maize yield under future water availability scenarios using the AquaCrop model. J. Agric. Sci. 2014, 152, 558–574. [Google Scholar] [CrossRef]
- Moseki, O.; Murray-Hudson, M.; Kashe, K. Crop water and irrigation requirements of Jatropha curcas L. in semi-arid conditions of Botswana: Applying the CROPWAT model. Agric. Water Manag. 2019, 225, 105754. [Google Scholar] [CrossRef]
- Mondal, P.; Jain, M.; Robertson, A.W.; Galford, G.; Small, C.; DeFries, R.S. Winter crop sensitivity to inter-annual climate variability in central India. Clim. Chang. 2014, 126, 61–76. [Google Scholar] [CrossRef] [Green Version]
- Rasul, A.; Balzter, H.; Smith, C. Spatial variation of the daytime Surface Urban Cool Island during the dry season in Erbil, Iraqi Kurdistan, from Landsat 8. Urban Clim. 2015, 14, 176–186. [Google Scholar] [CrossRef] [Green Version]
- Al-Faraj, F.A.M.; Scholz, M.; Tigkas, D. Sensitivity of Surface Runoff to Drought and Climate Change: Application for Shared River Basins. Water 2014, 6, 3033–3048. [Google Scholar] [CrossRef]
- Food and Fgriculture Organization of the United Nations. Medium-Term Strategy for Fao Assistance to Iraq; FAO: Amman, Jordan, 2008. [Google Scholar]
- Jaradat, A.A. Agriculture in Iraq: Resources, Potentials, Constraints, Research Needs and Priorities. J. Food Agric. Environ. 2003, 1, 160–166. [Google Scholar]
- Japan International Cooperation Agency. Data Collection Survey on Water Resource Management and Agriculture Irrigation in the Republic of Iraq; NTC International Co., Ltd.: Tokyo, Japan, 2016; p. 125. [Google Scholar]
- Semenov, M.A.; Barrow, E.M. LARS-WG: A Stochastic Weather Generator for Use in Climate Impact Studies Version 3. User Manual; Rothamsted Research: Hertfordshire, UK, 2002; p. 27. [Google Scholar]
- Allen, R.G.; Pereira, L.S.; Raes, D.; Smith, M. FAO Irrigation and drainage paper No. 56. Irrig. Drain. 1998, 56, e156. [Google Scholar]
- Helms, D. Readings in the History of the Soil Conservation Service; US Department of Agriculture, Soil Conservation Service, Economics and Social Sciences Division: Washington, DC, USA, 1991; Volume 16, pp. 24–28. Available online: https://www.nrcs.usda.gov/Internet/FSE_DOCUMENTS/stelprdb1043484.pdf (accessed on 20 August 2021).
- Howell, T.A. Irrigation System Efficiencies; United States Department of Agriculture (USDA): Washington, DC, USA, 2002. Available online: https://www.ksre.k-state.edu/irrigate/oow/p02/Howell02.pdf (accessed on 2 October 2021).
- Rai, R.K.; Singh, V.P.; Upadhyay, A. Chapter 12—Irrigation Scheduling. In Planning and Evaluation of Irrigation Projects; Academic Press: Cambridge, MA, USA, 2017; pp. 385–412. Available online: http://www.sciencedirect.com/science/article/pii/B9780128117484000121 (accessed on 5 September 2021).
- Weiland, F.C.S.; Tisseuil, C.; Dürr, H.H.; Vrac, M.; van Beek, L.P.H. Selecting the optimal method to calculate daily global reference potential evaporation from CFSR reanalysis data for application in a hydrological model study. Hydrol. Earth Syst. Sci. 2012, 16, 983–1000. [Google Scholar] [CrossRef] [Green Version]
- Tolera, M.B.; Chung, I.M.; Chang, S.W. Evaluation of the Climate Forecast System Reanalysis Weather Data for Watershed Modeling in Upper Awash Basin, Ethiopia. Water 2018, 10, 725. [Google Scholar] [CrossRef] [Green Version]
- Batjes, N.H. A world dataset of derived soil properties by FAO?UNESCO soil unit for global modelling. Soil Use Manag. 1997, 13, 9–16. [Google Scholar] [CrossRef]
- Reynolds, C.A.; Jackson, T.J.; Rawls, W.J. Estimating soil water-holding capacities by linking the Food and Agriculture Organization Soil map of the world with global pedon databases and continuous pedotransfer functions. Water Resour. Res. 2000, 36, 3653–3662. [Google Scholar] [CrossRef]
- Wang, W.; Yu, Z.; Zhang, W.; Shao, Q.; Luo, Y.; Jiao, X.; Xu, J. Responses of rice yield, irrigation water requirement and water use efficiency to climate change in China: Historical simulation and future projections. Agric. Water Manag. 2014, 146, 249–261. [Google Scholar] [CrossRef]
- Zamani, R.; Akhond-Ali, A.-M.; Roozbahani, A.; Fattahi, R. Risk assessment of agricultural water requirement based on a multi-model ensemble framework, southwest of Iran. Theor. Appl. Clim. 2017, 129, 1109–1121. [Google Scholar] [CrossRef]
- Brouziyne, Y.; Abouabdillah, A.; Hirich, A.; Bouabid, R.; Zaaboul, R.; Benaabidate, L. Modeling sustainable adaptation strategies toward a climate-smart agriculture in a Mediterranean watershed under projected climate change scenarios. Agric. Syst. 2018, 162, 154–163. [Google Scholar] [CrossRef]
- UNESCO. Map of the World Distribution of Arid Regions: Explanatory Note; United Nations: Paris, France, 1979; Volume 7. [Google Scholar]
- Wasimi, S. Climate change in the Middle East and North Africa (MENA) region and implications for water resources project planning and management. Int. J. Clim. Chang. Strat. Manag. 2010, 2, 297–320. [Google Scholar] [CrossRef]
- Evans, J.P. 21st century climate change in the Middle East. Clim. Chang. 2008, 92, 417–432. [Google Scholar] [CrossRef]
- Chenoweth, J.; Hadjinicolaou, P.; Bruggeman, A.; Lelieveld, J.; Levin, Z.; Lange, M.A.; Xoplaki, E.; Hadjikakou, M. Impact of climate change on the water resources of the eastern Mediterranean and Middle East region: Modeled 21st century changes and implications. Water Resour. Res. 2011, 47, 1–18. [Google Scholar] [CrossRef]
- Lu, Y.; Jin, J.; Kueppers, L. Crop growth and irrigation interact to influence surface fluxes in a regional climate-cropland model (WRF3.3-CLM4crop). Clim. Dyn. 2015, 45, 3347–3363. [Google Scholar] [CrossRef] [Green Version]
- Hong, E.-M.; Nam, W.-H.; Choi, J.-Y.; Pachepsky, Y. Projected irrigation requirements for upland crops using soil moisture model under climate change in South Korea. Agric. Water Manag. 2016, 165, 163–180. [Google Scholar] [CrossRef] [Green Version]
- Mirgol, B.; Nazari, M.; Eteghadipour, M. Modelling Climate Change Impact on Irrigation Water Requirement and Yield of Winter Wheat (Triticum aestivum L.), Barley (Hordeum vulgare L.), and Fodder Maize (Zea mays L.) in the Semi-Arid Qazvin Plateau, Iran. Agriculture 2020, 10, 60. [Google Scholar] [CrossRef] [Green Version]
- Bouazzama, B.; Xanthoulis, D.; Bouaziz, A.; Ruelle, P.; Mailhol, J.C. Effect of water stress on growth, water consumption and yield of silage maize under flood irrigation in a semi-arid climate of Tadla (Morocco). Biotechnol. Agron. Soc. Environ. BASE 2012, 16, 468–477. [Google Scholar]
- Kirnak, H.; Dogan, E. Effect of seasonal water stress imposed on drip irrigated second crop watermelon grown in semi-arid climatic conditions. Irrig. Sci. 2009, 27, 155–164. [Google Scholar] [CrossRef]











| Climate Variable | Mosul | Kirkuk | Khalis | Kut |
|---|---|---|---|---|
| Minimum temperature | 0.99 1 (0.96) 2 | 0.99 (0.99) | 0.99 (0.99) | 0.99 (0.99) |
| Maximum temperature | 0.99 (0.94) | 0.99 (0.99) | 0.99 (0.99) | 0.99 (0.99) |
| Precipitation | 0.98 (0.95) | 0.94 (0.86) | 0.933 (0.93) | 0.935 (0.85) |
| Scenario | Mosul | Kirkuk | Khalis | Kut |
|---|---|---|---|---|
| RP | 0.29 | 0.15 | 0.06 | 0.05 |
| RCP 2.6 P1 | 0.28 | 0.14 | 0.06 | 0.05 |
| RCP 2.6 P2 | 0.29 | 0.14 | 0.06 | 0.05 |
| RCP 2.6 P3 | 0.28 | 0.14 | 0.06 | 0.04 |
| RCP 4.5 P1 | 0.28 | 0.14 | 0.06 | 0.04 |
| RCP 4.5 P2 | 0.28 | 0.14 | 0.06 | 0.04 |
| RCP 4.5 P3 | 0.26 | 0.13 | 0.05 | 0.04 |
| RCP 8.5 P1 | 0.28 | 0.14 | 0.06 | 0.04 |
| RCP 8.5 P2 | 0.27 | 0.13 | 0.06 | 0.04 |
| RCP 8.5 P3 | 0.25 | 0.12 | 0.05 | 0.04 |
| UNESCO range | 0.2–0.5 | 0.03–0.2 | 0.03–0.2 | 0.03–0.2 |
| UNESCO classification | Semi-arid | Arid | Arid | Arid |
| Crop | P 1–H 2 Dates | NIWR 3 | P1 | RCP 2.6 P2 | P3 | P1 | RCP 4.5 P2 | P3 | P1 | RCP 8.5 P2 | P3 |
|---|---|---|---|---|---|---|---|---|---|---|---|
| Wheat | 1/11–23/6 | 406 | 0.5 10 | 3.0 | 3.4 | 1.5 | 5.2 | 9.4 | 3.2 | 8.9 | 16.7 |
| Barley | 10/10–30/5 | 33 | 0.6 | 3.0 | 3.4 | 3.5 | 12.1 | 27.3 | 6.1 | 33.3 | 42.4 |
| S. maize 4 | 1/4–1/10 | 625 | 0.2 | 2.4 | 2.5 | 0.5 | 1.3 | 5.3 | 1.4 | 5.4 | 10.1 |
| Sunflower | 1/3–5/8 | 437 | 0.2 | 3.0 | 3.2 | 0.5 | 1.6 | 7.1 | 1.8 | 6.6 | 13.9 |
| Cotton | 1/4–14/9 | 1062 | 0.0 | 2.6 | 3.1 | 0.4 | 1.9 | 5.6 | 2.4 | 5.7 | 10.7 |
| S. Potato 5 | 15/3–10/7 | 375 | 0.3 | 3.5 | 3.2 | 1.1 | 2.7 | 8.8 | 2.7 | 7.7 | 16.8 |
| S. S. V. 6 | 15/2–20/5 | 129 | 2.2 | 4.7 | 4.7 | 0.2 | 4.7 | 15.5 | 3.9 | 10.9 | 26.9 |
| Soybean | 1/5–7/9 | 442 | 0.2 | 2.7 | 2.9 | 0.9 | 2.7 | 5.4 | 1.8 | 5.7 | 9.5 |
| Small grains | 15/3–29/7 | 844 | 0.1 | 2.5 | 2.8 | 0.1 | 1.5 | 5.3 | 2.0 | 5.6 | 10.2 |
| Millet | 1/7–15/10 | 382 | 0.3 | 2.1 | 2.4 | 0.8 | 2.3 | 6.0 | 1.0 | 5.0 | 9.4 |
| Tomato | 15/3–10/7 | 716 | 0.1 | 2.5 | 2.9 | 0.3 | 2.7 | 5.6 | 2.2 | 5.7 | 11.0 |
| Sorghum | 1/4–7/9 | 536 | 0.2 | 2.8 | 2.6 | 0.4 | 2.9 | 5.8 | 1.5 | 5.8 | 11.0 |
| A. Maize 7 | 15/6–31/10 | 680 | 0.3 | 1.8 | 1.8 | 0.4 | 1.9 | 5.1 | 1.4 | 4.6 | 8.8 |
| A. Potato 8 | 12/8–29/11 | 345 | 0.6 | 1.4 | 1.4 | 1.4 | 2.6 | 7.5 | 1.5 | 7.2 | 12.1 |
| A. S. V. 9 | 15/10–29/7 | 46 | 0.8 | 2.2 | 2.2 | 3 | 8.7 | 19.6 | 4.3 | 23.9 | 25.5 |
| Alfalfa | All seasons | 829 | 0.1 | 2.3 | 3.0 | 1.1 | 3.6 | 6.9 | 2.9 | 6.3 | 11.6 |
| Crop | P–H Dates | NIWR | P1 | RCP 2.6 P2 | P3 | P1 | RCP 4.5 P2 | P3 | P1 | RCP 8.5 P2 | P3 |
|---|---|---|---|---|---|---|---|---|---|---|---|
| Wheat | 1/11–29/5 | 609 | 7.2 | 9.7 | 9.9 | 7.1 | 10.5 | 16.4 | 8.0 | 14.4 | 24.1 |
| Barley | 15/10–6/5 | 128 | 11.7 | 13.3 | 14.1 | 10.2 | 17.2 | 28.9 | 14.1 | 26.6 | 44.5 |
| S. maize | 1/4–15/8 | 722 | 4.7 | 6.3 | 6.9 | 4.6 | 7.5 | 9.8 | 5.7 | 9.1 | 15.1 |
| Sunflower | 1/3–15/7 | 757 | 4.6 | 6.2 | 6.8 | 4.6 | 7.7 | 9.9 | 5.7 | 9.2 | 15.1 |
| Cotton | 1/4–26/8 | 1288 | 4.2 | 6.2 | 6.5 | 4.3 | 7.0 | 8.6 | 5.0 | 8.5 | 13.1 |
| S. Potato | 15/2–21/6 | 723 | 5.1 | 7.6 | 7.9 | 5.1 | 8.0 | 10.7 | 6.1 | 9.8 | 16.2 |
| S. S. V. | 15/2–20/5 | 385 | 6.5 | 9.2 | 9.5 | 6.5 | 9.6 | 14 | 7.5 | 12.2 | 20.8 |
| Soybean | 15/4–20/9 | 484 | 5.4 | 7.4 | 7.7 | 5.2 | 8.1 | 11.2 | 6.2 | 9.9 | 16.9 |
| Small grains | 1/3–1/7 | 957 | 4.4 | 6.5 | 6.9 | 4.4 | 7.2 | 9.2 | 5.3 | 8.9 | 14.0 |
| Millet | 15/6–1/10 | 615 | 1.8 | 3.4 | 3.8 | 2.4 | 4.1 | 6.2 | 2.8 | 5.9 | 9.4 |
| Tomato | 15/3–10/7 | 1122 | 4.0 | 5.4 | 5.8 | 3.9 | 6.6 | 8.3 | 4.8 | 8.1 | 12.6 |
| Sorghum | 1/4–13/8 | 811 | 3.9 | 5.7 | 5.9 | 3.7 | 6.5 | 8.4 | 4.9 | 8.1 | 12.8 |
| A. Maize | 20/6–10/10 | 898 | 2.1 | 3.1 | 3.9 | 2.4 | 4.2 | 6.0 | 3.1 | 5.9 | 9.2 |
| A. Potato | 22/8–20/12 | 456 | 3.7 | 5.0 | 5.4 | 3.5 | 6.1 | 10.3 | 4.8 | 9.4 | 15.4 |
| A. S. V. | 15/10–29/7 | 122 | 9.7 | 11.5 | 11.7 | 10.0 | 13.9 | 24.6 | 12.3 | 22.1 | 36.1 |
| Alfalfa | All seasons | 1577 | 3.9 | 5.3 | 5.7 | 4.1 | 6.4 | 8.7 | 4.5 | 8.1 | 12.2 |
| Crop | P–H Dates | NIWR | P1 | RCP 2.6 P2 | P3 | P1 | RCP 4.5 P2 | P3 | P1 | RCP 8.5 P2 | P3 |
|---|---|---|---|---|---|---|---|---|---|---|---|
| Wheat | 1/11–29/5 | 1202 | 2.1 | 2.8 | 3.7 | 2.7 | 4.5 | 7.1 | 2.9 | 5.7 | 10.1 |
| Barley | 15/10–6/5 | 175 | 7.4 | 9.1 | 9.6 | 7.5 | 11.4 | 18.9 | 8.0 | 13.7 | 25.1 |
| S. maize | 1/4–15/8 | 1143 | 1.5 | 2.4 | 2.9 | 1.5 | 3.3 | 5.0 | 2.0 | 4.5 | 6.6 |
| Sunflower | 5/3–15/7 | 1009 | 1.4 | 2.4 | 2.5 | 1.6 | 3.5 | 5.5 | 2.1 | 4.6 | 7.1 |
| Cotton | 1/4–31/8 | 1879 | 1.2 | 2.3 | 2.9 | 1.6 | 3.4 | 4.7 | 2.0 | 4.3 | 6.5 |
| S. Potato | 15/2–21/6 | 957 | 1.6 | 2.5 | 2.6 | 1.6 | 3.8 | 5.9 | 2.4 | 4.8 | 7.9 |
| S. S. V. | 15/2–20/5 | 557 | 2.0 | 2.9 | 3.3 | 2.7 | 4.5 | 7.0 | 3.1 | 5.6 | 9.7 |
| Soybean | 15/4–25/9 | 824 | 1.2 | 2.2 | 3.2 | 2.6 | 2.9 | 4.6 | 1.6 | 4.1 | 6.3 |
| Small grains | 1/3–1/7 | 1483 | 1.5 | 2.6 | 2.8 | 1.5 | 3.4 | 4.9 | 2.1 | 4.5 | 6.5 |
| Millet | 15/6–1/10 | 652 | 1.2 | 2.9 | 3.1 | 1.5 | 3.8 | 5.1 | 2.3 | 4.6 | 7.4 |
| Tomato | 15/3–10/7 | 1400 | 1.4 | 2.4 | 2.7 | 1.6 | 3.4 | 5.0 | 2.1 | 4.4 | 6.8 |
| Sorghum | 1/4–17/8 | 1017 | 1.6 | 2.7 | 3.2 | 1.7 | 3.4 | 5.2 | 2.1 | 4.6 | 6.7 |
| A. Maize | 20/6–25/10 | 1063 | 1.2 | 2.8 | 3.1 | 1.6 | 3.6 | 4.7 | 2.2 | 4.4 | 6.7 |
| A. Potato | 15/8–19/11 | 654 | 2.0 | 3.5 | 4.1 | 2.3 | 4.7 | 6.6 | 2.9 | 5.8 | 9.8 |
| A. S. V. | 15/10–29/7 | 219 | 5.0 | 6.4 | 9.9 | 6.0 | 8.7 | 12.8 | 5.5 | 10.0 | 17.8 |
| Alfalfa | all seasons | 1808 | 1.7 | 2.6 | 3.1 | 2.6 | 4.0 | 6.0 | 2.5 | 5.0 | 8.5 |
| Crop | P–H Dates | NIWR | P1 | RCP 2.6 P2 | P3 | P1 | RCP 4.5 P2 | P3 | P1 | RCP 8.5 P2 | P3 |
|---|---|---|---|---|---|---|---|---|---|---|---|
| Wheat | 1/11–29/5 | 1202 | 2.1 | 2.8 | 3.7 | 2.7 | 4.5 | 7.1 | 2.9 | 5.7 | 10.1 |
| Barley | 15/10–6/5 | 175 | 7.4 | 9.1 | 9.6 | 7.5 | 11.4 | 18.9 | 8.0 | 13.7 | 25.1 |
| S. maize | 1/4–15/8 | 1143 | 1.5 | 2.4 | 2.9 | 1.5 | 3.3 | 5.0 | 2.0 | 4.5 | 6.6 |
| Sunflower | 5/3–15/7 | 1009 | 1.4 | 2.4 | 2.5 | 1.6 | 3.5 | 5.5 | 2.1 | 4.6 | 7.1 |
| Cotton | 1/4–31/8 | 1879 | 1.2 | 2.3 | 2.9 | 1.6 | 3.4 | 4.7 | 2.0 | 4.3 | 6.5 |
| S. Potato | 15/2–21/6 | 957 | 1.6 | 2.5 | 2.6 | 1.6 | 3.8 | 5.9 | 2.4 | 4.8 | 7.9 |
| S. S. V. | 15/2–20/5 | 557 | 2.0 | 2.9 | 3.3 | 2.7 | 4.5 | 7.0 | 3.1 | 5.6 | 9.7 |
| Soybean | 15/4–25/9 | 824 | 1.2 | 2.2 | 3.2 | 2.6 | 2.9 | 4.6 | 1.6 | 4.1 | 6.3 |
| Small grains | 1/3–1/7 | 1483 | 1.5 | 2.6 | 2.8 | 1.5 | 3.4 | 4.9 | 2.1 | 4.5 | 6.5 |
| Millet | 15/6–1/10 | 652 | 1.2 | 2.9 | 3.1 | 1.5 | 3.8 | 5.1 | 2.3 | 4.6 | 7.4 |
| Tomato | 15/3–10/7 | 1400 | 1.4 | 2.4 | 2.7 | 1.6 | 3.4 | 5.0 | 2.1 | 4.4 | 6.8 |
| Sorghum | 1/4–17/8 | 1017 | 1.6 | 2.7 | 3.2 | 1.7 | 3.4 | 5.2 | 2.1 | 4.6 | 6.7 |
| A. Maize | 20/6–25/10 | 1063 | 1.2 | 2.8 | 3.1 | 1.6 | 3.6 | 4.7 | 2.2 | 4.4 | 6.7 |
| A. Potato | 15/8–19/11 | 654 | 2.0 | 3.5 | 4.1 | 2.3 | 4.7 | 6.6 | 2.9 | 5.8 | 9.8 |
| A. S. V. | 15/10–29/7 | 219 | 5.0 | 6.4 | 9.9 | 6.0 | 8.7 | 12.8 | 5.5 | 10.0 | 17.8 |
| Alfalfa | all seasons | 1808 | 1.7 | 2.6 | 3.1 | 2.6 | 4.0 | 6.0 | 2.5 | 5.0 | 8.5 |
Publisher’s Note: MDPI stays neutral with regard to jurisdictional claims in published maps and institutional affiliations. |
© 2021 by the authors. Licensee MDPI, Basel, Switzerland. This article is an open access article distributed under the terms and conditions of the Creative Commons Attribution (CC BY) license (https://creativecommons.org/licenses/by/4.0/).
Share and Cite
Saeed, F.H.; Al-Khafaji, M.S.; Al-Faraj, F.A.M. Sensitivity of Irrigation Water Requirement to Climate Change in Arid and Semi-Arid Regions towards Sustainable Management of Water Resources. Sustainability 2021, 13, 13608. https://doi.org/10.3390/su132413608
Saeed FH, Al-Khafaji MS, Al-Faraj FAM. Sensitivity of Irrigation Water Requirement to Climate Change in Arid and Semi-Arid Regions towards Sustainable Management of Water Resources. Sustainability. 2021; 13(24):13608. https://doi.org/10.3390/su132413608
Chicago/Turabian StyleSaeed, Fouad H., Mahmoud S. Al-Khafaji, and Furat A. Mahmood Al-Faraj. 2021. "Sensitivity of Irrigation Water Requirement to Climate Change in Arid and Semi-Arid Regions towards Sustainable Management of Water Resources" Sustainability 13, no. 24: 13608. https://doi.org/10.3390/su132413608
APA StyleSaeed, F. H., Al-Khafaji, M. S., & Al-Faraj, F. A. M. (2021). Sensitivity of Irrigation Water Requirement to Climate Change in Arid and Semi-Arid Regions towards Sustainable Management of Water Resources. Sustainability, 13(24), 13608. https://doi.org/10.3390/su132413608

