Abstract
Acacia dealbata and A. mearnsii are two invasive species found in coastal, mountain, and riparian Mediterranean habitats. Seed biology and germination traits are important drivers of the competitive performance of plants and may significantly contribute to biological invasions. The seeds of Acacia s.l. have physical dormancy due to an impermeable epidermal layer. The aim of this study was to assess the germination capacity of scarified and non-scarified seeds of A. dealbata and A. mearnsii from different areas of the Mediterranean Basin. To test the seed imbibition capacity, the increase in mass was evaluated. Non-scarified seeds were tested at 15, 20, and 25 °C in light conditions. Scarified seeds were tested at 5, 10, 15, 20, and 25 °C and 25/10 °C in light and dark conditions. Scarified seeds increased in mass more than non-scarified seeds. Both species showed a higher germination capacity at 25 °C in non-scarified seeds; A. dealbata reached a germination maximum of 55%, while A. mearnsii reached 40%, showing a difference among these populations. Scarified seeds of both species reached germination percentages >95% at all temperatures except at 5 °C in dark conditions. Scarification was necessary to break dormancy and promote germination. The present study provides new knowledge about the seed ecology and germinative behaviour of the two Acacia species under different pre-treatment, temperature, and photoperiod regimes, contributing to the understanding of their invasive behaviour.
1. Introduction
Invasive alien species represent the fifth leading cause of biodiversity loss, causing biotic homogenisation, i.e., a greater uniformity of the species composition of ecosystems, and changing ecosystems’ functions [1,2,3,4]. Biological invasion depends not only on the characteristics of the species, but also on those of the invaded habitats [5]. Furthermore, when alien plant species are introduced to extremely sensitive habitats, in particular if they are already degraded and fragmented, the capacity for invasion may also be favoured by a high propagule pressure [6]. The Mediterranean Basin is one of the main biodiversity mega hotspots in the world and has a high sensitivity to biological invasions due to its biogeographic, climatic, and socio-economic conditions [7,8,9]. Mediterranean islands are particularly vulnerable to plant invasions and there is clear evidence of this phenomenon being intensified in recent years [9,10,11,12]. In Mediterranean ecosystems and habitats, a high percentage of invasive alien plants are woody species that have been intentionally introduced for ornamental, reforestation, and afforestation purposes [13,14,15]. In riparian and coastal habitats, invasive woody species are featured as transformer species [16,17], with 21 of them included in the renowned and widely cited list of ‘100 of the World’s Worst Invaders’ [18]. Among woody invaders, the genus Acacia Mill. includes many of the most widely distributed invasive species of Mediterranean coastal, mountain, and riparian habitats and wetlands [19,20,21]. It represents one noteworthy example of a group that has displayed an overall high rate of escape, establishment, and invasive spread [11,22,23]. In southern Europe, from Portugal to Italy and in the Mediterranean islands, at least seven species of Australian acacias are considered widespread invaders (i.e., A. cyclops A.Cunn. ex G.Don, A. dealbata Link, A. longifolia (Andrews) Willd., A. mearnsii De Wild, A. melanoxylon R.Br., A. pycnantha Benth, and A. saligna (Labill.) H.L.Wendl.) [11,24,25], because they are a serious threat to native plant diversity and cause detrimental environmental impacts and management costs. Seed biology, ecology, seedbank density, and longevity are important drivers of plants’ competitive performance, contributing to the invasion success of Australian acacias [25,26]. Invasive plant species with persistent soil seedbanks are particularly difficult to manage since, even after the mature individuals are removed, they can easily recruit if germination requirements are met [27,28,29]. Moreover, many of these species release organic compounds that act as allelochemicals and can inhibit the germination and growth of native species [30]. Most species within Fabaceae have seeds with high physical exogenous dormancy caused by the testa (the outer seed coat), which prevents imbibition even under favourable environmental conditions [31]. The seed coats of almost all Australian Acacia species cause physical dormancy (hereafter PY) due to the presence of a water impermeable layer of palisade cells in the testa; therefore, seeds can remain viable and with PY unbroken after many years or even decades in the soil, forming persistent seedbanks [32]. These species are dependent on soil disturbance for establishment, and germination may be promoted by natural or human-driven scarification (e.g., fire, heat shock, and animal ingestion) [33,34] or even by the disturbance associated with clearing interventions [29]. The rate of imbibition depends on the water availability, seed structure and composition, water permeability of seed coat layers, and temperature [31]. Germination, that is, recruiting from the seedbank, is a response to environmental factors [35], and it is considered one of the most delicate phases of the life cycle of any plant [31]. Several environmental factors (e.g., water, light, and temperature) may determine differences in germination behaviour and cause specific adaptations [36]. Furthermore, several studies have highlighted the presence of intra-specific variation (inter-population variability) in seed germination and dormancy [21,31]. The inter-population variability in seed dormancy and germination can be due to environmental differences, genetic variations, or a combination of these two factors [37]. The present study focused on the germination ecology, under laboratory conditions, of two invasive tree species, A. dealbata and A. mearnsii, which are native to south-eastern Australia [38,39]; they were introduced to Europe during the nineteenth century, and they are presently invasive in coastal, mountain, and riparian habitats [40,41,42]. In the literature, there are currently very few studies that investigate the seed germination capacity of these two species (e.g., [43,44]); therefore, the aim of this study was to test the effects of scarification on seeds due to the presence of supposed PY under different conditions and to compare several Acacia populations from different areas of the Mediterranean Basin.
2. Materials and Methods
2.1. Study Area and Study Species
The collection area included six locations in the Mediterranean Basin: three from France, two from Italy, and one from Portugal (see Figure 1 and Table 1). These localities were chosen in order to cover different Mediterranean areas in which A. dealbata and A. mearnsii are considered invasive.
Figure 1.
Geographical provenance of the A. dealbata and A. mearnsii seed lots tested in this study.
Table 1.
Accession code, species, and population data for each of the seed provenances tested.
The genus Acacia s.l. belongs to the Fabaceae family, recently assigned to the subfamily Caesalpinoideae DC. [45,46], and it is distributed in the Australia-Pacific region, throughout southern Asia, in Africa, and in North and South America. The species studied in this research were A. dealbata (see Figure 2A–C) and A. mearnsii (Figure 2D–F).
Figure 2.
Mature individuals (A), fruits (B), and seeds (C) of A. dealbata and plants (D), mature fruits (E), and seeds (F) of A. mearnsii.
A. dealbata is a large shrub to tall tree (from 2–15 up to 30 m), with brown-grey to dark grey bark and silvery green to dark green densely hairy bipinnate leaves [47]. Its flowers are normally golden yellow [48], and its pods are bluish glaucous to brownish-red and oblong in shape [49], with irregular constrictions between seeds. The seeds are black [48], and they are shed and remain viable in the ground for many years. The A. dealbata reproduction strategy includes sexual reproduction through seed dispersion but also vegetative multiplication through stem layering and re-sprouting (after cutting, fire, or frost) [50]. In its native area, the species’ altitudinal range goes from 100 to 1000 m a.s.l. This species has a natural distribution in Australia from 350 to 1000 m a.s.l. [36]. It occurs in Australian mountain forests, in dry sclerophyllous forests, and along watercourses. In dry conditions, it does not reach the tree state but grows as a shrub [51]. It has a great invasive capacity, especially after fires; it prefers moist but not waterlogged soils, such as, often, stream-sides. However, it tolerates drier soils, strong winds, moderate frosts, and snow (down to −7 °C) [52].
A. mearnsii is a large shrub or a tree (from 2–10 up to 20 m high). The bark of the old trees is black-brown, and the younger stems and the tops of the old trees are grey-brown and smooth. The leaves are bipinnate and dark green or olive green. The inflorescence is globular with light cream-yellow flowers [53,54]. Straight pods are often tight between the seeds, from dark brown to blackish when ripe; the seeds are black [39]. A. mearnsii is native to south-eastern Australia [55,56], where it grows in the understorey of tall open forests or open forests dominated by Eucalyptus sp.pl. on the fringes of closed forests; it rarely grows in woodland and coastal scrub [52]. It was introduced for ornamental and forestry purposes, due to its rapid growth, frost tolerance, ability to withstand prolonged drought periods, and adaptation to a wide range of soils [57].
2.2. Seed Lot Collection and Preparation
Mature pods of A. dealbata and A. mearnsii (Figure 2B,E) were collected during summer 2018 in Sardinia (Italy), Corse (France), Provence-Alpes-Côte d’Azur (France), and Beira Baixa (Portugal) (Figure 1, Table 1). Seeds were manually extracted from the pods in the laboratory. All accessions were stored at controlled conditions (20 °C and 40% relative humidity) for two weeks at the Sardinian Germplasm Bank (BG-SAR) of the Hortus Botanicus Karalitanus (HBK, University of Cagliari, Italy) before the germination tests. Seeds were cleaned manually with the removal by hand of all foreign matter [58,59]. After cleaning, 100 seeds for each accession were randomly selected, and the major (i.e., longest axis of the seed) and minor (i.e., shortest axis of the seed) diameters were measured. The average mass of the seeds for each species and for each population was calculated by weighing three replicates of 100 seeds each, using an electronic analytical balance (Gibertini, Crystal 100 Model; Milan, Italy) (Table 2).
Table 2.
Seed lot details of the six investigated populations of A. dealbata (DEA) and A. mearnsii (MEA).
2.3. Imbibition Capacity
Imbibition tests were performed to evaluate the capacity of seeds to imbibe water and to detect the presence of water-impermeable teguments in seeds. Three replicates of 10 scarified (manually scarified with a scalpel) and non-scarified seeds, for each population and for each species, were tested in beakers containing deionised water for a total of 30 days. The seed mass was recorded once a day with a precision balance, and after this, seeds were again placed in the beakers containing water. An increase in the seed mass was a proxy for imbibition capacity. The water uptake was calculated [60] in relation to the seed mass: Ws = [(Wi − Wd)/Wd] × 100, where Ws = the increase in the mass of the seed, Wi = the mass (g) of the seed after a given interval of imbibition, and Wd = the seed mass (g) at the beginning of the test.
2.4. Germination Tests
Non-scarified seeds were sown on a 1% water agar substrate in plastic Petri dishes with a diameter of 90 mm and were incubated in a growth chamber (SANYO MLR-351, Japan) at 15, 20, and 25 °C, in light (12 h of irradiance per day), to detect the germination capacity of untreated seeds. For each condition, four replicates of 25 seeds each were tested. The temperatures were selected according to the mean conditions after natural seed dispersal in Mediterranean areas. In the scarified seeds, the seed coats were manually chipped with a scalpel, and four replicates of 25 seeds each, for each species and each population, were incubated in growth chambers with constant (5, 10, 15, 20, and 25 °C) and alternating (25/10 °C) temperature regimes, both in light (12 h of irradiation per day) and in darkness (24 h of darkness). In the alternating temperature regime, the higher temperature coincided with the light period. Light in the growth chambers was provided by fluorescent lamps that emitted white light (Mitsubishi OSRAM 40; 53 watts for each; photosynthetic photon flux density of 40 μmol m−2 s−1), while darkness was achieved by wrapping dishes in two sheets of aluminium foil. The criterion for germination was visible radicle protrusion (≥2 mm). When no additional germination occurred for two consecutive weeks and after at least one month from the start of the experiments, tests were stopped, and the viability of each remaining seed was checked using a cut test with a scalpel and by the subsequent observation of the seed endosperm under a binocular microscope. Firm seeds were considered to be viable.
2.5. Data Analysis
The final germination percentage was calculated as the mean of four replicates (±SD). Generalised linear models (GLMs) were applied to (i) evaluate differences in the seed mass between scarified and non-scarified seeds, and (ii) evaluate the effect of species, population, pre-treatment, and temperature on the final germination percentages. Significant differences were then analysed with a post-hoc pairwise comparison t-test (with Bonferroni adjustment). GLMs with a log link function and quasi-Poisson error structure were used to analyse the seed mass, and a GLM with a logit link function and quasi-binomial error structure was used to analyse germination percentages; F-tests with an empirical scale parameter instead of chi-squared on the subsequent ANOVA were used to overcome the residual over dispersion [61]. All statistical analyses were performed using R, version 2.14.1 [62].
3. Results
3.1. Imbibition Capacity
The two investigated species did not show significant differences (p > 0.05) among themselves in response to an increase in the mass of scarified and non-scarified seeds. Conversely, the scarification treatment performed on the seeds had a significant effect (p < 0.001) (Supplementary Table S1). Scarified seeds increased their mass more (up to 1 g in A. mearnsii) than non-scarified seeds in both species (Figure 3). In both scarified and non-scarified seeds, in all the populations of both species, the maximum accumulation of water occurred in the first five days of the test, and then the seed mass remained constant until the thirtieth day (Figure 3). The mass of the seeds at time 0, in both scarified and non-scarified seeds, was statistically different (p < 0.001) from the mass of scarified and non-scarified seeds after 30 days for both species and for each population tested (Figure 3).
Figure 3.
Seed mass of non-scarified and scarified seeds of A. dealbata [DEA IT: population in Italy (Sardinia), DEA FR1: population in France, site 1 and DEA FR2: population in France, site 2 (Corse)] and A. mearnsii [MEA IT: population in Italy (Sardinia), MEA FR: population in France (Corse), MEA PT: population in Portugal] during the imbibition test. Values with different letters are significantly different, with p < 0.05 (by post-hoc pairwise comparisons of t-tests), and indicate the differences between the seed mass at the start of the test and after 30 days.
3.2. Germination Test
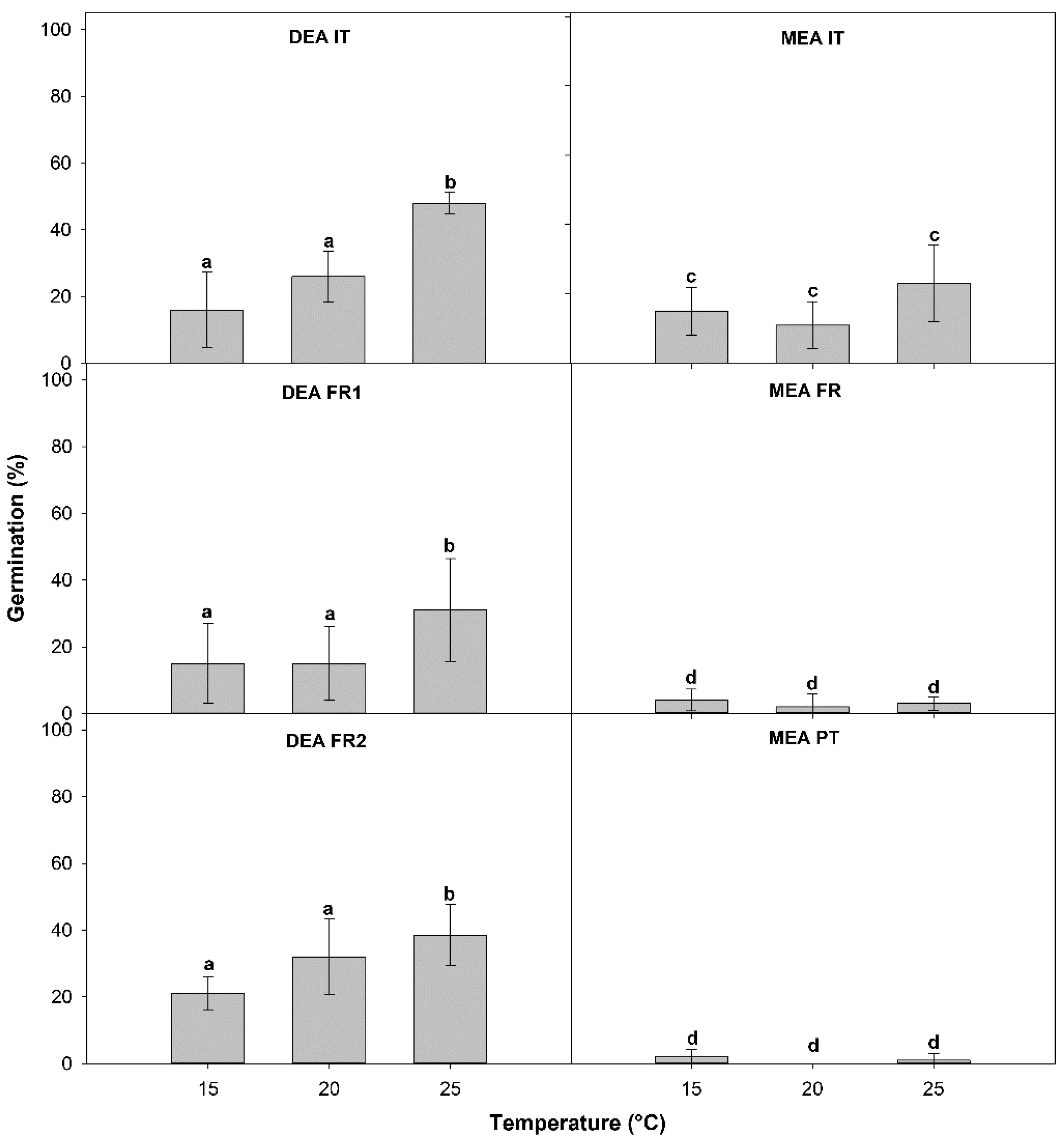
The results of the seed germination of the two species showed statistically significant differences (p < 0.001) in tests performed with non-scarified seeds (Supplementary Table S2). At the species level, populations of A. dealbata showed no significant differences (p > 0.05) in germinative behaviour, while the incubation temperature had significant effects (p < 0.001) on seed germination (Supplementary Table S3). The percentage of germination of A. dealbata seeds showed a growing trend with increases in temperature; the highest germination percentage (ca. 55%) was recorded at 25 °C in each population (Figure 4). The post hoc test highlighted that, between 15 and 20 °C, there were no statistical differences. At these temperatures, the germination percentages reached 30%, while at 25 °C, the germination percentage was ca. 50%. Significant differences (p < 0.001) were found in the germination behaviour of A. mearnsii populations; the MEA IT population showed a germination percentage of up to 30%, with a different germination behaviour compared to MEA PT and MEA FR, for which the germination percentage did not exceed 10% (Figure 4).
Figure 4.
Final germination of A. dealbata [DEA IT: population in Italy (Sardinia), DEA FR1: population in France, site 1 and DEA FR2: population in France, site 2 (Corse)] and A. mearnsii [MEA IT: population in Italy (Sardinia), MEA FR: population in France (Corse), MEA PT: population in Portugal] for non-scarified seeds tested under different temperature conditions (15, 20, and 25 °C). The data represent the mean of four replicates (±SD). Values with different letters are significantly different at p < 0.05 (by post-hoc pair-wise t-test comparisons).
No statistically significant differences (p > 0.05) were found in the incubation temperature of A. mearnsii (Supplementary Table S4). For both species and populations, the total viability of the seeds calculated from the cut test carried out at the end of the trials was over 90%. The germination obtained in scarified seeds tested in both light and dark conditions and at different temperatures showed a homogeneous trend in the two studied species and populations, with no significant differences in germinative behaviour (p > 0.05). The effects of light and the incubation temperature were statistically significant (p < 0.001). The germination of seeds incubated at 5 °C in the dark showed significant differences (p < 0.001) compared to the germination of seeds incubated under the other tested conditions (5, 10, 15, 20, and 25 °C and 25/10 °C). All populations of A. dealbata and A. mearnsii recorded germination over 95% in seeds incubated in light at all other temperatures (Supplementary Table S5). In dark conditions, except for 5 °C, the germination behaviour was the same as that detected in light conditions (more than 80% germination for each condition) (Figure 5) (Supplementary Tables S6 and S7).
Figure 5.
Final germination of A. dealbata [DEA IT: population in Italy (Sardinia), DEA FR1: population in France, site 1 and DEA FR2: population in France, site 2 (Corse)] and A. mearnsii [MEA IT: population in Italy (Sardinia), MEA FR: population in France (Corse), MEA PT: population in Portugal] for scarified seeds tested under different photoperiod (grey bars for light and black bars for dark) and temperature conditions. The data represent the mean of four replicates (±SD). Values with different letters are significantly different, with p < 0.05 (by post-hoc pair-wise t-test comparisons).
4. Discussion
The imbibition test carried out on scarified and non-scarified seeds confirmed that the seeds of A. dealbata and A. mearnsii, in all the tested populations, have physical dormancy, which has already been described for many Acacia species [63]. These seeds frequently require a scarification process to remove the PY. Stimuli like fire chemical scarification via ingestion by an appropriate dispersal agent are required to break physical dormancy and allow the germination of Acacia seeds [44]. According to Passos et al. [64], the seeds of A. dealbata reached a higher percentage of germination (ca. 70%) if exposed to 60 °C to simulate the effects of a high soil temperature. In this study, we detected that the non-scarified seeds of these two species showed a fair imbibition capacity, although it was much lower than that of the scarified seeds. As described by Morrison et al. [65] in their study on the seeds of Australian Fabaceae, the non-dormant fraction is very low (0–10%), a condition that allows the seeds to remain viable for a long time in the absence of scarifying agents or other stimuli such as high temperatures [64]. The seeds of A. dealbata and A. mearnsii have shown the ability to germinate even in controlled conditions without scarification, although with a lower germination percentage compared to scarified seeds. The non-scarified seeds of A. dealbata populations featured a high viability, which could highlight the strong ability of this species to adapt to new areas and, therefore, its higher invasive capacity. Such a germinative potential, even in non-optimal conditions, is confirmed by Lorenzo et al. [50]; according to them, A. dealbata has some biological traits that play a key role in its success with addition clonal growth, ensuring that this species can become dominant once established, with a consequent reduction of biodiversity in the understorey. Despite the greater germination efficiency demonstrated by A. dealbata non-scarified seeds, in both species from each population, the high percentages of viable seeds, and, at the same time, the very low percentages of dead seeds, demonstrate the ability of these species to maintain dormancy and await the most favourable conditions for germination. These results support the idea that Acacia seeds have consistently high viability and low germinability over time in the absence of dormancy breaking factors [44]. Temperature seems to influence the germination of A. dealbata. Among the temperatures tested, a higher percentage of germination was shown at 25 °C, which agrees with the findings of other authors [64]. This could benefit the plant in warmer climatic conditions and in future scenarios, due to climate change [66]. Some authors reported that seed dormancy breaks during periods of increasing environmental temperatures, especially in legumes, if there is a simultaneous absorption of water through the hilum of the seeds [21,67]. It is known that PY is present in at least 17 angiosperm families, including Fabaceae [31,68], so we confirm that this dormancy class is also present in seeds of A. dealbata and A. mearnsii. The tests conducted with scarified seeds showed a more homogeneous behaviour in the populations of the studied species. Based on the results of these germination tests, the seeds of both species showed their ability to germinate to a large extent at all temperatures tested, demonstrating how scarification is effective in breaking dormancy and promoting a higher germination efficiency, as previously shown in other studies conducted on species of the genus Acacia (see [21]). These results can be interpreted as a sign of the ability of these species to quickly adapt to a changing environment. At the end of the germination tests, all the non-germinated scarified seeds were viable, confirming that these species may create a semi-persistent seedbank. These results are also consistent with previous studies conducted by Milton et al. [69] and Richardson et al. [26] on other species belonging to the genus Acacia.
The ability to germinate over a wide range of temperatures is an important feature of plants that disturb ecosystems [70], and it is also associated with those species in which water availability is the main germination factor in the field [71]. The Mediterranean climate is characterised by sporadic and unpredictable summer rain events, which affect the soil moisture. Rapid and massive germination can be a positive adaptation to these environmental conditions [72], and environmental unpredictability might be increased by climate change [73,74]. The positive response to alternating temperatures can be explained as an adaptation in which germination occurs mainly near the soil surface, where the effect and influence of alternating temperature regimes is greater [75,76,77]. Almost all seeds showed no photo-inhibition for germination, demonstrating their ability to germinate both on the soil surface and under the topsoil or the litter layer; they germinated even at moderate-high temperatures, thus becoming competitive in dry and challenging habitats such as the coastal Mediterranean habitats. The capacity of A. dealbata and A. mearnsii seeds to germinate in both light and dark conditions and at alternating temperatures highlights their great adaptive capacity to different climatic conditions and, consequently, to several habitats even in the presence of a dense native vegetation canopy. The only limiting factor for both species that emerged from this study was the incubation of seeds at 5 °C combined with darkness, where the germination percentage was very low (less than 30%). The combination of dark and cold is therefore limiting for their potential establishment and distribution, and these results agree with the study by Doran et al. [52], which states that the minimum temperature limit that these species can withstand is between 0 and −7 °C. This result, which differs widely from what was previously seen for the other temperatures tested, suggests that plants that can stand cold and snow conditions germinate less, awaiting more suitable conditions. This could represent an ecological advantage for the species. This behaviour prevents germination during unfavourable climatic conditions, allowing the start of germination after the snow melts in spring at milder temperatures, ensuring a lower probability of damaging the young seedlings [32,78,79]. Furthermore, both species are competitive with native species due to both allelopathic effects and their resistance to periods of drought [30,80]. For most populations in our study, seeds were collected on the edges of rivers and shelters, where the soil is moist due to water availability and where habitats have suffered from strong anthropogenic impacts. The reproductive success of these species in these areas, especially in the case of riparian habitats, can be explained by the fact that the species and the soil seedbank have water availability throughout the year [26]. In addition, water facilitates the dispersal process, and the PY can be broken due to the floods, fluctuations, and alterations of the soil to which Mediterranean waterways are often exposed. Similarly, in South Africa and Chile, rivers and soil movement facilitate the dispersion of acacias that invade riparian areas, such as A. dealbata and A. mearnsii [81,82].
The knowledge obtained in this research about the seed germination of A. dealbata and A. mearnsii may be an important contribution toward developing a wide management strategy for the control of the biological invasions of these two alien plants in Mediterranean habitats [21,59,83]. Knowing the requirements for the seed germination of invasive species, like A. dealbata and A. mearnsii, might make it possible to predict the potential ability of each species to successfully colonise new areas via seeds, allowing both the control of mature individuals and preventive interventions through monitoring and removing young seedlings. Similar actions (e.g., control and/or mechanical removal) in invaded areas should be planned and integrated with preventive methods by also including specific indicators with a long-term vision. In addition, the great ability of the seeds of these species to germinate after scarification may have important management implications; mechanical interventions that affect the soil, and consequently also the seed bank, such as those frequently associated with clearing operations, can easily induce seed scarification and as such trigger germination en masse.
5. Conclusions
This study confirmed that A. dealbata and A. mearnsii have physical dormancy, a trait that promotes the establishment of a persistent soil seed bank. The seeds of these two tree species are highly dependent on scarification for germination, an adaptation that allows the seeds to wait for suitable conditions for germination, promoting the survival of seedlings in nature. The higher germination rate of A. dealbata compared to A. mearnsii demonstrates the greater adaptability of the former and the greater ability of A. mearnsii to establish a permanent soil seedbank. Once PY in seeds is broken by mechanical scarification, both species showed a wide plasticity, germinating at all temperatures, in both light and dark conditions. However, in this study, we detected that darkness at 5 °C limited germination, confirming, as observed in nature, that these species can withstand only temperatures above the range from 0 to −7 °C [52]. Water availability after scarification provides a considerable advantage to germination for the seeds of these two species. For this reason, both species are frequently widespread in riparian habitats, becoming invasive and more competitive due to their ability to germinate in a wide range of temperatures. Germination can occur in all seasons in the Mediterranean Basin, due to the mild temperatures in coastal areas. Furthermore, intentional introductions of these two alien trees are (or were—in Portugal both species have been forbidden since 1999) common for ornamental and forestry purposes (A. dealbata is a very popular and charismatic tree species in Italy, a symbol of Woman’s Day), continuously increasing the propagule pressure. This, together with the establishment of persistent soil seed banks that are frequently stimulated by fires, as well as allelopathic effects, may increase the persistence, spread, and negative impacts of these two species in the Mediterranean (e.g., [84]). Finally, the present study provides new insights into the ecology of the seed germination of A. dealbata and A. mearnsii. Although we believe that the best strategy to reduce the plant invasion risk is to prevent the introduction of invasive taxa and that, in agreement with Wilson et al. [85], planting the two Acacia species near points of dispersal pathways should be prohibited, the knowledge obtained in this research concerning A. dealbata and A. mearnsii may be considered a fundamental basis for planning mechanical clearing and local control interventions in Mediterranean areas.
Supplementary Materials
The following are available online at https://www.mdpi.com/article/10.3390/su132111588/s1, Table S1: GLMs results of imbibition test of the following factors: species (A. dealbata and A. mearnsii), populations (DEA IT, DEA FR1, DEA FR2, MEA IT, MEA FR, MEA PT) and treatment (scarified and non-scarified). Table S2: GLMs results of germination test with non-scarified seeds of the species (A. dealbata and A. mearnsii) factor, Table S3: GLMs results of germination test with non-scarified seeds in A. dealbata populations of the following factors: populations (DEA IT, DEA FR1, DEA FR2) and temperature (15, 20 and 25 °C), Table S4: GLMs results of germination test with non-scarified seeds in A. mearnsii populations of the following factors: populations (MEA IT, MEA FR, MEA PT) and temperature (15, 20 and 25 °C), Table S5: GLMs results of germination test with scarified seeds of the following factors: species (A. dealbata and A. mearnsii) and treatment (light and dark conditions), Table S6: GLMs results of germination test with scarified seeds in A. dealbata populations of the following factors: populations (DEA IT, DEA FR1, DEA FR2), treatment (light and dark conditions) and temperature (5, 10, 15, 20, 25 °C and 25/10 °C), Table S7: GLMs results of the germination test with scarified seeds in A. mearnsii populations of the following factors: populations (MEA IT, MEA FR, MEA PT), treatment (light and dark conditions) and temperature (5, 10, 15, 20, 25 °C and 25/10 °C).
Author Contributions
Conceptualization, L.D., L.P., G.B. (Giuseppe Brundu), M.P. and G.B. (Gianluigi Bacchetta); methodology, L.D., L.P., M.P. and G.B. (Gianluigi Bacchetta); validation, L.D., L.P., G.B. (Giuseppe Brundu), M.P. and G.B. (Gianluigi Bacchetta); formal analysis, L.D., L.P. and M.P.; investigation, L.D., L.P. and M.P.; resources, G.B. (Giuseppe Brundu) and G.B. (Gianluigi Bacchetta); data curation, L.D., L.P., G.B. (Giuseppe Brundu), V.L., M.P. and G.B. (Gianluigi Bacchetta); writing—original draft preparation, L.D., L.P., M.P. and G.B. (Gianluigi Bacchetta); writing—review and editing, L.D., L.P., G.B. (Giuseppe Brundu), V.L., A.C., E.M., H.M., Y.P., M.P. and G.B. (Gianluigi Bacchetta); visualization, L.D., L.P. and M.P.; supervision, G.B. (Giuseppe Brundu) and G.B. (Gianluigi Bacchetta). All authors have read and agreed to the published version of the manuscript.
Funding
This research received no external funding.
Institutional Review Board Statement
Not applicable.
Informed Consent Statement
Not applicable.
Acknowledgments
This study was support by the project ALIEM (Action pour Limiter les risques de diffusion des espèces Introduites Envahissantes en Méditerranée—ERDF: European Regional Development Fund) in the framework of several research activities focusing on the invasive processes of the Acacia genus in the Mediterranean Basin. The Authors gratefully thank A. Cocco, M. Campus, P. Capece, G. Domina, L. González and L. Minuto for seed harvesting and/or for the support provided in seed harvesting, and P. Atzeri, M. Naraghi and S. Sánchez Sánchez for their valuable help in the laboratory.
Conflicts of Interest
The authors declare no conflict of interest.
References
- Gaertner, M.; den Breeyen, A.; Hui, C.; Richardson, D.M. Impacts of Alien Plant Invasions on Species Richness in Mediterranean-Type Ecosystems: A Meta-Analysis. Prog. Phys. Geogr. 2009, 33, 319–338. [Google Scholar] [CrossRef]
- Richardson, D.M.; Pyšek, P.; Simberloff, D.; Rejmánek, M.; Mader, A.D. Biological Invasions-the Widening Debate: A Response to Charles Warren. Prog. Hum. Geogr. 2008, 32, 295–298. [Google Scholar] [CrossRef]
- Olden, J.D.; Poff, N.L.R.; Douglas, M.R.; Douglas, M.E.; Fausch, K.D. Ecological and Evolutionary Consequences of Biotic Homogenization. Trends Ecol. Evol. 2004, 19, 18–24. [Google Scholar] [CrossRef]
- Bongaarts, J. IPBES, 2019. Summary for Policymakers of the Global Assessment Report on Biodiversity and Ecosystem Services of the Intergovernmental Science-Policy Platform on Biodiversity and Ecosystem Services. Popul. Dev. Rev. 2019, 45, 680–681. [Google Scholar] [CrossRef] [Green Version]
- Richardson, D.M.; Pyšek, P. Plant Invasions: Merging the Concepts of Species Invasiveness and Community Invasibility. Prog. Phys. Geogr. 2006, 30, 409–431. [Google Scholar] [CrossRef]
- Lockwood, J.L.; Cassey, P.; Blackburn, T. The Role of Propagule Pressure in Explaining Species Invasions. Trends Ecol. Evol. 2005, 20, 223–228. [Google Scholar] [CrossRef] [PubMed]
- Gritti, E.S.; Smith, B.; Sykes, M.T. Vulnerability of Mediterranean Basin Ecosystems to Climate Change and Invasion by Exotic Plant Species. J. Biogeogr. 2006, 33, 145–157. [Google Scholar] [CrossRef]
- Myers, N.; Mittermeler, R.A.; Mittermeler, C.G.; da Fonseca, G.A.B.; Kent, J. Biodiversity Hotspots for Conservation Priorities. Nature 2000, 403, 853–858. [Google Scholar] [CrossRef] [PubMed]
- Fois, M.; Podda, L.; Médail, F.; Bacchetta, G. Endemic and Alien Vascular Plant Diversity in the Small Mediterranean Islands of Sardinia: Drivers and Implications for Their Conservation. Biol. Conserv. 2020, 244, 108519. [Google Scholar] [CrossRef]
- Médail, F. The Specific Vulnerability of Plant Biodiversity and Vegetation on Mediterranean Islands in the Face of Global Change. Reg. Environ. Chang. 2017. [Google Scholar] [CrossRef] [Green Version]
- Celesti-Grapow, L.; Bassi, L.; Brundu, G.; Camarda, I.; Carli, E.; D’Auria, G.; del Guacchio, E.; Domina, G.; Ferretti, G.; Foggi, B.; et al. Plant Invasions on Small Mediterranean Islands: An Overview. Plant Biosyst. 2016, 150, 1119–1133. [Google Scholar] [CrossRef]
- Brundu, G.; Lozano, V.; Manca, M.; Celesti-Grapow, L.; Sulas, L. Arctotheca calendula (L.) Levyns: An Emerging Invasive Species in Italy. Plant Biosyst. 2015, 149, 954–957. [Google Scholar] [CrossRef]
- Puddu, S.; Podda, L.; Mayoral, O.; Delage, A.; Hugot, L.; Petit, Y.; Bacchetta, G. Comparative Analysis of the Alien Vascular Flora of Sardinia and Corsica. Notulae Botanicae Horti Agrobotanici Cluj-Napoca 2016, 44, 337–346. [Google Scholar] [CrossRef] [Green Version]
- Brundu, G.; Richardson, D.M. Planted Forests and Invasive Alien Trees in Europe: A Code for Managing Existing and Future Plantings to Mitigate the Risk of Negative Impacts from Invasions. NeoBiota 2016, 30, 5–47. [Google Scholar] [CrossRef]
- Sanz Elorza, M.; Guillot Ortiz, D.; Deltoro, V. La Flora Alóctona de La Comunidad Valenciana (España). Bot. Complut. 2011, 35, 97–130. [Google Scholar] [CrossRef] [Green Version]
- Everitt, J.; Lonard, R.; Little, C. Weeds in South Texas and Northern Mexico; Texas Tech University Press: Lub-bock, TX, USA, 2007. [Google Scholar]
- Holm, L.R.G.; Plucknett, D.L.; Pancho, J.v.; Herberger, J.P. The World’s Worst Weeds. Distribution and Biology; University Press of Hawaii: Honolulu, HI, USA, 1977. [Google Scholar]
- Lowe, S.; Browne, M.; Boudjelas, S.; De Poorter, M. 100 of the World’s Worst Invasive Alien Species: A Selection from the Global Invasive Species Database; The Invasive Species Specialist Group (ISSG): Auckland, New Zealand, 2000. [Google Scholar]
- Lozano, V.; Marzialetti, F.; Carranza, M.L.; Chapman, D.; Branquart, E.; Dološ, K.; Große-Stoltenberg, A.; Fiori, M.; Capece, P.; Brundu, G. Modelling Acacia Saligna Invasion in a Large Mediterranean Island Using PAB Factors: A Tool for Implementing the European Legislation on Invasive Species. Ecol. Indic. 2020, 116, 106516. [Google Scholar] [CrossRef]
- Mayoral, O.; Mascia, F.; Podda, L.; Laguna, E.; Fraga, P.; Rita, J.; Frigau, L.; Bacchetta, G. Alien Plant Diversity in Mediterranean Wetlands: A Comparative Study within Valencian, Balearic and Sardinian Floras. Notulae Botanicae Horti Agrobotanici Cluj-Napoca 2018, 46, 317–326. [Google Scholar] [CrossRef] [Green Version]
- Meloni, F.; Dettori, C.A.; Mascia, F.; Podda, L.; Bacchetta, G. What Does the Germination Ecophysiology of the Invasive Acacia Saligna (Labill.) Wendl. (Fabaceae) Teach Us for Its Management? Plant Biosyst. 2015, 149, 242–250. [Google Scholar] [CrossRef]
- Rouget, M.; Robertson, M.P.; Mechanical, J.R.U.; Hui, C.; Essl, F.; Renteria, J.L.; Richardson, D.M. Invasion Debt—Quantifying Future Biological Invasions. Divers. Distrib. 2016, 22, 445–456. [Google Scholar] [CrossRef]
- Richardson, D.M.; Rejmánek, M. Trees and Shrubs as Invasive Alien Species—A Global Review. Divers. Distrib. 2011, 17, 788–809. [Google Scholar] [CrossRef]
- Brundu, G. Invasive alien plants in protected areas in mediterranean Islands: Knowledge gaps and main threats. In Plant Invasions in Protected Areas: Patterns, Problems and Challenges; Springer: Dordrecht, The Netherlands, 2013; pp. 395–422. ISBN 9789400777507. [Google Scholar]
- Sheppard, A.W.; Shaw, R.H.; Sforza, R. Top 20 Environmental Weeds for Classical Biological Control in Europe: A Review of Opportunities, Regulations and Other Barriers to Adoption. Weed Res. 2006, 46, 93–117. [Google Scholar] [CrossRef]
- Richardson, D.M.; Kluge, R.L. Seed Banks of Invasive Australian Acacia Species in South Africa: Role in Invasiveness and Options for Management. Perspect. Plant Ecol. Evol. Syst. 2008, 10, 161–177. [Google Scholar] [CrossRef]
- Goets, S.A.; Kraaij, T.; Little, K.M. Comparing Germination Stimuli of Two Alien Invasive Species and a Native Analogue: Towards Sustainable Management of Invasives. S. Afr. J. Bot. 2017, 112, 15–18. [Google Scholar] [CrossRef]
- Marchante, H.; Freitas, H.; Hoffmann, J.H. Seed Ecology of an Invasive Alien Species, Acacia Longifolia (Fabaceae), in Portuguese Dune Ecosystems. Am. J. Bot. 2010, 97, 1780–1790. [Google Scholar] [CrossRef] [PubMed]
- Marchante, H.; Freitas, H.; Hoffmann, J.H. Post-Clearing Recovery of Coastal Dunes Invaded by Acacia Longifolia: Is Duration of Invasion Relevant for Management Success? J. Appl. Ecol 2011, 48, 1295–1304. [Google Scholar] [CrossRef]
- Lorenzo, P.; González, L.; Roger, M.R. Allelopathic Interference of Invasive Acacia Dealbata: Physiological Effects. Allelopathy J. 2008, 2, 452–462. [Google Scholar]
- Baskin, C.C.; Baskin, J.M. Seeds: Ecology, Biogeography and Evolution of Dormancy and Germination, 2nd ed.; Academic Press: San Diego, CA, USA, 2014. [Google Scholar]
- Baskin, J.M.; Baskin, C.C. A Classification System for Seed Dormancy. Seed Sci. Res. 2004, 14, 1–16. [Google Scholar] [CrossRef] [Green Version]
- Holmes, P.M.; Cowling, R.M. Diversity, Composition and Guild Structure Relationships between Soil-Stored Seed Banks and Mature Vegetation in Alien Plant-Invaded South African Fynbos Shrublands. Plant Ecol. 1997, 133, 107–122. [Google Scholar] [CrossRef]
- Spooner, P.G. Response of Acacia Species to Disturbance by Roadworks in Roadside Environments in Southern New South Wales, Australia. Biol. Conserv. 2005, 122, 231–242. [Google Scholar] [CrossRef]
- Fenner, M.K.; Fenner, M.; Thompson, K. The Ecology of Seeds; Cambridge University Press: Cambridge, UK, 2005. [Google Scholar]
- Ellison, A.M. Interspecific and Intraspecific Variation in Seed Size and Germination Requirements of Sarracenia (Sarraceniaceae). Am. J. Bot. 2001, 88, 429–437. [Google Scholar] [CrossRef] [PubMed] [Green Version]
- Cruz, A.; Pérez, B.; Velasco, A.; Moreno, J.M. Variability in Seed Germination at the Interpopulation, Intrapopulation and Intraindividual Levels of the Shrub Erica Australis in Response to Fire-Related Cues. Plant Ecol. 2003, 169, 93–103. [Google Scholar] [CrossRef]
- Boland, D.J.; Brooker, M.I.H.; Chippendale, G.M.; Hall, N.; Hyland, B.P.M.; Johnston, R.D.; Kleinig, D.A.; Turner, J.D. Forest Trees of Australia, 4th ed.; Nelson and CSIRO: Melbourne, Australia, 1984. [Google Scholar]
- Searle, S.D. Acacia mearnsii De Wild. (black wattle) in Australia. In Black Wattle and its Utilisation; Brown, A.G., Ho, C.K., Eds.; Rural Industries Research and Development Corporation: Canberra, Australia, 1997. [Google Scholar]
- Carballeira, A.; Reigosa, M.J. Effects of Natural Leachates of Acacia Dealbata Link in Galicia (NW Spain). Bot. Bull. Acad. Sin. 1999, 40, 87–92. [Google Scholar]
- Brundu, G.; Podda, L.; Lozano, V.; Porceddu, M.; Bacchetta, G. Distribuzione Ed Invasività Di Acacia Mearnsii in Sardegna. In Proceedings of the Contributo presentato dal gruppo specie alloctone della SBI. Riunioni scientifiche dei gruppi, Milano, Italy, 27 November 2018. [Google Scholar]
- Marchante, H.; Morais, M.; Freitas, H.; Marchante, E. Guia Prático Para a Identificação de Plantas Invasoras Em Portugal; Imprensa da Universidade de Coimbra: Coimbra, Portugal, 2014. [Google Scholar]
- Minuto, L.; Casazza, G.; Dagnino, D.; Guerrina, M.; Macri, C.; Zappa, E.; Mariotti, M.G. Reproductive Traits of the Invasive Species Acacia Dealbata Link. In the Northern Mediterranean Basin. Ann. Bot. 2020, 10, 13–20. [Google Scholar] [CrossRef]
- Gibson, M.R.; Richardson, D.M.; Marchante, E.; Marchante, H.; Rodger, J.G.; Stone, G.N.; Byrne, M.; Fuentes-Ramírez, A.; George, N.; Harris, C.; et al. Reproductive Biology of Australian Acacias: Important Mediator of Invasiveness? Divers. Distrib. 2011, 17, 911–933. [Google Scholar] [CrossRef]
- Azani, N.; Babineau, M.; Bailey, C.D.; Banks, H.; Barbosa, A.R.; Pinto, R.B.; Boatwright, J.S.; Borges, L.M.; Brown, G.K.; Bruneau, A.; et al. A New Subfamily Classification of the Leguminosae Based on a Taxonomically Comprehensive Phylogeny. Taxon 2017, 66, 44–77. [Google Scholar] [CrossRef] [Green Version]
- Mabberley, D.J. Mabberley’s Plant-Book: A Portable Dictionary of Plants, Their Classification and Uses, 3th ed.; Cambridge University Press: Cambridge, UK, 2008. [Google Scholar]
- Boland, D.J. Genetic Resources and Utilisation of Australian Bipinnate Acacias (Botrycephalae). In Australian Acacias in Developing Countries, Proceedings of an International Workshop, Gympie, Australia, 4–7 August 1986; Turnbull, J.W., Ed.; ACIAR: Canberra, Australia, 1987. [Google Scholar]
- Simmons, M. Acacias of Australia; Penguin Books Australia Ltd.: Melbourne, Australia, 1988; Volume 2. [Google Scholar]
- Tame, T. Acacias of South Eastern Australia; Kangaroo Press: Sydney, Australia, 1992. [Google Scholar]
- Lorenzo, P.; González, L.; Reigosa, M.J. The Genus Acacia as Invader: The Characteristic Case of Acacia Dealbata Link in Europe. Ann. For. Sci. 2010, 67, 101. [Google Scholar] [CrossRef] [Green Version]
- Weber, E. Invasive Plant Species of the World: A Reference Guide to Environmental Weeds; CAB International Publishing: Wallingford, UK, 2003. [Google Scholar]
- Doran, J.; Turnbull, J. Australian Trees and Shrubs: Species for Land Rehabilitation and Farm Planting in the Tropics; ACIAR: Canberra, Australia, 1997. [Google Scholar]
- Grant, J.E.; Moran, G.F.; Moncur, M.W. Pollination Studies and Breeding System in Acacia Mearnsii. In Australian Tree Species Research in China, Proceedings of an International Workshop: Zhangzhou, China, 2–5 November 1992; Brown, A.G., Ed.; ACIAR Proceedings: Zhangzhou, China, 1994. [Google Scholar]
- Moncur, M.W.; Moran, G.F.; Boland, D.; Turner, J. Floral Morphology and Breeding Systems of Acacia Mearnsii De Wild. In Proceedings of the Use of Australian Trees in China Workshop, Guangzhou, China, December 1988; Chinese Academy of Forestry and ACIAR: Guangzhou, China, 1989. [Google Scholar]
- Tassin, J.; Balent, G. Le Diagnostic d’invasion d’une Essence Forestière En Milieu Rural: Exemple d’acacia Mearnsii Àla Réunion. Rev. For. Francaise 2004, 56, 132–142. [Google Scholar] [CrossRef] [Green Version]
- Baret, S.; Rouget, M.; Richardson, D.M.; Lavergne, C.; Egoh, B.; Dupont, J.; Strasberg, D. Current Distribution and Potential Extent of the Most Invasive Alien Plant Species on La Réunion (Indian Ocean, Mascarene Islands). Austral Ecol. 2006, 31, 747–758. [Google Scholar] [CrossRef]
- Raymond, C.A. Flowering Biology, Genetics and Breeding. Black Wattle and Its Utilisation; RIRDC Publication: Canberra, Australia, 1997; Volume 3. [Google Scholar]
- Bacchetta, G.; Belletti, P.; Brullo, S.; Cagelli, L.; Carasso, V.; Casas, J.L.; Cervelli, C.; Escribà, M.C.; Fenu, G.; Gorian, F. Manuale per La Raccolta, Studio, Conservazione e Gestione Ex Situ Del Germoplasma; APAT: Rome, Italy, 2006; Volume 37. [Google Scholar]
- Porceddu, M.; Santo, A.; Orrù, M.; Meloni, F.; Ucchesu, M.; Picciau, R.; Sarigu, M.; Cuena Lombrana, A.; Podda, L.; Sau, S.; et al. Seed Conservation Actions for the Preservation of Plant Diversity: The Case of the Sardinian Germplasm Bank (BG-SAR). Plant Sociol. 2017, 54, 111–117. [Google Scholar]
- Hidayati, S.N.; Baskin, J.M.; Baskin, C.C. Dormancy-Breaking and Germination Requirements for Seeds of Symphoricarpos Orbiculatus (Caprifoliaceae). Am. J. Bot. 2001, 88, 1444–1451. [Google Scholar] [CrossRef]
- Crawley, M.J. The R Book; John Wiley & Sons: Chichester, UK, 2012. [Google Scholar]
- R Development Core Team. R: A Language and Environment for Statistical Computing; R Foundation for Statistical Computing: Vienna, Austria, 2013. [Google Scholar]
- Venier, P.; Funes, G.; Carrizo García, C. Physical Dormancy and Histological Features of Seeds of Five Acacia Species (Fabaceae) from Xerophytic Forests in Central Argentina. Flora 2012, 207, 39–46. [Google Scholar] [CrossRef]
- Passos, I.; Marchante, H.; Pinho, R.; Marchante, E. What We Don’t Seed: The Role of Long-Lived Seed Banks as Hidden Legacies of Invasive Plants. Plant Ecol. 2017, 218, 1313–1324. [Google Scholar] [CrossRef]
- Morrison, D.A.; Auldf, T.D.; Rish, S.; Porter, C.; McClay, K. Patterns of Testa-Imposed Seed Dormancy in Native Australian Legumes. Ann. Bot. 1992, 70, 157–163. [Google Scholar] [CrossRef]
- Beaury, E.M.; Fusco, E.J.; Jackson, M.R.; Laginhas, B.B.; Morelli, T.L.; Allen, J.M.; Pasquarella, V.J.; Bradley, B.A. Incorporating Climate Change into Invasive Species Management: Insights from Managers. Biol. Invasions 2020, 22, 233–252. [Google Scholar] [CrossRef] [Green Version]
- Degreef, J.; Rocha, O.J.; Vanderborght, T.; Baudoin, J.P. Soil Seed Bank and Seed Dormancy in Wild Populations of Lima Bean (Fabaceae): Considerations for in Situ and Ex Situ Conservation. Am. J. Bot. 2002, 89, 1644–1650. [Google Scholar] [CrossRef]
- Baskin, J.M.; Baskin, C.C. Evolutionary Considerations of Claims for Physical Dormancy-Break by Microbial Action and Abrasion by Soil Particles. Seed Sci. Res. 2000, 10, 409–413. [Google Scholar] [CrossRef]
- Milton, S.J.; Hall, A.V. Reproductive Biology of Australian Acacias in the South-Western Cape Province, South Africa. Trans. R. Soc. S. Afr. 1981, 44, 465–487. [Google Scholar] [CrossRef]
- Stanton, M.L. Seed Variation in Wild Radish: Effect of Seed Size on Components of Seedling and Adult Fitness. Ecology 1984, 65, 1105–1112. [Google Scholar] [CrossRef]
- Grime, J.P.; Mason, G.; Curtis, A.V.; Rodman, J.; Band, S.R. A Comparative Study of Germination Characteristics in a Local Flora. J. Ecol. 1981, 69, 1017. [Google Scholar] [CrossRef]
- Galmés, J.; Medrano, H.; Flexas, J. Germination Capacity and Temperature Dependence in Mediterranean Species of the Balearic Islands. Investigación Agraria Sistemas y Recursos Forestales 2006, 15, 88. [Google Scholar] [CrossRef] [Green Version]
- Porceddu, M.; Pritchard, H.W.; Mattana, E.; Bacchetta, G. Differential Interpretation of Mountain Temperatures by Endospermic Seeds of Three Endemic Species Impacts the Timing of in Situ Germination. Plants 2020, 9. [Google Scholar] [CrossRef]
- DelSole, T.; Tippett, M.K. Predictability in a Changing Climate. Clim. Dyn. 2018, 51, 531–545. [Google Scholar] [CrossRef] [Green Version]
- Picciau, R.; Porceddu, M.; Bacchetta, G. Can Alternating Temperature, Moist Chilling, and Gibberellin Interchangeably Promote the Completion of Germination in Clematis Vitalba Seeds? Botany 2017, 95. [Google Scholar] [CrossRef] [Green Version]
- Probert, R.J. The role of temperature in the regulation of seed dormancy and germination. In Seeds: The Ecology of Regeneration in Plant Communities; Fenner, M., Ed.; CAB International: Wallingford, UK, 2000. [Google Scholar]
- Grime, J.P.; Thompson, K. An Apparatus for Measurement of the Effect of Amplitude of Temperature Fluctuation upon the Germination of Seeds. Ann. Bot. 1976, 40, 795–799. [Google Scholar] [CrossRef]
- Cavieres, L.A.; Arroyo, M.T.K. Seed Germination Response to Cold Stratification Period and Thermal Regime in Phacelia Secunda (Hydrophyllaceae): Altitudinal Variation in the Mediterranean Andes of Central Chile. Plant Ecol. 2000, 149, 1–8. [Google Scholar] [CrossRef]
- Billings, W.D.; Mooney, H.A. The ecology of arctic and alpine plants. Biol. Rev. 1968, 43, 481–529. [Google Scholar] [CrossRef]
- Crous, C.J.; Jacobs, S.M.; Esler, K.J. Drought-Tolerance of an Invasive Alien Tree, Acacia Mearnsii and Two Native Competitors in Fynbos Riparian Ecotones. Biol. Invasions 2012, 14, 619–631. [Google Scholar] [CrossRef]
- Pauchard, A.; Maheu-Giroux, M.; Aguayo, M.; Esquivel, J. COS 10–1: Detecting Invasion Processes at the Landscape and Regional Scales: Acacia Dealbata in Chile. In Proceedings of the 93rd Ecological Society of America Annual Meeting, Milwaukee, WI, USA, 3–8 August 2008; Ecological Society of America: Milwaukee, WI, USA, 2008. [Google Scholar]
- de Wit, M.P.; Crookes, D.J.; van Wilgen, B.W. Conflicts of Interest in Environmental Management: Estimating the Costs and Benefits of a Tree Invasion. Biol. Invasions 2001, 3, 167–178. [Google Scholar] [CrossRef]
- Mayoral, O.; Podda, L.; Porceddu, M. Invasive Alien Flora on Coastal Mediterranean Habitats. In Handbook of Halophytes; Springer: New York, NY, USA, 2021; pp. 569–597. [Google Scholar] [CrossRef]
- Lorenzo, P.; Pazos-Malvido, E.; Rubido-Bará, M.; Reigosa, M.J.; González, L. Invasion by the Leguminous Tree Acacia Dealbata (Mimosaceae) Reduces the Native Understorey Plant Species in Different Communities. Aust. J. Bot. 2012, 60, 669–675. [Google Scholar] [CrossRef] [Green Version]
- Wilson, J.R.U.; Gairifo, C.; Gibson, M.R.; Arianoutsou, M.; Bakar, B.B.; Baret, S.; Celesti-Grapow, L.; DiTomaso, J.M.; Dufour-Dror, J.-M.; Kueffer, C.; et al. Risk Assessment, Eradication, and Biological Control: Global Efforts to Limit Australian Acacia Invasions. Divers. Distrib. 2011, 17, 1030–1046. [Google Scholar] [CrossRef] [Green Version]
Publisher’s Note: MDPI stays neutral with regard to jurisdictional claims in published maps and institutional affiliations. |
© 2021 by the authors. Licensee MDPI, Basel, Switzerland. This article is an open access article distributed under the terms and conditions of the Creative Commons Attribution (CC BY) license (https://creativecommons.org/licenses/by/4.0/).




