Are PM2.5 in the Atmosphere of a Small City a Threat for Health?
Abstract
:1. Introduction
2. Materials and Methods
3. Results
3.1. Meteorological Parameters
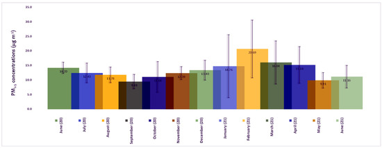
3.2. PM2.5 Mass Concentrations
3.3. ANOVA-Seasonal and Daily Effect on PM2.5 Mass Concentrations
3.4. PM2.5 Elemental Composition
4. Discussion
Supplementary Materials
Author Contributions
Funding
Data Availability Statement
Acknowledgments
Conflicts of Interest
References
- Cohen, A.J.; Brauer, M.; Burnett, R.; Anderson, H.R.; Frostad, J.; Estep, K.; Balakrishnan, K.; Brunekreef, B.; Dandona, L.; Dandona, R.; et al. Estimates and 25-year trends of the global burden of dis-ease attributable to ambient air pollution: An analysis of data from the Global Burden of Diseases Study 2015. Lancet 2017, 389, 1907–1918. [Google Scholar] [CrossRef] [Green Version]
- Stanaway, J.D.; Afshin, A.; Gakidou, E.; Lim, S.S.; Abate, D.; Abate, K.H.; Abbafati, C.; Abbasi, N.; Abbastabar, H.; Abd-Allah, F.; et al. Global, regional, and national comparative risk assessment of 84 behavioural, environmental and occupational, and metabolic risks or clusters of risks for 195 countries and territories, 1990–2017: A systematic analysis for the Global Burden of Disease Study 2017. Lancet 2018, 392, 1923–1994. [Google Scholar]
- Apte, J.S.; Marshall, J.D.; Cohen, A.J.; Brauer, M. Addressing Global Mortality from Ambient PM2.5. Environ. Sci. Technol. 2015, 49, 8057–8066. [Google Scholar] [CrossRef] [PubMed]
- Chakrabarty, R.K.; Beeler, P.; Liu, P.; Goswami, S.; Harvey, R.D.; Pervez, S.; van Donkelaar, A.; Martin, R.V. Ambient PM2.5 exposure and rapid spread of COVID-19 in the United States. Sci. Total. Environ. 2020, 760, 143391. [Google Scholar] [CrossRef] [PubMed]
- Nor, N.S.M.; Yip, C.W.; Ibrahim, N.; Jaafar, M.H.; Rashid, Z.Z.; Mustafa, N.; Hamid, H.H.A.; Chandru, K.; Latif, M.T.; Saw, P.E.; et al. Particulate matter (PM2.5) as a potential SARS-CoV-2 car-rier. Sci. Rep. 2021, 11, 2508. [Google Scholar] [CrossRef]
- Beelen, R.; Raaschou-Nielsen, O.; Stafoggia, M.; Andersen, Z.J.; Weinmayr, G.; Hoffmann, B.; Wolf, K.; Samoli, E.; Fischer, P.; Nieuwenhuijsen, M.; et al. Effects of long-term exposure to air pollution on natural-cause mortality: An analysis of 22 European cohorts within the multicentre ESCAPE project. Lancet 2013, 383, 785–795. [Google Scholar] [CrossRef]
- Zhao, B.; Su, Y.; He, S.; Zhong, M.; Cui, G. Evolution and comparative assessment of ambient air quality standards in China. J. Integr. Environ. Sci. 2016, 13, 85–102. [Google Scholar] [CrossRef] [Green Version]
- Polish Committee for Standardization. PN-EN12341 Ambient Air-Standard Gravimetric Measurement Method for the Determination of the PM10 or PM2.5 Mass Concentration of Suspended Particulate Matter; Polish Committee for Standardization: Warsaw, Poland, 2014. [Google Scholar]
- US-EPA. Ambient Air Monitoring Reference and Equivalent Methods; Environmental Protection Agency: Washington, DC, USA, 1997; p. 50. [Google Scholar]
- Karali, D.; Loupa, G.; Rapsomanikis, S. Nephelometer Sensitivities for the Determination of PM2.5 Mass Concentration in Ambient and Indoor Air. Aerosol Air Qual. Res. 2021, 20, 200159. [Google Scholar] [CrossRef]
- Karageorgos, E.T.; Rapsomanikis, S. Assessment of the sources of the inorganic fraction of aerosol in a conurbation. Int. J. Environ. Anal. Chem. 2009, 90, 64–83. [Google Scholar] [CrossRef]
- Juda-Rezler, K.; Reizer, M.; Maciejewska, K.; Błaszczak, B.; Klejnowski, K. Characterization of atmospheric PM2.5 sources at a Central European urban background site. Sci. Total Environ. 2020, 713, 136729. [Google Scholar] [CrossRef]
- Sofowote, U.; Healy, R.; Su, Y.; Debosz, J.; Noble, M.; Munoz, A.; Jeong, C.-H.; Wang, J.; Hilker, N.; Evans, G.; et al. Understanding the PM2.5 imbalance between a far and near-road location: Results of high temporal frequency source apportionment and parameterization of black carbon. Atmos. Environ. 2018, 173, 277–288. [Google Scholar] [CrossRef]
- Chen, L.-W.A.; Chien, L.-C.; Li, Y.; Lin, G. Nonuniform impacts of COVID-19 lockdown on air quality over the United States. Sci. Total Environ. 2020, 745, 141105. [Google Scholar] [CrossRef] [PubMed]
- Thunis, P.; Degraeuwe, B.; Peduzzi, E.; Pisoni, E.; Trombetti, M.; Vignati, E.; Wilson, J.; Belis, C.; Pernigotti, D. Urban PM2.5 Atlas: Air Quality in European Cities; Publications Office of the European Union: Luxembourg, 2017. [Google Scholar]
- Silva, A.V.; Oliveira, C.M.; Canha, N.; Miranda, A.I.; Almeida, S.M. Long-Term Assessment of Air Quality and Identification of Aerosol Sources at Setúbal, Portugal. Int. J. Environ. Res. Public Health 2020, 17, 5447. [Google Scholar] [CrossRef] [PubMed]
- Agrawal, G.; Mohan, D.; Rahman, H. Ambient air pollution in selected small cities in India: Observed trends and future challenges. IATSS Res. 2021, 45, 19–30. [Google Scholar] [CrossRef]
- Stein, A.F.; Draxler, R.R.; Rolph, G.D.; Stunder, B.J.B.; Cohen, M.; Ngan, F. NOAA’s HYSPLIT Atmospheric Transport and Dispersion Modeling System. Bull. Am. Meteorol. Soc. 2015, 96, 2059–2077. [Google Scholar] [CrossRef]
- Loupa, G.; Zarogianni, A.-M.; Karali, D.; Kosmadakis, I.; Rapsomanikis, S. Indoor/outdoor PM2.5 elemental composition and organic fraction medications, in a Greek hospital. Sci. Total Environ. 2016, 550, 727–735. [Google Scholar] [CrossRef]
- Diapouli, E.; Manousakas, M.I.; Vratolis, S.; Vasilatou, V.; Pateraki, S.; Bairachtari, K.A.; Quero, X.; Amato, F.; Alastuey, A.; Karanasiou, A.A.; et al. AIRUSE-LIFE+: Estimation of natural source contributions to urban ambient air PM10 and PM2.5 concentrations in southern Europe–implications to compliance with limit values. Atmos. Chem. Phys. 2017, 17, 3673–3685. [Google Scholar] [CrossRef] [Green Version]
- Carozzi, F.; Roth, S. Dirty Density: Air Quality and the Density of American Cities; Centre for Economic Performance, LSE: London, UK, 2020. [Google Scholar]
- Byun, J.-Y.; Kim, H.; Han, Y.-J.; Lee, S.-D.; Park, S.-W. High PM2.5 Concentrations in a Small Residential City with Low Anthropogenic Emissions in South Korea. Atmosphere 2020, 11, 1159. [Google Scholar] [CrossRef]
- Vasilatou, V.; Diapouli, E.; Abatzoglou, D.; Bakeas, E.B.; Scoullos, M.; Eleftheriadis, K. Characterization of PM2.5 chemical composition at the Demokritos suburban station, in Athens Greece. The influence of Saharan dust. Environ. Sci. Pollut. Res. 2017, 24, 11836–11846. [Google Scholar] [CrossRef]
- Karageorgos, E.T.; Rapsomanikis, S. Chemical characterization of the inorganic fraction of aerosols and mechanisms of the neutral-ization of atmospheric acidity in Athens, Greece. Atmos. Chem. Phys. 2007, 7, 3015–3033. [Google Scholar] [CrossRef] [Green Version]
- Diapouli, E.; Manousakas, M.; Vratolis, S.; Vasilatou, V.; Maggos, T.; Saraga, D.; Grigoratos, T.; Argyropoulos, G.; Voutsa, D.; Samara, C.; et al. Evolution of air pollution source contributions over one decade, derived by PM10 and PM2.5 source apportionment in two metropolitan urban areas in Greece. Atmos-Pheric Environ. 2017, 164, 416–430. [Google Scholar] [CrossRef]




| Air Temperature (°C) | RH (%) | |||
|---|---|---|---|---|
| Mean | Std. Dev. | Mean | Std. Dev. | |
| June (20) | 27.36 | 4.78 | 55.96 | 13.43 |
| July (20) | 26.73 | 4.68 | 49.57 | 15.30 |
| August (20) | 26.60 | 4.56 | 52.53 | 18.47 |
| September (20) | 24.34 | 5.05 | 48.81 | 19.63 |
| October (20) | 18.11 | 4.40 | 68.70 | 16.66 |
| November (20) | 13.44 | 0.71 | 62.23 | 14.48 |
| December (20) | 12.80 | 2.90 | 65.00 | 15.30 |
| January (21) | 6.89 | 4.42 | 70.07 | 17.38 |
| February (21) | 8.84 | 5.50 | 69.78 | 17.73 |
| March (21) | 9.18 | 4.29 | 62.95 | 17.68 |
| April (21) | 12.64 | 4.48 | 67.83 | 16.97 |
| May (21) | 19.45 | 4.89 | 61.85 | 19.25 |
| June (21) | 21.05 | 4.69 | 71.04 | 15.41 |
| Wind speed (ms−1) | Wind direction (deg) | |||
| Mean | Std. Dev. | Mean | Std. Dev. | |
| June (20) | 1.80 | 0.89 | 116.76 | 101.77 |
| July (20) | 1.62 | 0.85 | 134.15 | 111.90 |
| August (20) | 1.65 | 0.92 | 132.33 | 110.28 |
| September (20) | 1.55 | 0.89 | 127.94 | 104.00 |
| October (20) | 1.55 | 1.00 | 125.12 | 105.68 |
| November (20) | 2.14 | 0.52 | 148.23 | 138.34 |
| December (20) | 1.70 | 0.67 | 156.45 | 135.56 |
| January (21) | 1.45 | 1.02 | 118.71 | 90.00 |
| February (21) | 1.29 | 1.02 | 123.13 | 101.76 |
| March (21) | 1.35 | 0.97 | 124.07 | 102.80 |
| April (21) | 1.27 | 0.86 | 126.48 | 104.35 |
| May (21) | 1.27 | 0.87 | 135.85 | 103.79 |
| June (21) | 1.47 | 0.85 | 137.39 | 119.15 |
| Cold Weather (SD) | Warm Weather (SD) | |
|---|---|---|
| PM2.5 (μg m−3) | 17.8 (0.67) | 12.5 (0.34) |
| Trace elements (ng m−3) | ||
| Al | 48 (37.7) | 176 (92.6) |
| Si | 211 (53.5) | 2261 (832.1) |
| Br | 18 (0.2) | 43 (0.1) |
| P | 18 (3.0) | 92 (2.1) |
| S | 697 (1792.3) | 285 (12.0) |
| Na | 496 (23.3) | 352 (242.3) |
| K | 923 (45.0) | 96 (87.7) |
| Mg | 134 (18.6) | 259 (2.8) |
| Ca | 3563 (424.5) | 2896 (34.5) |
| Co | 2 (0.2) | 2 (0.3) |
| Cr | 1 (0.1) | 13 (0.2) |
| Cu | 7 (2.1) | 4 (0.2) |
| Fe | 15 (7.3) | 7 (0.7) |
| Mn | 2 (2.8) | 9 (0.1) |
| Ni | 1 (0.2) | 1 (0.3) |
| Pb | 4 (3.2) | 3 (0.2) |
| Ti | 7 (4.0) | 35 (0.1) |
| Zn | 11 (0.5) | 17 (4.6) |
Publisher’s Note: MDPI stays neutral with regard to jurisdictional claims in published maps and institutional affiliations. |
© 2021 by the authors. Licensee MDPI, Basel, Switzerland. This article is an open access article distributed under the terms and conditions of the Creative Commons Attribution (CC BY) license (https://creativecommons.org/licenses/by/4.0/).
Share and Cite
Loupa, G.; Kryona, Z.P.; Pantelidou, V.; Rapsomanikis, S. Are PM2.5 in the Atmosphere of a Small City a Threat for Health? Sustainability 2021, 13, 11329. https://doi.org/10.3390/su132011329
Loupa G, Kryona ZP, Pantelidou V, Rapsomanikis S. Are PM2.5 in the Atmosphere of a Small City a Threat for Health? Sustainability. 2021; 13(20):11329. https://doi.org/10.3390/su132011329
Chicago/Turabian StyleLoupa, Glykeria, Zoi Panagiota Kryona, Varvara Pantelidou, and Spyridon Rapsomanikis. 2021. "Are PM2.5 in the Atmosphere of a Small City a Threat for Health?" Sustainability 13, no. 20: 11329. https://doi.org/10.3390/su132011329
APA StyleLoupa, G., Kryona, Z. P., Pantelidou, V., & Rapsomanikis, S. (2021). Are PM2.5 in the Atmosphere of a Small City a Threat for Health? Sustainability, 13(20), 11329. https://doi.org/10.3390/su132011329

