Parameter Identification of Photovoltaic Cell Model Based on Enhanced Particle Swarm Optimization
Abstract
1. Introduction
2. Description of the Problem
2.1. SD Model
2.2. DD Model
2.3. TD Model
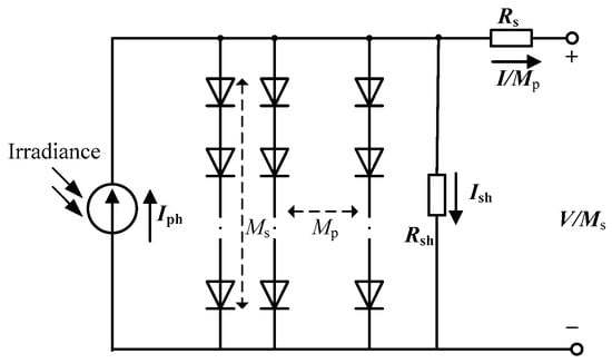
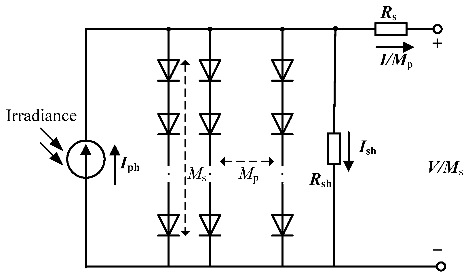
2.4. PV Module Model
3. Materials and Methods
3.1. EPSO Algorithm
3.2. PVC Model Parameter Identification Based on The EPSO Algorithm
| Algorithm 1. Pseudocodeof parameter identification for a solar cell using EPSO. |
![]() |
4. Simulation Experiments
4.1. Experiment 1 SD Model
4.2. Experiment 2 DD Model
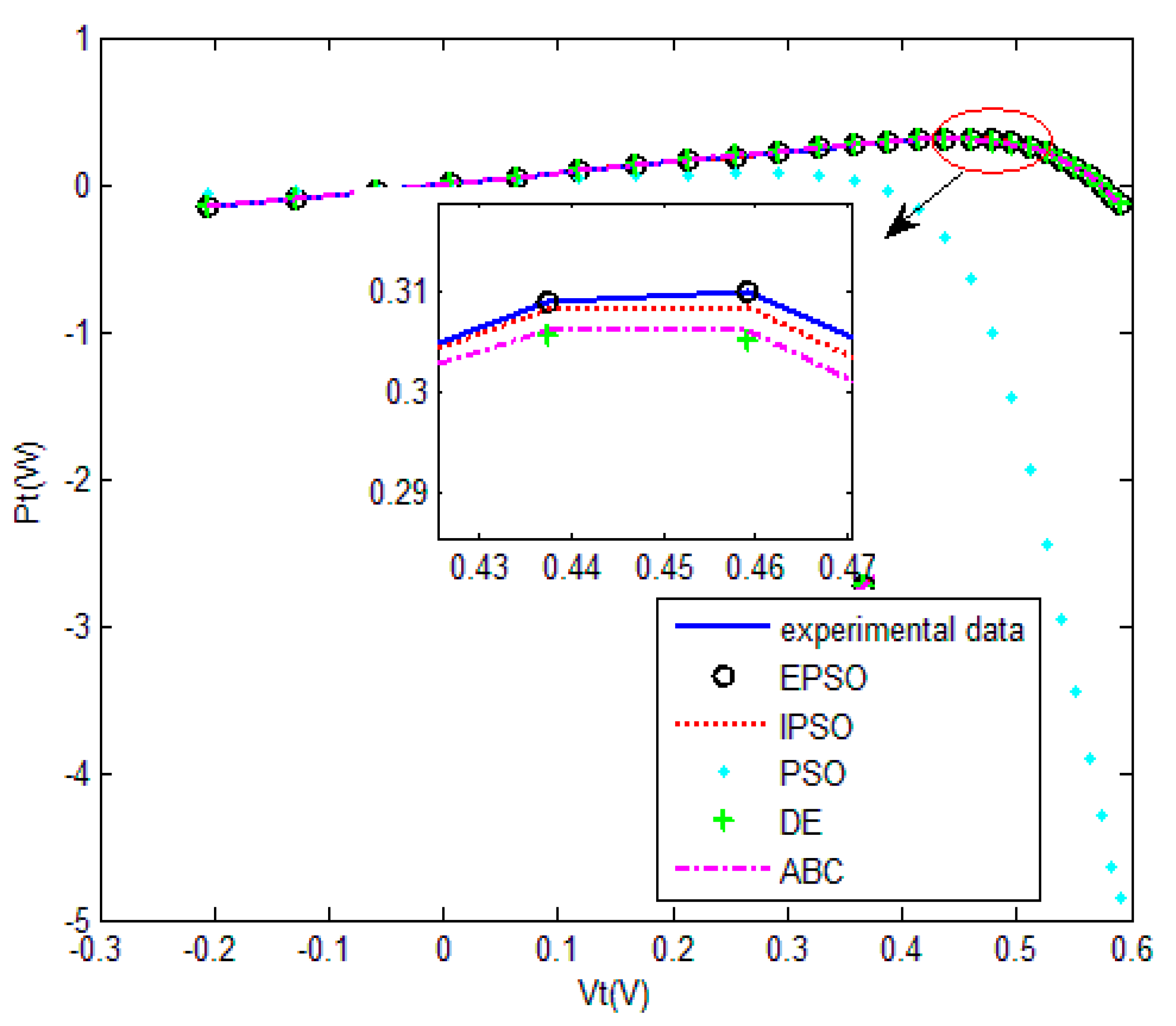
4.3. Experiment 3 TD Model
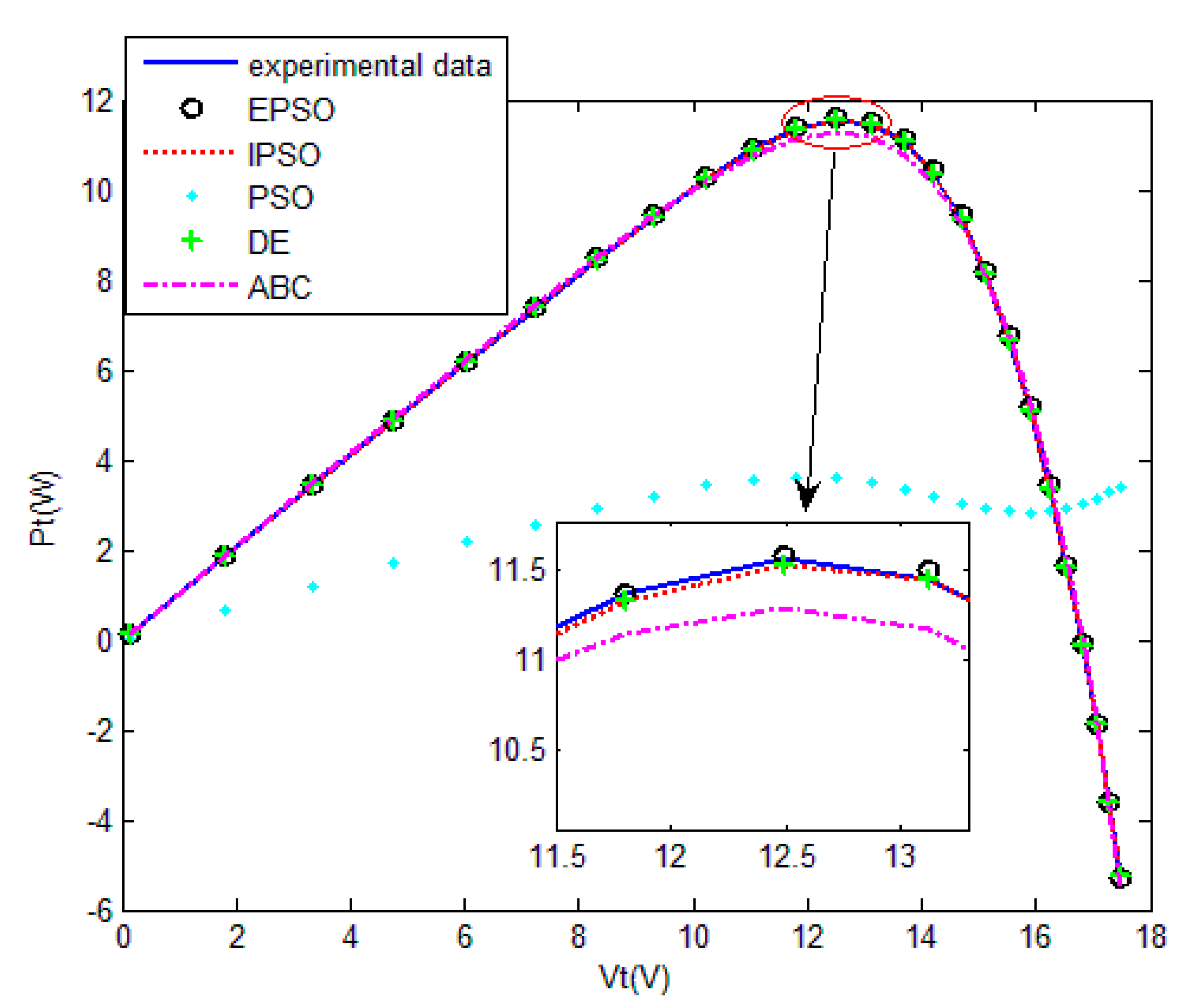
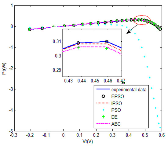
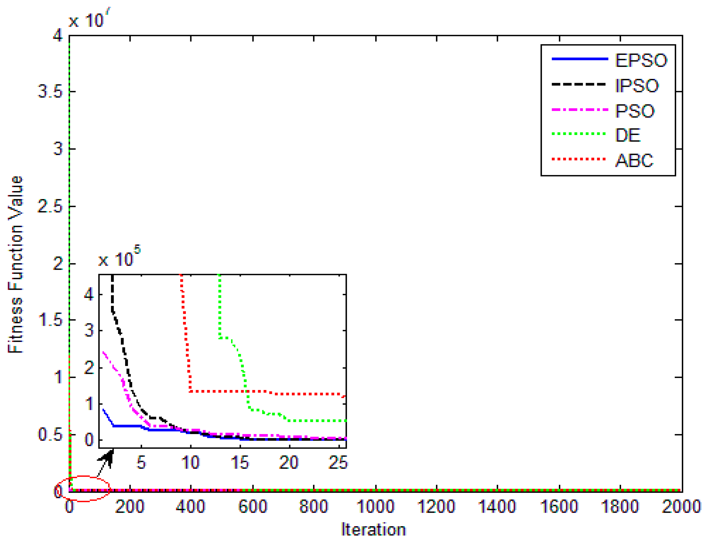
4.4. Experiment 4PV Module Model
5. Conclusions
Funding
Institutional Review Board Statement
Informed Consent Statement
Data Availability Statement
Conflicts of Interest
References
- Femia, N.; Petrone, G.; Spagnuolo, G.; Vitelli, M. Power Electronics and Control Techniques for Maximum Energy Harvesting in Photovoltaic Systems; CRC Press: Boca Raton, FL, USA, 2012. [Google Scholar]
- Batzelis, E.I.; Kampitsis, G.E.; Papathanassiou, S.A.; Manias, S.N. Direct MPP Calculation in Terms of the Single-Diode PV Model Parameters. IEEE Trans. Energy Convers. 2015, 30, 226–236. [Google Scholar] [CrossRef]
- Chin, V.J.; Salam, Z.; Ishaque, K. Cell modelling and model parameters estimation techniques for photovoltaic simulator application: A review. Appl. Energy 2015, 154, 500–519. [Google Scholar] [CrossRef]
- Jin, T.; Kim, J. A comparative study of energy and carbon efficiency for emerging countries using panel stochastic frontier analysis. Sci. Rep. 2019, 9, 6647. [Google Scholar] [CrossRef]
- Ridha, H.M.; Gomes, C.; Hazim, H.; Ahmadipour, M. Optimal Design of Standalone Photovoltaic System Based on Multi-Objective Particle Swarm Optimization: A Case Study of Malaysia. Processes 2020, 8, 41. [Google Scholar] [CrossRef]
- Mohammed, R.H.; Gomes, C.; Hizam, H. Multiple scenarios multi-objective salp swarm optimization for sizing of standalone photovoltaic system. Renew. Energy 2020, 153, 1330–1345. [Google Scholar]
- Ram, J.P.; Babu, T.S.; Dragicevic, T.; Rajasekar, N. A new hybrid bee pollinator flower pollination algorithm for solar PV parameter estimation. Energy Convers. Manag. 2017, 135, 463–476. [Google Scholar] [CrossRef]
- Tsai, H.-L. Insolation-oriented model of photovoltaic module using Matlab/Simulink. Sol. Energy 2010, 84, 1318–1326. [Google Scholar] [CrossRef]
- Saloux, E.; Teyssedou, A.; Sorin, M. Explicit model of photovoltaic panels to determine voltages and currents at the maximum power point. Sol. Energy 2011, 85, 713–722. [Google Scholar] [CrossRef]
- Khanna, V.; Das, B.K.; Bisht, D.; Vandana; Singh, P. A three diode model for industrial solar cells and estimation of solar cell parameters using PSO algorithm. Renew. Energy 2015, 78, 105–113. [Google Scholar] [CrossRef]
- Montano, J.; Tobón, A.; Villegas, J.P.; Florez, M.D. Grasshopper optimization algorithm for parameter estimation of photovoltaic modules based on the single diode model. Int. J. Energy Environ. Eng. 2020, 11, 367–375. [Google Scholar] [CrossRef]
- Lun, S.-X.; Du, C.-J.; Yang, G.-H.; Wang, S.; Guo, T.-T.; Sang, J.-S.; Li, J.-P. An explicit approximate I–V characteristic model of a solar cell based on padé approximants. Sol. Energy 2013, 92, 147–159. [Google Scholar] [CrossRef]
- Liu, S.; Shu, S.X.; Chao, C.J. A new explicit I-V model of a solar cell based on Taylor’s series expansion. Sol. Energy 2013, 94, 221–232. [Google Scholar]
- Yetayew, T.T.; Jyothsna, T.R. Parameter extraction of photovoltaic modules using Newton Raphson and simulated annealing techniques. In Proceedings of the 2015 IEEE Power, Communication and Information Technology Conference (PCITC), Bhubaneswar, India, 15–17 October 2015; pp. 229–234. [Google Scholar]
- Ghani, F.; Fernandez, E.F.; Almonacid, F. The numerical computation of lumped parameter values using the multi-dimensional Newton-Rapson method for the characterization of a multi-junction CPV module using the five-parameter approach. Sol. Energy 2017, 149, 302–313. [Google Scholar] [CrossRef]
- Tossa, A.K.; Soro, Y.; Azoumah, Y.; Yamegueu, D. A new approach to estimate the performance and energy productivity of photovoltaic modules in real operating conditions. Sol. Energy 2014, 110, 543–560. [Google Scholar] [CrossRef]
- Wang, R.J. Application of Artificial Bee Colony; Publishing House of Electronics Industry: Beijing, China, 2016. [Google Scholar]
- Oliva, D.; Cuevas, E.; Pajares, G. Parameter identification of solar cells using artificial bee colony optimization. Energy 2014, 72, 93–102. [Google Scholar] [CrossRef]
- Chellaswamy, C.; Ramesh, R. Parameter extraction of solar cell models based on adaptive differential evolution algorithm. Renew. Energy 2016, 97, 823–837. [Google Scholar] [CrossRef]
- Nunes, H.G.G.; Pombo, J.A.N.; Mariano, S.J.P.S. A new high performance method for determining the parameters of PV cells and modules based on guaranteed covergence particle swarm optimization. Appl. Energy 2018, 211, 774–791. [Google Scholar] [CrossRef]
- Kenndy, J.; Eberhart, R. Particle swarm optimization. In Proceedings of the IEEE International Conference on Neural Networks, Perth, Australia, 27 November–1 December 1995; pp. 1942–1948. [Google Scholar]
- Wang, R.; Zhan, Y.; Haifeng, Z. A Class of Sequential Blind Source Separation Method in Order Using Swarm Optimization Algorithm. Circuits Syst. Signal Process. 2015, 35, 3220–3243. [Google Scholar] [CrossRef]
- Easwarakhanthan, T.; Bottin, J.; Bouhouch, I.; Boutrit, C. Nonlinear Minimization Algorithm for Determining the Solar Cell Parameters with Microcomputers. Int. J. Sol. Energy 1986, 4, 1–12. [Google Scholar] [CrossRef]
- Luque, A.; Hegedus, S. Handbook of Photovoltaic Science and Engineering; John Wiley & Sons: New York, NY, USA, 2010. [Google Scholar]
- DPL Energy Tech. Co., Ltd. The Data of Solar Cells. Available online: http://www.dpl-energy.com (accessed on 27 August 2020).






















| Optimization Algorithms | Multiplication/Division Operator | Addition/Subtraction Operator |
|---|---|---|
| EPSO | ||
| PSO | ||
| IPSO | ||
| DE | ||
| ABC |
| Parameters | Minimum Value | Maximum Value |
|---|---|---|
| Rs/Ω | 0 | 0.5 |
| Rsh/Ω | 0 | 100 |
| Rso/Ω | 0 | 20 |
| Iph/A | 0 | 1 |
| Isd, Isd1, Isd2, Isd3/A | 0 | 1 |
| a, a1, a2, a3 | 1 | 2 |
| K | 0 | 1 |
| EPSO | IPSO | PSO | DE | ABC | |
|---|---|---|---|---|---|
| J(α) | 0.0010 | 0.0055 | 0.2848 | 0.0010 | 0.0087 |
| Cost time (second) | 0.7880 | 1.9840 | 0.1960 | 3.9050 | 4.4320 |
| Item | Vt(V) | It(A) | EPSO | IPSO | PSO | DE | ABC | |
|---|---|---|---|---|---|---|---|---|
| Ic(A) | Ier | Ier | Ier | Ier | Ier | |||
| 1 | −0.2057 | 0.7640 | 0.7632 | 0.0008 | 0.0034 | 0.0980 | 0.0008 | 0.0016 |
| 2 | −0.1291 | 0.7620 | 0.7618 | 0.0002 | 0.0046 | 0.0974 | 0.0002 | 0.0004 |
| 3 | −0.0588 | 0.7605 | 0.7605 | 3.6929 × 10−5 | 0.0054 | 0.0971 | 3.5823 × 10−5 | 0.0003 |
| 4 | 0.0057 | 0.7605 | 0.7593 | 0.0012 | 0.0047 | 0.0982 | 0.0012 | 0.0004 |
| 5 | 0.0646 | 0.7600 | 0.7582 | 0.0018 | 0.0046 | 0.0988 | 0.0018 | 0.0005 |
| 6 | 0.1185 | 0.7590 | 0.7572 | 0.0018 | 0.0050 | 0.0990 | 0.0018 | 0.0001 |
| 7 | 0.1678 | 0.7590 | 0.7563 | 0.0027 | 0.0042 | 0.1005 | 0.0027 | 0.0008 |
| 8 | 0.2132 | 0.7570 | 0.7553 | 0.0017 | 0.0053 | 0.1007 | 0.0017 | 0.0005 |
| 9 | 0.2545 | 0.7555 | 0.7543 | 0.0012 | 0.0053 | 0.1030 | 0.0012 | 0.0009 |
| 10 | 0.2924 | 0.7540 | 0.7528 | 0.0012 | 0.0043 | 0.1085 | 0.0012 | 0.0006 |
| 11 | 0.3269 | 0.7505 | 0.7506 | 0.0001 | 0.0035 | 0.1172 | 0.0001 | 0.0009 |
| 12 | 0.3585 | 0.7465 | 0.7465 | 2.5006 × 10−5 | 0.0004 | 0.1340 | 2.5433 × 10−5 | 0.0006 |
| 13 | 0.3873 | 0.7385 | 0.7393 | 0.0008 | 0.0029 | 0.1585 | 0.0008 | 0.0019 |
| 14 | 0.4137 | 0.7280 | 0.7265 | 0.0015 | 0.0097 | 0.1961 | 0.0015 | 0.0066 |
| 15 | 0.4373 | 0.7065 | 0.7061 | 0.0004 | 0.0129 | 0.2325 | 0.0004 | 0.0078 |
| 16 | 0.4590 | 0.6755 | 0.6744 | 0.0011 | 0.0164 | 0.2653 | 0.0011 | 0.0099 |
| 17 | 0.4784 | 0.6320 | 0.6299 | 0.0021 | 0.0175 | 0.2755 | 0.0021 | 0.0105 |
| 18 | 0.4960 | 0.5730 | 0.5711 | 0.0019 | 0.0143 | 0.2451 | 0.0019 | 0.0081 |
| 19 | 0.5119 | 0.4990 | 0.4989 | 0.0001 | 0.0071 | 0.1676 | 0.0001 | 0.0025 |
| 20 | 0.5265 | 0.4130 | 0.4131 | 0.0001 | 0.0002 | 0.0533 | 0.0001 | 0.0023 |
| 21 | 0.5398 | 0.3165 | 0.3171 | 0.0006 | 0.0076 | 0.0882 | 0.0006 | 0.0071 |
| 22 | 0.5521 | 0.2120 | 0.2119 | 0.0001 | 0.0120 | 0.2426 | 0.0001 | 0.0092 |
| 23 | 0.5633 | 0.1035 | 0.1022 | 0.0013 | 0.0121 | 0.3974 | 0.0013 | 0.0078 |
| 24 | 0.5736 | −0.0100 | −0.0087 | 0.0013 | 0.0100 | 0.5515 | 0.0013 | 0.0059 |
| 25 | 0.5833 | −0.1230 | −0.1253 | 0.0023 | 0.0031 | 0.6953 | 0.0023 | 0.0058 |
| 26 | 0.5900 | −0.2100 | −0.2082 | 0.0018 | 0.0126 | 0.8014 | 0.0018 | 0.0122 |
| EPSO | IPSO | PSO | DE | ABC | |
|---|---|---|---|---|---|
| J(α) | 0.0010 | 0.0055 | 2.8147 | 0.0022 | 0.0044 |
| Cost time (second) | 0.8710 | 2.2200 | 0.2640 | 3.9350 | 4.8860 |
| Item | EPSO | IPSO | PSO | DE | ABC | |
|---|---|---|---|---|---|---|
| Ic(A) | Ier | Ier | Ier | Ier | Ier | |
| 1 | 0.7641 | 0.0001 | 0.0032 | 0.4284 | 0.0008 | 0.0011 |
| 2 | 0.7627 | 0.0007 | 0.0042 | 0.4288 | 0.0003 | 0.0023 |
| 3 | 0.7615 | 0.0010 | 0.0047 | 0.4295 | 0.0010 | 0.0031 |
| 4 | 0.7603 | 0.0002 | 0.0039 | 0.4316 | 0.0003 | 0.0024 |
| 5 | 0.7592 | 0.0008 | 0.0036 | 0.4334 | 0.0001 | 0.0023 |
| 6 | 0.7583 | 0.0007 | 0.0038 | 0.4352 | 0.0005 | 0.0028 |
| 7 | 0.7573 | 0.0017 | 0.0030 | 0.4398 | 0.0001 | 0.0021 |
| 8 | 0.7564 | 0.0006 | 0.0041 | 0.4466 | 0.0012 | 0.0034 |
| 9 | 0.7553 | 0.0002 | 0.0043 | 0.4627 | 0.0018 | 0.0037 |
| 10 | 0.7539 | 0.0001 | 0.0037 | 0.4958 | 0.0019 | 0.0034 |
| 11 | 0.7516 | 0.0011 | 0.0037 | 0.5566 | 0.0029 | 0.0036 |
| 12 | 0.7475 | 0.0010 | 0.0017 | 0.6665 | 0.0023 | 0.0019 |
| 13 | 0.7402 | 0.0017 | 0.0002 | 0.8469 | 0.0022 | 0.0004 |
| 14 | 0.7274 | 0.0006 | 0.0057 | 1.1337 | 0.0012 | 0.0046 |
| 15 | 0.7069 | 0.0004 | 0.0077 | 1.5320 | 0.0014 | 0.0061 |
| 16 | 0.6752 | 0.0003 | 0.0107 | 2.0753 | 0.0032 | 0.0085 |
| 17 | 0.6307 | 0.0013 | 0.0123 | 2.7383 | 0.0048 | 0.0097 |
| 18 | 0.5719 | 0.0011 | 0.0106 | 3.4907 | 0.0043 | 0.0077 |
| 19 | 0.4996 | 0.0006 | 0.0056 | 4.2760 | 0.0016 | 0.0027 |
| 20 | 0.4137 | 0.0007 | 0.0010 | 5.0678 | 0 | 0.0017 |
| 21 | 0.3175 | 0.0010 | 0.0038 | 5.8033 | 0.0021 | 0.0062 |
| 22 | 0.2122 | 0.0002 | 0.0063 | 6.4679 | 0.0027 | 0.0082 |
| 23 | 0.1022 | 0.0013 | 0.0056 | 7.0288 | 0.0019 | 0.0073 |
| 24 | −0.0087 | 0.0013 | 0.0047 | 7.4590 | 0.0036 | 0.0063 |
| 25 | −0.1255 | 0.0025 | 0.0058 | 7.8332 | 0.0021 | 0.0041 |
| 26 | −0.2084 | 0.0016 | 0.0111 | 8.0064 | 0.0010 | 0.0090 |
| EPSO | IPSO | PSO | DE | ABC | |
|---|---|---|---|---|---|
| J(α) | 9.1390 × 10−4 | 0.0052 | 5.8566 × 105 | 0.0037 | 0.0046 |
| Cost time (second) | 2.9190 | 8.6590 | 1.3890 | 11.3300 | 17.8650 |
| Item | EPSO | IPSO | PSO | DE | ABC | |
|---|---|---|---|---|---|---|
| Ic(A) | Ier | Ier | Ier | Ier | Ier | |
| 1 | 0.7637 | 0.0003 | 0.0027 | 0.8506 | 0.0006 | 0.0021 |
| 2 | 0.7625 | 0.0005 | 0.0038 | 0.7496 | 0.0018 | 0.0034 |
| 3 | 0.7614 | 0.0009 | 0.0044 | 0.3071 | 0.0026 | 0.0042 |
| 4 | 0.7604 | 0.0001 | 0.0036 | 1.4521 | 0.0019 | 0.0035 |
| 5 | 0.7595 | 0.0005 | 0.0033 | 7.7365 | 0.0018 | 0.0034 |
| 6 | 0.7586 | 0.0004 | 0.0036 | 28.1424 | 0.0022 | 0.0038 |
| 7 | 0.7577 | 0.0013 | 0.0029 | 0.0001 × 106 | 0.0016 | 0.0031 |
| 8 | 0.7568 | 0.0002 | 0.0040 | 0.0003 × 106 | 0.0029 | 0.0043 |
| 9 | 0.7556 | 0.0001 | 0.0043 | 0.0007 × 106 | 0.0033 | 0.0046 |
| 10 | 0.7539 | 0.0001 | 0.0038 | 0.0016 × 106 | 0.0031 | 0.0040 |
| 11 | 0.7513 | 0.0008 | 0.0039 | 0.0036 × 106 | 0.0037 | 0.0039 |
| 12 | 0.7469 | 0.0004 | 0.0020 | 0.0076 × 106 | 0.0025 | 0.0016 |
| 13 | 0.7395 | 0.0010 | 0.0002 | 0.0151 × 106 | 0.0015 | 0.0006 |
| 14 | 0.7268 | 0.0012 | 0.0051 | 0.0280 × 106 | 0.0028 | 0.0064 |
| 15 | 0.7069 | 0.0004 | 0.0070 | 0.0484 × 106 | 0.0038 | 0.0086 |
| 16 | 0.6757 | 0.0002 | 0.0098 | 0.0793 × 106 | 0.0061 | 0.0115 |
| 17 | 0.6315 | 0.0005 | 0.0112 | 0.1220 × 106 | 0.0077 | 0.0127 |
| 18 | 0.5725 | 0.0005 | 0.0094 | 0.1778 × 106 | 0.0067 | 0.0103 |
| 19 | 0.4997 | 0.0007 | 0.0042 | 0.2468 × 106 | 0.0030 | 0.0043 |
| 20 | 0.4131 | 0.0001 | 0.0006 | 0.3305 × 106 | 0 | 0.0014 |
| 21 | 0.3168 | 0.0003 | 0.0057 | 0.4283 × 106 | 0.0034 | 0.0072 |
| 22 | 0.2117 | 0.0003 | 0.0084 | 0.5428 × 106 | 0.0051 | 0.0102 |
| 23 | 0.1024 | 0.0011 | 0.0081 | 0.6735 × 106 | 0.0050 | 0.0097 |
| 24 | −0.0074 | 0.0026 | 0.0076 | 0.8223 × 106 | 0.0063 | 0.0080 |
| 25 | −0.1253 | 0.0023 | 0.0026 | 0.9980 × 106 | 0.0005 | 0.0038 |
| 26 | −0.2092 | 0.0008 | 0.0077 | 1.1436 × 106 | 0.0012 | 0.0110 |
| EPSO | IPSO | PSO | DE | ABC | |
|---|---|---|---|---|---|
| J(α) | 0.0024 | 0.0046 | 0.2675 | 0.0024 | 0.0128 |
| Cost time (second) | 1.8990 | 4.7680 | 0.4840 | 9.3180 | 11.1240 |
| Item | Vt(V) | It(A) | EPSO | IPSO | PSO | DE | ABC | |
|---|---|---|---|---|---|---|---|---|
| Ic(A) | Ier | Ier | Ier | Ier | Ier | |||
| 1 | 0.1248 | 1.0315 | 1.0291 | 0.0024 | 0.0037 | 0.6699 | 0.0024 | 0.0068 |
| 2 | 1.8093 | 1.0300 | 1.0274 | 0.0026 | 0.0028 | 0.6694 | 0.0026 | 0.0077 |
| 3 | 3.3511 | 1.0260 | 1.0257 | 0.0003 | 0.0006 | 0.6665 | 0.0003 | 0.0108 |
| 4 | 4.7622 | 1.0220 | 1.0241 | 0.0021 | 0.0039 | 0.6638 | 0.0021 | 0.0134 |
| 5 | 6.0538 | 1.0180 | 1.0223 | 0.0043 | 0.0069 | 0.6615 | 0.0043 | 0.0152 |
| 6 | 7.2364 | 1.0155 | 1.0199 | 0.0044 | 0.0077 | 0.6615 | 0.0044 | 0.0139 |
| 7 | 8.3189 | 1.0140 | 1.0164 | 0.0024 | 0.0062 | 0.6640 | 0.0024 | 0.0092 |
| 8 | 9.3097 | 1.0100 | 1.0105 | 0.0005 | 0.0047 | 0.6659 | 0.0005 | 0.0033 |
| 9 | 10.2163 | 1.0035 | 1.0006 | 0.0029 | 0.0014 | 0.6683 | 0.0029 | 0.0055 |
| 10 | 11.0449 | 0.9880 | 0.9845 | 0.0035 | 0.0008 | 0.6652 | 0.0035 | 0.0122 |
| 11 | 11.8018 | 0.9630 | 0.9595 | 0.0035 | 0.0007 | 0.6563 | 0.0035 | 0.0182 |
| 12 | 12.4929 | 0.9255 | 0.9228 | 0.0027 | 0.0014 | 0.6384 | 0.0027 | 0.0219 |
| 13 | 13.1231 | 0.8725 | 0.8726 | 0.0001 | 0.0041 | 0.6069 | 0.0001 | 0.0212 |
| 14 | 13.6983 | 0.8075 | 0.8073 | 0.0002 | 0.0040 | 0.5643 | 0.0002 | 0.0202 |
| 15 | 14.2221 | 0.7265 | 0.7283 | 0.0018 | 0.0064 | 0.5037 | 0.0018 | 0.0138 |
| 16 | 14.6995 | 0.6345 | 0.6371 | 0.0026 | 0.0077 | 0.4290 | 0.0026 | 0.0063 |
| 17 | 15.1346 | 0.5345 | 0.5362 | 0.0017 | 0.0073 | 0.3424 | 0.0017 | 0.0007 |
| 18 | 15.5311 | 0.4275 | 0.4295 | 0.0020 | 0.0079 | 0.2441 | 0.0020 | 0.0083 |
| 19 | 15.8929 | 0.3185 | 0.3188 | 0.0003 | 0.0062 | 0.1402 | 0.0003 | 0.0126 |
| 20 | 16.2229 | 0.2085 | 0.2074 | 0.0011 | 0.0045 | 0.0319 | 0.0011 | 0.0145 |
| 21 | 16.5241 | 0.1010 | 0.0962 | 0.0048 | 0.0001 | 0.0761 | 0.0048 | 0.0115 |
| 22 | 16.7987 | −0.0080 | −0.0083 | 0.0003 | 0.0034 | 0.1887 | 0.0003 | 0.0112 |
| 23 | 17.0499 | −0.1110 | −0.1109 | 0.0001 | 0.0022 | 0.2958 | 0.0001 | 0.0043 |
| 24 | 17.2793 | −0.2090 | −0.2092 | 0.0002 | 0 | 0.3986 | 0.0002 | 0.0064 |
| 25 | 17.4885 | −0.3030 | −0.3009 | 0.0021 | 0.0002 | 0.4980 | 0.0021 | 0.0180 |
Publisher’s Note: MDPI stays neutral with regard to jurisdictional claims in published maps and institutional affiliations. |
© 2021 by the author. Licensee MDPI, Basel, Switzerland. This article is an open access article distributed under the terms and conditions of the Creative Commons Attribution (CC BY) license (http://creativecommons.org/licenses/by/4.0/).
Share and Cite
Wang, R. Parameter Identification of Photovoltaic Cell Model Based on Enhanced Particle Swarm Optimization. Sustainability 2021, 13, 840. https://doi.org/10.3390/su13020840
Wang R. Parameter Identification of Photovoltaic Cell Model Based on Enhanced Particle Swarm Optimization. Sustainability. 2021; 13(2):840. https://doi.org/10.3390/su13020840
Chicago/Turabian StyleWang, Rongjie. 2021. "Parameter Identification of Photovoltaic Cell Model Based on Enhanced Particle Swarm Optimization" Sustainability 13, no. 2: 840. https://doi.org/10.3390/su13020840
APA StyleWang, R. (2021). Parameter Identification of Photovoltaic Cell Model Based on Enhanced Particle Swarm Optimization. Sustainability, 13(2), 840. https://doi.org/10.3390/su13020840


